{
"cells": [
{
"cell_type": "markdown",
"metadata": {
"nbsphinx": "hidden"
},
"source": [
"# The Discrete-Time Fourier Transform\n",
"\n",
"*This Jupyter notebook is part of a [collection of notebooks](../index.ipynb) in the bachelors module Signals and Systems, Comunications Engineering, Universität Rostock. Please direct questions and suggestions to [Sascha.Spors@uni-rostock.de](mailto:Sascha.Spors@uni-rostock.de).*"
]
},
{
"cell_type": "markdown",
"metadata": {},
"source": [
"## Theorems\n",
"\n",
"The theorems of the discrete-time Fourier transform (DTFT) relate basic operations applied to discrete signals to their equivalents in the DTFT domain. They are of use to transform signals composed from modified [standard signals](../discrete_signals/standard_signals.ipynb), for the computation of the response of a linear time-invariant (LTI) system and to predict the consequences of modifying a signal or system by certain operations."
]
},
{
"cell_type": "markdown",
"metadata": {},
"source": [
"### Convolution Theorem\n",
"\n",
"The [convolution theorem](https://en.wikipedia.org/wiki/Convolution_theorem) states that the DTFT of the linear convolution of two discrete signals $x[k]$ and $y[k]$ is equal to the scalar multiplication of their DTFTs $X(e^{j \\Omega}) = \\mathcal{F}_* \\{ x[k] \\}$ and $Y(e^{j \\Omega}) = \\mathcal{F}_* \\{ y[k] \\}$\n",
"\n",
"\\begin{equation}\n",
"\\mathcal{F}_* \\{ x[k] * y[k] \\} = X(e^{j \\Omega}) \\cdot Y(e^{j \\Omega})\n",
"\\end{equation}\n",
"\n",
"The theorem can be proven by introducing the [definition of the linear convolution](../discrete_systems/linear_convolution.ipynb) into the [definition of the DTFT](definition.ipynb) and changing the order of summation\n",
"\n",
"\\begin{align}\n",
"\\mathcal{F} \\{ x[k] * y[k] \\} &= \\sum_{k = -\\infty}^{\\infty} \\left( \\sum_{\\kappa = -\\infty}^{\\infty} x[\\kappa] \\cdot y[k - \\kappa] \\right) e^{-j \\Omega k} \\\\\n",
"&= \\sum_{\\kappa = -\\infty}^{\\infty} \\left( \\sum_{k = -\\infty}^{\\infty} y[k - \\kappa] \\, e^{-j \\Omega k} \\right) x[\\kappa] \\\\\n",
"&= Y(e^{j \\Omega}) \\cdot \\sum_{\\kappa = -\\infty}^{\\infty} x[\\kappa] \\, e^{-j \\Omega \\kappa} \\\\\n",
"&= Y(e^{j \\Omega}) \\cdot X(e^{j \\Omega})\n",
"\\end{align}\n",
"\n",
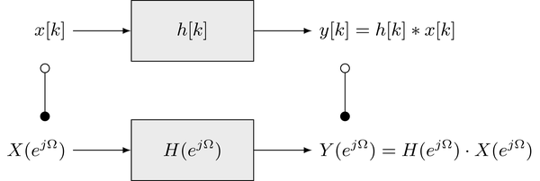
"The convolution theorem is very useful in the context of LTI systems. The output signal $y[k]$ of an LTI system is given as the convolution of the input signal $x[k]$ with its impulse response $h[k]$. Hence, the signals and the system can be represented equivalently in the time and frequency domain\n",
"\n",
"\n",
"\n",
"Calculation of the system response by transforming the problem into the DTFT domain can be beneficial since this replaces the computation of the linear convolution by a scalar multiplication. The (inverse) DTFT is known for many signals or can be derived by applying the properties and theorems to standard signals and their transforms. In many cases this procedure simplifies the calculation of the system response significantly.\n",
"\n",
"The convolution theorem can also be useful to derive the DTFT of a signal. The key is here to express the signal as convolution of two other signals for which the transforms are known. This is illustrated in the following example."
]
},
{
"cell_type": "markdown",
"metadata": {},
"source": [
"#### Transformation of the trapezoidal and triangular signal\n",
"\n",
"The linear convolution of two [rectangular signals](../discrete_signals/standard_signals.ipynb#Rectangular-Signal) of lengths $N$ and $M$ defines a [signal of trapezoidal shape](../discrete_systems/linear_convolution.ipynb#Finite-Length-Signals)\n",
"\n",
"\\begin{equation}\n",
"x[k] = \\text{rect}_N[k] * \\text{rect}_M[k]\n",
"\\end{equation}\n",
"\n",
"Application of the convolution theorem together with the [DTFT of the rectangular signal](definition.ipynb#Transformation-of-the-Rectangular-Signal) yields its DTFT as\n",
"\n",
"\\begin{equation}\n",
"X(e^{j \\Omega}) = \\mathcal{F}_* \\{ \\text{rect}_N[k] \\} \\cdot \\mathcal{F}_* \\{ \\text{rect}_M[k] \\} =\n",
"e^{-j \\Omega \\frac{N+M-2}{2}} \\cdot \\frac{\\sin(\\frac{N \\Omega}{2}) \\sin(\\frac{M \\Omega}{2})}{\\sin^2 ( \\frac{\\Omega}{2} )}\n",
"\\end{equation}\n",
"\n",
"The transform of the triangular signal can be derived from this result. The convolution of two rectangular signals of equal length $N=M$ yields the triangular signal $\\Lambda[k]$ of length $2N - 1$\n",
"\n",
"\\begin{equation}\n",
"\\Lambda_{2N - 1}[k] = \\begin{cases} k + 1 & \\text{for } 0 \\leq k < N \\\\\n",
"2N - 1 - k & \\text{for } N \\leq k < 2N - 1 \\\\\n",
"0 & \\text{otherwise}\n",
"\\end{cases}\n",
"\\end{equation}\n",
"\n",
"From above result the DTFT of the triangular signal is derived by substitution of $N$ by $M$\n",
"\n",
"\\begin{equation}\n",
"\\mathcal{F}_* \\{ \\Lambda_{2N - 1}[k] \\} =\n",
"e^{-j \\Omega (N-1)} \\cdot \\frac{\\sin^2(\\frac{N \\Omega}{2}) }{\\sin^2 ( \\frac{\\Omega}{2} )}\n",
"\\end{equation}\n",
"\n",
"Both the triangular signal and the magnitude of its DTFT are plotted for illustration"
]
},
{
"cell_type": "code",
"execution_count": 1,
"metadata": {},
"outputs": [
{
"data": {
"application/pdf": "JVBERi0xLjQKJazcIKu6CjEgMCBvYmoKPDwgL1BhZ2VzIDIgMCBSIC9UeXBlIC9DYXRhbG9nID4+CmVuZG9iago4IDAgb2JqCjw8IC9FeHRHU3RhdGUgNCAwIFIgL0ZvbnQgMyAwIFIgL1BhdHRlcm4gNSAwIFIKL1Byb2NTZXQgWyAvUERGIC9UZXh0IC9JbWFnZUIgL0ltYWdlQyAvSW1hZ2VJIF0gL1NoYWRpbmcgNiAwIFIKL1hPYmplY3QgNyAwIFIgPj4KZW5kb2JqCjEwIDAgb2JqCjw8IC9Bbm5vdHMgWyBdIC9Db250ZW50cyA5IDAgUgovR3JvdXAgPDwgL0NTIC9EZXZpY2VSR0IgL1MgL1RyYW5zcGFyZW5jeSAvVHlwZSAvR3JvdXAgPj4KL01lZGlhQm94IFsgMCAwIDQwMi4zNzkzNzUgMzE0LjM1NTc1IF0gL1BhcmVudCAyIDAgUiAvUmVzb3VyY2VzIDggMCBSCi9UeXBlIC9QYWdlID4+CmVuZG9iago5IDAgb2JqCjw8IC9GaWx0ZXIgL0ZsYXRlRGVjb2RlIC9MZW5ndGggMTEgMCBSID4+CnN0cmVhbQp4nN1YTU8bMRC9+1f4SA9MPOPvYxElUqUeoJF6qDgFSEtJK0Aq/fkdJ2E93mQXKlWJBKuI7MvsvGfPjMde1LcK9UIbfcufJ/1VX/L/K416yp+FMny3VM4Q2Jht9Hx7J28tOrDe87c7tpV335S6UZP37OSRH5oqZR14v34ognfly1LZjBBii941qLEQNi6FB4FuiGhNtGDZPBRIYjBMX35R3kDMhIakAgE6MBsB6oRn5UmdzPTkDDUaPbtRLkJAcuhipKiJIHs9u1JH5p2e3eoPM7UiVWgcZIOYrWSR6DgNGoRI6I0PCZPgoR6Pz2BYdnINj0Bf4PEekjU+B59NFjyu5SG0UHS3cZPoOA+ZDNnmkNiikoQeSYhALDqEhkSgL5CE8nuKMTmTUfCklscSgmU3PjZJKNBxnpLgOXJcykWCB3tZwC7AsXCXGiKBvkAUOI6JE61cVhJ1aXDPTxl9bDjhOX2fo5GBWB95PV+yx1K/4Eyg1cOTM9q4P/pRvCj2cv4suKstlyHYvNaLYHrgwPwjkHacUI5KnHeURfWfHGDu++/AEf+pDKXzj0P+ERNE3yeo6AgDlvCGjoIGKbwFi1sUHTpGwTPpqaOwgxQpQopbFB06RsGTaVJH4YYoiLPKbUW6oiMUxLMZaqz9IIUPkLeCXdExCp5NquEOgxTcK/xWuCs6RsGzGWu4Y62sUlTHpbzQA/Jgy9QHA34leryy/qwqy0PGuF70zNrgmfno68rAlnZgQ0Rh0qtOz42Ju4EvHH0nl7V+7/WOzmp9ZOGaQuCFgfTDtf6if7JiHgz3lUCFFHglWv9FntVofEpkPWX9sBi21I3lxbSxVMOWD4vNglWmtuu5ZXWrtT9f6skno09/dYYUOaBuc63GGd641fEbNDtX5/ofspT0R83Vyxu4V+YWZ+Hk9Pr39/n1xfREzx/Fnk40swrKZvN539oir+DrLYDQVsGmT+1dnNimCnUCbXrc/uXxAp95m2ZzI6+iTX/cv7y6+ZbyKtr01v3LSwEM51gb2w5suvLexYkDhVAn0Kaj71+e4yc5w5oVpYIHnrt6TpLqKnrYvKPsgPioidjIq+hhq1ac/uTRp6KHXfOsS2C3mplAD9sxxJFWyqvof2q2qYy26LOsDlmKQ4yh7E03qp3HV24EdknuxBVOs/UGqR+SXW+ydr6cYq+7XnEth15xFfvXvydrrTs3Y97P1V91UhoMCmVuZHN0cmVhbQplbmRvYmoKMTEgMCBvYmoKOTEzCmVuZG9iagoxNyAwIG9iago8PCAvRmlsdGVyIC9GbGF0ZURlY29kZSAvTGVuZ3RoIDg3ID4+CnN0cmVhbQp4nDWNwQ3AMAgD/5nCI8QQINmn6qvd/1tI1I99soyxWOhQS3EKwjsuNk7d+DaJQ09mAWUkjWWwUVQnh8QnZFqSsRazxb6dERCvDsV2osf+J0+7P7hOGcQKZW5kc3RyZWFtCmVuZG9iagoxOCAwIG9iago8PCAvRmlsdGVyIC9GbGF0ZURlY29kZSAvTGVuZ3RoIDkyID4+CnN0cmVhbQp4nD2MsQ3AMAgEe6b4BSJhjG3YJ0rl7N/mLSdp4PQP19KgOKxxdlU0HziLfHhL9YSNxJSmlUdTnN3aFg4rgxS72BYWXmERpPJqmPF5U9XAklKU5c36f3c9x6sbugplbmRzdHJlYW0KZW5kb2JqCjE1IDAgb2JqCjw8IC9CYXNlRm9udCAvRGVqYVZ1U2Fucy1PYmxpcXVlIC9DaGFyUHJvY3MgMTYgMCBSCi9FbmNvZGluZyA8PCAvRGlmZmVyZW5jZXMgWyAxMDcgL2sgMTIwIC94IF0gL1R5cGUgL0VuY29kaW5nID4+IC9GaXJzdENoYXIgMAovRm9udEJCb3ggWyAtMTAxNiAtMzUxIDE2NjAgMTA2OCBdIC9Gb250RGVzY3JpcHRvciAxNCAwIFIKL0ZvbnRNYXRyaXggWyAwLjAwMSAwIDAgMC4wMDEgMCAwIF0gL0xhc3RDaGFyIDI1NSAvTmFtZSAvRGVqYVZ1U2Fucy1PYmxpcXVlCi9TdWJ0eXBlIC9UeXBlMyAvVHlwZSAvRm9udCAvV2lkdGhzIDEzIDAgUiA+PgplbmRvYmoKMTQgMCBvYmoKPDwgL0FzY2VudCA5MjkgL0NhcEhlaWdodCAwIC9EZXNjZW50IC0yMzYgL0ZsYWdzIDk2Ci9Gb250QkJveCBbIC0xMDE2IC0zNTEgMTY2MCAxMDY4IF0gL0ZvbnROYW1lIC9EZWphVnVTYW5zLU9ibGlxdWUKL0l0YWxpY0FuZ2xlIDAgL01heFdpZHRoIDEzNTAgL1N0ZW1WIDAgL1R5cGUgL0ZvbnREZXNjcmlwdG9yIC9YSGVpZ2h0IDAgPj4KZW5kb2JqCjEzIDAgb2JqClsgNjAwIDYwMCA2MDAgNjAwIDYwMCA2MDAgNjAwIDYwMCA2MDAgNjAwIDYwMCA2MDAgNjAwIDYwMCA2MDAgNjAwIDYwMCA2MDAKNjAwIDYwMCA2MDAgNjAwIDYwMCA2MDAgNjAwIDYwMCA2MDAgNjAwIDYwMCA2MDAgNjAwIDYwMCAzMTggNDAxIDQ2MCA4MzggNjM2Cjk1MCA3ODAgMjc1IDM5MCAzOTAgNTAwIDgzOCAzMTggMzYxIDMxOCAzMzcgNjM2IDYzNiA2MzYgNjM2IDYzNiA2MzYgNjM2IDYzNgo2MzYgNjM2IDMzNyAzMzcgODM4IDgzOCA4MzggNTMxIDEwMDAgNjg0IDY4NiA2OTggNzcwIDYzMiA1NzUgNzc1IDc1MiAyOTUKMjk1IDY1NiA1NTcgODYzIDc0OCA3ODcgNjAzIDc4NyA2OTUgNjM1IDYxMSA3MzIgNjg0IDk4OSA2ODUgNjExIDY4NSAzOTAgMzM3CjM5MCA4MzggNTAwIDUwMCA2MTMgNjM1IDU1MCA2MzUgNjE1IDM1MiA2MzUgNjM0IDI3OCAyNzggNTc5IDI3OCA5NzQgNjM0IDYxMgo2MzUgNjM1IDQxMSA1MjEgMzkyIDYzNCA1OTIgODE4IDU5MiA1OTIgNTI1IDYzNiAzMzcgNjM2IDgzOCA2MDAgNjM2IDYwMCAzMTgKMzUyIDUxOCAxMDAwIDUwMCA1MDAgNTAwIDEzNTAgNjM1IDQwMCAxMDcwIDYwMCA2ODUgNjAwIDYwMCAzMTggMzE4IDUxOCA1MTgKNTkwIDUwMCAxMDAwIDUwMCAxMDAwIDUyMSA0MDAgMTAyOCA2MDAgNTI1IDYxMSAzMTggNDAxIDYzNiA2MzYgNjM2IDYzNiAzMzcKNTAwIDUwMCAxMDAwIDQ3MSA2MTcgODM4IDM2MSAxMDAwIDUwMCA1MDAgODM4IDQwMSA0MDEgNTAwIDYzNiA2MzYgMzE4IDUwMAo0MDEgNDcxIDYxNyA5NjkgOTY5IDk2OSA1MzEgNjg0IDY4NCA2ODQgNjg0IDY4NCA2ODQgOTc0IDY5OCA2MzIgNjMyIDYzMiA2MzIKMjk1IDI5NSAyOTUgMjk1IDc3NSA3NDggNzg3IDc4NyA3ODcgNzg3IDc4NyA4MzggNzg3IDczMiA3MzIgNzMyIDczMiA2MTEgNjA4CjYzMCA2MTMgNjEzIDYxMyA2MTMgNjEzIDYxMyA5OTUgNTUwIDYxNSA2MTUgNjE1IDYxNSAyNzggMjc4IDI3OCAyNzggNjEyIDYzNAo2MTIgNjEyIDYxMiA2MTIgNjEyIDgzOCA2MTIgNjM0IDYzNCA2MzQgNjM0IDU5MiA2MzUgNTkyIF0KZW5kb2JqCjE2IDAgb2JqCjw8IC9rIDE3IDAgUiAveCAxOCAwIFIgPj4KZW5kb2JqCjIzIDAgb2JqCjw8IC9GaWx0ZXIgL0ZsYXRlRGVjb2RlIC9MZW5ndGggNzEgPj4Kc3RyZWFtCnicM7Y0UDBQsDBT0DU0NlQwsjRWMDczUEgx5AIKgVi5XDCxHDDLzBLEMjQ3Q2LpmhlCZZFYIONyuGAG58DMy+FKAwDxtBYjCmVuZHN0cmVhbQplbmRvYmoKMjQgMCBvYmoKPDwgL0ZpbHRlciAvRmxhdGVEZWNvZGUgL0xlbmd0aCA2NyA+PgpzdHJlYW0KeJwztjRQMFCwNFfQNTQ2VDA2MFEwNzNQSDHkgjFzwSywbA4XTB2EZQZiGBmaILHMgMaBJeEMkBk5cNNyuNIAzoMV0wplbmRzdHJlYW0KZW5kb2JqCjI1IDAgb2JqCjw8IC9GaWx0ZXIgL0ZsYXRlRGVjb2RlIC9MZW5ndGggMzkyID4+CnN0cmVhbQp4nD1SS24FMQjbzym4QKXwTXKeqd7u3X9bm8xUqgovA7YxlJcMqSU/6pKIM0x+9XJd4lHyvWxqZ+Yh7i42pvhYcl+6hthy0ZpisU8cyS/ItFRYoVbdo0PxhSgTDwAt4IEF4b4c//EXqMHXsIVyw3tkAmBK1G5AxkPRGUhZQRFh+5EV6KRQr2zh7yggV9SshaF0YogNlgApvqsNiZio2aCHhJWSqh3S8Yyk8FvBXYlhUFtb2wR4ZtAQ2d6RjREz7dEZcVkRaz896aNRMrVRGQ9NZ3zx3TJS89EV6KTSyN3KQ2fPQidgJOZJmOdwI+Ge20ELMfRxr5ZPbPeYKVaR8AU7ygEDvf3eko3Pe+AsjFzb7Ewn8NFppxwTrb4eYv2DP2xLm1zHK4dFFKi8KAh+10ETcXxYxfdko0R3tAHWIxPVaCUQDBLCzu0w8njGedneFbTm9ERoo0Qe1I4RPSiyxeWcFbCn/KzNsRyeDyZ7b7SPlMzMqIQV1HZ6qLbPYx3Ud577+vwBLgChGQplbmRzdHJlYW0KZW5kb2JqCjI2IDAgb2JqCjw8IC9GaWx0ZXIgL0ZsYXRlRGVjb2RlIC9MZW5ndGggMjQ3ID4+CnN0cmVhbQp4nE1Ru21EMQzr3xRc4ADra3meC1Jd9m9DyQiQwiChLymnJRb2xksM4QdbD77kkVVDfx4/MewzLD3J5NQ/5rnJVBS+FaqbmFAXYuH9aAS8FnQvIivKB9+PZQxzzvfgoxCXYCY0YKxvSSYX1bwzZMKJoY7DQZtUGHdNFCyuFc0zyO1WN7I6syBseCUT4sYARATZF5DNYKOMsZWQxXIeqAqSBVpg1+kbUYuCK5TWCXSi1sS6zOCr5/Z2N0Mv8uCounh9DOtLsMLopXssfK5CH8z0TDt3SSO98KYTEWYPBVKZnZGVOj1ifbdA/59lK/j7yc/z/QsVKFwqCmVuZHN0cmVhbQplbmRvYmoKMjcgMCBvYmoKPDwgL0ZpbHRlciAvRmxhdGVEZWNvZGUgL0xlbmd0aCA5MCA+PgpzdHJlYW0KeJxNjUESwCAIA++8Ik9QRND/dHrS/1+r1A69wE4CiRZFgvQ1aksw7rgyFWtQKZiUl8BVMFwL2u6iyv4ySUydhtN7twODsvFxg9JJ+/ZxegCr/XoG3Q/SHCJYCmVuZHN0cmVhbQplbmRvYmoKMjggMCBvYmoKPDwgL0ZpbHRlciAvRmxhdGVEZWNvZGUgL0xlbmd0aCA4MCA+PgpzdHJlYW0KeJxFjLsNwDAIRHumYAR+JmafKJWzfxsgStxwT7p7uDoSMlPeYYaHBJ4MLIZT8QaZo2A1uEZSjZ3so7BuX3WB5npTq/X3BypPdnZxPc3LGfQKZW5kc3RyZWFtCmVuZG9iagoyOSAwIG9iago8PCAvRmlsdGVyIC9GbGF0ZURlY29kZSAvTGVuZ3RoIDY4ID4+CnN0cmVhbQp4nDMzNlMwULAwAhKmpoYK5kaWCimGXEA+iJXLBRPLAbPMLMyBLCMLkJYcLkMLYzBtYmykYGZiBmRZIDEgutIAcvgSkQplbmRzdHJlYW0KZW5kb2JqCjMwIDAgb2JqCjw8IC9GaWx0ZXIgL0ZsYXRlRGVjb2RlIC9MZW5ndGggMzE3ID4+CnN0cmVhbQp4nDVSS3JDMQjbv1Nwgc6Yv32edLJq7r+thCcrsC1AQi4vWdJLftQl26XD5Fcf9yWxQj6P7ZrMUsX3FrMUzy2vR88Rty0KBFETPfgyJxUi1M/U6Dp4YZc+A68QTikWeAeTAAav4V94lE6DwDsbMt4Rk5EaECTBmkuLTUiUPUn8K+X1pJU0dH4mK3P5e3KpFGqjyQgVIFi52AekKykeJBM9iUiycr03VojekFeSx2clJhkQ3SaxTbTA49yVtISZmEIF5liA1XSzuvocTFjjsITxKmEW1YNNnjWphGa0jmNkw3j3wkyJhYbDElCbfZUJqpeP09wJI6ZHTXbtwrJbNu8hRKP5MyyUwccoJAGHTmMkCtKwgBGBOb2wir3mCzkWwIhlnZosDG1oJbt6joXA0JyzpWHG157X8/4HRVt7owplbmRzdHJlYW0KZW5kb2JqCjMxIDAgb2JqCjw8IC9GaWx0ZXIgL0ZsYXRlRGVjb2RlIC9MZW5ndGggMzM4ID4+CnN0cmVhbQp4nDVSOa7dQAzrfQpdIIB2zZznBal+7t+GlF8KQ7RWipqOFpVp+WUhVS2TLr/tSW2JG/L3yQqJE5JXJdqlDJFQ+TyFVL9ny7y+1pwRIEuVCpOTksclC/4Ml94uHOdjaz+PI3c9emBVjIQSAcsUE6NrWTq7w5qN/DymAT/iEXKuWLccYxVIDbpx2hXvQ/N5yBogZpiWigpdVokWfkHxoEetffdYVFgg0e0cSXCMjVCRgHaB2kgMObMWu6gv+lmUmAl07Ysi7qLAEknMnGJdOvoPPnQsqL8248uvjkr6SCtrTNp3o0lpzCKTrpdFbzdvfT24QPMuyn9ezSBBU9YoaXzQqp1jKJoZZYV3HJoMNMcch8wTPIczEpT0fSh+X0smuiiRPw4NoX9fHqOMnAZvAXPRn7aKAxfx2WGvHGCF0sWa5H1AKhN6YPr/1/h5/vwDHLaAVAplbmRzdHJlYW0KZW5kb2JqCjMyIDAgb2JqCjw8IC9GaWx0ZXIgL0ZsYXRlRGVjb2RlIC9MZW5ndGggMjQ4ID4+CnN0cmVhbQp4nC1ROZIDQQjL5xV6QnPT77HLkff/6QrKAYOGQyA6LXFQxk8Qlive8shVtOHvmRjBd8Gh38p1GxY5EBVI0hhUTahdvB69B3YcZgLzpDUsgxnrAz9jCjd6cXhMxtntdRk1BHvXa09mUDIrF3HJxAVTddjImcNPpowL7VzPDci5EdZlGKSblcaMhCNNIVJIoeomqTNBkASjq1GjjRzFfunLI51hVSNqDPtcS9vXcxPOGjQ7Fqs8OaVHV5zLycULKwf9vM3ARVQaqzwQEnC/20P9nOzkN97SubPF9Phec7K8MBVY8ea1G5BNtfg3L+L4PePr+fwDqKVbFgplbmRzdHJlYW0KZW5kb2JqCjMzIDAgb2JqCjw8IC9GaWx0ZXIgL0ZsYXRlRGVjb2RlIC9MZW5ndGggMjEwID4+CnN0cmVhbQp4nDVQyw1DMQi7ZwoWqBQCgWSeVr11/2tt0DthEf9CWMiUCHmpyc4p6Us+OkwPti6/sSILrXUl7MqaIJ4r76GZsrHR2OJgcBomXoAWN2DoaY0aNXThgqYulUKBxSXwmXx1e+i+Txl4ahlydgQRQ8lgCWq6Fk1YtDyfkE4B4v9+w+4t5KGS88qeG/kbnO3wO7Nu4SdqdiLRchUy1LM0xxgIE0UePHlFpnDis9Z31TQS1GYLTpYBrk4/jA4AYCJeWYDsrkQ5S9KOpZ9vvMf3D0AAU7QKZW5kc3RyZWFtCmVuZG9iagoyMSAwIG9iago8PCAvQmFzZUZvbnQgL0RlamFWdVNhbnMgL0NoYXJQcm9jcyAyMiAwIFIKL0VuY29kaW5nIDw8Ci9EaWZmZXJlbmNlcyBbIDQ4IC96ZXJvIC9vbmUgL3R3byAvdGhyZWUgL2ZvdXIgL2ZpdmUgL3NpeCAvc2V2ZW4gL2VpZ2h0IDkxIC9icmFja2V0bGVmdAo5MyAvYnJhY2tldHJpZ2h0IF0KL1R5cGUgL0VuY29kaW5nID4+Ci9GaXJzdENoYXIgMCAvRm9udEJCb3ggWyAtMTAyMSAtNDYzIDE3OTQgMTIzMyBdIC9Gb250RGVzY3JpcHRvciAyMCAwIFIKL0ZvbnRNYXRyaXggWyAwLjAwMSAwIDAgMC4wMDEgMCAwIF0gL0xhc3RDaGFyIDI1NSAvTmFtZSAvRGVqYVZ1U2FucwovU3VidHlwZSAvVHlwZTMgL1R5cGUgL0ZvbnQgL1dpZHRocyAxOSAwIFIgPj4KZW5kb2JqCjIwIDAgb2JqCjw8IC9Bc2NlbnQgOTI5IC9DYXBIZWlnaHQgMCAvRGVzY2VudCAtMjM2IC9GbGFncyAzMgovRm9udEJCb3ggWyAtMTAyMSAtNDYzIDE3OTQgMTIzMyBdIC9Gb250TmFtZSAvRGVqYVZ1U2FucyAvSXRhbGljQW5nbGUgMAovTWF4V2lkdGggMTM0MiAvU3RlbVYgMCAvVHlwZSAvRm9udERlc2NyaXB0b3IgL1hIZWlnaHQgMCA+PgplbmRvYmoKMTkgMCBvYmoKWyA2MDAgNjAwIDYwMCA2MDAgNjAwIDYwMCA2MDAgNjAwIDYwMCA2MDAgNjAwIDYwMCA2MDAgNjAwIDYwMCA2MDAgNjAwIDYwMAo2MDAgNjAwIDYwMCA2MDAgNjAwIDYwMCA2MDAgNjAwIDYwMCA2MDAgNjAwIDYwMCA2MDAgNjAwIDMxOCA0MDEgNDYwIDgzOCA2MzYKOTUwIDc4MCAyNzUgMzkwIDM5MCA1MDAgODM4IDMxOCAzNjEgMzE4IDMzNyA2MzYgNjM2IDYzNiA2MzYgNjM2IDYzNiA2MzYgNjM2CjYzNiA2MzYgMzM3IDMzNyA4MzggODM4IDgzOCA1MzEgMTAwMCA2ODQgNjg2IDY5OCA3NzAgNjMyIDU3NSA3NzUgNzUyIDI5NQoyOTUgNjU2IDU1NyA4NjMgNzQ4IDc4NyA2MDMgNzg3IDY5NSA2MzUgNjExIDczMiA2ODQgOTg5IDY4NSA2MTEgNjg1IDM5MCAzMzcKMzkwIDgzOCA1MDAgNTAwIDYxMyA2MzUgNTUwIDYzNSA2MTUgMzUyIDYzNSA2MzQgMjc4IDI3OCA1NzkgMjc4IDk3NCA2MzQgNjEyCjYzNSA2MzUgNDExIDUyMSAzOTIgNjM0IDU5MiA4MTggNTkyIDU5MiA1MjUgNjM2IDMzNyA2MzYgODM4IDYwMCA2MzYgNjAwIDMxOAozNTIgNTE4IDEwMDAgNTAwIDUwMCA1MDAgMTM0MiA2MzUgNDAwIDEwNzAgNjAwIDY4NSA2MDAgNjAwIDMxOCAzMTggNTE4IDUxOAo1OTAgNTAwIDEwMDAgNTAwIDEwMDAgNTIxIDQwMCAxMDIzIDYwMCA1MjUgNjExIDMxOCA0MDEgNjM2IDYzNiA2MzYgNjM2IDMzNwo1MDAgNTAwIDEwMDAgNDcxIDYxMiA4MzggMzYxIDEwMDAgNTAwIDUwMCA4MzggNDAxIDQwMSA1MDAgNjM2IDYzNiAzMTggNTAwCjQwMSA0NzEgNjEyIDk2OSA5NjkgOTY5IDUzMSA2ODQgNjg0IDY4NCA2ODQgNjg0IDY4NCA5NzQgNjk4IDYzMiA2MzIgNjMyIDYzMgoyOTUgMjk1IDI5NSAyOTUgNzc1IDc0OCA3ODcgNzg3IDc4NyA3ODcgNzg3IDgzOCA3ODcgNzMyIDczMiA3MzIgNzMyIDYxMSA2MDUKNjMwIDYxMyA2MTMgNjEzIDYxMyA2MTMgNjEzIDk4MiA1NTAgNjE1IDYxNSA2MTUgNjE1IDI3OCAyNzggMjc4IDI3OCA2MTIgNjM0CjYxMiA2MTIgNjEyIDYxMiA2MTIgODM4IDYxMiA2MzQgNjM0IDYzNCA2MzQgNTkyIDYzNSA1OTIgXQplbmRvYmoKMjIgMCBvYmoKPDwgL2JyYWNrZXRsZWZ0IDIzIDAgUiAvYnJhY2tldHJpZ2h0IDI0IDAgUiAvZWlnaHQgMjUgMCBSIC9maXZlIDI2IDAgUgovZm91ciAyNyAwIFIgL29uZSAyOCAwIFIgL3NldmVuIDI5IDAgUiAvc2l4IDMwIDAgUiAvdGhyZWUgMzEgMCBSCi90d28gMzIgMCBSIC96ZXJvIDMzIDAgUiA+PgplbmRvYmoKMyAwIG9iago8PCAvRjEgMjEgMCBSIC9GMiAxNSAwIFIgPj4KZW5kb2JqCjQgMCBvYmoKPDwgL0ExIDw8IC9DQSAwIC9UeXBlIC9FeHRHU3RhdGUgL2NhIDEgPj4KL0EyIDw8IC9DQSAxIC9UeXBlIC9FeHRHU3RhdGUgL2NhIDEgPj4gPj4KZW5kb2JqCjUgMCBvYmoKPDwgPj4KZW5kb2JqCjYgMCBvYmoKPDwgPj4KZW5kb2JqCjcgMCBvYmoKPDwgL00wIDEyIDAgUiA+PgplbmRvYmoKMTIgMCBvYmoKPDwgL0JCb3ggWyAtMy41IC0zLjUgMy41IDMuNSBdIC9GaWx0ZXIgL0ZsYXRlRGVjb2RlIC9MZW5ndGggMTMxCi9TdWJ0eXBlIC9Gb3JtIC9UeXBlIC9YT2JqZWN0ID4+CnN0cmVhbQp4nG2QQQ6EIAxF9z1FL/BJS0Vl69JruJlM4v23A3FATN000L48flH+kvBOpcD4JAlLTrPketOQ0rpMjBjm1bIox6BRLdbOdTioz9BwY3SLsRSm1NboeKOb6Tbekz/6sFkhRj8cDq+EexZDJlwpMQaH3wsv28P/EZ5e1MAfoo1+Y1pD/QplbmRzdHJlYW0KZW5kb2JqCjIgMCBvYmoKPDwgL0NvdW50IDEgL0tpZHMgWyAxMCAwIFIgXSAvVHlwZSAvUGFnZXMgPj4KZW5kb2JqCjM0IDAgb2JqCjw8IC9DcmVhdGlvbkRhdGUgKEQ6MjAxOTA2MjYxNTQzMjkrMDInMDAnKQovQ3JlYXRvciAobWF0cGxvdGxpYiAzLjAuMywgaHR0cDovL21hdHBsb3RsaWIub3JnKQovUHJvZHVjZXIgKG1hdHBsb3RsaWIgcGRmIGJhY2tlbmQgMy4wLjMpID4+CmVuZG9iagp4cmVmCjAgMzUKMDAwMDAwMDAwMCA2NTUzNSBmIAowMDAwMDAwMDE2IDAwMDAwIG4gCjAwMDAwMDg1NzUgMDAwMDAgbiAKMDAwMDAwODA5NyAwMDAwMCBuIAowMDAwMDA4MTQwIDAwMDAwIG4gCjAwMDAwMDgyMzkgMDAwMDAgbiAKMDAwMDAwODI2MCAwMDAwMCBuIAowMDAwMDA4MjgxIDAwMDAwIG4gCjAwMDAwMDAwNjUgMDAwMDAgbiAKMDAwMDAwMDM5OCAwMDAwMCBuIAowMDAwMDAwMjA4IDAwMDAwIG4gCjAwMDAwMDEzODYgMDAwMDAgbiAKMDAwMDAwODMxMyAwMDAwMCBuIAowMDAwMDAyMjYwIDAwMDAwIG4gCjAwMDAwMDIwNTIgMDAwMDAgbiAKMDAwMDAwMTcyOSAwMDAwMCBuIAowMDAwMDAzMzEzIDAwMDAwIG4gCjAwMDAwMDE0MDYgMDAwMDAgbiAKMDAwMDAwMTU2NSAwMDAwMCBuIAowMDAwMDA2ODY0IDAwMDAwIG4gCjAwMDAwMDY2NjQgMDAwMDAgbiAKMDAwMDAwNjI4MSAwMDAwMCBuIAowMDAwMDA3OTE3IDAwMDAwIG4gCjAwMDAwMDMzNTUgMDAwMDAgbiAKMDAwMDAwMzQ5OCAwMDAwMCBuIAowMDAwMDAzNjM3IDAwMDAwIG4gCjAwMDAwMDQxMDIgMDAwMDAgbiAKMDAwMDAwNDQyMiAwMDAwMCBuIAowMDAwMDA0NTg0IDAwMDAwIG4gCjAwMDAwMDQ3MzYgMDAwMDAgbiAKMDAwMDAwNDg3NiAwMDAwMCBuIAowMDAwMDA1MjY2IDAwMDAwIG4gCjAwMDAwMDU2NzcgMDAwMDAgbiAKMDAwMDAwNTk5OCAwMDAwMCBuIAowMDAwMDA4NjM1IDAwMDAwIG4gCnRyYWlsZXIKPDwgL0luZm8gMzQgMCBSIC9Sb290IDEgMCBSIC9TaXplIDM1ID4+CnN0YXJ0eHJlZgo4Nzg5CiUlRU9GCg==\n",
"image/svg+xml": [
"\n",
"\n",
"\n",
"\n"
],
"text/plain": [
""
]
},
"metadata": {},
"output_type": "display_data"
},
{
"data": {
"application/pdf": "JVBERi0xLjQKJazcIKu6CjEgMCBvYmoKPDwgL1BhZ2VzIDIgMCBSIC9UeXBlIC9DYXRhbG9nID4+CmVuZG9iago4IDAgb2JqCjw8IC9FeHRHU3RhdGUgNCAwIFIgL0ZvbnQgMyAwIFIgL1BhdHRlcm4gNSAwIFIKL1Byb2NTZXQgWyAvUERGIC9UZXh0IC9JbWFnZUIgL0ltYWdlQyAvSW1hZ2VJIF0gL1NoYWRpbmcgNiAwIFIKL1hPYmplY3QgNyAwIFIgPj4KZW5kb2JqCjEwIDAgb2JqCjw8IC9Bbm5vdHMgWyBdIC9Db250ZW50cyA5IDAgUgovR3JvdXAgPDwgL0NTIC9EZXZpY2VSR0IgL1MgL1RyYW5zcGFyZW5jeSAvVHlwZSAvR3JvdXAgPj4KL01lZGlhQm94IFsgMCAwIDM3OS4wMiAzMTYuNzU5NzU3MDUxNCBdIC9QYXJlbnQgMiAwIFIgL1Jlc291cmNlcyA4IDAgUgovVHlwZSAvUGFnZSA+PgplbmRvYmoKOSAwIG9iago8PCAvRmlsdGVyIC9GbGF0ZURlY29kZSAvTGVuZ3RoIDExIDAgUiA+PgpzdHJlYW0KeJylfUuvLrtx3Xz/ij20B9ri+zG0oFhAJoEeSAI4HhjytSJBR4Ei2Jrkx2etqiLZp1mSEOQK196Xa63ur7v5qCKLxfj5u4/4+ZvP8Pk7/Pvnz3/6/Gf8/3/9jJ8/w7+/+Qj4r28fuc+vkPDn79efObavXmevHWXh+//8nx8f//bx43+A/E+Q/OzjI4av/pnqVymdDFyv9a+RHkW/30UzftV1IdU9S+zSSS/9G/xE/Oyv8fjhuCGRj9K+SsTv7F+15F5x01VSvoKU/P7j4yd49j9//BH/N3z+KOBqGQ9Xyoipfqb0Nevnr799/ORXnz/+x/gZw+ev/u1jfOU+Zmgg4L//9ePvyt9//up3H//pV7hK+Aq8EP63/oD6xz/94Xf/8l///Zf/8oc//ejbb//w73/6/On/+vg5/ic/+yNGPHZuz9+5i/7aD414N6WN/5dfmv4/f+mYX+n7H2ol1+/87nfE0b7CCPn8Uv6YwB/ziR+jF08tfLVRnlffRX/98qlCAsL3l0/fXz7n9BXDeF5+F/31y+c0vmYar8uXdfln1WmZFRivpMtXke8hr/vzet1fTQnPV/5fvv3wm3/526+8fvVHyV945b1+zSCfPuevjnrS3bdu18cHmrHG2c4NTtFfuEOb+AV8zJG/Yhw5xVh7lptE/y4xt680Wivp3OZR9rfuE/G9ypi99RxL04/8F26Ea7c6whiPG52yv3mjEb9Giynm0uOQG2X/RilXdIWz5seXeZT9rRulHL9STq3Ohj5O69VfuNEoXyWEOeLjRqfsb95ooMKFEkPtoxW5UQ2nBrPy/ojVMra0FD1bnxtqLFaVWW9HZaXCFc59/u7/SL+Sv3KbsZz+5sf/mBbjvwujQR3qqJMVN7wu8j/+zq4yAyoFXny/L/ODXabFVurI+OeTTU5amzG7EH8nRLQRVBbDf/Q989z37//Cfe2xVvsNfTVg/IWOoI2Ue8shxc/CborP9Nca9B8/vx8E5b1m9F0YkVJraEPp83//8PnfPv/wieEO41kAEmsbLfEXoa+3fzqqBtQD969pfv7iZ5+453/89tc//OJnP/n89Z90zKz44K1kaQD4bzBz0cKO3okV5pcuoHT8vKLX6CGlduhvQOgDrb9baRqjb/oFKL22GLWwjFYP+1Wu5NHnmFqKijUP+w0IfcbZi5X2PM9PuQClo5Umuyer06G/AaWj97HHmXj8w36VcwRHH9DKWKV5rF/uAEpH1bOyEuohf18sVPS2MdmzjFHOlS9A6XitbT360N7ily4g9BQSDCB7sTWfq1+A0kuKra/PlvKhvwGlj5JqsipR5zj0NyD0nNJYTxRiP/QLUHqPsVStzq3l8xovQOglolZkLc021P3SBZRea0OLYmmdoR/2q1zJ6Aqjvq1aczk/5QKEjsEc/bOUlll23XIApY+eit4SjfzxkS5A6K1NdCVSihdXNvtdLmQ0j1abFCaMLueXX4DQB95P1h+IynreyrtcyBisYpWHh61Q8nnMCwAd5llteKVSio62rs/vAEJHQ21THqegubS26Rcg9DZX68r4EvXQLwD0jHab5pTSFEvZlcsBhJ4xnlQpheWbd3VxANALn4PNpWC4h7W537oDgI7xP4XRPstgu+lxvce7HFY0PlzLM+ES+OCpxW49gAeADqMitdkGPSHUCXQSRncA0CsHQn66PIjXYa/RA2jSo+ViEKksjTHn/WMcQOgD3S8eGvbumGO/Rg8AHYNpKaFraay7j/YAoZeK0szSnkOLY9MvQOiNXyyyFNWpjbzpFyD0XgJqm5Sy1zlXvwCho+lGdNosLRHD+6ZfgNDnRO8hT9QIz02/ANDxUkPD4C2loaD/NroDCD1FtEP1nlFf+2a/y4WMLxGa+m4dZkfZ7AsQeqGlpb5YD2UNjR6gdFgmRS/Sdp/hlAu5lh7kVVV0hW1zX8VCbTTw1ZWqZY90HqD0Doujaymc7/NKLkDoHfVZ74jRPpyLv8uFPEIt9uCl7Y7OA5Q+ohaVei78XaHQZqk92b3yaId6AaBPGLbnXrnv2u0ASq806uyWcXWfHiD0GDKMfysduzE4gNJHC/ZS1Xvd9Dcg9NTosWnpnPX89gsQOqpwzvrFYIKf3/IuF3Jhx5RX5Znn2hcg9Br6sJmGVtpulw6g9IkfqFU+nUp4lwu5dbwqffgRwjjv/AKEPgK7d2mr6M/OY77LhTzxzFqFGnrIet74BXz7yHBOAmwk7cNYJ+yteIDQU6Whpl1e5fi36Bcg9IpaIdfosYflJDjlQh4xzynfGPY3rrHZFwA6jMEKMQsnmmu2zsopF/KcBfaIjEpDjIjFvgDQaTqg948y5o1tIzrlIBeMSRgIZMoRNltaX9MDOGFKvxFW/WehbQfTfb1CBwAd0jDgV36WhFccR7F+0wO+fUBaMG51KR05lfWBPAB02OsJgy5KM7zUHFcf7gFCh73GBoLSlNP2tDxA6BN9O6xelGbUz3yufgGg4zk6mqLcE05HX1XXA4TeQoj40izFt0hz0y9A6APGoPxCNIPyYL/LQaYxmGuWS1TYVMtK9ACh08HXx68jrhbqlAsZrwftlYUtpLJfogMIvSSYGXJHVIq53HgPEHoNg/NqUgoT4tAvQOgw7gO+rvyFFr/Z73Ih03VAzy6FGC37Zl+A0FE/Q5ev3AqGkvOgFyD0iVtWvUihB77pFwB6+YKRwX6GpRV22KI7gNJnrEkvUnNcNqIHCD2ic536tmB05EO/AKFzrtheAI2N82MuQOgYKmENWmla7pYHCJ0vCV2T3rPEc/ULEDrne6N+u5rqruoOIHTUnpC12pXZ+nnUCxA6TLretNrB/mh50y9A6LAcs76uEvI4F3+XK5kLIXpHmbnZ5Fe5kGfnfA3L0qihbfK7HOT6FdBBDX2xKaZmw4UHCD3izRa9If7Mh34BQseNpn62ipFqzeV4gNALeuw8tVt4st/lQq4cDLTDgQeTNvldLmROME2pboBzPpe+AKHDTkta9yvnhc7FL0CW3WJFuXRnME7T/vQOoKt0MFCTlALcxrMHgN7xJVLQlpVyOK/FAYSOXp5zuOyTYYjtRuEAoMPjgeuAH8YOP+a6zD8PAH2yPQUZLWPvZVfbu/zbR014HrjdTUZudA+ri/YA0Fn1O8cQjOE541tY5fIA0NsXCsXNhNOR8KFtLPIA0Duep+Qo/jqsjrlGUQ8QOoyCSq9gfKEZ0vtd9AsAndJiLjJ65bpmFTxA6DDaWxBLjx96bPa7XMiwflIW061jkG99sy8AdBpAeKdmRaa6RiMPEDqtWDXF24hjDXUeIPSa0ROLmQ+/uh32u1zIbQ6uIIixvDs5p1zIA15xTmqI5z7PpS/g20cLX+hVk/kbk/dWugcIPcKcmer14mn6oV+A0OFYFfPyOiybtukXIHT8pd5MQ+G59qtYqAX2bFTvFF3lcv08QOgYjvpy2trjZ7/LhUzz2FaZga+x3wOUPiJnc6Q0xHYe8gKEDicMZps6m7Bq46ZfgNBHLubilTrqufi7XMgzwiS19XG8h7nZFwB6hM8OXzMvFz+sn+IASkevHdbq+za4PUDokUuDc91zvxcHEDraYF4/sbaZNv0ChJ7ZxO0FYIg9V78AoWNgzWXY/Eta/ZYHCB3jErxvLa0cqxb9AoTeAi6j96yc29v0CxA6fFn1OCs6/DVYOOVCxuuHW2BOfmnnI12A0CesdmsusGrCeY0XAHrivHSP2m7nmSD0AKHjiat+Os5/LffSA4Re6N7ptCGGnF42/QKEjnE+JZvyDHvKxQOEDv8Xdo92rXXXgLsc5Mx5dAyq0m3n1ndtdAChZ3gaceiswExrrsgDhI6Xa4PCRG1dk5seADos6wKjo8vox3a5PpIDgA4rcsCJTCyFt7RdVw8AnTO6M9lAD4N2LRN4wLePrhWDHg2aTskh2KN6AOiM42iFyweormOO9U09QOiwDNlg6JZPdJl10y8AdDhAteYk9hJuHtbanwcIHRUz0L5O9Jz23LwHCB1u8iwyqVFGWKaRUw4yjHHYKJGFOcLSt5bhlAsZdkZIcgn0JrvD8AChY8jjIhBLuaTeN/0ChI6WGK10omtIm34BQkdvj66PpQXO+Fpv9QDQGVVQc5WLoPferrEHCD3FxjkYlsJF3e/cAYQOe23qlyicYO+bfgFCh50nLhBKWwxrdt4DlD4bHklL6xrwnHIhwyBodgm0m8e1L0Do+HNUfR6MzeNc/AKEPmIvPWop+4ZNvwChz6i+O0vnqOfqFwA63BQ8f9IHwti8vCMPEHos6G6qlba1nOsBQk81sKfUe+Y1IeEBQqdRO6wUHva5+gUIvaAnW0/EGLBNvwCho4PHsKnf7syle4DQe4QJZ6XxkF/FQh0NXvvUKnfWWz1A6LNm9IBaoVGl06ZfAOjosssMdsfc0vIwPEDoKfakPUOJMjQv+gUIPeORh1Y6+HprYs8DhI6vNpO8WjjbdXkNHiD0hr5Gu0B4K2lZ6h4g9MF1JnkivOPHk77LQZ5wZkPXQs5XLRvWA4ReS+tTfmAKsIjjpl+A0DEIV6n+MYY9g+2Uf/sYgSveTS/B9fW1huYBQscQVaKMUSMyeHTTLwB0GIezDE4laojFmmHyANA521sqXy3tbdR/6wE8APSBusMbZX7Bmdc7d8pBxrvCp9K1BE4krWbhAd8+ZuAUSy26rIGnt+d0yoXcBsxNsZjwR1/DqAcIffY2gi6wNIwQh34BoMPcnzXp4jHN4fWJPEDolX6yWpL1zC96gNAxGk/9iQxrWLPGHiD0kYNZtSntRWinXMgTnYgu9cEDaau2eADojCvGLdWVmGgri+4AQkdHyYg3W71bLdQDhJ653m2r6mENjE65kDEuJVsvRf+0OgsPEHqdEoelXnMK5+IXIPRON9hcrDN0eYDSp8xTigMHi6ke+hsQOrrumtZaby7nx1yA0DGIlbU0XMODfgGgZwZy4jrmq8Zl13mA0uFBlOU4b7vOA4ROO2KHbo8VAOYBQqeXnZYXv6dTPEDp7LnTcpzjYb/KhQx/INunw4AWzy+/AKFLp2ML8ieMygOEXmMz9xBe845y8QChY8C2KTm04jjO1S9A6WgmNducT1v2rgcIvXOa32JCWnw86gUIHe5vXy2m7yBNDwC9cD7TImswuNLJVboDCD1OawINXX047He5kNF12+PDcktr3tADhI7mYnE4sG7LsjA8QOiwI3rU+cQeWjlXvwDQ4XwG+DbyPD3VvgxYDxB6Lvhe5jhz3mfTL0DovQz7iWPmumYDPQD0xjBoucScPa6R9C4W6uCMmUxU5xZq2dx3Oci0xcKaBZ+MfDK2AzD6lw784EhGs4PTjzv+10EoqF/ou+Ee6AJBmju6+AZIV9djyPID6mdac94uQkFn9H+LsoiXU0I1XQIHUQGq9AxSXIDncQQXQgGtW1lOYjFawY6o9BAV5BqjrrhwFnUe/htQegsMude1qLGXM11EBX12BvHIsliGwX0EF6KCCeNffydafV7Ldy5CAaOXUFdsFTDEzb8BpcOKSrbcjb63PvgXooKEwTbYireYDltwISrA39y0oWveObcjuBAVwM2BUaLFra9IDhdRQc0YNWwxOOwx30VUQJ96LZRz5fEILsQEk5aXLTefQF4PUQHMx5ZtNTuez3wDSh9ZbBlbLD+bChxEBTNxynRdJzxucCEMXOauDwal2mL/nDuG2kFUECMGbiuO6UTpO4gJaDLru4bZOZ6CN6ICGuTNitue3HMRFWBgmmFFT9T6EFyICeB86rehHRof/BegdLrLzUI/Sk4P/oWoADbc1CiXxqihxyNfiApaHMXiP1JYc/EeoHT4Y80qFzq5vZHFQ1Qw4NpaLzW5weQILkQFk2axLncPsTG34EIoiPDMUKmkzdKJKfsnOYgKcpwpr45zrxK5iApqSowwZc88czx7AxxEBb1yN5UUF8YoHsGFUJA4z6SRKTSp2n7mG1A6OjUrTnHONg//QiiQcKbRxL9H2Y7QcxEKOMeL2itTU/nhnbkIBQw7mDNK4HvtOZzW7CAUoJtKfRSJyINZvfsvB+DOAnyaUYPO9dfIsdj4HkKBOHpib9J1L5zdNIGDqKD1CTNS7J9RwpqRdBEKaDnkqsuygzObq/F7iAo4zaqBmb2gOqYjuBAVtDZHNie+x/q4w4WogCEu5jtzm9tDcCEUcJ9um1oK6/Dwb0DpcEHHsIWr1nYn7yEqSGrKiGWOMb4ewYWoIPfcoi28wZ7oR3AhKigD398Wx3vc5oKHqIB2kK1hNi6QHcGFmACmpa2Rpx1R4gFKZ6BDsFXMUcrj+hdighnactPy3gPhIioYPeF5zGts/XGHC1HB1Gls9Ur3Uo6LUMDttrWsNeoy9w1uwOi9MczP3Pttx3uICrig2fYa+GnNDmIC9ARrWTtvq9YBlJ5iolGjtw31wb8QE9S+XOWCFvh44gtRQeZClc05cD7mCC7EBFx5WPsO2uktHMQEo4+18D9iewreiArgmra2Pv4s5QguxASw8Ff1Sqk83tKFqKBixLaYeJY/ftKFmGCsnhM1/gy1HqKCNmIu1qb23tS7XMkYJ1qyiP4Tje8iKuB0sj3WwJt7CC5EBZMzLhbXL3PYW3AhFDROWzSNeGBcxba/PEQFnFuwiCf0IeejOYgKMpyAFfSU9yy7i6iAPYcGSjBk/vRfDqKCzsgrW+OfO2rNRVQwU7IQArg2ew+Fi1DQv2hcWYAabLRdjW5A6Q1fZ8jsQeCuunn4F0IBdz2VpPFyMAj6GUQchALml5g5yNaDibZ7xn4H4VZELsfijcEKwnedM+wNoB5CASPb0qDZNGkcnC3dHsLdi3RRsqyc06FLcdt4HqICtL8SZHsw/ut8Zw+hgLE/lduEuCkz9L07yUVUIJtsZM9nCGdgcwClw96AGaR7RMMOlnQRFcwSg/7OyrjBw38DpHOpCmOFblmF07RNTg9RAXdyRtmEzIWa7cZ7iAloM+meaIyNu6J6iAqyrulUcZ92YKOLqADOQLR90TmG+RBciAoYHDd0gzEH1MdPuhATwGad+ku5SzM9BG9EBdzx0rJtp257dsRDTDDj0N26TXZtPgRvRAW9pBlWRoUd1OciJkB3PnSfNFfNnoI3ooKRepq2sz6eXe4eYgKZB9DiXMLjDheiAob72MuDTxcer/VCTFC52qSpAWJ7VNY3YHRYZmPlSyjh8VIvhAJGZrW8MknM46R6iAlQC+vKhLDdZgdQOjrD1CydwNzLtS5igs5/1u+MjxtciApSlF3H+ibStjo9xATc52Y3xij/eOQLUQEuEsJc3/L0MA5iAmmFq7bsLeceYgLUR91Gj/pY4lPwRlQA04w+gdb4va7pIiYY4hVrboT2eKtvQOmVG3YsOUIZe8rcQ0zQ4V2t9Ag5PH7QhagA1km2XqFwUD2CC1FBjxx4JenBnPnxi96A0kfAk+lt4UqMxw+6EBXAaRo6elXYKONRUy+EAvi6He63Di/o1rbZ6SEqgJOFRijFgckHjuBCVFBg2Qepjxgey+lTHUQFDR2hXocpcfaMkIdQQEdrZk3fgReRTp/qICqoafA6sCIIPwUXQgGjldDtFGZCKLHmM/I4CAXM+pYrpygbx7IdD+AiENQi31+tObh0O3bfRSioTCbBkBhGdDL6bgschAJJmlbUZUcTPJXbQ1SQmLRALd5W+rZ5PEQFJWULqG7c8FiO4EJUULl71UIp6rYLHUDp6ACbmuDMNZMfT3AhKug9VJ3JqTPs2AYXUcGItdcV+owWdgQXYgJuBVRXCK7y85EvRAUTRquFbLA2xyO4EBOgN7ft8vW7j/AGSO8Y8GRnipSGuccFD1FBDPHsgD92noeYAF7unhQ4a2AeooKEMeKRLO/xky7EBJCnuK/TH4I3YoIpsTU67dDG8w5vRAUZntAKbGAOsiO4EBNMJgmzSYGWnoI3ogKYoWvyp8riwxZciAnQ29qif6v1dAAOooJaS9Rp0NrPJIwDKJ1bUlYF5o7Ew78QE7QcbJaC24ce/BegdDgzc9ic5jxTix5iAkmLpW2cI8FD8EZUMMZIGgXGdD398ZUvRAXy3szH73trpotQML4iN0pZgAE85v3MDqICGjYaBzIZPf4QXAgFcHMzN27LhD0GpCNwEAi4SwkOExdNuOuHE98m8BAKON+FfiF+NslyWo7AQSDokZGmzLDA5Qp0KHvztQ9R0vlwMG8+mU6w1sc6uAtBMgo3rHMpN3GjG7fbLIkLfZMsnwM+XWPywIJ3mHeKJA+hgO98cqUrMbx0POqgC6kE4wbtrtSnJI7cs6supBJU5oBWy3I83onccCGVzDmYsYjlTAa2OygX+iZpGjHEwKHQcliEe6BwIZNMPGPUcvSOe9LBhVQC84DmuJSjQWyb3YVUktCaYTpLOdz53Z27kEl6YMi2ludeH3e5IZVk3BDvQsvxTh93uSGTMLta2T+4PRRvRAXMJjPsnWA4efyqCzEBLJdc14vfWz19SCVMiDj6+rzH93UhkwzZICmVaKQWHw9yQyrhrnutEHTN0qOuXIgKJtdWtaLCKY7lUVVuCBIJ8GVXIA2Iky3r2T2EgopeKXEDVuLknuaqMYUHfftIgcHSgYvWkZGw6KJX5IUPUdK4houR/VOWpEbbq/I+xPxl3OeT8Fo+Gxcc615BdhEK8BI5jcZwL+6h2vSrHOQUuOmo6kY+OBJpJ5jyEBWgNQYLUwvl5HbyEBUwn4wu43TNSLMFF6IC1P6m4bBc2sv9CC5EBZ3LABYkuMO2PcDoc5pB0DA2hscPuhAVDBgmtiYz+w4FcREVcMwttkRBy+8ILsQEsL3Hsr7b86VeCAXMo9nXemYZO4eTAxi952w7MNF9t/zgvxEVxJTq2hGctyfvIiYYKa+dtWi47SF4Iypgd2JmIoz1/hBciAlQfVdmLbb0h+CNqADtKa+0YHnUh+BCTNDZ0s1c3xtXXEQF3GPbzPp+tH8PMcGoqxhOzegPwRtRAWxj7iWTYljTjztciAlma9FCffFlHzXjQlRAj9iW39BjPWrGG1A6bLL1Jkao+fFSL8QEBU7Dzpm38915iAoGt8CosRuY9fEILkQFMxd7ExiSw/MrXAgF6StwLlaLB660BQ6igpxSVrcM5t7Jw+ghKuh0rXSxi2la5hFcCAWcNu3Mp8RJEFT5nXLQQyjAaNFn041dYTDT/RI4CARZ8lcx8KEwKjCtdK8eQLrmDNJp2cSdo+sHeQgFnH9jz6CzY33HZLuIChK8rCaz6RXm8W7PHqICfpqkaVLZptoRXIgKKm6rk9eM1t69noeogOHRYeikY569H8GFmACtNus8KIbLnXHTQ1TAbYSWize1uYJsXEQFA5XelihKLOVxhwtRAUPvpi5ScGfT47VeCAWVq91p2MLP3jfiAUbvzG2sxbmk+OC/ERVEuoo2Oc4U40dwISaoEsQvxbM/bvAGjD5GXdmQYXrVB/+NqAAtdq+aSE6NLbgQE6Cer2zb9XyCG1A6E5LpCiVzJD2vfyEmGLHsHNoxPm5wISooZaVF5rJPPvw3oPSqUVt62z3oOIDRmfLQSnuLT/4bUUFjPLyt4Iz8+PlvwOi1c0TUBZwdR+EiKuiBgUxSGp70V7mRucupr0rVHy/nQlTAlLiWe73FWh+f60JMIMvC2o7aDI8KfSEqQHcZrd5WiR/aggsxwRyWm7yENB6/6A2Q3rivbtp6FXyUtB/ZQUwwOGWrqzFh22oOoPSEZmRL7rCPzwd2EBXAM05Je9e4d1F7gNIr2o6mnOYe3njob0DpPUnUVpWE1iE9Ln8hFHSMtMzYL+swI7awn9dBVJBx46lDXJZNOVtwIRRgLO+9lCFjKPf+b4GDqACNWeKdmdj6YYJ4CNNSZ/gBedb0yYUuvJQ9+HkIBUy1y0hqSaMJd2xN3bkIM1nLklPQhZvcMMit1+ohKsBfsiMOD5niTsfhIhQwVmUyzzYdxM443SVwEBXA4Bnq/DCR3fYEPUQFfVSLhe3sCh93uBAKEvPYFfXH2APuwclDVIDxIRbbfcsoriO4EBXI3h91Qetuyne5kpk5RNM2MYtge9AvRAWVqbottq1993MuRAWwFeowK73uLIcuogJ4O6Gv6fm9D91FVEDn3xyHNnZuXBcxATOyWnqgtNdPXEQFsPBGtKWhtmc0XYSCzFQSs1pOa1TI/dAOYoJRo+2ArI9Uwx6igoiWsQJDR9hzCh5igiHJ/Gy1apvLHqIC7mlva2kolcdPuhAT9L5zXZV9qoKLqIC75VboaZ67X/UQE/S5lujKmSd1ERXgafIOMQ7l8dAXogK6wis9NoaAh+BCTDAxAltEL8b7x5e+EBW0nFZwq2wC3Pw3YHTWYUt9FndMl4uogCdSdFtvy2Vn/vYQE/Q+LM9blZpzBG9EBSPPYnUeI1h9fLYLMcFMXPPQOaJWHhXjQlQwR4821cC1/YfgQigodDzHiv9Pde6f5CAqwPuyXRh1Pu/gICpIDNC3Rbqan4ILUQFjC5udC5D2YoOLqIA7pacWo8XvhPAeogJONtq5BgPdYTuCC1HBFP9HhqQU9nEwLkJB5cETTfueDpfy1CUHUQGzkOqgMZhIOR3Bhahg5BosqHekmA//DZAOc45pfDQN+GQ/t/gO8k2OqguMoJVYj8Io5v0EDkLBhMEbmXkpyLTjnoVwANBb4XK4JQGCwX4sTw+hQBYZuYLHUDpubF39hYdQwNjwybh/Bq7VscOPXUQFTBuum5Hz6HtwcwClt8wzzRgjFh+f2AFIx2uLEgEju9rqTrXiIiqItAt0pzDa+p5Q9BAV5IhuRLPrlrl3c7mICtCYgt64dmaHOIILUUEdPdhWvtHG4xe9AaX3ROdTdi+GvFe9XUQFrOGW8BsGRTn8N6B0WEt5pTauZ4rGQyjgbvCYNHE6xoywp5k8RAUxTc7X6A7SMOsRXIgKZOlNN4QyJ0c7ggtRQeaJY7bXmVlgj+BCVFDC4N4c25a7FxQ8xASTyaVt4+/xqTxEBVzOsx3k9UQSu4gKGvfX7Rzg7fGWLkQF3De6t0eftn8DSh9lxrVzuT8/whtQOlMQVcsCLqtQm38hFExZiclxvelz1o+DqCAG2Y4jxTWcr+wgJuARhZbhHQ1rPARvRAXwKKXXZPXKbQ+CHqKCkltc2/jTTnHkIirAYDUs5XjoMTwe+kJU0AsnJnRrcTg+oYeoYDLpnKVG2AnpPQD0Hri+1atepZQzWeMhKkhR9i1oNxi3UeshKshcVtF9wrPk9rjDhaigcg1J3gTTvp6jjhxEBX1kvW+BFXcOXroB0iOPoInazXK68TyBg6gAdWRqA2Tisj0f5CEUJIZFS41n6qJxjrPxEApYqeTMBSZ/pAex+DdAOlogmhEdFOZgKPlc30EgGDACcuwajYTOLe9R2UMo4ITDmLq5KLM67tOBHEQFM8iboEHDWZZ+BBdCAVPcjabbNWGq7JAFF1EBam/T1fAx5/7KDkA6PdfebONyOtP8DqB0Zt3UGZbORA358C9EBXj0akm4uf+vHcGFqIDHnwab/+g7aMhFKKAvEMbKTFbi2I/gICqAWRbsbK+If/IRXIgKMJZqljf4DuEciHUDSueiv3qIsMd2Q3YAo/NYnXVgV6/pwX8jKuDWZlt2bjWec8UcRAWjSkC0OnBpe6ceooKZ08rGxVOZHne4EAoqrERJfaXzH2FPK3qICtB/TFtF5k6Eh+BCTDCZg3RNZ/Sn4I2ogEcC28vDYLftLw9RQWb0y5qdeDy0g6iA+/Z3HO/Y46aHqIBrf2vu4OwtdREVcB/YzkQ2WjmCC1FBD8zoYrMTrT2e4UJMMOpKB88dYfkheCMqgAXdbVtuzY8D3xxEBbAIdpb3Eerjw10IBeIAdSuGBXFOfXMQFcQk/aUU9zkfggtRQYoS8CvtqpwPfQNGn2txvvL4mfTgvxEV8NRIi1GffTz4b0DpXIW0iYD0mCX0EBUMRi1pR/g4BMZFKOgMhJw2NwFf5TRPB1EBNyLrvEGsp4O5ypXcuWdER4oQy+nAHIQCDHBZ0kzJSLSTGXiA0pl/RDOP4RWcz3sDpE/unWgr0mHOtRnIRSCYlYfDcDaF6USZ2HAJPISCxuymfWi6Uk3SbQIHoYBTSFkmAeLXkHBn498A6fTGOqMENNlqX/sxXEQFjRlXNJdrO4s6DkA6s3DNpnmCU5x7ps8BlJ4HD/2W0lHrtpU9RAVVk2LnWHdmm7tYqfAvem2W/vt4Bh6iglmiHF0kpt45KdVDeK4dj9LrUTPXovdIK37eRVSA99Qt6TJXMvIRXIgKSu5Rz7Bhcsd6+G9A6czSnDTdNcNsHz/oQlTA870sm3LtOT1+0IWogOkIx0ruXZeP7CIUMNoPrdUycKfHHRxEBVw7KtUyfO/0li6iggRrpGgCaXR8IR7BhagAvzauG88RH3e4EBUUxo2Ulef70F/lRmaagl2YHj/nQlSA1yvbDqR4B2O4iAo4uRss0/fY8eIuooLO0BV7Dy2tKGsXUQG30c2VHLw+BReiAtiolnya6eTT45VeiAngezW9MUMjHtXiQihgpFiMlhAfA3Tbr9VBVMCgtKBvm2d69CO4EBXA+rQeDabb3nnmIirIjV9U21T6TnAhKiiVWa600eLvegQXooIWZO+kOGQ72MsDlI5ReX3NcAZXF1HBDImHe0pGAQYLHMGFUADPjV9EvWEY9X1/NgdRQUpM2K5ZyWs778hBVFDQTpNlBDthvS6iAtSqoj1hKiPXcQQXogImEItSXyIzHD2e4UIoYLDf5JKtDHV5bwF2ERWMwaM45XyNutcoPIB0mgKRCROYyoKhl7taOAgFnJfPDOIpPNueCbiWwEF4SKqcWCR7LTmszn2KiYtQwPmmFIukKk9y8OMSOAgFPBI10beQ3Clzh5O6iAp0A1CW07N3BL0HkM7MTGPaceJBTts2voOogPP4uouwo0WtpSsXUUFnk9LwBW6HyEdwISoYqL9m3zaednMEF0IBfAy4kFVj9/ESd6/qISpIaEnrZN99yJoHKL2gA7eVyzlSqYd/ISpgLJuluh5MY3cEF6IC1MKRV8T1PoDGRVSAca7UlQRt5/B2ERMMMWekOO6gAxehQBaR4gqPKG3f4AaM3tc53OgF99DpAEqPjNFYybFmS4d/ISpIKa5NyjLeHcGFmABvd+wjth7078uVzHFlndxd4iG/ypVc8j51ikeDPegXogIYbWXPLIzHT38DSm/oytZcR9kbo11EBT23GdYpa6E8HvZCVDBSX9nVZh+Pb/sGlD5TO+EKfR957SEUDDnswUrHHjjuciXz2FybIJCTgjf7DRh9rHmddpYMPUDpOcu0o7r7+xRLF1FBZWDgOiR8zMevvxAVwJqvOqMIz22H17uICkaZWsHRz7fHA7zKlTynfZFWOY4c9hsgnXshmZ9C5wbyPFd3EBVI5n7dxZDrTkvvIirg8TY6n4BB53RtN8BzwQN6CzEdOYo0VK5V+T1EBWgIxU4Xg+EcHoILUQFP0tN4g8DQ4XkEF0IBT/4qMU3dDvcYgz2EgsTES0UDFEasO8uPi1CQOW3PPQZZtgnvhMMuQoEm2Ghy7Olo5/wpF6FA9n2GYG5nzPt4dg+BgAfI40894mvGvWfEA0inhyd5b7n6U09uXBdRAfd7ypogzez9mR2AdKby4unqsn6VuCd88R1EBYVn1GpMA1yr7dd4iApaKJoJvoYTZOcBSu9zFgtQyHOHLrqICibzqGvMRJvH//YQCriMVvta1Ex7u7uLqCA1W4BjVq61RuIBSs/dlt4ZdNMO+1WuZE6i29nm6cyPuogKaokrp3vbnfRdrmRuMsuahzsfd8wBlM6k1HUdbT3j48dciAoGrPdmxXXnuHARE8wwhq2iz7CnMjxEBZy0tozxNe5RwwFIZ/g1k9ivwIHdB3mICqJumNXAh2PweYgKmICkrriHbRM7gNEHDwex4h096SIqgKtoIUzciD0fN7gQFRSeK2gZ73PanaKHmGBUO8OasRLh8cgXogIGU6ZpnybPx0u9EBXwAIey0vyP1I/gQlTAFPkW4ILqldsRXIgKhqajlPrbSn889IWYoMmJhxoGtJeCXUQF6GGiBenwGKbHW7oQCrj21mVKRDO6xy1wEBUwGXpZGd13diUXUUEu63jwygF4HsGFqIAbJbQRYoTbkbUuooKOkcGK00nS4SIqmOi59dEK5x/bEVwIBQ1d7FjFMIm32eghKsioJtov5HlmoB1A6Y2eqfzOzCPJH/wLoaCLRSJthIlIT724AaXDEmMKJUlc2B79hYNQMDmVY5PAiYu++ys7CAQlSCIrTupwe3E/FoWHUJC/Ah6MhyHQkpOjmkzgIBRwxxDP2aFxxZOu9g1ugPTOaWxzBLmis11cD1EB2oRtexiVmciO4EJUIAfZanp2jOz9IbgQChijly3XF3Mp7ie+AaXDu1v7SGrdB5K4iApKYuehLkA7XquHqIAhcGHNV/Td0jxEBbCQgkVIhx2S7gFK74yR0CVrOGzhwb8QFUzGq+lsRX7+/lc5yQyGK6v06Qp5iApiHOt46Np3FIiLmKDbgjuTCcwH/ftyJSceCLz2d8xthHuICpgDfTnXj5d5A0bHl1g7Ixhf9OC/ERVg5Alpu/v98fsvxARoz2sqpJwVGw9RQeXs8p6wiA/BhZigSuJdLd7r5C6iAqbRXnMcJZaH4EJMwBWoVbz3A7iICvA7xwo+qTu8yUVMQJdkRauc6T8PUQFTfeQ1h3X6Ug9RwYTn1VeChh3S4SIQ1CAB5PZ5UN/3IO4hJsDYs/dT7UA/F1FBZCi4HeyWd8pTF1FBEr9B2nfa5/J5gNIzrBmbTWE+ynr4F6KCktLQ39mCpOXZggtRAU8lXtvgzgjoAErnXKblcssnV5iLqAAvt1kGmPqoqR6iAibEX3EYZ7ebi1AQZV+hTaiEfr7ZDSgdnU63jR15n3TiAUqv6DL1PTOZy4P+BpSOYc3OV0FPsrdiuwgF8IM797kzEIPHSu5ffwOkw4LOg/myYHB0+LTbA/EQChpjgxnIxyUW5urdr9NBIGhMIsKU+58YrlM+ewFdhIIieTq6ZrvIOwTHA0ivcgCbJjVI6HhWSIeLUNB4fibDH6QKh7ntCQ9RAVd8NCczE6XtRuYhKig5W+4KmDT7GziA0hk9rZvSmcC1Pa5/ISpAj1FsF3vIu804gNIxdvJsFWlT81RRD1HB4D5I3eWf43je4EJUMKPMo2umi7wNHA8xAfMyDEt/PPLjFV0IBV3iZ4KlxhhngthDVIAKmCxfMuct5xFciAkqD/aw5ANz91weogJmZkhtZTfoh/8GjF551Fm11OfpQX8BRucJFys1QzqVzkFUgE6bB8Jrrou5fRUPMUFHt7oyh+f0+EUXogI5xW8lr9jH3rmICRho0Ha2i/EQvBEVVFhkqazrzMdHuxATwMleCSxGSU/BG1EBT7a0rC9dchVtwYWYoPVuOVl62ZulXEQFnSfUWXF8foY3YHT0ONlSpvRHb+QgKrCHatuU/fnnHz/T53/+DJ+/+8Sg9vnnz3/6/Gf8179+/vinP/zHb3/9wy9+9pPPX/9J0yOuk337ytiIEom3DmEH9P34H+Lnb/6EK/wZ//5s3ZQn2ZRu454VyWHX0wbJP0CYRCg/glIeZfe8oel2iXc70Tyu/Bfv9vOP/wuUixykCmVuZHN0cmVhbQplbmRvYmoKMTEgMCBvYmoKMTE3MzMKZW5kb2JqCjE2IDAgb2JqCjw8IC9GaWx0ZXIgL0ZsYXRlRGVjb2RlIC9MZW5ndGggOTMgPj4Kc3RyZWFtCnicPY07DsAwCEN3TsEFKoVPArlP1Sm9/1qXfhb0ZGN7ZOfGmytuNOPQybuQWBSepC8tsqHsY4B65qt9kUUOspRyHWVQqho5S7YW97eW8Kwt0gljKkj+keMC4l0b9wplbmRzdHJlYW0KZW5kb2JqCjE3IDAgb2JqCjw8IC9GaWx0ZXIgL0ZsYXRlRGVjb2RlIC9MZW5ndGggMzI3ID4+CnN0cmVhbQp4nD2SS47EMAhE9zkFF2jJ/Pw5T0az6rn/th92ehZRoQBFUbhrSpPo8lKXHCrZm/zoFVPFzeTviYbENHE30MEp97WjCP4EuA5m7gzRSolBvXWJyvKRsfPX19OXB+/L22GwUXqWmFefkrEGC/J0dPEB5tza7n+V7yuTjiy9Sk9F70u9WJaoDzH7YvUp3MbmG9t6MJ5M8Ws2UauZU9baIroM1EVKN7HVC1DtUYHjXEdvFW0DEIE7QQeVCbVqbMFISLRF1i/MaUL3xP/tAbpf2sR17IPYtI1nfEUaQ9DduEdZw8wx6nxqc8Pa09km65TiTC7XsjhWCTRKy1hqS/Csel0UY4MZaKUQzdFqbGVodujrZXg/yAxvO4qxqKVKz543p+BcfezXFHrwPIsdwZuc2C3o55CsQgYtNmHqLF2v8Dnnff1+ACo9fUYKZW5kc3RyZWFtCmVuZG9iagoxOCAwIG9iago8PCAvRmlsdGVyIC9GbGF0ZURlY29kZSAvTGVuZ3RoIDE1MiA+PgpzdHJlYW0KeJw9T8sRQyEIvFvFNsCMIILW8zI5mf6vAU08sbK4H/GBCmIWkFSHuMOt4sWFtaOr41OkHbQKi4PmBpa/ErGCvIHr1ukYPWabeIrnxhg6Y4awcMyRDFnaxTPuti9Fjg2Cu2FWoekplj7kemEbB1J6s7RdoaZwLqYiY4Zx22mfWyXSjtMvSv2ariK9w9SStYvGn31/Abz3NmcKZW5kc3RyZWFtCmVuZG9iagoxNCAwIG9iago8PCAvQmFzZUZvbnQgL0RlamFWdVNhbnMtT2JsaXF1ZSAvQ2hhclByb2NzIDE1IDAgUgovRW5jb2RpbmcgPDwgL0RpZmZlcmVuY2VzIFsgODggL1ggMTAxIC9lIDEwNiAvaiBdIC9UeXBlIC9FbmNvZGluZyA+PgovRmlyc3RDaGFyIDAgL0ZvbnRCQm94IFsgLTEwMTYgLTM1MSAxNjYwIDEwNjggXSAvRm9udERlc2NyaXB0b3IgMTMgMCBSCi9Gb250TWF0cml4IFsgMC4wMDEgMCAwIDAuMDAxIDAgMCBdIC9MYXN0Q2hhciAyNTUgL05hbWUgL0RlamFWdVNhbnMtT2JsaXF1ZQovU3VidHlwZSAvVHlwZTMgL1R5cGUgL0ZvbnQgL1dpZHRocyAxMiAwIFIgPj4KZW5kb2JqCjEzIDAgb2JqCjw8IC9Bc2NlbnQgOTI5IC9DYXBIZWlnaHQgMCAvRGVzY2VudCAtMjM2IC9GbGFncyA5NgovRm9udEJCb3ggWyAtMTAxNiAtMzUxIDE2NjAgMTA2OCBdIC9Gb250TmFtZSAvRGVqYVZ1U2Fucy1PYmxpcXVlCi9JdGFsaWNBbmdsZSAwIC9NYXhXaWR0aCAxMzUwIC9TdGVtViAwIC9UeXBlIC9Gb250RGVzY3JpcHRvciAvWEhlaWdodCAwID4+CmVuZG9iagoxMiAwIG9iagpbIDYwMCA2MDAgNjAwIDYwMCA2MDAgNjAwIDYwMCA2MDAgNjAwIDYwMCA2MDAgNjAwIDYwMCA2MDAgNjAwIDYwMCA2MDAgNjAwCjYwMCA2MDAgNjAwIDYwMCA2MDAgNjAwIDYwMCA2MDAgNjAwIDYwMCA2MDAgNjAwIDYwMCA2MDAgMzE4IDQwMSA0NjAgODM4IDYzNgo5NTAgNzgwIDI3NSAzOTAgMzkwIDUwMCA4MzggMzE4IDM2MSAzMTggMzM3IDYzNiA2MzYgNjM2IDYzNiA2MzYgNjM2IDYzNiA2MzYKNjM2IDYzNiAzMzcgMzM3IDgzOCA4MzggODM4IDUzMSAxMDAwIDY4NCA2ODYgNjk4IDc3MCA2MzIgNTc1IDc3NSA3NTIgMjk1CjI5NSA2NTYgNTU3IDg2MyA3NDggNzg3IDYwMyA3ODcgNjk1IDYzNSA2MTEgNzMyIDY4NCA5ODkgNjg1IDYxMSA2ODUgMzkwIDMzNwozOTAgODM4IDUwMCA1MDAgNjEzIDYzNSA1NTAgNjM1IDYxNSAzNTIgNjM1IDYzNCAyNzggMjc4IDU3OSAyNzggOTc0IDYzNCA2MTIKNjM1IDYzNSA0MTEgNTIxIDM5MiA2MzQgNTkyIDgxOCA1OTIgNTkyIDUyNSA2MzYgMzM3IDYzNiA4MzggNjAwIDYzNiA2MDAgMzE4CjM1MiA1MTggMTAwMCA1MDAgNTAwIDUwMCAxMzUwIDYzNSA0MDAgMTA3MCA2MDAgNjg1IDYwMCA2MDAgMzE4IDMxOCA1MTggNTE4CjU5MCA1MDAgMTAwMCA1MDAgMTAwMCA1MjEgNDAwIDEwMjggNjAwIDUyNSA2MTEgMzE4IDQwMSA2MzYgNjM2IDYzNiA2MzYgMzM3CjUwMCA1MDAgMTAwMCA0NzEgNjE3IDgzOCAzNjEgMTAwMCA1MDAgNTAwIDgzOCA0MDEgNDAxIDUwMCA2MzYgNjM2IDMxOCA1MDAKNDAxIDQ3MSA2MTcgOTY5IDk2OSA5NjkgNTMxIDY4NCA2ODQgNjg0IDY4NCA2ODQgNjg0IDk3NCA2OTggNjMyIDYzMiA2MzIgNjMyCjI5NSAyOTUgMjk1IDI5NSA3NzUgNzQ4IDc4NyA3ODcgNzg3IDc4NyA3ODcgODM4IDc4NyA3MzIgNzMyIDczMiA3MzIgNjExIDYwOAo2MzAgNjEzIDYxMyA2MTMgNjEzIDYxMyA2MTMgOTk1IDU1MCA2MTUgNjE1IDYxNSA2MTUgMjc4IDI3OCAyNzggMjc4IDYxMiA2MzQKNjEyIDYxMiA2MTIgNjEyIDYxMiA4MzggNjEyIDYzNCA2MzQgNjM0IDYzNCA1OTIgNjM1IDU5MiBdCmVuZG9iagoxNSAwIG9iago8PCAvWCAxNiAwIFIgL2UgMTcgMCBSIC9qIDE4IDAgUiA+PgplbmRvYmoKMjMgMCBvYmoKPDwgL0JCb3ggWyAtMTAyMSAtNDYzIDE3OTQgMTIzMyBdIC9GaWx0ZXIgL0ZsYXRlRGVjb2RlIC9MZW5ndGggMjM3Ci9TdWJ0eXBlIC9Gb3JtIC9UeXBlIC9YT2JqZWN0ID4+CnN0cmVhbQp4nD1Ru3HFMAzrPQVG4Ef8aJ53lyrZvw0oOSl4gCkRBOSnLNGFn2eI4PtZ7v/IA5KtUG2EJzQVkQ3TwOdJEVhupCbcXtznhGyVI/biXCDCEO08CWmkCxY7GQveFz+Pqx5mrLlh/L4zmn1UdNVRHbx7DuNmTT9OlN3rzayOW5v7dO+uE4drSCaf9x+clEqnlyyDOku4sDaaGtbjvCjGWMw4/ieqsE2ytqMKwdIlSCrQgBhKEsaAxS3+IidaDgvamxtp653JTqo0ioYXowzeoPVGOIp0kXyYayuDsamYNr755CU36Ptnv5+vXwNrWusKZW5kc3RyZWFtCmVuZG9iagoyNCAwIG9iago8PCAvRmlsdGVyIC9GbGF0ZURlY29kZSAvTGVuZ3RoIDU0ID4+CnN0cmVhbQp4nDM2NlcwUDA0MlfQNTI2VTAyNFAwNzNRSDHkgjFzwSywbA4XXCGECZLPgavM4UoDAEyQDxUKZW5kc3RyZWFtCmVuZG9iagoyNSAwIG9iago8PCAvRmlsdGVyIC9GbGF0ZURlY29kZSAvTGVuZ3RoIDI0NyA+PgpzdHJlYW0KeJxNUbttRDEM698UXOAA62t5ngtSXfZvQ8kIkMIgoS8ppyUW9sZLDOEHWw++5JFVQ38ePzHsMyw9yeTUP+a5yVQUvhWqm5hQF2Lh/WgEvBZ0LyIrygffj2UMc8734KMQl2AmNGCsb0kmF9W8M2TCiaGOw0GbVBh3TRQsrhXNM8jtVjeyOrMgbHglE+LGAEQE2ReQzWCjjLGVkMVyHqgKkgVaYNfpG1GLgiuU1gl0otbEuszgq+f2djdDL/LgqLp4fQzrS7DC6KV7LHyuQh/M9Ew7d0kjvfCmExFmDwVSmZ2RlTo9Yn23QP+fZSv4+8nP8/0LFShcKgplbmRzdHJlYW0KZW5kb2JqCjI2IDAgb2JqCjw8IC9GaWx0ZXIgL0ZsYXRlRGVjb2RlIC9MZW5ndGggOTAgPj4Kc3RyZWFtCnicTY1BEsAgCAPvvCJPUETQ/3R60v9fq9QOvcBOAokWRYL0NWpLMO64MhVrUCmYlJfAVTBcC9ruosr+MklMnYbTe7cDg7LxcYPSSfv2cXoAq/16Bt0P0hwiWAplbmRzdHJlYW0KZW5kb2JqCjI3IDAgb2JqCjw8IC9CQm94IFsgLTEwMjEgLTQ2MyAxNzk0IDEyMzMgXSAvRmlsdGVyIC9GbGF0ZURlY29kZSAvTGVuZ3RoIDM3Ci9TdWJ0eXBlIC9Gb3JtIC9UeXBlIC9YT2JqZWN0ID4+CnN0cmVhbQp4nOMyNDBTMDY1VcjlMjc2ArNywCwjcyMgCySLYEFk0wABXwoKCmVuZHN0cmVhbQplbmRvYmoKMjggMCBvYmoKPDwgL0ZpbHRlciAvRmxhdGVEZWNvZGUgL0xlbmd0aCA4MCA+PgpzdHJlYW0KeJxFjLsNwDAIRHumYAR+JmafKJWzfxsgStxwT7p7uDoSMlPeYYaHBJ4MLIZT8QaZo2A1uEZSjZ3so7BuX3WB5npTq/X3BypPdnZxPc3LGfQKZW5kc3RyZWFtCmVuZG9iagoyOSAwIG9iago8PCAvRmlsdGVyIC9GbGF0ZURlY29kZSAvTGVuZ3RoIDE0NyA+PgpzdHJlYW0KeJw9T7kNAzEM6z0FFzjAeixb81yQ6rJ/G8pGUggiQPGRZUfHClxiApOOORIvaT/4aRqBWAY1R/SEimFY4G6SAg+DLEpXni1eDJHaQl1I+NYQ3q1MZKI8rxE7cCcXowc+VBtZHnpAO0QVWa5Jw1jVVl1qnbACHLLOwnU9zKoE5dEnaykfUFRCvXT/n3va+wsAby/rCmVuZHN0cmVhbQplbmRvYmoKMzAgMCBvYmoKPDwgL0ZpbHRlciAvRmxhdGVEZWNvZGUgL0xlbmd0aCAxNDkgPj4Kc3RyZWFtCnicNY9LDgMhDEP3OYUvMFJ+hHAeqq6m9982YVoJCQvbL8EWg5GMS0xg7Jhj4SVUT60+JCOPukk5EKlQNwRPaEwMM2zSJfDKdN8ynlu8nFbqgk5I5OmsNhqijGZew9FTzgqb/svcJGplRpkDMutUtxOysmAF5gW1PPcz7qhc6ISHncqw6E4xotxmRhp+/9v0/gJ7MjBjCmVuZHN0cmVhbQplbmRvYmoKMzEgMCBvYmoKPDwgL0ZpbHRlciAvRmxhdGVEZWNvZGUgL0xlbmd0aCAzMzggPj4Kc3RyZWFtCnicNVI5rt1ADOt9Cl0ggHbNnOcFqX7u34aUXwpDtFaKmo4WlWn5ZSFVLZMuv+1JbYkb8vfJCokTklcl2qUMkVD5PIVUv2fLvL7WnBEgS5UKk5OSxyUL/gyX3i4c52NrP48jdz16YFWMhBIByxQTo2tZOrvDmo38PKYBP+IRcq5YtxxjFUgNunHaFe9D83nIGiBmmJaKCl1WiRZ+QfGgR61991hUWCDR7RxJcIyNUJGAdoHaSAw5sxa7qC/6WZSYCXTtiyLuosASScycYl06+g8+dCyovzbjy6+OSvpIK2tM2nejSWnMIpOul0VvN299PbhA8y7Kf17NIEFT1ihpfNCqnWMomhllhXccmgw0xxyHzBM8hzMSlPR9KH5fSya6KJE/Dg2hf18eo4ycBm8Bc9GftooDF/HZYa8cYIXSxZrkfUAqE3pg+v/X+Hn+/AMctoBUCmVuZHN0cmVhbQplbmRvYmoKMzIgMCBvYmoKPDwgL0ZpbHRlciAvRmxhdGVEZWNvZGUgL0xlbmd0aCAyNDggPj4Kc3RyZWFtCnicLVE5kgNBCMvnFXpCc9PvscuR9//pCsoBg4ZDIDotcVDGTxCWK97yyFW04e+ZGMF3waHfynUbFjkQFUjSGFRNqF28Hr0HdhxmAvOkNSyDGesDP2MKN3pxeEzG2e11GTUEe9drT2ZQMisXccnEBVN12MiZw0+mjAvtXM8NyLkR1mUYpJuVxoyEI00hUkih6iapM0GQBKOrUaONHMV+6csjnWFVI2oM+1xL29dzE84aNDsWqzw5pUdXnMvJxQsrB/28zcBFVBqrPBAScL/bQ/2c7OQ33tK5s8X0+F5zsrwwFVjx5rUbkE21+Dcv4vg94+v5/AOopVsWCmVuZHN0cmVhbQplbmRvYmoKMzMgMCBvYmoKPDwgL0ZpbHRlciAvRmxhdGVEZWNvZGUgL0xlbmd0aCAyMTAgPj4Kc3RyZWFtCnicNVDLDUMxCLtnChaoFAKBZJ5WvXX/a23QO2ER/0JYyJQIeanJzinpSz46TA+2Lr+xIgutdSXsypognivvoZmysdHY4mBwGiZegBY3YOhpjRo1dOGCpi6VQoHFJfCZfHV76L5PGXhqGXJ2BBFDyWAJaroWTVi0PJ+QTgHi/37D7i3koZLzyp4b+Ruc7fA7s27hJ2p2ItFyFTLUszTHGAgTRR48eUWmcOKz1nfVNBLUZgtOlgGuTj+MDgBgIl5ZgOyuRDlL0o6ln2+8x/cPQABTtAplbmRzdHJlYW0KZW5kb2JqCjIxIDAgb2JqCjw8IC9CYXNlRm9udCAvRGVqYVZ1U2FucyAvQ2hhclByb2NzIDIyIDAgUgovRW5jb2RpbmcgPDwKL0RpZmZlcmVuY2VzIFsgNDAgL3BhcmVubGVmdCAvcGFyZW5yaWdodCA0OCAvemVybyAvb25lIC90d28gL3RocmVlIC9mb3VyIC9maXZlIDEyNCAvYmFyCl0KL1R5cGUgL0VuY29kaW5nID4+Ci9GaXJzdENoYXIgMCAvRm9udEJCb3ggWyAtMTAyMSAtNDYzIDE3OTQgMTIzMyBdIC9Gb250RGVzY3JpcHRvciAyMCAwIFIKL0ZvbnRNYXRyaXggWyAwLjAwMSAwIDAgMC4wMDEgMCAwIF0gL0xhc3RDaGFyIDI1NSAvTmFtZSAvRGVqYVZ1U2FucwovU3VidHlwZSAvVHlwZTMgL1R5cGUgL0ZvbnQgL1dpZHRocyAxOSAwIFIgPj4KZW5kb2JqCjIwIDAgb2JqCjw8IC9Bc2NlbnQgOTI5IC9DYXBIZWlnaHQgMCAvRGVzY2VudCAtMjM2IC9GbGFncyAzMgovRm9udEJCb3ggWyAtMTAyMSAtNDYzIDE3OTQgMTIzMyBdIC9Gb250TmFtZSAvRGVqYVZ1U2FucyAvSXRhbGljQW5nbGUgMAovTWF4V2lkdGggMTM0MiAvU3RlbVYgMCAvVHlwZSAvRm9udERlc2NyaXB0b3IgL1hIZWlnaHQgMCA+PgplbmRvYmoKMTkgMCBvYmoKWyA2MDAgNjAwIDYwMCA2MDAgNjAwIDYwMCA2MDAgNjAwIDYwMCA2MDAgNjAwIDYwMCA2MDAgNjAwIDYwMCA2MDAgNjAwIDYwMAo2MDAgNjAwIDYwMCA2MDAgNjAwIDYwMCA2MDAgNjAwIDYwMCA2MDAgNjAwIDYwMCA2MDAgNjAwIDMxOCA0MDEgNDYwIDgzOCA2MzYKOTUwIDc4MCAyNzUgMzkwIDM5MCA1MDAgODM4IDMxOCAzNjEgMzE4IDMzNyA2MzYgNjM2IDYzNiA2MzYgNjM2IDYzNiA2MzYgNjM2CjYzNiA2MzYgMzM3IDMzNyA4MzggODM4IDgzOCA1MzEgMTAwMCA2ODQgNjg2IDY5OCA3NzAgNjMyIDU3NSA3NzUgNzUyIDI5NQoyOTUgNjU2IDU1NyA4NjMgNzQ4IDc4NyA2MDMgNzg3IDY5NSA2MzUgNjExIDczMiA2ODQgOTg5IDY4NSA2MTEgNjg1IDM5MCAzMzcKMzkwIDgzOCA1MDAgNTAwIDYxMyA2MzUgNTUwIDYzNSA2MTUgMzUyIDYzNSA2MzQgMjc4IDI3OCA1NzkgMjc4IDk3NCA2MzQgNjEyCjYzNSA2MzUgNDExIDUyMSAzOTIgNjM0IDU5MiA4MTggNTkyIDU5MiA1MjUgNjM2IDMzNyA2MzYgODM4IDYwMCA2MzYgNjAwIDMxOAozNTIgNTE4IDEwMDAgNTAwIDUwMCA1MDAgMTM0MiA2MzUgNDAwIDEwNzAgNjAwIDY4NSA2MDAgNjAwIDMxOCAzMTggNTE4IDUxOAo1OTAgNTAwIDEwMDAgNTAwIDEwMDAgNTIxIDQwMCAxMDIzIDYwMCA1MjUgNjExIDMxOCA0MDEgNjM2IDYzNiA2MzYgNjM2IDMzNwo1MDAgNTAwIDEwMDAgNDcxIDYxMiA4MzggMzYxIDEwMDAgNTAwIDUwMCA4MzggNDAxIDQwMSA1MDAgNjM2IDYzNiAzMTggNTAwCjQwMSA0NzEgNjEyIDk2OSA5NjkgOTY5IDUzMSA2ODQgNjg0IDY4NCA2ODQgNjg0IDY4NCA5NzQgNjk4IDYzMiA2MzIgNjMyIDYzMgoyOTUgMjk1IDI5NSAyOTUgNzc1IDc0OCA3ODcgNzg3IDc4NyA3ODcgNzg3IDgzOCA3ODcgNzMyIDczMiA3MzIgNzMyIDYxMSA2MDUKNjMwIDYxMyA2MTMgNjEzIDYxMyA2MTMgNjEzIDk4MiA1NTAgNjE1IDYxNSA2MTUgNjE1IDI3OCAyNzggMjc4IDI3OCA2MTIgNjM0CjYxMiA2MTIgNjEyIDYxMiA2MTIgODM4IDYxMiA2MzQgNjM0IDYzNCA2MzQgNTkyIDYzNSA1OTIgXQplbmRvYmoKMjIgMCBvYmoKPDwgL2JhciAyNCAwIFIgL2ZpdmUgMjUgMCBSIC9mb3VyIDI2IDAgUiAvb25lIDI4IDAgUiAvcGFyZW5sZWZ0IDI5IDAgUgovcGFyZW5yaWdodCAzMCAwIFIgL3RocmVlIDMxIDAgUiAvdHdvIDMyIDAgUiAvemVybyAzMyAwIFIgPj4KZW5kb2JqCjMgMCBvYmoKPDwgL0YxIDIxIDAgUiAvRjIgMTQgMCBSID4+CmVuZG9iago0IDAgb2JqCjw8IC9BMSA8PCAvQ0EgMCAvVHlwZSAvRXh0R1N0YXRlIC9jYSAxID4+Ci9BMiA8PCAvQ0EgMSAvVHlwZSAvRXh0R1N0YXRlIC9jYSAxID4+ID4+CmVuZG9iago1IDAgb2JqCjw8ID4+CmVuZG9iago2IDAgb2JqCjw8ID4+CmVuZG9iago3IDAgb2JqCjw8IC9EZWphVnVTYW5zLU9tZWdhIDIzIDAgUiAvRGVqYVZ1U2Fucy1taW51cyAyNyAwIFIgPj4KZW5kb2JqCjIgMCBvYmoKPDwgL0NvdW50IDEgL0tpZHMgWyAxMCAwIFIgXSAvVHlwZSAvUGFnZXMgPj4KZW5kb2JqCjM0IDAgb2JqCjw8IC9DcmVhdGlvbkRhdGUgKEQ6MjAxOTA2MjYxNTQzMjkrMDInMDAnKQovQ3JlYXRvciAobWF0cGxvdGxpYiAzLjAuMywgaHR0cDovL21hdHBsb3RsaWIub3JnKQovUHJvZHVjZXIgKG1hdHBsb3RsaWIgcGRmIGJhY2tlbmQgMy4wLjMpID4+CmVuZG9iagp4cmVmCjAgMzUKMDAwMDAwMDAwMCA2NTUzNSBmIAowMDAwMDAwMDE2IDAwMDAwIG4gCjAwMDAwMTk0NDEgMDAwMDAgbiAKMDAwMDAxOTE4NiAwMDAwMCBuIAowMDAwMDE5MjI5IDAwMDAwIG4gCjAwMDAwMTkzMjggMDAwMDAgbiAKMDAwMDAxOTM0OSAwMDAwMCBuIAowMDAwMDE5MzcwIDAwMDAwIG4gCjAwMDAwMDAwNjUgMDAwMDAgbiAKMDAwMDAwMDM5OSAwMDAwMCBuIAowMDAwMDAwMjA4IDAwMDAwIG4gCjAwMDAwMTIyMDcgMDAwMDAgbiAKMDAwMDAxMzU1NiAwMDAwMCBuIAowMDAwMDEzMzQ4IDAwMDAwIG4gCjAwMDAwMTMwMTkgMDAwMDAgbiAKMDAwMDAxNDYwOSAwMDAwMCBuIAowMDAwMDEyMjI5IDAwMDAwIG4gCjAwMDAwMTIzOTQgMDAwMDAgbiAKMDAwMDAxMjc5NCAwMDAwMCBuIAowMDAwMDE3OTg1IDAwMDAwIG4gCjAwMDAwMTc3ODUgMDAwMDAgbiAKMDAwMDAxNzQxOSAwMDAwMCBuIAowMDAwMDE5MDM4IDAwMDAwIG4gCjAwMDAwMTQ2NjEgMDAwMDAgbiAKMDAwMDAxNTAzMiAwMDAwMCBuIAowMDAwMDE1MTU4IDAwMDAwIG4gCjAwMDAwMTU0NzggMDAwMDAgbiAKMDAwMDAxNTY0MCAwMDAwMCBuIAowMDAwMDE1ODEwIDAwMDAwIG4gCjAwMDAwMTU5NjIgMDAwMDAgbiAKMDAwMDAxNjE4MiAwMDAwMCBuIAowMDAwMDE2NDA0IDAwMDAwIG4gCjAwMDAwMTY4MTUgMDAwMDAgbiAKMDAwMDAxNzEzNiAwMDAwMCBuIAowMDAwMDE5NTAxIDAwMDAwIG4gCnRyYWlsZXIKPDwgL0luZm8gMzQgMCBSIC9Sb290IDEgMCBSIC9TaXplIDM1ID4+CnN0YXJ0eHJlZgoxOTY1NQolJUVPRgo=\n",
"image/svg+xml": [
"\n",
"\n",
"\n",
"