细胞的物质基础

1. 组成细胞的元素/化学键

离子键,盐键(生物only),共价键,氢键,范德华力

2. 糖类: 多羟醛/酮+其聚合/衍生物

2.2. 单糖的化学结构

1️⃣链状结构

image

2️⃣D&L分型(注意定义)

  1. 甘油醛的D&L分型

    手性碳(C*)相连的-OH构型结构图(甘油醛)分子式
    Dimage-20240508222844172image-20240508222940104
    Limage-20240508222920820image-20240508222959165
  2. 单糖的D&L分型 (D型糖最常见)

    image-20240508092636577

    • 分型规则: 离羟基最远的不对称碳原子上羟基的空间排布与甘油醛比较,确定类型

  3. 单糖溶液变旋性: +H2O

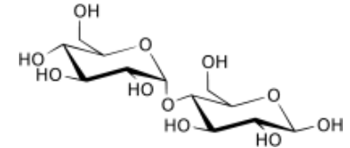
3️⃣环状结构

  1. Glc in aq成环示意图

    image-20240508092656141

  2. 环状结构分类,注意α/β​类型

    构型新生成的羟基(1号碳)Vs.对面羟基(4号碳)位置α/β-D
    α相同image-20240508223155033
    β不同image-20240508223211553

4️⃣环状糖分子的Haworth式(基准-规则-示例)

  1. 基准

image-20240508182659649

  1. 书写规则

  • 顺时针书写

  • Fischer式左侧基团 (羟基)书于环平面之上,右侧基团书于环平面之下

  • D型糖环外基团书于环仠面之上,L​型在平面之下

  1. 示例

image-20240508183002079

2.3. 单糖的化学性质

反应类型描述结果
成酯含有醇羟基的化合物与酸反应生成酯生成酯类化合物
成苷醇羟基与糖反应生成苷生成苷类化合物
脱氧某碳上的羟基被氢原子取代生成脱氧糖(如D-脱氧核糖)
氨基化羟基被氨基取代生成含有氨基的化合物
差向异构D-葡萄糖在碱性条件下OH转变为D-甘露糖和D-果糖D-葡萄糖转化为D-甘露糖和D-果糖

2.4. 麦芽糖的性质

2.4.1. 结构

类型两个葡萄糖连接结构
正常麦芽糖1-4糖苷键image-20240509024420148
异麦芽糖1-6糖苷键image-20240509024437134

2.4.2. 种类

α麦芽糖β麦芽糖
image-20240508184512401image-20240508184530137

2.5. 多糖结构与性质

1️⃣淀粉:直链D-Glc(α-1,4)&支链(1-4 or 1-6​​糖苷键)

 结构架构
直链淀粉image-20240508223601067image-20240508223637187
支链淀粉image-20240508223627461image-20240508223643448

2️⃣糖原:

3️⃣纤维素:D-Glc(β -1,4)

3. 脂肪类

3.0. 概述

1️⃣功能:构成生物膜,保护内脏,储能,传递信号(固醇类激素),电热绝缘

2️⃣定义:

  1. C4以上脂肪酸

  2. 醇类:如甘油醇、鞘氨醇

  3. 醇类组成的酯类及衍生物/类似物

3.1. 脂结构与分类

1️⃣脂肪酸

  1. 分为饱和/不饱和(有双键),C16/18/20最常见,熔点饱和>不饱和(顺式<反式),必需脂肪酸如海洋3A

  2. 尤其注意,不饱和的/名字中带亚的,大概率是必需脂肪酸

2️⃣单脂(aka一/二/三酰甘油): 高级醇1-3个脂肪酸

img

3️⃣复脂类(磷脂/糖脂):含有磷酸/糖类的脂类,甘油/磷脂/糖脂

4️⃣固醇类:高级一元醇,可转化为类固醇激素/维生素/合成胆汁酸

3.2. 脂理化性质

1️⃣物理性质: 无色无味,中性,密度小于水,不溶于水

2️⃣化学性质:

  1. 可氧化

    img

  2. 可与碱皂化:皂化价衡量㒵化1g油脂所需多少mgKOH

4. 蛋白质

4.0. 概述

1️⃣定义:氨基酸通过肽键连接而成的生物大分子

2️⃣作用: 结构物质,功能载体,生命起源

3️⃣组成:CHONS

4.1. 氨基酸

1️⃣生物体内的20种氨基酸(都是L型)

2️⃣氨基酸分类

  1. 非极性脂肪族&极性中性氨基酸:侧链基团含有OS极性,只含CH非极性

  2. 芳香族侧链氨基酸: 侧链基团含有苯环

  3. 酸碱性氨基酸: 酸性(侧链含COO),碱性(侧链含NH3+​)

3️⃣人体必需氨基酸

硫氨酸、氨酸、氨酸、亮氨酸、丙氨酸、氨酸、氨酸、氨酸

4️⃣氨基酸的等电点(必考)

img

  1. 定义: 氨基酸中NH+COO数目相等时溶液的pH氨基酸等电点

  2. 公式:PI=pKa1+pKa22PH<PI净电荷为+PH>PI净电荷为

  3. 性质: 例如将氨基酸溶于水PH=6说明解离出H+多带负电要让其等电还得加H+则其等电点小于6

  4. PS特殊情况:如有多步只取电中性分子两端的Ka

5️⃣ 氨基酸的化学性质:氨基-形成西佛碱,氨基-苯异硫氰酸,羧基-成脂,成肽键

4.2. 多肽

img

1️⃣书写规则: 左右,NC

2️⃣结构特性:

  1. 肽键中C-N性质类似于C=C

  2. 不能自由旋转,六个原子共平面(肽平面)

4.3. 蛋白质

4.3.1. 蛋白质结构

结构级别描述
一级结构肽链
二级结构α螺旋,β转角,β折叠
三级结构三维结构,蛋白质的单个多肽链水平
四级结构由多个三级结构拼接组成

1️⃣二级结构中α/β特点

α(右手)螺旋β折叠(反平行)β折叠(平行)
image-20240508191348497image-20240508193724181image-20240508193743845

2️⃣超二级结构(模体motif):蛋白分子中几个二级结构片段缠绕产生功能

3️⃣蛋白质三级结构的化学键或作用力:静电(盐键),共价,氢键,疏水键

image-20240508193914751

4️⃣蛋白质四级结构中的一些效应

  1. 别构效应:蛋白质()分子功能改变

  2. 血红蛋白Bohr效应:

    • HbO2+H+HbH++O2

    • 注意H+,CO2增多都会导致平衡右Hb释放O2

  3. 血红蛋白的BPG作用机制:BPG结合血红蛋白降低对氧亲和力释放更多氧到周围组织

4.3.2. 蛋白质结构与功能

1️⃣结构决定功能,但不完全决定

2️⃣一级结构决定高级结构,一级结构相同二级结构不同影响生理功能,高级结构(别构效应等)

4.3.3. 蛋白质的物理性质

特性描述
紫外吸光280nm处吸光,主要由氨基酸中的苯环贡献
变性通过射线、酸碱等外部因素引起的结构变化,不影响一级结构

4.3.4. 全酶(结合酶)

蛋白质(酶蛋白)+热稳定小分子(辅因子)

5. 核酸:自然界先有核酸再有蛋白质

5.1. 核酸组成结构

+(+)

5.1.1. 核糖

img

5.1.2. 碱基

1️⃣嘧啶:尿里两泡泡(U),胸前一滩尿(UT的前体),尿上是个氨气包(C)

image-20240508100104238

2️⃣嘌呤:鸟儿张嘴吸氨气(G),线下来把鸟儿替(A)

image-20240508100054298

5.2. 核酸一级结构

img

1️⃣连接方式:3-OH5-磷酸酯键相连

2️⃣书写规则: 如5ATCGATCAG3 默认左右端 ATCGATCAG

5.3. 核酸高级结构(DNA双螺旋结构)

img

1️⃣一般结构:

  1. 碱基位于内侧,磷酸脱氧核糖在外

  2. 碱基环平面与螺旋轴垂直,糖基环平面与碱基环平面成90°

2️⃣特殊结构:三螺旋,四股螺旋

5.4. DNA的理化性质

插入一下:RNA易水解,不稳定,不适合做遗传物质

5.4.1. 含氮碱基的紫外吸收

样品类型OD260/OD280
DNA1.8
RNA2.0
蛋白质样品0.5
  1. 吸收峰是260nm(区别于蛋白质280nm)

  2. OD代表吸收光强,260/280代表波长,这种特性用于提纯

5.4.2. DNA变性与复性:指的是双链的打开与还原

1️⃣DNA的变性在很窄温度区间内完成,称之为DNA熔点Tm

2️⃣CG含量越高,DNA越难变性

5.4.3. PCR

image-20240508200503352

1️⃣96C变性双股DNA打开

2️⃣68C退火引物与模板DNA配对结合

3️⃣72CDNA延长(P=聚合酶)

温度操作操作的细节
96C变性双股DNA打开
68C退火引物与模板DNA配对结合
72CDNA延长使用DNA聚合酶(P)进行链延长

第一循环完成,两段双股DNA又可当作下一个循环模板,每次循环都使得扩增的DNA片段加倍