{
"cells": [
{
"attachments": {},
"cell_type": "markdown",
"metadata": {},
"source": [
"## Draw a Mass Spectrometry Fragmentation Tree Using RDKit"
]
},
{
"attachments": {},
"cell_type": "markdown",
"metadata": {},
"source": [
"This utility plots a mass spectrometry fragmentation tree given the species' SMILES and their hierarchy, that is which species fragments into which other species."
]
},
{
"attachments": {},
"cell_type": "markdown",
"metadata": {},
"source": [
"Here's an annotated example."
]
},
{
"attachments": {},
"cell_type": "markdown",
"metadata": {},
"source": [
""
]
},
{
"attachments": {},
"cell_type": "markdown",
"metadata": {},
"source": [
"*[Download this notebook from GitHub by right-clicking and choosing Save Link As...](https://raw.githubusercontent.com/bertiewooster/bertiewooster.github.io/main/_notebooks/2023-01-02-Mass-Spectrometry-Fragmentation-Tree.ipynb)*"
]
},
{
"attachments": {},
"cell_type": "markdown",
"metadata": {},
"source": [
"## About Mass Spectrometry Fragmentation Trees\n",
"\n",
"Mass spec determines the mass of an analyte (chemical species of interest) by ionizing (electrically charging) it, then directing the ion's trajectory using magnets. Mass spec actually measures the mass (m) to charge (z) ratio m/z, then the scientist uses other clues to determine the charge to then calculate the mass. Mass spec also often fragments (breaks into smaller pieces) the analyte, so that several species are often generated for even a single analyte.\n",
"\n",
"Visualizing mass spec fragmentation trees is a helpful way to understand which species fragment into which other species. Tools such as the [SIRIUS software framework](https://bio.informatik.uni-jena.de/software/sirius/) have been developed to analyze fragmentation trees."
]
},
{
"attachments": {},
"cell_type": "markdown",
"metadata": {},
"source": [
"## Applying Mass Spec to Biomolecules\n",
"\n",
"Mass spectrometric analysis is helpful for understanding biomolecules. For example, proteomics is informatics applied to proteins. In [bottom-up proteomics](https://en.wikipedia.org/wiki/Bottom-up_proteomics), scientists extract a mixture of proteins from a biological sample, break the proteins into smaller peptides (a process called digestion), analyze the mixture of peptides using mass spectrometry, then piece the peptides together to infer the original proteins.\n",
"\n",
"Here, as a simple example of a small molecule with a biochemical role, we focus on a [riboside](https://en.wikipedia.org/wiki/Riboside), which is a [glycoside](https://en.wikipedia.org/wiki/Glycoside) (a molecule connecting a sugar and a functional group) of [ribose](https://en.wikipedia.org/wiki/Ribose) (a simple sugar). [Madrova et al](https://journals.plos.org/plosone/article?id=10.1371/journal.pone.0208947#sec019) studied ribosides and provide a nice example of a mass spec fragmentation tree where several of the fragments' chemical structures were determined.\n",
"\n",
"Mass spectrometry can be used iteratively to fragment a parent species, characterize the fragments, and then further fragment selected fragments. Doing two steps is called MS-MS, or mass spectrometry-mass spectrometry. Madrova et al. used an ion cyclotron resonance (ICR) mass spectrometer, which allows ions to be trapped so that any number of iterations can be done in a single instrument on a single sample. This is referred to as MSn, meaning n iterations of mass spec, where n can be 2, 3, 4, etc.\n",
"\n",
"Two kinds of molecular weight are commonly used: [exact and average molecular weight](https://msfacility.missouri.edu/calculating.html). Average molecular weight reflects the distribution of isotopes of the molecule's atoms, whereas exact molecular weight gives the molecular weight of the most common isotopes of each atom in the molecule. When modeling mass spectra, we use the exact rather than average molecular weight, because mass spectra resolve the different isotopes of each atom, for example carbon-12 and carbon-13."
]
},
{
"attachments": {},
"cell_type": "markdown",
"metadata": {},
"source": [
"## Code for Generating Mass Spec Fragmentation Tree"
]
},
{
"cell_type": "code",
"execution_count": 17,
"metadata": {},
"outputs": [],
"source": [
"from rdkit.Chem import AllChem as Chem\n",
"from rdkit.Chem import Draw\n",
"from rdkit.Chem import Descriptors\n",
"from rdkit.Chem import rdFMCS"
]
},
{
"cell_type": "code",
"execution_count": 18,
"metadata": {},
"outputs": [],
"source": [
"# Utilities\n",
"def flatten_twoD_list(twoD_list: list[list]) -> list:\n",
" return [item for sublist in twoD_list for item in sublist]\n",
" \n",
"def longest_row(twoD_list: list[list]) -> int:\n",
" return max(len(row) for row in twoD_list)\n",
"\n",
"def get_fraction(num, denom):\n",
" if denom:\n",
" return num / denom\n",
" else:\n",
" return 0\n",
" # return None"
]
},
{
"cell_type": "code",
"execution_count": 19,
"metadata": {},
"outputs": [],
"source": [
"\n",
"def concat_grids_horizontally(grid1:list[list[str]], grid2:list[list[str]]) -> list[list[str]]:\n",
" \"\"\"Concatenate two nested lists horizontally, for example\n",
" inputs [['a'],['b'],['c']] and [['d'], ['e'], ['f']] \n",
" produce [['a', 'd'], ['b', 'e'], ['c', 'f']]\n",
"\n",
" :returns: The combined grid, a two-deep nested list of strings\n",
" :param grid1: The first grid, a two-deep nested list of strings\n",
" :param grid2: The second grid, a two-deep nested list of strings\n",
" \"\"\"\n",
" if grid1 == [[]]:\n",
" combined = grid2\n",
" elif grid2 == [[]]:\n",
" combined = grid1\n",
" else:\n",
" combined = []\n",
" for row_counter in range(len(grid1)):\n",
" combined += [grid1[row_counter] + grid2[row_counter]]\n",
" return combined\n",
"\n",
"class NonBinTree:\n",
" \"\"\"\n",
" Nonbinary tree class\n",
" Note that this class is not designed to sort nodes as they are added to the tree;\n",
" the assumption is that they should be ordered in the order added\n",
" Adapted from https://stackoverflow.com/questions/60579330/non-binary-tree-data-structure-in-python#60579464\n",
" \"\"\"\n",
"\n",
" def __init__(self, val:str, label=None):\n",
" \"\"\"Create a NonBinTree instance\"\"\"\n",
" self.val = val\n",
" self.label = label\n",
" self.nodes = []\n",
"\n",
" def add_node(self, val:str, label=None):\n",
" \"\"\"Add a node to the tree and return the new node\"\"\"\n",
" self.nodes.append(NonBinTree(val, label))\n",
" return self.nodes[-1]\n",
"\n",
" def __repr__(self) -> str:\n",
" \"\"\"Print out the tree as a nested list\"\"\"\n",
" return f\"NonBinTree({self.val}): {self.nodes}\"\n",
"\n",
" def get_ncols(self) -> int:\n",
" \"\"\"Get the number of columns in the tree\"\"\"\n",
" self.ncols = 0\n",
" if len(self.nodes) > 0:\n",
" # If there are nodes under this one, call get_ncols on them recursively\n",
" for node in self.nodes:\n",
" self.ncols += node.get_ncols()\n",
" else:\n",
" # If there are no nodes under this one, add 1 for this node\n",
" self.ncols += 1\n",
" return self.ncols\n",
"\n",
" def get_max_depth(self) -> int:\n",
" \"\"\"Get the maximum depth of the tree\"\"\"\n",
" max_depth = 0\n",
" if len(self.nodes) > 0:\n",
" for node in self.nodes:\n",
" this_depth = node.get_max_depth()\n",
" max_depth = max(this_depth + 1, max_depth)\n",
" else:\n",
" max_depth = max(1, max_depth)\n",
" self.max_depth = max_depth\n",
" return self.max_depth\n",
"\n",
" def get_grids(self) -> list[list[str]]:\n",
" \"\"\"\n",
" Get 2x two-dimensional grids for molecules' SMILES and labels where\n",
" each row is a level in the fragment hierarchy, and\n",
" the columns serve to arrange the fragments horizontally\n",
" \"\"\"\n",
" # Call methods to calculate self.ncols and self.max_depth\n",
" self.get_ncols()\n",
" self.get_max_depth()\n",
"\n",
" # Create top row: Node value, then the rest of columns are blank (empty strings)\n",
" grid = [[self.val] + [\"\"] * (self.ncols - 1)]\n",
" grid_label = [[self.label] + [\"\"] * (self.ncols - 1)]\n",
"\n",
" n_nodes = len(self.nodes)\n",
"\n",
" if n_nodes > 0:\n",
" nodes_grid = [[]]\n",
" nodes_grid_label = [[]]\n",
"\n",
" # Iterate through the child nodes\n",
" for node_counter, node in enumerate(self.nodes):\n",
" # Recursively call this function to get the grid for children\n",
" node_grid, node_grid_label = node.get_grids()\n",
"\n",
" # Add spacer rows if needed\n",
" node_grid_rows = len(node_grid)\n",
" rows_padding = self.max_depth - node_grid_rows - 1\n",
" for padding in range(rows_padding):\n",
" padding_to_add = [[\"\"] * len(node_grid[0])]\n",
" node_grid += padding_to_add\n",
" node_grid_label += padding_to_add\n",
"\n",
" nodes_grid = concat_grids_horizontally(nodes_grid, node_grid)\n",
" nodes_grid_label = concat_grids_horizontally(nodes_grid_label, node_grid_label)\n",
"\n",
" grid += nodes_grid\n",
" grid_label += nodes_grid_label\n",
"\n",
" return grid, grid_label"
]
},
{
"cell_type": "code",
"execution_count": 20,
"metadata": {},
"outputs": [],
"source": [
"def mass_spec_frag_tree(non_bin_tree, ndigits:int or None = 2, addHs:bool=False, verbose:bool=False, **kwargs):\n",
" \"\"\"\n",
" Draw a mass spectrometry fragmentation tree\n",
"\n",
" :returns: RDKit grid image, and (if verbose=True) fragment tree as 2D (nested) list\n",
" :rtype: RDKit grid image, and (if verbose=True) molecules as list[list[mol]], labels as list[list[str]], mass (Daltons) as list[list[float]], m/z (mass-to-charge ratio) as list[list[float]]\n",
" :param non_bin_tree: The NonBinTree corresponding to the parent compound\n",
" :param ndigits: The number of digits to round mass and m/z (mass-to-charge ratio) values to. Use None to round to integer values, for example 92.\n",
" :param addHs: Whether to add (show) hydrogen atoms in the molecular structures; default is False.\n",
" :param verbose: Whether to return verbose output; default is False so calling this function will present a grid image automatically\n",
" \"\"\"\n",
"\n",
" # Do all processing on grids (2D lists)\n",
"\n",
" smiles_grid, labels_grid = non_bin_tree.get_grids()\n",
" row_length = longest_row(smiles_grid)\n",
"\n",
" # Convert SMILES into molecules, adding Hs (hydrogen atoms) if requested\n",
" mols_raw_grid = [[Chem.MolFromSmiles(smile) for smile in row] for row in smiles_grid]\n",
" if addHs:\n",
" mols_grid = [[Chem.AddHs(mol_raw) for mol_raw in row] for row in mols_raw_grid]\n",
" else:\n",
" mols_grid = mols_raw_grid\n",
"\n",
" # Determine masses, charges, and m/z\n",
" masses_grid = [[Descriptors.ExactMolWt(mol) for mol in row] for row in mols_grid]\n",
" masses_rounded_grid = [[round(mass, ndigits) for mass in row] for row in masses_grid]\n",
" charges_grid = [[Chem.GetFormalCharge(mol) for mol in row] for row in mols_grid]\n",
"\n",
" mzs_grid = []\n",
" for row_index in range(len(masses_grid)):\n",
" mzs_row = []\n",
" for col_index in range(len(masses_grid[0])):\n",
" # print(f\"{smiles_grid[row_index][col_index]}\")\n",
" mzs = get_fraction(masses_grid[row_index][col_index], charges_grid[row_index][col_index])\n",
" mzs_row += [mzs]\n",
" mzs_grid += [mzs_row]\n",
"\n",
" mzs_rounded_grid = [[round(mz, ndigits) for mz in row] for row in mzs_grid]\n",
"\n",
" # Create legend for each species:\n",
" # , Da OR m/z=\n",
" # where m/z is used if the species is charged, and the mass if used if the species is neutral\n",
" descrs_grid = [[]]\n",
" descrs_row = []\n",
" for row_index in range(len(mols_grid)):\n",
" descrs_row = []\n",
" for col_index in range(len(mols_grid[0])):\n",
" descr = \" \" + labels_grid[row_index][col_index] + \", \" #+ \": \"\n",
" if charges_grid[row_index][col_index] != 0:\n",
" descr += \"m/z=\" + str(mzs_rounded_grid[row_index][col_index]) + \" \"\n",
" else:\n",
" descr += str(masses_rounded_grid[row_index][col_index]) + \" Da\"\n",
" descrs_row += [descr]\n",
" descrs_grid += [descrs_row]\n",
"\n",
" # Use MolsMatrixToGridImage if available in the installed version of RDKit\n",
" try:\n",
" drawing = Draw.MolsMatrixToGridImage(molsMatrix=mols_grid, legendsMatrix=descrs_grid, **kwargs)\n",
" except AttributeError:\n",
" # Flatten grids (2D lists) into 1D lists for MolsToGridImage\n",
" mols = flatten_twoD_list(mols_grid)\n",
" descrs = flatten_twoD_list(descrs_grid)\n",
" drawing = Draw.MolsToGridImage(mols, legends=descrs, molsPerRow=row_length, **kwargs)\n",
" if verbose:\n",
" return drawing, smiles_grid, labels_grid, mols_grid, masses_grid, charges_grid, mzs_grid\n",
" else:\n",
" return drawing"
]
},
{
"attachments": {},
"cell_type": "markdown",
"metadata": {},
"source": [
"## Riboside Example"
]
},
{
"attachments": {},
"cell_type": "markdown",
"metadata": {},
"source": [
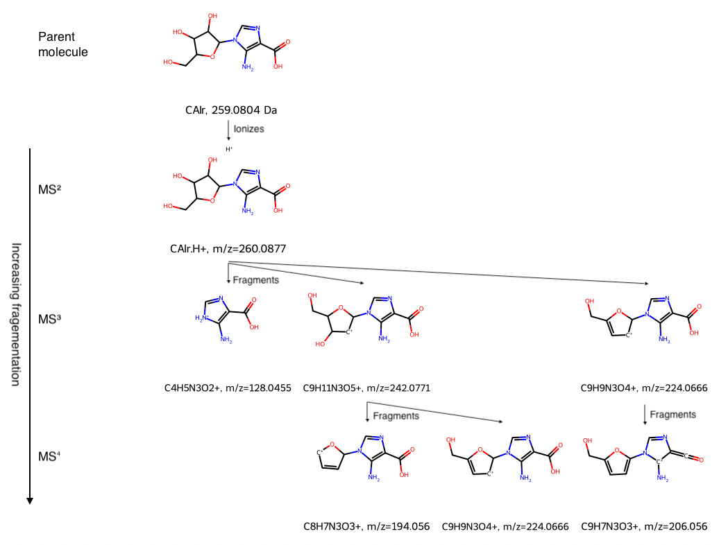
"Carboxyaminoimidazole riboside (CAIr) was studied by [Madrova et al.](https://journals.plos.org/plosone/article?id=10.1371/journal.pone.0208947#sec019). To put an electrical charge on the neutral CAIr molecule so it could be analyzed with mass spec, they used electrospray ionization. This ionization technique often protonates (adds a proton, that is H+, which is a hydrogen atom stripped of its electron) neutral molecules using a [proton source such as acetic acid](https://en.wikipedia.org/wiki/Electrospray_ionization#Ionization_mechanism). The parent ion, denoted as CAIr.H+ below, thus weighs approximately one Dalton (which is the atomic mass of a [proton](https://en.wikipedia.org/wiki/Proton)) more than the neutral species.\n",
"\n",
"Mass spec typically analyzes gas-phase ions in high vacuum, that is, very low pressures. Species that would not be stable in a condensed phase (liquid or solid) can be stable in the gas phase, and they can be analyzed by mass spec. As a result, some of the chemical formulas and SMILES strings may seem unusual. For example, in SMILES, `C` is a (non-aromatic) carbon atom which is assumed to have four bonds, and any bonds not explicitly stated are assumed to be to hydrogen atoms. But to specify that a carbon atom has a single positive charge and one bound hydrogen atom, you need to include the hydrogen atoms explicitly, for example `[CH+]`. Also, to add a proton when its location on the species is not known, I used the [disconnected structure](https://chemicbook.com/2021/02/13/smiles-strings-explained-for-beginners-part-1.html) notation of a dot, `.[H+]`"
]
},
{
"attachments": {},
"cell_type": "markdown",
"metadata": {},
"source": [
"### Enter Mass Spec Fragmentation Data and Create the Tree"
]
},
{
"cell_type": "code",
"execution_count": 21,
"metadata": {},
"outputs": [
{
"name": "stderr",
"output_type": "stream",
"text": [
"[16:16:53] WARNING: not removing hydrogen atom without neighbors\n"
]
},
{
"data": {
"image/png": "iVBORw0KGgoAAAANSUhEUgAAAyAAAAMgCAIAAABUEpE/AAAABmJLR0QA/wD/AP+gvaeTAAAgAElEQVR4nOzdeVhUZf8G8Htm2EEEZFFRNllUQNxRUdygzLU0fC3TNE0t+6WtpFm8lSWWpZktqJlmpmKlr6CZoLjmlhuxyI6CICA7yDpzfn+caSS3RM4wSPfnmsvrzJlzvs9z6I/u6znPeY5MEAQQERERkXTkuu4AERERUWvDgEVEREQkMQYsIiIiIokxYBERERFJjAGLiIiISGIMWEREREQSY8AiIiIikhgDFhEREZHEGLCIiIiIJMaARURERCQxBiwiIiIiiTFgEREREUmMAYuIiIhIYgxYRERERBJjwCIiIiKSGAMWERERkcQYsIiIiIgkxoBFREREJDEGLCIiIiKJMWARERERSYwBi4iIiEhiDFhEREREEmPAIiIiIpIYAxYRERGRxBiwiIiIiCTGgEVEREQkMQYsIiIiIokxYBERERFJjAGLiIiISGIMWEREREQSY8AiIiIikhgDFhEREZHEGLCIiIiIJMaARURERCQxBiwiIiIiiTFgEREREUmMAYuIiIhIYgxYRERERBJjwCIiIiKSGAMWERERkcQYsIiIiIgkxoBFREREJDEGLCIiIiKJMWARERERSYwBi4iIiEhiDFhEREREEmPAIiIiIpJYaw9YhYVYuxbLliEmRr1n61ZUVKi3DxxARoauukZEREStVasOWHl5GDECBgbw9cU332DpUgD44guUlqoP+PlnJCTosINERETUKunpugPatHo15s7FjBkA4OeHrl3xyis67hIRERH9C7TqgHXpEsaMUW8bGsLVVX1D8NlnYWQEAHFxNw8gIiIikkirDljm5jenWwEoL4e5OQCsXYuOHQFgwQLddIyIiIhatVY9B+vRR/HDDxAEAIiPR3U1OnUCAENDGBnByAgKhW47SERERK1Sqx7BmjwZZ87A3x/t2+PqVWzcCHmrDpRERETUMsgEcYCntcrLQ3ExrKxga6veo1TeHLhSqSCTQSbTVe+IiIioVWrtIzrff49u3bBs2c09DW8LyuVMV0RERCS51h6wUlIAwM1N1/0gIiKifxEGLCIiIiKJtfaAlZwMAO7uuu4HERER/Yu06knulZVo0wYGBqis5IoMRERE1Gxa9QhWSgoEAa6uTFdERETUnFp7wAInYBEREVFzY8AiIiIikhgDFhEREZHEWvOrcgIzMmROTqu6du2u654AqKioGD169B9//OHs7Ozp6enyd7ruHREREUmpNT9FaGtrW1BQcPXq1Y4dO+q6LwgLC5s3b94df2rXrp2rq6uv7ygbm/+6ucHVFW5uMDe/9bCePfH885g/HwAGD0Z0NIyMtNxpIiIieiCtdgSrtLS0oKDA1NS0Q4cOuu4L6urqli9fDmDjxo1eXl7pf4mPj4+LiyssLCwsLFQoXH7//eYpdnZwd4ebm/rj64uqKmzejCeeQMeOKCtD6w3GRERED71WG7CSk5MBuLm5yVrA2wY3bdqUkZHRvXv3adOmyeVyAwODxx57zMzMTPw1Ly8vOTk5O9vU3x8pKepPXh7y8nD0qLrCl19CLkdICBYuRHi4zi6EiIiI7kerDVgpKSkA3FrADPe6urply5YBCAkJkcvlVVVVPXv2VKlUlpaW4gSs7t27e3p6uru7jB9faWpqCkAQkJ19M2ylpKBnTwB47DGsXYt9+3R7QURERPQPWnnAcm8BL8nZvHlzenp6t27dnnzySQAFBQWenp4pKSnFxcVnz549e/as5shhwz66eHFR9+7w9ISLC1xc0Lcvpk+HsfHNaqtWYdIk1Nc3/3UQERHR/ZIiYFVU4OxZDB2q/rpnD8aMAYCqKhw6hKIi+PrC1VWChhqjhYxgKZVKcfbVO++8I5fLATg4OMTGxgqCcOXKlZS/JCcnp6Sk1NV1Ly7G8eM4fvxmBT09dO2KP/9Uf3V0xJNPYtEiHVwLERER3ScpAta1a3j/fRw4oP764ou4fBlFRXj0UTz+OOztMXs2ZszAjBkStHXfNHOwmrPR2/3www/Jyclubm6TJ09uuF8mkzk6Ojo6OgYEBGh21tfjyhWkp9/8xMcjKUk9n332bPVhr76KykrotdrBRyIiooee1v4vvWoVnnkGCxYAwBNPoGdPTJ0KfX1tNfd3RUVFly5dgq4DllKJlSvXAnj33XcV9/E+RD099Z3BhmprkZ8PAK+9BgBr1mDbNixZ0mx/SyIiImo0iVZyT0rCiy+qPzU1AHDxIgYOVP/ati3s7XH5sjRt3VNlZeXy5cu7dOlSU1NjaGi4YsWKZmj0brZtw9WrRydNinjqqaceuIiBATp1uvn1yhUcP44GE7eIiIioxZFoBMvBAa+8ot6OjAQAQ0PU1t48oKYGxsaoqMBfaxNIrqamJiws7KOPPsrLywPQo0ePhISEjz/+WKVSffLJJ1pq9B5UKoSG4vp1+bhxY+9j9Op+eXoCQHy8ZAWJiIhIchKNYBkb31wTU1x3yt8fERHqXy9fRlUVrKzQtSsmT0ZiojSN/kWlUu3YsaN79+4LFizIy8vz9fWNjo6+ePHirl27xEGsF154ofkXrN++HXFx6NIFU6dKWdbLCwDi4qSsSURERNLS2suen38eKSmYPBmvvIKJE/H11zh+HAUF2LEDXl546ilJBmEEQYiIiOjVq9fkyZPT09O7d+8eHh5+4sSJkSNHAhgzZszOnTuNjIy++eabuXPnqlSqprd4n1QqLFsGAIsXSzwbvXt3KBS4dOlv44NERETUokjxLsL6ehQUQPNGmitX4OCg3s7ORkkJ3N1hYAAAWVlYsQLr1qGqCnI5Ro/Ge++hd+8HazY6OnrRokV//PEHAEdHx8WLF8+aNev2ueT79+9//PHHq6qqnnvuuXXr1olrJWhbeDj+8x84OiI5WX3pEnJzQ2oq4uLUtwuJiIiopZEibejpoeH7/jTpCkCnTvDyuhkxOnfG558jJQX/938wMEBkJPr2xaRJwoULjWrw5MmTI0eODAwM/OOPP2xtbUNDQ5OSkubMmXPHJ/UeeeSRffv2mZmZbdiwYerUqfXaX6NTEPDhhwDw9tvSpyv8dZeQ07CIiIharOYYzrmVvT1Wr8blywgOhrExfvnl8MKFgYGBZ86c+cdT4+PjJ0+ePHDgwIMHD1pZWYWGhmZmZgYHBxsaGt7jLH9//19//dXc3Hzbtm1Tp06tq6uT7mLu4JdfEBsLBwc8+6xW6jNgERERtXC6CFgiW1uEhiI9XfXGG/OTk6Ojo319fceNG3f69Ok7Hp6ZmTl37lwfH58dO3aYmpoGBwenpaUFBwcbN3yPzN0NHjz4wIEDVlZW4eHhEydOrBHXktACQVDPvlq0SCvDV/jrQULOcyciImqxdBewRHZ28o8/PhwbGxIS0qZNm8jISF9f38GDB8fExGgOyc7Onjt3rpub29q1axUKxZw5c1JTU0NDQy0sLBrVVN++faOiotq1axcZGTlx4sTq6mqpL0YtOBiPPYaZM7VUHt7e1UOGJAI7tdUAERERNY0Uk9wlcv369TVr1qxataq0tBSAn5/f66+/fvLkydWrV1dVVcnl8kmTJi1fvtzZ2bkprVy4cCEwMPD69eujRo365Zdf7nMA7B99+ilqarB4MQB89RX69IGvrySF76Curs7MzEypVJaXl0vVfyIiIpJQCwpYosLCwpUrV37xxRdlZWUmJiY3btyQy+WTJ09+77333N3dJWkiMTFx5MiRubm5Q4cOjYyMNJNi7dNZs3DgAH7+GX36YOFCBAaqX3itJV5eXvHx8efOnevVq5cWmyEiIqIHoutbhLdp167d0qVLMzMz582bV1dXZ2Fhcfbs2a1bt0qVrgB069bt4MGDHTt2PHz48OjRo8vLyyUpGxKC//s/KJWSFPsHXl5eAOI4D4uIiKhFanEBS2RpablixQqlUllVVSWGCWl17do1JiamU6dOR48efeyxx8rKyhp1elYW9u3DJ59g5kz064f//lesCT8/fP215J29A09PTwDxzfwkYVERnn4aAQEYNgzz56OqqllbJyIienhIusq4pExNTR0dHTMyMlJTU7t27Sp5fXd396NHj44cOfL48eMjRozYv3+/lZXVHY/Mz89PTMyKje0TF4e4OMTHo7T0bwfY2qJ9ewAICcGgQejRQ/LO3koMWM09gvXaaxgxArNnA8Dixfj4Y4SENGsHiIiIHhItN2AB8PLyysjIiI+P10bAAuDk5BQTEzNixIizZ88GBATs37/f2tq6tLQ0NTU1Pj4+ISEhPj7+7Nmzubm55uZty8uLBUEmnmhpie7d4emp/tfHB2+9BQBmZnj3XTz9NJ56CkolJHzH8y10c4swKgrffqvefukljB/PgEVERHRHLTpgeXp6RkRExMXFTZo0SUtNODg4xMTEjBw58vz58z179pTJZNnZ2bccY2Fh4enp2adPuauruacnvL1hY3Nrne7d0bYtADz5JA4ehLExhgzB7Nl47jnJupqdnf3+++/3799/9uzZXbp0MTY2vnLlSllZmbm5uWRt3NHevXjsMQgCBAGaFw1ZWKC4WLvtEhERPbRaesCC9mcade7c+eDBg+7u7nK5PCsry8DAwNXV1dPTs3v37n369PH09HR2dpbJZPcu8tprN7e/+gqbN+PECZw6hbo6zJ3b1B5ev3592bJlX331VXV19f79+2fOnKlQKLp163bu3LmEhIQBAwY0tYG7uXYN8+bhf//D+vWYNQvm5sjLg50dAPz5Jzw8tNUuERHRQ65FB6xmuxG2b9++qqoqAwODlJQUFxeXpr8Qeto0lJfjpZfwwguorsaCBQ9Yp6Ki4ssvv1y2bFlpaalMJgsKClq6dKlCoYiOjr5y5Yqtre3s2bOXLVs2duzYf4yAjfbdd3j1VZSUwMoK4iDZW2/hueewdClqavDKK+oV64mIiOh2QgtWXV2tp6enp6dXXV2tvVbq6+vd3NwA/Pjjj9JW/uYbQS4XAOHDDxt9bk1NTVhYmJ04XAQEBAScPXtWEISDBw8OHDhQ3KlZy75///6RkZGS9Ts3V5gwQQAEQBg9WsjOFsrKhNWrBZVKOHBAeO014a23hLNnJWuOiIio1WnRAUsQBHF6+8WLF7XXxIYNGwC4ubnV19dLXnzdOnXGeu+9+z2ltrZ206ZNTk5OYngaOHBgTEyMIAixsbFBQUHiTmtr69DQ0OvXr69atapDhw7izh49eoSHh6tUqib1ODxcsLISAMHCQggLEwRBOHJEcHUVAOHbb5tUmYiI6F+jpQcscXr7li1btFS/vr5eXMJ08+bNWmpiyxZBT08AhODgfzhSpVKFh4eLw2kAvLy8wsPDBUFITEwMCgoSbwKamZkFBweXlpZqzqqurg4LC+vYsaN4lre396ZNm5RKZWP7WZudLYwerR64mjBByM0VKiuF4GB1QvTxEc6da2xNIiKif6eWHrBCQkIALF68WEv1v//+ewBdunSpq6vTUhOCIPzwg6BQCBYWRR9+uOZux0RFRWnee+Ph4SGGpMuXL8+ZM0dPTw+AiYnJyy+/nJeXd8fTxVuK9vb2mnC2adOm+x+TCw8P9+jUqdbB4Q4DV/r6QnCwUFvb+OsmIiL6l2rpASs8PBzA+PHjtVG8vr7ew8MDwMaNG7VRv6HwcGWPHoMAvPHGG7f8dPz48aFDh4rBqHPnzmFhYXV1dQUFBcHBwUZGRgD09fXnzJlz9erVf2xFjFmdOnUSq3l6ev5jzMrOzh49erR4/Np58zhwRURE1HQtPWAlJCQAcHFx0UbxLVu2iMW1OnylERkZaWhoCGDevHmamVKrV68Ww42tre2qVauqq6vLyspCQ0PF1a3kcnlQUFBKSkqjGqqpqdm0aVOXLl3Eyt26ddu0adMdrzE8PFxcv97CwiIsLEwQhIKYGMHJSQAEQ0Phww+FZvnLEBERtTItPWDV1dUZGhrK5fKKigqJSyuVxaNGLfP13dCMc7f37t0rDko9//zz4jSpnJwcOzs7cVpVRUVFaGiopaWl5snB8+fPP3Bb4mR5V1dXsZqLi4s4Nib+mpubO2HCBPGn0aNHZ2dnV1ZWBgcH25mZ1To4cOCKiIioKVp6wBIEoUePHgBOnz4tcd3t2wVAcHQUamokrnxP+/btMzY2BjBr1iwxY9XW1tbW1oaFhWmeB/Tz8zty5IgkzYkxS5zID8DZ2TksLGzr1q23DFxFR0eLzy0aGhpGfP45B66IiIia4iEIWE8//TSADRs2SFlUpRJ69BAAYd06Kcven8OHD5uZmQF46qmnampqwsPDNbfz+vfvHx0dLXmLSqUyPDzc4+9rr48ZMyYnJ0ccuBLXVvXx8TnHgSsiIqIma+qS5c1AKy/M+eUXxMbCwQHTp0tZ9v74+/vv2bPHzMxs69at7du3nzx5clpamre3965du06dOjVy5EjJWxTncsXHx3///feamFVVVZWWlubj47N8+XKFQhEcHHzmzBnNk4xERET0wB6CgCW+MEfKgCUI+OADAFi8GAYGkpVtDH9//5iYGHNzc0NDQ/HJwfPnz2smRWmJQqGYNm1afHz822+/DeDw4cNDhw5NTU3t0aPHqVOnQkND9fX1tdoBIiKifwmZIAi67sM/SEtLc3V17dSpU1ZWljQVd+7ExIno3BkpKTA0lKZm4wmCYGpqWlVVVVhYKM6Iak4GBgZ1dXUGBgbvvvtucHCwuNQWERERSeIh+N+qs7OzqalpdnZ2UVGRNEHko48A4K23dJiuAGRlZVVVVXXo0KH50xUAS0vL/Pz8qKgof3//5m+diIiodXsIbhHK5fLu3bsDSExMlKDc7t344w906ICZMyWo1gQpKSkANC/GaWbiYhCal0kTERGRhB6CgAVAfOXzhg0bzpw5U1JS0qRalZWwtcWiRTA2lqZzD0oMWJoFFJqZhYUFgOLiYp20TkRE1Lo9BLcIb9y4ce7cOUdHxw0bNmzYsAGAjY2Nm5ubu7u7m5ubm5ubq6urt7u7nqnpvaqUlOC331BaCj8/ZGRAoWim3t9dSxjBampaJSIiojtp6QHrxo0bY8aMiY+Pt7GxGT9+fFZWVkpKSkFBQUFBwe+//645rNDS0gqAiwu6d4enJ1xc4OKCrl0hpq7sbIwbh1mzYGeH//s/TJ+OGTN0dEE3JScnQ9cBiyNYRERE2tCiA1ZtbW1QUNChQ4fs7e0PHz6sWY0zJycnpYH83FyrCxdQXY2zZ3H27M3z5XI4OOD115GSggUL1KEqIAC9e+PZZyGT6eCSGtDtCJZ4i5AjWERERNrQcgNWbW3tpEmT9u7da2trGxUVpUlXADp27NixY8ehQ4f+7YTiYsTHIyEB6enqT0ICMjMhCIiLw/PPqw+ztISlJXJz0bFjM17NrZRKZUZGhlwub3hdzYkjWERERNrTQgNWXV1dUFBQZGSkjY3NwYMHu3Xr9s/nWFpi8GAMHnxzT309MjPRti1++w3V1Tf3V1Xh3hO2tO/y5TIfn0cUikpjHc21f65z5xcGDjRUqXTSOhERUevWEp8iVCqV06dP3717t4WFxb59+8RX5TwIPT24usLGBsOH4+ef1TtjY9GmDdq2laq3DyY52fLMmQgzs4O66kAXPb1OJ07YXL6sqw4QERG1Yi1uBEtMV9u2bWvbtm1UVFTv3r0lKPrii5g2DePHo317nDuH9eslqNk0yckAoKP5VwAACwsA4BwsIiIiLXjQgKVSQS796JdKpZo5c+aPP/5obm6+f//+vn37SlPXyAg7dqCoCCUlcHbW+fR2ACkpgG4DlqUlAHAOFhERkRbcMyR5eNzcHjdOPeqyYwcGDcKoUfDzQ1SUhF0RBOHFF1/cvHmzqalpRERE//79JSwOAFZWcHFpCekKLSFgcQSLiIhIa+45gtVwYnhtLVQqpKbiww9x9CjatEF+PoYMwbFjsLFpej8EQXjppZfCwsJMTEwiIyNb/QvydB+wOIJFRESkNfcMWIKAU6fU26WlALB/P558Em3aAICtLQICcPQoJk5sej+Cg4O/+uorY2PjiIiIYcOGNb1gS1Zbi8uXoVDA2Vl3neAIFhERkdbcM2AplYiIUG8XFABAaSnMzW8e0LYtSkvxwQeorcXw4Rg48MFe8Ldo0aJPPvnEwMBgx44dI0aMeIAKD5f0dCiV6NIFBga660TbtpDLUVqqpel0RERE/2b3DFh6eli6VL195gwAuLtj376bB8TGYuxYLFmCnBwsXQo9Pfj4ICAAAQEYPBhGRvfTgyVLloSGhhoYGPz0009jxox5wOt4qIj3B3X0lue/KBRo0walpSgv1/miFURERK1MI58iHD8eH3+MsDD4+eHXX1FXhwEDsHYtYmIQE4MLF9Qvq1m+HCYm8PO7Mm7c1b59+/Xrp6d354b++9//fvjhhwqFYvPmzePGjZPggh4G4uJTrq667scjj6CmBvX1uu4HERFRayMTBOGuP65ciVdeUW9v3ozHHoO1NSorsWED0tPRvTueffZvd7kqKnDyJKKjER2N8+ehUm0eMmT60aOmpqYDBw4MCAjw8/Pz9fXV19cXD//0009ff/11MV099dRT2rvIliM7G3I5OnZEcTGys2FvD0GASqV+TuDGDVy/DgeHZulKVRXCw5GVBW9vjB8PmQz79sHTE507A8C5cxAE9OnTLF0hIiJqbe4ZsJqioACHDq3644+1ERGJiYma3RYWFv7+/iNGjDhw4EBERIRCodi4ceMzzzyjlT60PK++ishIxMbCyAghIfDwQGkpysoQHAwAJ05g9Wps3ar9ftTUYOhQTJmCnj3xv//h+nVs3oyZMzF9OoYPB4DPP4dKdTNeExERUWNobSV3GxsEBS0MClq4fHl+fv7hw4ejo6OPHTuWkJCwe/fu3bt3y+VyAGvXrv33pCtRt25YtgzvvafTTmzfDl9fLFwIAMOGYdAgJCTotENEREStSnO8KsfW1jYoKCgoKAhAVlZWTExMdHT0yZMnJ0yY8NxzzzVDB1qU55/H++/j6adv7vn9d6xeDQCZmc3VicRE9Op182vv3hBHGRcvRrt26q7MmtVcvSEiImptmvtdhJ07d54+ffr06dObud2WQ6HAZ5/h5Zfh66veY2mpXhCrtha5uc3SCXNzlJff/Kp5kPC99yAu8frll83SDyIiotaJCyDpwODB6NgRe/aov3brhnHjMG4c/PyaqweBgQgPR10dAFy/jpMn0a8fAOjrw8gIRka4y1OfREREdD/4/1HdWLECXbve9dcvvkBWFkaNgrZWXe3bF08+CT8/ODsjPR2rV3MpLCIiIglp7SlCupPkZLRrp57mFB+Pdu1QW4v6eri4AEBJCTIz4eODnBx06ICZM7FpkzZ7o1KhuFjdGwBKJeRy9cuwVSoAXOGdiIjowTBgtVARESguxr94rhoREdFDjLcIW6IdO1BRgZkzdd0PIiIieiC8B9Ti3LiBCxeQn4/Nm3XdFSIiInogvEVIREREJDGOYBERERFJjAGLiIiISGIMWEREREQSY8AiIiIikhgDFhEREZHEGLCIiIiIJMaARURERCQxBiwiIiIiiTFgEREREUmMAYuIiIhIYgxYRERERBJjwCIiIiKSGAMWERERkcQYsIiIiIgkxoBFREREJDEGLCIiIiKJMWARERERSYwBi4iIiEhiDFhEREREEmPAIiIiIpIYAxYRERGRxBiwiIiIiCTGgEVEREQkMQYsIiIiIokxYBERERFJjAGLiIiISGIMWEREREQSY8AiIiIikhgDFhEREZHEGLCIiIiIJMaARURERCQxBiwiIiIiiTFgEREREUmMAYuIiIhIYgxYRERERBJjwCIiIiKSGAMWERERkcQYsIiIiIgkxoBFREREJDEGLCIiIiKJMWARERERSYwBi4iIiEhiDFhEREREEmPAIiIiIpIYAxYRERGRxBiwiIiIiCTGgEVEREQkMQYsIiIiIonp6boDKC4uPnv2bElJib29ff/+/RUKxS0HnD9/XqVS9e7dWyaTNTylT58+lpaWjW1OpVKdOXPm2rVrnTp18vHx0dPT0+w/f/58wyPNzMw8PDw0X2NjY9PS0qytrQcMGKCvr3/H4oIgnDt3LjMzs0OHDr6+vrdcS1lZ2YULF0pKSlxcXLy8vG45Nzc3948//pDL5b6+vtbW1nesn5eXl52dDaBXr15y+R3CcX5+flZWlrgtl8s7depkY2Nzj78GERERaYWgO9XV1fPnz28YVhwdHWNiYhoek5iYKP507Ngxzc4DBw4AiI6ObmyLJ06ccHFxAWBkZASgR48eCQkJ4k+aXKIxbtw48af8/PwRI0Zo9js5OV24cOH24rm5uf369dMUd3V1jY+P1/y6detWS0tLU1PTTp06yeVyf3//wsJCza/vvvuuQqHQ19dXKBQGBgaff/757fXr6up8fHzE0FZVVXXHC1y5cuUtV9GvX78jR4409g9FRERETaHLW4QzZ8786quvXn/99WvXrgmCkJSU5OXl9cUXXzQ8ZuvWrcbGxvb29lu2bGlic0VFRWPGjHF1dc3Kyqqqqjpx4sSVK1emT58u/pqbmwvg119/LfrL1q1bxZ9mzZp14sSJXbt21dfXi4NMkyZNqq2tvaX+jBkz/vzzz71791ZVVV28eLG6unrSpEn19fUA8vPzZ8yYMXToUHGE6cSJE2fOnAkODhZP3LFjx/vvvz9jxoyysrKSkpL//Oc/CxcuPHz48C31P/nkk+Tk5JkzZ/7jlSYmJhYVFeXl5UVFRcnl8oCAgJiYmCb85YiIiKiRdJXszpw5A2D+/PkNd9bW1tbX1zfc4+7u/uSTT7755ptWVlY1NTXizoYjWNnZ2aWlpfX19SdPnrx06dI9WlSpVL/99ltJSYlmz8svvyyTycrLywVB2LVrF4D09PRbzrp27ZpMJluwYIFmjxi8IiIiGh4WHx8PIDg4WLNn3bp1ACIjIwVBiI6OBrB9+3bNrwMHDvTx8RG3Bw0a1L59+yXywH0AACAASURBVLq6OvFrRUWFqanpE0880bB+UlKSsbHxsmXLPvroI/zTCFZOTo5mT2Vlpbu7e9euXVUqlbinvLz8woULp0+fLioqusefi4iIiB6YzkawIiIiAMybN6/hTvEemebr2bNnk5OT//Of/0ydOrWoqOi33367vc748eNff/11Hx+fAQMGTJky5R4tymSyRx55pG3btpo97dq1EwShuLgYf41gtW/f/paz8vLyBEFwdXXV7PH39wcQFxfX8LDTp08DePzxxzV7xO1Tp04B6Ny5M4Bt27bV1NQAqKysTE5O9vb2xl9zwsaOHauZDWZqahoQECCeKBIE4YUXXnBxcXnttdfucYF3ZGJiMnfu3EuXLl28eBHAokWLbGxs+vXrN3jwYDs7u3feeaexBYmIiOgf6SxgJSUlyWQyNze3exyzfft2MzOzMWPG9OjRw9vb+253Cb/77ruXX345MzPzp59+alQfTp48aWdnZ29vDyA3N1dPT2/s2LFWVlbt27efMWPGtWvXADg4OBgYGBw9elRzVllZmUwmu3r1asNS4lcHBwfNHmtraxMTE3G/u7v7K6+8snPnTi8vr9DQ0CeffNLFxeXTTz8FUFBQUFdX1/BEsU5eXp54exHA2rVrDx06FBYWdrfJ9ffWtWtX/JUIH3vssePHj1dXV1dXVy9ZsmTp0qVnz559gJpERER0Dzp7irCysrJNmzaGhoZ3O0AQhB07dkyYMMHY2BjA008//d5775WWljYcghIFBATMmTOnsR04duzYvn37Vq1aJT6ON3r06LKyMj8/Pysrq3Pnzi1duvTUqVPnz5+3sLB46aWXPvvss7q6un79+iUlJYk3BysrKxtWE4fBzM3NG+40NzcvKioStwcMGGBqatqxY8f333+/qqpq8uTJYrt3O1GpVJaWlrZr1y43N/ett96aPXu2n59fY69RJD5IWFFRgb+G30SzZs0KCQm5cOFCnz59HqwyERER3ZHOApa5uXlZWdmNGzdMTEzueMCJEycyMzP79u27fPlyADk5OdXV1Tt37pwxY8YtRz7AuE56evqUKVP8/PxefPFFcY+vr6+vr6+4PWLECDs7u+nTp0dERAQFBa1YsaJLly7bt2//+eefe/fuvXfv3gEDBlhZWTUsKIaYoqIiMzMzcY8gCEVFReI9x+jo6Keeemr16tXz588vLS3duHHj22+/nZycfObMGfFEMWZpFBUV6evri4tQzJ8/39DQMDQ0tLHXqJGTkwNArFZcXPzNN99ER0fn5uZWVVUBKCsre+DKREREdEc6C1ienp4AEhMT7zZ8sm3bNmNj44yMjIyMDHGPtbX1li1bbg9YjRUbGztu3Lj27dtHRkZqZj7dQgxbmZmZAGQy2YsvvqiJYuITeeIMKg3xPmNGRobmZl9OTk5tba24/7vvvjMzMxMnnLVt23bBggUAFi5cKI4eGRkZpaenN6yWkZHRsWNHuVx+6NChnTt3WltbBwYGij+JNy4HDRr07rvvNpzyde/rBdCrV6/q6uqRI0cWFRW99tprrq6uNTU1TzzxxP1UICIiokbRWcCaOHHikiVLVq5c+cMPP9z+q0ql+vnnn6dOnSo+iydat27dvHnzbpn81Fg//PDD3Llzhw0btmXLloZ3G4uLiy0sLDRrmYozlhwdHW+v8OWXXxoZGY0dO7bhziFDhshksh07dgwdOlTcs2PHDgDiV0NDw7q6OqVSqZnCL26oVCqZTObv7x8ZGVlVVSXeDC0qKjp48KA4Yb9du3aa1RxEJ0+evHr16ogRI8To9o8KCgq+/vrrQYMGubu7Hz169Pz58/v37xfjWklJyf1UICIiokbT4ROM4kCOuHxUaWlpYmLiihUrxLUMoqKiAERFRTU8vqioyNDQ8NNPP224TEPv3r01K4IKgpCUlBQaGpqWlnZ7czU1NS+99BKA0aNHnz59+o+/FBYWVldXd+3a9fHHH//999/z8vJ2795tb2/fpUsXcTWEtLS0Q4cOFRQUnD9//tVXXwXw0UcfiTU3b968Zs0acXvq1KkKhWLt2rXXr1+PjIy0tLQcPHiwuDjCtm3bADz33HPi4qKnT5/u3Lmzm5ubuDTDgQMHZDLZuHHjMjIyUlJSRo0aZWBgEBsbe8c/2v0s07Bv3z7x0r799tsuXbpYWFj8+eefgiCITyZ+9dVXgiAUFBRMmzYNwGeffdaI/2ZERER0H3QZsJRK5dKlSy0sLDRpz9bW9uuvvxYEYfbs2TY2NpqloTQef/zx3r173yNg/fLLLwB+/fXX25vbs2fPHSPm1q1bBUHYvXu35sU4MpksICAgIyNDPHHZsmWa99JYWVk1TCTDhw/v0qWLuF1eXj5p0iTNkcOGDWu4HtXKlSvbtWsHQBymGjBgQHJysubX9evXa4bTbGxsfvnll7v90e4nYGmYmJhMmjQpKSlJ/FWlUomhysbGRqFQvPHGG87OzgxYREREkpMJgtC0IbCmqq+vT0hIKC8v79Spk729vTgp6urVq3K5vEOHDrccXFJSUlRUZG9vn5+fb2tra2hoePXqVYVCoVm/qrKy8vnnn3/zzTd79ux5y7k3btwQJzDdwtbWVjMzPSMj4/r16507d75lQazCwsLLly8bGRl5eHg0XKmroKBAqVQ2PDgvL+/KlSt2dna3rLwAoKamJi0traCgwMHBwdnZ+ZZfq6urL126pFAounbteo9p++JfwNnZWXM3s6HS0tLCwkJx28TERAxStxyTmJiYnZ3drVu3Tp065ebmmpiY3P5gJhERETWF7gOW5ObNm/fJJ5+0adNG1x0hIiKif6lWGLCIiIiIdEuXL3smIiIiapUYsIiIiIgkxoBFREREJDEGLCIiIiKJMWARERERSYwBi4iIiEhiDFhEREREEmPAIiIiIpIYAxYRERGRxBiwiIiIiCTGgEVEREQkMQYsIiIiIokxYBERERFJjAGLiIiISGIMWEREREQSY8AiIiIikhgDFhEREZHEGLCIiIiIJMaARURERCQxBiwiIiIiiTFgEREREUmMAYuIiIhIYgxYRERERBJjwCIiIiKSGAMWERERkcQYsIiIiIgkxoBFREREJDEGLCIiIiKJMWARERERSYwBi4iIiEhiDFhEREREEmPAIiIiIpIYAxYRERGRxBiwiIiIiCTGgEVEREQkMQYsIiIiIokxYBERERFJjAGLiIiISGIMWEREREQSY8AiIiIikhgDFhEREZHEGLCIiIiIJMaARURERCQxBiwiIiIiiTFg3RelUllQUKD5eu3aNXGjqKhIRz0iIiKilosB675kZ2dPmjRJ89XX11fcWLVqlY56RERERC0XA9aD+/HHH0+fPv3555/ruiNERETUsujpugMPjfz8/B9++EHcrq2tBfD0009r/iUiIiLSYMC6X4Ig1NfX37KT6YqIiIhux4B1v+zs7GbMmCFuh4SE6LQvRERE1KJxDhYRERGRxBiw7ou1tfWSJUs0X/nwIBEREd2DTBAEXfeBiIiIqFXhCBYRERGRxBiwiIiIiCTGgEVEREQkMQYsIiIiIokxYBERERFJjAGLiIiISGIMWEREREQSa+0Ba8sWBAQgIADTpyMvDwCmTkV+vvrXDz7AkSM67B0RERG1Sq06YMXEYP16/O9/iI7GpEmYMgUAMjJQV6c+IDcX5eU67CARERG1Sq06YG3dildegakpAEyYgOJiXLsGAEVFKChAQQGqq3XbQSIiImqV9HTdAW0qKICt7c2vtrbqm4PvvgtjYwD44w9MmqSbvhEREVHr1aoDlpMTUlMxYAAACAIyMuDgAABr1sDeHgBefFGX3SMiIqJWqlUHrDlzMGUKfHzg5ITVqzF4MCwsdN0nIiIiav1adcDq1g3ffYcvvkBBAQYPxtq1ADBqFExM1Af4+qJTJx12kIiIiFolmSAIuu6DNh0+jH378OijGDZM110hIiKif4tW/RQhgOhohIYiJkbX/SAiIqJ/kdYesFJSAMDNTdf9ICIion+Rf0fAcnfXdT+IiIjoX6S1z8EyN0d5OQoLYWWl664QERHRv0WrHsG6dg3l5bC2ZroiIiKi5tSqA1ZyMsAJWERERNTcWnXA4gx3IiIi0gUGLCIiIiKJteaAlVxVVebtXdutm647opaTk7Ny5cqLFy/euHFD130hIiIiLWrNr8qZdPBgXFzcOReXXrruCYDU1NR+/fqVlpaKj21aWlq6uLh0797d09PTxcXFxcWla9eupqam96iwdy/69oWtLQDs34+RI6FQNE/fiYiIqHFa7TINgiCYmppWVVWVlZW1adNG193BCy+88M0331hZWbVv3z4tLa2mpuaWA3r2HJ6Xd9DTEy4uNz+enjAyUh/g4oL+/bFtGwD06IFTp2Bs3LzXQERERPen1Y5gZWVlVVVVdejQoSWkq6ysrO+++06hUPz+++8eHh4qlerKlSspf0lOTk5JSbGw6H7hAnJz/3aivj6cnODmhv/7PxgaQl8fv/6Kxx7T0WUQERHR/Wm1ASslJQWAW8uY4b58+fKampqpU6d6eHgAeOONN5ycnNzc3B599NE5c+bo6ekBqK/HlStIT1d/4uORkIDLl5GSgpQUPPUUAISGYvRovreaiIiopWvlAcu9BbwkJzc3d8OGDXK5/K233gKQl5f32WefaX41MDBwdnZ2d3d3d3fv0eOJTp38Ro1C586QyQCgpgZpaUhORv/++PBD2Ntj+nSEhurqUoiIiOi+tPKA1RJGsJYtW1ZVVTVlyhQvLy8AhoaGn376qeb+YFZWVlJSUlJSEgB/f+cjR/wAGBvDzQ1ubnB1VW907Kiu9vLLGDwYBQW6ux4iIiL6J1IErNxcrF6NZcvUX599Fps2AUB0NMLCUFGBfv2waFEzT8lOTk5GCwhY165dW79+vUwmW7x4sbjHwsLi1Vdf1RxQXV2tCVtFRcMAJCfj2jXExiI2Vn2MtfXNRKWvj08/hb9/M14DERERNZIUAauyEqdP3/x66BAAnDyJt9/Grl2wscGaNZg5U/38W3NpISNYy5cvr6qqCgoK8vb2vuMBRkZG3t7et/xaXq6eepWSguRk9YOE+/cDgFIJW1tcuHDz6UIiIiJqabR2i/Dbb7F4MTp0AIAFC7BmDcrKYG6ureYaqK+v37hxY3Z2tkwms7CwaIYW7yYvD+fPuysU+kuWLGnUiW3aoHdv9O79t52dOwPAzJnYvBkbNqBHD+k6SkRERJKSaCX3CxcQGKj+VFcDQHY2HBzUv8pk6NwZV69K09bdCYKwfft2T0/P559/vrKyUhCE0aNH5+Xlabvdu1mxAocPvzB9elEP6dJQ164AkJAgVT0iIiKSnkQBq2dPREWpP+K9K3t7ZGXdPCA7G/b2CA9HYaE0Ld4mOjq6X79+U6ZMSU5OdnJyWrFihZeX159//jl06NCr2s92t7t+Hd98A5kM8+ebSVjWywsA4uIkLElEREQS09q7CGfMwMcfo6QEANatQ8+eyM/H1KlwdMSCBbh2TcKmTpw4MWLEiMDAwLNnz3bq1GnVqlVJSUmvvfbawYMHfXx8kpKShg8fnp2dLWGL9+OTT1BRgQkT0KePlGU9PQEGLCIiopZNioBlbAwfn5tfBwwAgMGD8cYbePppBAQgMRHffQelEo8+ispKrF4NV1e88Qby85vYclxc3OTJkwcNGhQTE9OuXbvQ0NDk5OQFCxYYGBgAsLGxOXToUP/+/VNSUgYPHpyent7E5u5fYSG+/hoA/np2UDLOzjA1RXY2iookrkxERERSafZ3EcbGYulS/PQTBAGGhnj2WYSE3Fzl6b4lJSV9+OGHW7ZsUalUZmZm8+fPX7RoUdu2bW8/srS0dNSoUSdPnnRwcDhw4ICrq6sUl/EPFi/GsmUYNw67d0tfvH9/nDmDY8fg5yd9cSIiImo6rd0ivJsePRAejrNn8cQTqK3F2rVwdS189937nyaVnZ09d+5cLy+vzZs36+npzZkzJzU1NTQ09I7pCkDbtm2joqKGDRt25cqVIUOGJGh/fnhREdasAYBGPjt4vzgNi4iIqIVr9oAl6tULv/yC2FhMm4ba2nX797u4uEyfPv3ed/GuX7/+1ltvubm5rV27ViaTTZs2LSkpKSwszM7O7t6tmZmZRUZGjhgx4tq1ayNGjIjTcjZZuRLl5Rg9Gv37a6W+OA0rPl4rxYmIiKjpdBSwRF5e+P575cWLF52c6uvrN2/e3K1btxdeeOHy5cu3HFhRUbF8+fIuXbqIb00OCgqKj4///vvvnZyc7rMpU1PTiIiIwMDAvLy8kSNHxmpWSZeaSoXt2wHgnXe01ALnuRMREbV0zT4H6y4SEhJCQ0N//PFHpVKpr68/ZcqUd955x83N7caNG+vWrfvoo4/y8/MBBAQEfPzxx7169XqwVmpqaiZPnrx7925LS8vffvutX79+UvW/oAAGBhDvUmZn49AhPPOMVLVvlZNT8cgjCyorz2RkaCsmEhERUVO0lIAlunTp0ocffrh161YxZvn5+SUlJeXm5gIYNmzYRx99NHDgwCY2UVtb+5///GfXrl0WFhb79u3z9fWVouOYNQuxsTh5EgoFFi5EYCDGjJGk8J21a9euqKgoLy/P1tZWi80QERHRA9HpLcLbdO3adfPmzSkpKXPmzBEE4dKlS7m5ud7e3uHh4TExMU1PVwAMDAzCw8MnTpxYUlLy6KOPnjhxouk1RTY26qUZmkH37t0BaHsyGRERET2YlhWwRM7OzmFhYb/++uu1a9dsbW0vXrwYFBQkYX19ff3w8PBnnnmmtLQ0MDAwJibmgUvV1iI2FsnJAPD661i3Drm5kvXzHjw9PaGTgHXtGn7+GRER6iVkiYiI6E5aYsASDR8+3NjYuKCgoKysTPLiCoVi48aNzz77bGVl5dixY6Ojo+/nLKUS6emIiMDy5Zg+HX37om1b+PhgxQoAMDbG++/jtdck7+wdiAErvpmfJDxyBOPGIT8fqakYNgyJic3aOhER0cNDT9cduCuFQtGtW7dz584lJiYOEFeHl7r+hg0bxH/Hjx+/a9euRx55pOEBgiBkZmbGx8fHx8dfuVJ04sTyhATU1NxSBB4esLVVD1xNmID165GWhsBAyfv7N15eXmj+Eaw33sDmzerXTXt44L//VT8wSURERH/XcgMWAE9Pz3PnzsXFxWkjYAGQy+Xr1683MTFZs2bNuHHjwsLC7O3t4+Li4uPj//zzz8TExPLycvFIfX19meyD2lqDDh3g6Ynu3dX/9u4NExMAmDVLXXPNGnTvDgCnT6NHD/Wbr6VSWlpaV1dnbW3t7e0NIC4uThAEmUwmZRt3o1IhO1udrgAMHoyFC5ujXSIioodQSw9Y0PKNMJlMtnr1agBr1qx59dVXi4uLG/7asWNHT09PLy8vT0/PHj1U3brBzOzOdV54Ac7OAODoiP37kZuLYcMwZAh27YKxsQT9rK2t3bhx4zvvvDNhwoS1a9daW1vb2dnl5eVlZ2d37txZggbuJi0Nb72FsDBYWaHhA6e1tRKHRyIiolakRQes5rkRJpPJ3nzzzW+++aa2tnbw4MHe3t7e3t5irrKysrrPIn373tz288OlS7C0xP79ePRR7NmDNm0evHt1dXXr169funRpTk4OgPT0dKVSqVAoOnfunJeXt2fPnnnz5j149XtQqbBmDRYtwo0bsLPDmjXo2ROHD2PoUACIiIC/v1baJSIiagWEFiwzMxNA+/bttd3QSy+9BGDKlCkS1kxKEuztBUDw8xNKSx+kglKpDA8Pd3NzE/9LictVCIKQkJAQFBQkk8mcnJzkcvnYsWPPnj0rYc8FQRDS04XhwwVAAISgIOH6dUEQhMREoW9f4eWXheefF4YMEa5dk7hRIiKi1qJFByyVSmVubg6goKBAe63k5OQYGxvLZLLY2FhpK2dkCM7OAiD07SsUFjbu3KioqJ49e4rRqmvXruHh4SqVKi0tbdq0aXK5HICpqengwYONjIwAyGSyiRMnnj9/XoJOq1RCWJhgZiYAgp2d8MsvgiAIe/aor6G2VoiLE5KTBaVSgraIiIhaqRYdsARBEKe3Hzp0SHtNLFiwAEBQUJA2il++LHTpIgBC797qYaB/dOzYMf+/7r517tw5LCysrq4uPz8/ODjY0NAQgL6+/pw5c3JycgRByMvLCw4ONhFn2gMBAQGnT59+8O7ePnBVWCg884x6z9KlD16ZiIjo36SlB6zZs2cDWLNmjZbq5+bmmpiYyGSyixcvaqmJy5cFV1cBEHr1EgoK7jXwc+rUqbFjx4pRydraOjQ0tKqqqrCwMCQkpE2bNgDkcnlQUFBqauotJ4rxq2HMOnXqVKM6qVQqD65fL5iaCoDQoYPwv/8JgiDs2aO+zWlsLISGctSKiIjoPrX0gLVy5UoAL7zwgpbqv/rqqwAmTpyopfqi3FzB01Po3Xu/j08vceTpFpppVQDatGkTHBxcWlpaUVERGhpqYWGhiU0XLly4RysFBQUhISHiTVXx+BMnTtxP99LT04cPHw4ga+BA9cBVcbEwZ4564GrQICEp6QGvnIiI6F+ppQesqKgoAP7+/tooXlBQYGZmJpPJzpw5o436DeXmKnv37gugW7duDTPW5cuX58yZo1AoAJiYmAQHBxcVFdXU1ISFhbVv314Tle6/h2LMatu2rXiun5/fwYMH73awUqlcvXq1qamp+DDBXg5cERERSaGlB6zc3FwAlpaW2ij+VUgIgPHjx2uj+O3y8/N9fHwAuLm5ZWVliTu//fbbhtOqxCcHXVxcxHjk6+t74MCBB2jr+vXrISEhmtEvPz+/6OjoW47RDFyJU9AKCgoKCwt3vPaaeuDK31+47V4kERER3Y+WHrAEQbC2tgZw9epViesWFAht2uT27/+n5Gsc3F1RUVH//v0BODo6pqWlCYJQX1//5ptvZmRkqFSq3bt3i0u0A/D09BSfHGxKc6WlpaGhoZaWlpqYtXv3bkEQVCpVWFiYmZkZADs7u59//lkQhD179tjb2wPIGDZMWL2aA1dEREQP7CEIWEOHDgXw22+/SVx30SIBEMaNk7jsPykpKREfjXRwcEhJSRF3RkVF9enTR4xBjo6OYWFh9fX1UrVYVlYWGhqqWTS1X79+4gquAJ5++unCwsLi4uI5c+aIewYNGpTEGVdERERN8xAErPnz5wP47LPPpCxaWCi0aSMAQlMWNXhQ5eXlw4YNE6c9bdmyRXOfzt7eftWqVdXV1dpotKSk5IMPPtDELLlcvmjRIqHBwJWxsXFoaKiSA1dERERN9hAErK+++grArFmzpCz69tsCIIweLWXNxigvLxcXuxKnt1tbW69YseLGjRvN0O6qVavERR+sra05cEVERKQNMqHhG3xbpCNHjgwdOtTX1/fkyZPSVCwthZMTSkpw7Bj8/KSp2XiVlZX29vZKpXLOnDkNl1doBtnZ2Q4ODuJ/ehMTk2XLlr300kviAvFERETUdA9BwCouLraysjIzMysrKxNXimqqkBC8/z4efRT79klQ7UFVVVWZmZnp6elVVlbq6TX3W7fNzMwqKyt9fX2///57d3f3Zm6diIiodXsIBi0sLS07duxYUVFx+fJlCcqVluKLLwBgyRIJqjVBWlqaSqVydnZu/nQFQJyMtX37dqYrIiIiyT0EAQuAp6cngLi4OAlqff45iosREIDBgyWo1gQpKSkAdJVvxCWyysrKdNI6ERFR66aDsZMHIA63LFy4cM+ePW5ubm5ubu7u7s7OzgYGBo2uNWsWCgsxebL0vWyk5ORkAG5ubjppXVwcq7i4WCetExERtW4PQcA6fvx4ZGSklZVVWlpaWlqaZr+enp6jo6OYt5Z6epo7OcHNDY6OUCjuUOWnn/Ddd6itRZ8+WLYMf70XWYfEESxdBSxxBIsBi4iISBtaesA6d+7cuHHjKisrx4wZM2PGjNTU1OTk5JSUlNTU1MzMTDFyRUVFrVAoUFsLAAYGcHGBuzvc3NQfLy+cO4evv8bOnWjTBqtW4fnnsWWLrq9MxwFLHMEqKSnRSetEREStW4sOWBcuXAgMDCwuLg4KCtqyZcstk8Fra2szMjKSk5OvZWYaJCQgJQUpKcjKwqVLuHTp5nFLliA1FUuWQFwHYeFCODqipgaGhs17NbfS7Rws3iIkIiLSnpYbsGJjYwMCAoqKiiZOnPjjjz/e/qidgYGBh4eHh4fH3/ZWVSE1VR22xI+PD44eRceO6gNkMrRvj7w8ODg0y3XcWUVFxbVr14yNjcVV1JufhYVFRzMzvRs3dNI6ERFR69ZCA1ZSUtIjjzxSWFj4+OOPb9u2rRELGRgbw9sbf70yWW3XLly+DDGKKZXIzUWHDhL3uJFSU/X69//Z2blIV8t7hlhYhFRUID9fJ60TERG1bi1xmYbk5OThw4fn5eU9+uij27Zt09fXb2rF2bPxwQcoKEB9PZYvx+jRaHrNpklKMjp16ona2lk664GlJQDwFiEREZEWtLgRrNTU1OHDh+fm5gYGBu7atctQkplSw4Zh0SLMnYsbN+Dnp15oVKdSUgBARxPcAQAWFgDASe5ERERacM+A9b//YcIE9XZMDPr0gbk5BAGHDyMzEx4eGDhQ2t5cuXIlMDAwJydnyJAhO3fuNDIykqz06NEYPVqyak2m+4DFESwiIiKtuectwpdfvrkdGoqcHAgCJk7EL79AXx9hYZg7V8KuZGVlDRs2LDMz08/Pb+/evaamphIWb2l0H7A4gkVERKQ1jbxF+NtvMDDA6tUAMHUq/P1x4QJ69mx6P65evTp8+PCMjIwBAwb8+uuvZmZmTa/ZkiUnA4AuXwPIESwiIiKtuWfAqq+/OUaVkAAAsbEYMODmAQMH4uJFODujbdumdCI/Pz8wMDAtLa1Xr1579+5t06ZNU6q1fMXFKCyEmRns7HTXCY5gERERac09A5ZCgeBg9XZiIgAY+cTzCgAAIABJREFUGqKq6uYBNTUwNsbjjyMxEf7+CAiAnx88PRvVg4KCghEjRiQmJvr4+ERHR4sLYLZu4v1Bd3fIZLrrhJkZDAxQUYHaWjzAKx2JiIjo7u45B0smg4uL+mNsDAD+/tizByoVANTW4sAB9O+PzEzk5WHHDsydCy8vODlh5kx8/z2ysv6x+eLi4lGjRsXHx3t7e0dHR4svdW71xPuDupyAJRLHHUtLdd0PIiKi1qaRc7B69cKoURg6FH374sQJvPwynJyQkYGEBMTEICYGhw/j8mVs3IiNGwFcmDjxq3bthg8fPnz48Pbt299SrLS09JFHHjl37pyHh8f+/futra0luqiWzs4OTzyBIUN03Y+vv4ZCgdZ+Q5aIiKj5yQRBuOuPV69C8yKX/HxYWUFcUb20FFeuwMUFd3zQLz0d0dGIjsaBA+936RJy5oy428XFJSAgwM/Pb+TIkfb29mVlZYGBgadPn3Zzczt06FBHzatsWrXISFRUYMoUAIiKgo0NKitRXY2RIwEgMxNHjmD69GbpysGD+PhjKJVo0wbLlsHDA0uWYPx49O8PAD/8AJWqubpCRETU2twzYDWRUnnxwoX9Bw/GxMQcPXq0oqJC3aRM5unpmZqaWl1d3aVLl8OHD+vqfXzN79VXsXkzjh2DhwdCQuDhgdJSlJWpp7qdOIHVq7F1q/b7kZ6Oxx9HVBTs7HD+PKZOxfnzmDcP06dj+HAA+PxzqFR45RXtd4WIiKgV0uZK7gqFT58+Pn36vPHGG0ql8sKFC9HR0ceOHTty5EhcXJyBgYG+vv6+ffv+PelKtGABXnoJ+/frtBM7d2LaNPVDjL16wdsbJ08CQEmJ+u2EFRUwMdFlD4mIiB5mzfSqHIVC0adPnz59+gQHB9fU1Bw/fvzo0aPPPvusk5NT83Sg5ejTB1euYMuWm3vWr0d0NACUlqJLl2bpRH7+3x72tLVV56ovv8SOHQCQlIRnnmmWrhAREbVCOngXoaGh4YgRI0aMGNH8TbcQy5Zh2DAEBKi/zp79t1uEzcHJCampN7+mpuLZZwHg7bf/douQiIiIHsg9l2kg7WjXDgsX4rvv7npAfT0yM7XZgylT8NNPOHoUlZX44QdUVKBPH222R0RE9O/CgNWsjI3/n707j4uqatwA/swMDLtsauCKuC+5UZoirihqZu6aa5v2VkZpvvLLNMusaLHUrMQiNzRTc9/NFXHDXRQ33EGRfZ1hZpjz++POOxAuIdxhFJ7vp08f5s6dc84gDM8924WtLQC89hr8/KBWw9ER5tsCqdVwc4MQmDEDmzZh+nSLtcPdHVu2YOVKDB+OS5ewZQsUCrRvD/NWGo0bo0kTi1VPRERUzllyFSGVglaLDz7A/PnWbgcRERE9PvZgPYmMRnzxBT74wNrtICIiohJhwHri5OWhXz84OyM+3tpNISIiohLhEOETJz8fN24AgJ0dKtgeYUREROUEAxYRERGRzDhESERERCQzBiwiIiIimTFgEREREcmMAYuIiIhIZgxYRERERDJjwCIiIiKSGQMWERERkcwYsIiIiIhkxoBFREREJDMGLCIiIiKZMWARERERyYwBi4iIiEhmDFhEREREMmPAIiIiIpIZAxYRERGRzBiwiIiIiGTGgEVEREQkMwYsIiIiIpkxYBERERHJjAGLiIiISGYMWEREREQyY8AiIiIikhkDFhEREZHMGLCIiIiIZMaARURERCQzBiwiIiIimTFgEREREcmMAYuIiIhIZgxYRERERDJjwCIiIiKSGQMWERERkcwYsIiIiIhkxoBFREREJDMGLCIiIiKZMWARERERyYwBi4iIiEhmDFhEREREMmPAIiIiIpIZAxYRERGRzBiwiIiIiGRmU/oizp07FxcXp1AomjdvXrt27SLPpqSkXL9+vXLlyoWfOnv2bHZ2drt27R5R7M2bNxMTE59//vnCB7Ozs8+dO9ewYUM3N7fSt7z4tm7dGh4evmrVKoVCUbISTp06dePGDS8vrxYtWtjb2xd5NiYmJi4uzsnJqVWrVp6enubjOp3u8OHDycnJdevWbdGixcMK1+v1R44cuXfvXp06dVq1alXk2cTExLNnz+bl5TVp0qROnTrSwdTU1GvXrt1fVNOmTePi4rRabZHj7u7uvr6+xX+/REREFZoohePHjxf5qz948OCsrKzC57z77rsAWrZsWfjgwIEDGzRo8OjCJ0yYYGNjU+RgVFQUgHXr1pWm2SUwePDgESNGlOy1Fy5caNmyJQApV/n4+Bw4cMD8bGxsrJ+fHwAbGxuVSmVvb3/58mXpqejo6Jo1a5pf2KlTp7S0tPvLP3nypI+Pj/k0f3//5ORk87MzZ860s7Nzd3f38vJSKBQjR47U6/VCiKVLlz7w5+HcuXONGjW6//jAgQNL9vaJiIgqoJIPEV67dq1r167p6embN2/W6XR5eXmrVq2KioqKjIw0n5Ofn7969eq6deueOnUqJiamxHVZl1ar3bZtW//+/UvwWr1e36dPH5VKdeHCBY1Gc/78eSHEkCFD9Ho9gLS0tG7dumVlZe3bty87O1ur1e7evbtevXoAcnNz+/fvL4SIjY3VaDTr168/fPjwO++8U6T8vLy8AQMG5OXlnT17VqPRbNmy5cSJE+PGjZOePXDgwNSpU4ODg5OSku7cuRMREREREfHzzz8DGDJkSOo/DR06tGbNmvXr1z9y5Ejh4ydPnlQqlV27di3VN5GIiKhCKXE0GzNmjI2NzdmzZwsf1Gg0hR/u2LEDwPbt2z09PT/66CPzcXMPllarjYuLE0IkJiZGRUWlpKSYzyl+D9bs2bPXrl1bzGanp6ffvn1bCJGcnBwZGXnx4kXpuMFgOH78+IkTJ7RabZGXrFu3zsHBITs7Wwhx9+7duH/Kzc19dI0HDx68ceOG+eGsWbMAnDt3Tggxffp0AAcPHrz/VUuWLAGwatUq85Fx48YplcqEhITCp/35558AIiIizEfee+89hUIh1fjDDz+Y65I4OzuPHDny/uru3r1rb2//3Xff3f/UhAkTPDw8pLdPRERExVHCHiwhxKZNmzp06NCsWbPCx4vMLlqxYoWXl1e3bt0GDhy4bNkyo9FYpJxTp07VrVv322+/rVWrlr+//+rVq0vQmBUrVuzZs6eYJy9cuLB9+/YzZ86sVq1ajx49GjZs2K9fv+jo6AYNGnTo0KF169YNGjQ4f/584ZesXbu2Z8+eTk5OAN577726/3Ts2LFH19iuXbtatWqZH3p4eABITU0FsHHjxmefffaBc9GOHDlia2vbp08f85F+/foZjcYi1R05ckSpVL788suFTxNCHD16FIBU79KlS4UQAC5dupSTk/Pss8/eX93cuXNtbW3ffPPNIsczMzN///33d955R3r7REREVBwlnOSenJyckpLSoEGDR5yj0+nWrVs3cuRIlUo1YsSIBQsWREVFBQQE3H9mRETE/v37PTw8KleuXPi4EGLBggWFj1y9erVkDS7s5s2bhw8fjouLq1Gjxk8//TR+/Pjjx4//+uuvQUFBt2/f9vPz++yzz6SeIQB6vX7jxo2zZ8+WHi5cuDAsLAxAbm5ux44dpVw4f/58qa+oMF9f361bt95f++HDh9VqtRRMz58/37t379mzZy9fvvzq1auNGjWaNm1aUFAQgPj4+KpVqxYOrNJ8rPj4+MKlxcfHe3h4ODs7P/C0l156qWfPnqGhobt27Ro1atSCBQsGDBjw/vvvF2lSbm5uWFjY2LFjXV1dizwVFham1WrvH5okIiKiRyhhwMrJyQFQJA8VsW3bNmlmD4CAgAAfH59ly5Y9MGDNmDGjTZs29x/Pz8//4osvCh/Jy8szf71p06bk5GQASUlJsbGxixYtAuDj49O5c+d/bf/ChQurVKkC4JVXXhk/fvxbb73Vs2dPADVr1uzYseO5c+fMZ+7duzcrK8vck+Tk5CT15Xz88cepqam7d+9WKpXdunWrVq1akSoKhx6zS5cuLV26dPz48W5ubnl5eVqtdv369YmJicOGDXN1dQ0LC3vxxRf37t3boUOH1NRUFxeXwq+V0k9KSkrhgw87Teohs7GxCQgI2Lt3r729/YQJE4QQ0tss4vfff09PTx8/fnyR43q9ft68eSNGjPD29n7ot5KIiIjuU8KAValSJQB37959xDl//vmnWq3ev3+/NO29cuXKK1eunDNnjp2dXZEzbW1tH9w4G5sbN24UPnLw4EF/f3/p67/++uvChQsAEhMTc3JypI6lrl27Fidg2diY3rijoyMAlUplfsrBwaHwJgVr167t2rWru7t74Zdv27Zt/vz5y5cvl/aeqF+/fv369f+10uTk5IEDB9asWfOTTz4BoFar7e3tg4KC1q5dK+3+MGDAgFq1as2bN69Dhw5Vq1a9ePFi4ZdL0crLy6vwwapVq0ZHR99/2jPPPANg7ty506ZN27VrV+fOnRMSEubMmTNr1qz4+Pjly5ebz8/Pz58zZ87gwYPNOziY/fnnnzdv3gwODv7Xt0ZERESFlTBgeXh4eHt7x8bGPuyE3NzcDRs2eHt7m6dVCSHS0tK2bt3ar1+/klVaxMKFC6Uv2rVr16ZNmzlz5shSbGFGo3HdunXSVHSze/fuvfbaa2PGjBk2bJh05NixY4cOHSryWnd395EjR5of3rhxo2/fvjk5Ofv375c6mRQKRbVq1fR6vXlvLXd39zp16kiZslq1asnJyZmZmVKWBXD9+nUA1atXL1xLtWrVMjIyUlNTpald5tNq1KgBIDw8vG3btlLirFat2tdff52cnLxo0aLw8HAHBwfp/HXr1l25ciUiIuL+t//9998HBQU9Yv8tIiIieqCSb9MwaNCgw4cPS8v67rdp06bs7Ox169Yd+x9p06xly5aVuMayd+jQocTExL59+5qPCCHeeOMNR0fHwnnu8uXLG+9TeN79jh07/Pz8HBwcIiMjpegjadGiRVRUlDTeCiAzM/Pq1atST1LHjh3z8/PXrl1rPnn16tV2dnZFZsR37NhRCFF4ccDq1attbW3bt28PwM7OTqPRFD7fvDDTfGTWrFkdO3Zs27Ztkfe+a9eukydPfvjhh8X/dhEREZFJidcfJiYment7e3p6hoeH37lzJzk5ec+ePWPHjpXW8/fv379hw4ZFXvLNN9/Y29unpaWZt2k4fPgwgM2bN5vPWbZs2dy5c8XjbNMQEBAwceLEwkcOHToUGhqanp5+f7Ol2eipqanSQyl/fPnll+YTRo4cWbduXenrDz/8MCAgoPDL586dq1QqN2/ebN4m6v5tHQozGo0zZ85UqVRt2rSJiooyx807d+4IIXbv3q1QKPr373/mzJlz58717NlTqVRGRkYKIfR6fZMmTdzd3Xfu3JmUlPTTTz8plcoPPvhAKva7776TdnAwGAwtWrRwdXXdsmVLUlLSggULbGxs3n77bem0qVOnAvjiiy9yc3Pz8/M3btzo4ODw8ssvm5t35MgRAOvXr7+/5b169WrWrJnRaHzEuyMiIqIHKtVO7leuXAkKClIqC7rB/P394+LiMjIyHBwcPvnkkyLnx8fHq1Sq8PDwRwSs7t27165dW5RuJ/cvv/wSwLVr1+5/6rEClq+v7/fff1/45YU3XJDMmTPnES152PaqoaGh0gm//vqreRCwSpUqy5YtM7/2ypUr5rn/KpXq1VdfzcvLk57y9PQcMGCA9PX169el/ioASqVyxIgR5t3I8vLyJk6c6ODgoFQq7ezslEplv379zO9dCDFgwID69evn5+cXaXZsbKxCoVi0aNEj3hoRERE9jEIUGi0qmeTk5MuXL9vb29eqVUu6j15eXl58fPwzzzxz/+ZJN27ccHJyUigUer3ey8tLOtPLy0uabA4gKSnJYDB4e3unp6dnZ2cXHlADoNPpEhMTq1Spcv/t/ApLT0/v3bv3rl27zDONzDIyMlJSUnx8fKRcKIS4du2ah4eH+eaG9+7dy8vLq1mz5smTJ1u3bm0es5PcvHnTYDAULtDT0/P+3Q0KN/j27dv3Hy9cY15eXmxsrEqlatiwoVqtLnLm1atXU1JSfH19C9+jMCEhwc7OrvCR69evJyUl+fj4SKsjC8vOzr5y5UpWVlb9+vWLzJG/fv26k5PT/S/JzMxMTk6uVauWeTUAERERFZ8MAevJNHLkyAdO3C4+nU6Xm5tbxneVJiIionKg3AYsIiIiImsp+SpCIiIiInogBiwiIiIimTFgEREREcmMAYuIiIhIZgxYRERERDJjwCIiIiKSGQMWERERkcwYsIiIiIhkxoBFREREJDMGLCIiIiKZMWARERERyYwBi4iIiEhmDFhEREREMmPAIiIiIpIZAxYRERGRzBiwiIiIiGTGgEVEREQkMwYsIiIiIpkxYBERERHJjAGLiIiISGYMWEREREQyY8AiIiIikhkDFhEREZHMGLCIiIiIZMaARURERCQzBiwiIiIimTFgEREREcmMAYuIiIhIZgxYRERERDJjwCIiIiKSGQMWERERkcwYsIiIiIhkxoBFREREJDMGLCIiIiKZMWARERERyYwBi4iIiEhmDFhEREREMmPAIiIiIpIZAxYRERGRzBiwiIiIiGTGgEVEREQkMwYsIiIiIpkxYBERERHJjAGLiIiISGYMWEREREQyY8AiIiIikhkDFhEREZHMGLCIiIiIZMaARURERCQzBiwiIiIimTFgEREREcmMAYuIiIhIZgxYRERERDJjwCIiIiKSGQMWERERkcwYsOhJcv48fvsNq1YhIwMAkpOxb5/pKaMRa9dasWlERETFx4BFT4xFixAcDBcXJCSgUyckJODqVfz0k+lZgwEhIVZtHxERUXHZWLsBRAAAoxGfforTp+HqCgCOjvj+ewwZYu1mERERlQQDFj0Z4uNRtaopXQF44QWsWoUhQxAdjVdfBQCj0XqNIyIiejwcIjQxGLBgAbKzTQ9XrLBqayogR0doNAUPNRo4OQFAs2b44gt88QVmzLBW0552yclITzd9nZKCnByrtoaI6CGEQFpawcPMTOs1RQ4MWCZ6PcaPx2efmR5Om2bV1lRAnp6wtUVsrOnhX3+hSxcAcHBA9eqoXh3VqlmxdU+1qVPRqRMMBgAIDcXOndZuEBHRg6Snw8MD69cDgMGAtm2t3aDS4RBhgaZNcfw4zpxB8+bWbkrFtGABRo+Gnx/u3IG9PWbMwOnT1m7TE2HPnj3fffedj4+Pi4uLSqWqVKmSQqFwc3MD4ObmZmPj4uzcS6mEiwtsbODsDFtbODrCzg729nBwAAAvL8ybhw8+sPIbISJ6tKZN8dln6NYN9vbWbkqpMWBBo8HRo3juOSgUmDUL775bsDOANel0+L//w8mTsLGBhwfmzUOVKtZuk4U99xyOHMG1a1CrYWMDOzu0aoUFC0zPqtWIirJq+6zj9u3bAwcOTE9PF0I88IS6dZvExfV62MuHDIG7OyZOxOTJGDTIYq0kIvqnjIwMnU6XlZWl0Wi0Wm1GRoZer9dqm2Zk1NBqkZkJvR4ZGcjLQ24usrOh02H6dLi6YtQofPopQkOt/QZKrYIGrOxsHD6MAwcQFYUDB6DV4sgRAGjVCi1bYtEiKzcPAH74AQoF9uwBgMWLERyMP/6wdpssT6nEqVMYPBiDBmHlStjaws2t4NlyHzEfZMWKFWlpaQ0bNnzvvfeys7MNBkNWVpbRaMzIyACQlpbm7u7j6wshkJmJ/HxkZcFgQE4OdDpoNKarQHt7zJyJiRNRu7aV3w5R+aHTISkJ1aubHmZlwdERKhUA5OZCpYKdnRVbZxXR0dF9+/ZNT0/XarUPPMHfPyIqasTDXv7eewAwbhz8/RETY6E2lp0KFLDu3cuPjFRFRmL/fpw5g/x803GVCi1bmja2BDBzJrp0eQKWrG3ciCVLTF+PHo0pUyAEFAqrtqlM1K0LIXD2rLXb8aSIiIgAEBoa2q9fv7S0NADm8cFi+s9/AOCllxAejgMH4O9vmYYSVSiTJ+PgQdSrh7NnERqK7t0xYgQ+/xwtWgBAaCjq1sWYMdZuZVn7+uuvk5KS8vPzAVSqVMnW1tbV1dXe3t7BwcHFxUWtVjdp4l2nDhwd4ewMtRpublCr4eQEJyeo1aYrQKUSc+di0iQrv5fSK+cBKyEhISoq6sCBA1FRUY6OrSMjTeNNNjbw84O/Pzp0QLdu8PAoWMHm6ooJE/DJJ1Zrs0laWkHnjUIBW1vodBXieqhJE6jVuHwZublwdLR2a6zs/Pnzp0+fdnd379WrF4ApU6bMnz/f/Kyrq6tSqXRxcbGzs7O3v6RW/2PqlZ0dHB3RrVtBaXPnokmTsn8TROXOhg24ehWRkVAocPcuOnbEqVPWbtMTITo6Oj8///Dhw22LMUE9LQ16PbKzkZuLvDykp5vW4gB4/nnUr4/4eMu21tLKYcCKjY2NjIyMjIzcv3//zZs3zccbNTIEBiIgAB07om1bODjAYMDp0/j1Vxw4gCtXTKOEAEaORNeuCA3FpEmwsdZ3qH59nDuHgAAASEmBrW2FSFcA1Go0aICYGJw/j+ees3ZrrGzJkiUAhg4damdnB8DR0dHd3d08PmgeJXRycnrY5gvu7hg7FrVqAUCtWlizBk2bllXricqrPXswZIhpSMHLC40a4dw5APj7b1y+DACxsahb15ottIaYmJibN296eXm1adMGwLRp0y5evKjT6XJycrKzs/V6fVpamk6nq1OnzZEjf+l0Dyhh9WpMnmz6+ssvTcsJn17lKmBt3Ljx1VdfTU1NNR/x8PDw9/fv2LFjQECAn5+fjQ2yshAVhS++wP79OHoUeXkFL09ORqVKAKBQYPhw7N8PW1t8+GHZvgchYDDA1haTJuHDD/HDD3B2xiefFPzQVQTNmyMmBmfOVPCAZTQaly9fDmDkyJHSkVmzZs2aNct8gjRimJmZmZ8vsrOh1xdMvdJqodVCo0GrVvDzM50/dCjWrMHJkwWTRoioJLRaqNUFDx0cTIMg6elwdgbwj139Koxt27YB6NWrl0KhALBhw4YzZ87cf5qnZx0pXbm6Qq2GiwscHGBvj0qV4OmJzp0BID8fr76KnTvRpw8qVy7D9yCrchWwJk6cmJGR4eHh0b59+w4dOgQGBrZq1UqpVGZmZh49enTq1KkHDhywtW2+d+/P5pf4+iIwEP7+6NzZdJUv+fhj7N+PTz7BwIHw8SnD9zBvHn79FUuXokMHhIXhzz+h0+Gdd9CjRxk2wtqefRYAp2Ht3bv31q1btWvXbt++/QNPcHd3N/+/OJycYDBgyxY0ayZbI4kqombNEB2Nfv0AID8fZ86gUSMAGDTINAfraR/cKpHt27cDCAoKkh5++umnBoPB1tbW2dnZyclJrVa7ubnZ2tq6uLhLkxkeQaVCfj40Gvzxh2nm+9OoXAWsrKys/Pz8c+fOeXl53b59e9++fb/++mtkZGRsbKx5iXvduqnt2iEgAAEB6NABD5sr3KMHBg/GqlX48EP89VdZvYG4OEyZguxsXL6M+vXRvDlatiyrup8k0kZkD7r0qVCWLVsGYPTo0QqZFjf06oWFC7FlS8XqDyWS32uvoUsXuLujSRNERGDwYFStau02WVlOTk5kZKRKpQoMDJSO9O/fvzQFjh6NzZuxZMlTHLAUD9tc56kjhLCzszMYDFqtVq1WDxgwYO3atdJTjo6OrVq16tChgzRc6Gq+4d0j3b2LRo2QkYGNG9GnjyWbLjEY0KEDjhzBmDFYtAijR+PmTSxeXBEX1t++jZo14emJ5GRrN8VqtFqjr2/DO3euXLhwoWHDhrKUmZmJypUhBJKSHnppQUTFotFg/XrcuYPnn0eHDgCwYweeew4eHgBw/DgqVUL9+tZtY1natGnTSy+91K5du4MHD8pSoFYLb2+kp+Ps2ae107383ConPT1dr9e7urqq1WoAvXr16tOnz9dff33w4MH09PQDBw6Ehoa+9NJLxUxXALy88OmnADB+fJncvi00FEeOoHp1/PAD1q/H0qWIjv7HHLGKo0YNeHggJUUkJFi7KVazYYMyM/PSiBGxcqUrAJUqwd8fBgPvlkNUag4OGDYMdepg0iR8+y0A9OhhSlcA/PwqVLrCfeODpWdvjyFDACAiQq4iH9+JE1i4EJs344Fz8v9N+QlYycnJACr/bzrc2LFjN27cOHny5Hbt2tna2paszPfeQ6tWuHEDX30lWzsf7NQpfP45FAqEh8NgwFtvAcC336JBAwtX/IT6oVevxp6e2604SmjtndAiIpCTo2jTppG8xfbqBQBbt8pbKlFFpdPhyBH8/be122F9Bw9eANCzZ08Zyxw9GgCWLi3Yt7JMzZyJmTNhb48jR9C5Mx6ydeojlNuAJQuVCmFhUCrx7bcFtyGWX14eRo+GTofgYAQF4T//QWIiAgPx9tsWq/JJd93T80JKygNXoFjcF1/A3x89eyIw0JL/6o+Smort22Fjg6FDZS75xRcBYPNmqwdIonKhc2coFDhwoGQ9HOXGlSs4dWpn+/Zpz8m69NvfHw0bIiEBu3fLWGrx3LuHZcuwahVeeQUzZqBDhxLc44UB6188/zzGjsVzz12fMuVtS81XmzoVZ8+iYUN89RXCw7FmDdzc8PvvFWLf9od49tlnAZwt+4WEa9fi+HHs348dOxAaiuHDrZJE/vgDOh2CgvDMMzKX3LQpfHxw7x5OnJC55OK6excXLxbsJ0j0VKtaFU2aIDcX0dHWboo1bdsGoxE+Pm4q6U5B8hkxAkDBbU3KTmwsWrSA+e20a4fTpx+3DAasf/fVVxlXrrRdt26+tKpLXjcOHcK8ebCxwZIlSEzExIkA8NNPqFlT9rqeIlLAskIP1ubNeOMN0y/Vc8/B3h6F9qotM9KcgxEPvWFXqUijhLt3l8G8wn/SaPDyyxg/HnPnok0bHD5c1g0gsoQuXQCY7htbUW3bBgDyzb/6rOxyAAAgAElEQVQqMGoUbGxw9eq9rKws+Ut/BAeHf4wJarUluLMIA9a/c3d3/eabbwBMmjRJ2tpRLtnZ2V1Hjhzu45Mxcyaeew6vvYbMTPTrh+HDZazladSsWTOlUhkbG6sr4473jAwUXgbh6lpwl8qyEheHI0fg5IS+fS1S/ssvX6hW7YU1a7r9+6ny+vFHtGyJ1avx00/44w+MG1fWDSCyhAofsPLysG8fFAp07y5/4T4+6NnztYMHn1m9erX8pd8vMRHXrgFA06Y4fx7mfcvXrUOnTo9bWPkJWEJ06djxz9q15ZxhZzZ69OguXbokJiZOnTpVxmInTpx49erVCw4ODhMmXAgPx/798PLCr7/KWMVTysnJqW7dunq9/sKFC2VUpTT+26BBwQanBgMuX4avbxk14H+WLoUQGDQITk4WKb9jx9ppaWeio6Pv3btnkQoeJjKyIDNKSyMr8DYcVH507gylEgcPlmASdPmwfz+ys9GqFby9LVJ+//4B+N99wywrIQGdO6NLF9y4AScnzJqF7t0RHIwePVC1agkuectPwLp06bn9+4fY21vkulyhUMybN8/W1nb+/PmHZRra2LFjx2+//WZnZ7d48eK4uLhWwcHjmzXThYc/xfcFkFXz5s1RZtOwbtxAYCCWL8e77+Knn7B+PU6fxvjxGDQILi5YtKgso8AffwDA/+6OIz8HB4dOnToZjUZpWXXZ0etReD2vWl3B5wVTOeHhgebNodVaZ9Q7PR2vv47u3dGlC6ZOtcrsRumDRNblg/8wZMgQZ2fnffv2Xb161VJ1ALh1C50748IFuLubRgNfegmHDuGtt/Dnn/jxxxIUWX4ClvQX0HLhpEmTJhMnTjQajePHj88v9ZrRlJSUV199VQjx5ZdfNm7ceMyYMVqtVte2rbp3b1laWw6U3Tz38HA0b47du/H55/DywvbtiI3FkiXo0QNff42NG/H662jdGkePWrwlwL17sLdHtWqmYQcL6dWrF4CtZbBbQ24uxo0zzWNr2RLmHQhTUpCebqkLXqIyZsVRwvffR7t22LkTu3cjORnz5pV9Eyw3AUvi7Oz88ssvCyEsMQ3a5OZNdOmCy5fRqhX+/hvJyejUCQkJUKvRtCmKfTuyokR54e8vABEZacEqcnJy6tSpA+DHH38sZVFDhgwB4O/vbzAYPvnkEwA+Pj6ZmZmytLN8WLNmDYCqVatGR0dbqo67d0XfvgIQgBg0SNy794Bz4uNNP1s2NiI01EINSUsTa9cKo1EIIbKyxIYNFqrHJC4uDoC7u7ter7dgNfHxws9PAKJTJyGEuHtXtG4tvvtOLF0qOnUSy5dbsGqiMnR727bP27QZ2rOnFequVk3k55u+vnRJBASUcf23bglAVKokdDoL1iJ1t9erV88ofUrK69o1UaeOAISfn0hJESdPisqVBSDeeaeUBZefgNWwoQBEbKz8Jet0up9//tlgMAgh1q9fD8DR0fGNN96YOnXq7Nmzly5dunXr1ujo6OvXr2dnZxenwIiICABOTk6XL18+fvy4ra2tUqncs2eP/E1/mp0+fVr9v/vVN2nSJDQ09O7du3JWsHKl8PQUgHBzE2FhjzpTrxchIaYcNmKEKN6/8mM5cULY2IilS4UQ4vJlUQYf1A0aNAAQabkrktOnRa1aAhC+vuL8eZGZKQwGkZUl1qwRixaJS5csVS9RmUtPT1epVGq1uph/AmSj0YjatQsepqSIxo3LtAFCrFolFArRv79la8nPz69ZsyaAqKgomYu+eFHUqCEA4e8vMjLE8eOmvwu9egmNppRll5+A5eEhAJGUJH/JY8eOBfD6668LIWJjY+3t7atXr/6wHkF7e3tvb+8mTZr4+/v36dNn1KhRISEhs2fPXrx48YYNGyIjI3fv3u3u7g7gt99+02g0TZs2BTBp0iT52/30W7Vqlb+/f6VKlaTvrY2NzYsvvvjHH3/k5uaWqtx798TAgabAFBQkbt0q1qvWrhWurgIQjRuL8+dL1YD7nDgh+vYVLVqI1FTLBqysrCzpiwkTJgCYMmWKRarZskVUqiQA0b69SEwUt26Jli3FxIkWqYvoCSBtsLlz586yrrhOHZGebvo6MlK89FLZVGswiKtXTV8nJIj9+y1V0c2bN6UvQkJCALz11ltylh4bK6pVE4AICBCZmSI62pQk+vQRWm3piy8nActgEEqlUKmEwSBzydIGDQ4ODocOHUpOTq5Xrx6ATp06zZs3b8aMGcHBwSNGjAgKCmrdunWtWrUcH2efjHbt2knRrXHjxqVNDOWaRqPZsGHD4MGDzR1aDg4OgwcP3rBhQwlGuNauXRves6epU/u33x7vxTExolEjAQhX1/z16x+36ofJyREnTojhw8WSJeKttywVsIxGY1hYmKen5+nTp4UQO3bsANCyZUv5a5o9WyiVAhDDhgmNRkRFiapVBSCaNhX/i3dE5cx///tfC16x3M9oFJs2CSHEDz+IYcNEXJw4fVq0ayd27xanTonWrcXx4xatPyFBAOLPP4UQIitLWOKDRAgRFhZmZ2e3ZcsWIcS5c+cAuLi4xMXFyVL46dOn/xsQYHR2FoGBIidHHDhguiwcPFiu8c5yErASEwUgqlSRudhNmzapVCqFQrF8+XKNRtO+fXsAfn5+j+gH1mg08fHxMTExkZGRGzZsWLx4cWhoaHBw8KhRo/r06ePv7+/r6ysFBalkGxubo0ePytzucio1NTUsLMzf31/xvz3uq1WrFhwcXMxxrrS0tFGjRkkvvPz66+L69ZI0IitLDBliVCgGvPBCcHCwrhS/hzExIjRUBAYKT09x9KgYPlwYjaJzZ/HHH/IHrJs3b/bo0UN679OmTRNCJCQkqNVqtVo9fvz4U6dOyVONXi/eflsAQqEQ06cLIcSffwoHBwGIHj1EWpo8tRA9ebZs2SJdNpdFZZmZon9/AZguEf/6S7z5phg/Xhw8KIQQ/foJQNjais8+s9zEqIQE8fzzomVLkZFhkYCVlZUlzVRWKBShoaFCiH379tnb29eqVQuAr69vcHDwzp07tSXtZzpx4oSnpyeAua+/LjQasW+fcHExXRbKNzO1nASsc+dMQzcyOn78uJOTE4DQ0FCj0ThixAgA1atXv337dukLX758eeG/dvRYbty4ERoaWr/QzeqbNGkyffr0q+Y+6/ts3769Ro0aUu9XaGhovnlaaAkYjYcXLLCxsQHQtWvXxMTE4r80I0OsWiVef114eZmGKAFhby/++EMMHy6EEDExon590bOnyM2VbZ7SypUrPTw8pFntS5cuFUJs2LDBy8tLmghY+BtYmkvDlJSUiNdeEwqFcHISf/0ljEYRGioUCgGIceMsOwOWyNqysrJsbW1tbGwyMjIsW1NsrGjcWADCw0Ns2/aAE3JzRUiIqRf52Wct1JWVkCC6dhXh4eK99+QPWJcuXWrWrJnUX7V69Wqj0fjNN99IH7l169Z1dnY2f/JLCwx/+eWXR3z43+/YsWNSunrxxRc1Gs3RXbuM0sjga6/JOwpWTgLWoUPC0VF06CBbgfHx8dLf49dee00IMW3aNOkfWxpekYU0Zj9v3jy5CqyAjh07FhwcXLVqVemXTalU+vv7z549Ozk52XxOTk5OcHCw1On1wgsvXLhwQZaqIyMjvb29pcz9r/MuY2JifvnlTJcuwta2IFfVqiXeekusXy+ys01DhJJJk0TPnuK114SLi1i5slSNTExM7N+/v/TN6d27d3x8fEZGxrj/baHevn37NWvW/Os3sDguXLgg5d0dffuKY8eEVitGjBCAUKnEnDmleg9ET4l27doBkMazLGXdOtMwVsuW4tGXQwcOiAYNTMufQ0JEXp5cTTh2THzyiYiPF127ivx80aGD2L9fzoC1adMmNzc3AA0bNjx37lzhrqyQkBCDwWAwGI4dOzZ9+nQ/Pz9FoTv2+vr6jhs3buXKlY9ejx8VFSXN633ppZe0Wu3mzZvt7e1DWrc2vPOOKM2F94M8BQHLYDB1fEoOHCj67M6dpstjnU6Y/9KV5s9oZmZmixYtAHTs2DEvL++PP/5QKBQqlWrjxo0lL/Q+q1atAlCrVq3SDDOREMJgMOzcuXPUqFHm/hh7e/s+ffqsXLlyz5490rQ5W1vb6dOnG2S9Orl37163bt0A2NjYhN63g0Nubu7OnTtDQkIaNmwI4IUXBkl5w89PTJ8ujh0ThZcba7XC3BGm1YqbN8WwYaahtkmTSthjvXLlSunOUa6urmFhYUKInTt3Sh3s9vb2hbvx7v8G2tnZSd/AvGJ8LkdGRkoVNW/e/MaNG/o7d0TbttJMtQdfYROVR1OmTAHw3//+1yKlGwwiJMTUJTx8uMjJ+feXyNqVFR8vZs8WrVqZrg/XrRNduwohxMmT4oUXRMuWIi2ttFuvGI3G0NBQpVIJoG/fvunp6UW6su5/SWJi4sqVK0eNGiV10ps//wMDA0NDQ48dO1bk/MjISBcXFwBDhgzR6XSbNm2yt7cH8J///McSG0A8BQErM1M0bVrw0Nf3H314OTlCoRDffGN6WK+eEELcvSsmTBAlW9RvMBj69u0LoFGjRqmpqZGRkXZ2dpboasrPz5eWEC5ZskTekius9PT08PDwzp07S7+i0m+aNG0uJibGEjXq9fqQkBDpKuqVV17Jzs6+cuXKjz/+2LNnT6lqyTPPPPPWW+/9+efjTUMKCxNqtWmBS0LCY7wwLS3N3E3VvXv3mzdv5ubmhoSESN+WNm3axD5kO5OMjIzFixf36dNH6o2XRhVHjRq1c+fOh336/Pbbb7a2tlIPWWZm5pkzZxrXq5fWsqWoU0dY5ntO9GTauXOnNGj1008/paamyll0UpIIDCzhbnx79ghfXwF837XrjBkzHvd6PjdXLFsmgoKESmWKVlWrivffF4cOmQKWECI4WLRsKcaMMW1uUMxl2UVkZGT069cPgEqlkqblFOnKevTLpW6t0NDQwMBA88cXAC8vr1GjRq1cuTItLW3fvn3S8OIrr7yi1+tXrVolfXZ9+OGHFtleq3wErBYtRJs2pinLUsDasEEMGlTC3RrHjx8PwNPT89KlS3FxcVWqVAEwYcKE0ryFh1m0aBGAxo0bl2pKEN3n5s2boaGh1atXV6vVHTt2tHQf4cqVK6WrIumnxTzc1qZNm88++yw6OrrE/77R0aJ2bdOH2q5dxXrJ1q1bpW1EHB0dZ8+ebTQaDx48KO16ZWtrGxISUpzvxu3bt2fPnt26dWvz26lVq1ZISMjFixfN5xiNxunTp0vPBgcH5+fnb9y4Ufo+jOrZ88G7thKVX6mpqa7/u1W8SqXy8/MLCQnZuXNnKbfzPXr06LRu3YStrfD2LuFW2llZiZMnOzg4AGjdunVxJroYjcaoqEuvv24akASEnZ3pr6r0+aHRiL17TSdnZIgdO8SiRcLNzTQ3TNrSr/hOnz5dt25d6S/vjh077u/KeqzSkpKSli1bNmrUqGeeecb8CWZra6tSqQD07NkzPz9/xYoVUg6bPHny47X1cTwdAatKFfHxx6b/3NyKBiw/P7Fzp2n7DylgCSG2by9JXXPmzAGgVqv37NmTkpIi/Vnq3bu3vENLZjqdzsfHB8Bff/1lifIrOOlWMH5+fmVQ18WLFx0dHatVq+bk5NSnT5+wsLD4+HhZSr537x/Xro+40Coyv+rSpUsajSYkJET6WGnWrNmJEycet/aYmJjp06dLP6USPz+/2bNnX7169eWXX5aGR3/++WchRFhYmPSBNXToUG47QhXTqVOnBg8e3LVrV/OeMtJ11/Dhw5cuXfpYC2Ikv/76qzSEsuHVV0XpPlIOHDggTZSULrQeNvovLSGqV6+ei0slR8ccaXvz2bOLdcV0545pCaPUlVXM9WDLly+XJie0atXq6tWrGRkZ0meLuSvrcd5lUTExMVK3lvlfxMbG5sMPP5Q+rEJCQkpT+L96OgKWr684fNj0X/XqDwhYQoihQ8WGDaJePZGUJH78UTxm5BVCiC1bttjY2CgUiqVLl+p0uq5du0r/5FmW3Lxn3rx5Ui0W6qKsyLRarbOzs0KhkCvrPEJ0dDSAypUrl3jZ8CPo9eK//zXNvpgwYcEDfyCLzK8yGAynT5+WphLa2Ng84vO0OKRJWmPGjJE6qKT+OQAODg5///23Xq9/9913ASgUiunTp/MnmSgnJ0eagtm4cWMU0qRJE6lb619/H7VabXBwsPSqcePGleb316zwVIHmzZsfLzQrKy0tbcGCBYU3walVq9a3354u1GddXCtXmnbrLMY9MvTS9qEARo4cmZOTU6Qr6/Hf4kOlp6evWrVKWjwovcfPPvtMxvIf6OkIWI8eIpQCVny8eO45Ubeu+Ppr09L3UaPEyZPFrSUmJkbq3ZW+6dIWoNWqVTNvI2shGo3m68DAzGbNStjnRo/Up08fAOHh4Zau6P333wfwwQcfWK6KNWtE9+7h0phy4UlUBoPh3XfflT4ypPlVer0+NDRUumJr3LixjButmTd9leYuABg4cGDv3r0B2NnZRUREyFURUbkRFxcXFhY2ePBg8/UJAHNX940bN+5/ye3bt1944QXpekn2j6/CXVmTJ0/eunVr4QUu5m2cSzNuc/u26N3bfJdXzZ07d+4/5969e1IvhnmRUJGurJK/w4fbvHmz9Da/+OILS5RfxNMasNavF9Oni48+KghYQohZs0SdOmLbNtG1q+lyX7pXR0TEv+x6n5CQIF39Dx061Gg0fv755wAcHR3LaAvQ0NCCG+KSrH7++WcAgwYNsmgter1e2lbKgvelFkIIcenSpWeffRaAs7PzihUrzMeHDRtmnl8VExPj5+cnXaWNGzcupzirjR5fYmLiwIEDpQ9HAF5eXkeOHLFERUTlhl6vj4yMDAkJeeD+Ahs2bNBoNEKI/fv3S58nNWvWtNDfoKysLOmqzNwMpVIZGBi4ZMkSGW+nKHVldeo0yc3NLeyffVkXLlyQpopWr1794MGD93dlydWGIjIzM6XJWI/eykEuT0HAys//x2qks2eFEELay+2NN4RGU3BfOL3e9KwQ4tIlERJi6qiU+iqDg8UDM3FOTo70BykgIECr1a5cuVKpVCqVynXr1lnwXRWWmSnc3QVQwgmM9HA3b94EUKlSJYvOc5c2cW7QoIHlqjDTaDSvv/66eeBAel/JycmnTp0yGAyhoaHSjA0fHx9L3z5cr9dLdTVt2vR6ybbFJ6qobty4ERYW1r9/f/O9VqVurdatW0sXLd27d3/c7ege13fffQegatWqX375pYXGam7fzn/xxT7Su3v55ZfNXVlarbZNmzYdOnRISEi4vyvLoqSuwa1bt1q6IvFUBKyHuX1b/OuATHa2WLCgYOuOZs2Ovvjii5s3by68qktaDOXr63vv3r3o6GjpfoI//PCDZVtfxCefCEC8+GKZVloxSHthWDRtDB8+HMDMmTMtV0URYWFh0ghghw4dpBlmcXFxAQEB5o4ri04cNJOWGVrhBrdE5UXhbTOVSqW9vb29vf37779voZVVhU2aNAnARx99ZOmKzDeTKNyVde/ePZ1Od+zYMWn4SOrKsnRLhBAfffQRLLx40OxpDVgnTojgYHH3bnF3Xj14UIwaJTp1et3cJfv1118nJSWZT8jIyLh27Zq0qvPNN9+0VLsfJiVFODsLQNy3MRqVknQTVkvt/idEdna2NJXeQpMGHiY6Olpa3FelSpUJEyZIcxe8vb3l3Q730V599VUAv/zyS5nVSFSO3blz5/nnnwcgrcw9derUhAkTSrD2sJikPTz3mrdbsKQ7d+5IawMB9O7dW7rjXOELxQfO07IE6T73zz//fBnU9bQGrOXLRWioCA19vJ0b09LSZs+e7evrK/0z29nZDR48WLr+zsjIkGa3BAUFlXLbkhKaOFEAYsgQK1Rdru3Zs0caxrJQ+YsXL5bGly1U/iMkJiZKXetSt+uYMWMed8OYUpo1axaAd955pywrJSrHli1bBuCFF14QQrz00ksAZs+ebYmKbt26pVAoXFxcyvJWIuHh4dJiMg8Pjy5duhSZ6lA2cnJy7OzsVCpVmuVvP/+0BqzSyM/P37x584svvmje77tVq1ZSlm/SpEkZfNMf7M4dYW8vlMpS3eWH7qPX66XtgK9du2aJ8rt37w4g7NHLkS3GYDA0adIEwNSpU8u+dmnr6g4y3gSUqGLLzc2VPq9iY2Ol26m1bt3aEhX9+uuvAPr372+Jwh/hzp070r1SPDw87OzsFi5cWMYNEEJ06NABwIaS7UX+OJSoeJRKZe/evTdt2nTz5s3p06dXqVLl5MmTSUlJHh4eW7ZskX64rcDLC2PGwGjE119bpwHllI2NTWBgIABp31F53blzZ/fu3Wq1WlpSV/ZUKpV0z+lOnTqVfe3SPltnzpwRQpR97UTlj4ODg/RhEhER0bdvX09PzxMnTpw5c0b2irZv3w4gKChI9pIfzcvLa/369V27dk1NTQ0JCZGmGZSxrl27Pu/tbXv6tKUrqogBy6x69eqffvrprVu3pHHu+vXr165d25oNmjwZVauibl1rtqE8kjZqktb6yWv58uX5+fl9+vSR9q+zCq1WC0C6D0YZq1KlipeXV2Zm5o0bN8q+dqJyafTo0QAWL16sUqmGDBkCICIiQt4q8vPzd+/eDaBHjx7yllxM0oQcd3d3q9Q+tUuXo3fu9PzrL0tXVKEDlsTOzm7atGlKpfLUqVPS3yqr8fXFrVvo1w/ffINvvkFMDAAIgfnzC8757TfodNZq4FOqV69eCoVi165dGo1G3pKlD76RI0fKW+xjkX5oC99buiw1b95crVJdO3fOKrUTlT8BAQF169a9ffv2vn37pLC1ZMkSg8EgYxWHDh1KTU1t3LhxnTp1ZCy2+KRpo7m5uVap3bZdOzg44MwZJCdbtCIGLABwd3dv2rRpXl7esWPHrNyUvXsxdixatECLFhg7Ftu2wWjEt98WnDB7NvLyrNe+p5KXl1fr1q01Gs2+fftkLPb8+fOnTp1yd3eXesisxboBa1X79nlqdZeTJ61SO1H5o1AopGu2JUuWvPDCC40aNUpMTPz7779lrEIaH+zZs6eMZT4Wqcdd9ive4rKzwwsvwGhEZKRF62HAMunYsSOA/fv3W7kdn3+OBQsQFISgIPz+O2bMsHJ7ygtLjBIuXboUwJAhQ6T9Nq1F+pCyVsCqVKcONBqcPWuV2onKpTFjxigUitWrV2dnZ5vDlozlb9u2DVYNWNbtwQIAaQ3jnj0WrYQBy0TapDHSwnn238XFoUkT09eNGuHaNQC4c8cUuYKCwMkuJSIFrE2bNslVoBBixYoVsPb4IKzdg4XmzQHAApNwiSqsOnXq+Pv75+TkrFmzZsyYMSqVau3atenp6bIUnpSUdOLECQcHB+mvnlVI+/YxYFUUUg/WwYMH8/PzrdkOJyeY54Hl5cHREQC8vbFli+k/607Df2q1adOmatWq165du3jxoiwF7t279/r167Vr1/b395elwBKzcsBq3Bi2trh8GVb8rCQqd8yzr2rUqNGpUyetVrt69WpZSt62bZvRaOzSpYtVVsZIpB6snJwcazUAbdrAyQnnziEx0XKVMGCZeHt716tXLzMz89SpU9ZsR1AQFi82fb14McxduCqV6T8qEaVSKa2XkWuUUNoPcNSoUYVv2moVVlxFCAB2dmjYEPn5OH/eOg0gKo+GDh3q6Oi4Z8+emzdvmsOWLCVba4OGwqw/RKhWw98fQkDWiblFMGAVeCJGCT//HDt3olcv9OqFbdvw+efWbEz50qtXL8gXsHx8fGrUqDFixAhZSiuNFi2Wt2u30s7OSj1YAJ59FuAoIZGcKlWq1LdvX6PRGBERMWjQIGdn5wMHDsTFxZWyWKPRKO0PbMUJWHgSAhbKYpSQAatAx44dq1evffWqVb8n7u5Yswbr12PdOqxdCw8PqFQo/EsVEwMXF+u17ynWs2dPGxub/fv3Z2VllaacCxcuzJ49283NLSoqqlGjRrDMFqbFpNPh0KGXjx8frFJZ7+dWClic504kK/OGWI6OjgMGDBBCSAtrSuP48eP37t2rU6dOgwYN5GhjCVWqFNC48TF7+/n/fqrldOkCW1tkZ1uuBgasAgEBo+Pjr69YEWz9XanValh1YVq55OHh0bZtW51Ot2vXrhIXsmvXrqFDh9aoUaNq1aqffvppTk5ORETEggUL9u7dK19LH4M0Yc9a869MOM+dyAJ69Ojh7e196dKlo0ePmsNWKe+aIK0flLrzrcjOziU21u/27VrWbMTzz+PWLbzxBqKiIG0YYTCg8FZNhw6VsgabUr6+PKlbV1mjBm7fxoULaNzY2q0hC/Dz8zt48OArr7zi4OBQqVIllUrl7Oxsa2vr5OSkVqsdHBzs7e3t7OwcHR3VarWTk5ONjY2Li4tSqZRuUNq7d+8vv/zyl19+ad++PYAhQ4YYjcZevXqdPn3az8/PKu9I+lhgwCIqf1Qq1YgRI7777rslS5b8+OOPtWrVun79+oEDB0qz+u9JmIAFmJZvWXGOOwCcPImxYzFgAPLyEByMVavg6opx43DihOmEYcNKu2zf0jc7fLoMGyYAMX++tdtBFpCWllanTh21Wl3iX5a1a9dWr149Nze3SMmXL1+2yjsSQly/LgBRq5a16v+fJUvE8ePCaLR2O4jKlZiYGAAeHh5arXbKlCkA3nzzzRKXlpeXV79+fbVanZWVJWMjS+DqVQEIHx+rNqJTJ3H8uOnrtWvFiBEiOVm0alVwQqk/WNmD9Q8BAVixApGReOstazeFZCWEeOONN65du9aiRYutW7fa29tnZGQYjcbMzMz8/Pzs7Gy9Xp+bm5uXl6fVajUaTV5eXm5url6vz87Ozs/Pz8zMFELUrl3bxcUlJyenyJK9evXqWet9PRFDhLduYf16LF4MvR6DB2P8eBw8iNWr8f33AJCRgW+w9Z8AACAASURBVCFDsH27VZtI9FRq2rRpq1atTp48uWnTpjFjxnz11VcrV66cM2eONEn8sRiNxitXrixbtqxy5crOzs4AYmNjG1tpsEZqvjXnuAuBS5fQurXpYdeuCAkBgDt38OmnpoOZmaWshAHrH6SeV0su2yTr+Oqrr9asWePu7r5mzRpvb2+U9D6j3bp1W7Ro0aRJkwAIIZ6APRoAwHrb2QAAhg/Hp5+iWzfk5aF/f/j4wMkJaWmmZ41G3Ltn1fYRPcVGjx598uTJJUuWrF+//uOPP/b39y/BrSMyMjL69OlTt27dqlWrHjp0aPv27ampqWFhYZMnT65WrZolmv1o1g9YCgUKz2YzGk27IFWqhO7dTQfDwkpZCQPWPzRrBk9P3L6NGze4o2f5sXv37k8++USpVC5btszX17c0RX322WdjxozZvn27o6Nj5cqVw8PD5WpkyVi/B+vuXWRno1s3ALCzw3vvYeVKjB6NrCxcuQLIcBVIVJENHz588uTJW7ZsSUxM/LykG/fMnj07MDBw+vTpAPLy8uzs7P7++++EhISzZ89aN2AJAatdpTZtiqNH0aYNAPz9N9q2BQAnJ5j3ji7FfBIJA9Y/KBTw98eGDdi/H6NGWbs1JIfbt28PGzYsPz9/+vTppV874+npuWnTJq1WazQaS9BLLzvrB6yUFHh4FDz09ERKCgDExGDWLADQ6azTMKJyoWrVqj179ty4ceOkSZOmTJmSm5ubnZ2t0+nS09N1Ol1OTo40wyEtLU16mJOTo9Pp0tLSpBkOubm5EydOjI6OnjZtmlSg1AHWt29fR0fHwMBAq7wplQr29tBqkZdnvY+v777DG2/g5Zeh1eLvvyHTRvmFMWAVFRCADRsQGcmAVR7o9fphw4YlJSUFBgaaP19Kz2r3pbmPszMCA9G0qfVaULs2rl1Dfr6pg/3CBUgz0tq1wy+/AEBaGrp2tV77iJ56zZs337hxY0RERERERAlefvfuXfGgzR2sla4kjo7QapGTY72A1bIl9u3DiRNQq/HJJ7C3h8FQcCcVAOvWlbIGBqyiOnaESgWZ7qpJVnbxyy9PHj1au3btFStWqMrdjYbCwtClC3buBICFCzFyJFauRFAQKlcGgF274OVl+ezl7IwXX8RHHyE4GDdu4NtvsXYtbt2ycK1EFcj//d//XbhwYfPmzT4+Pk5OTtK2Mu7u7ra2ts7Ozo6OjnZ2dm5ubra2ti4uLtJDV1dXtVrt4uLi4ODg7e2dl5e3d+/ettIo2JNh1ChoNNa+/ZuzMzp2LHhoY2PaNlnSqlUpi1c8MNhWZMePQ6dDu3YAEBMDV1cYDDAaUbcuAKSm4vr1gpUH9ERbtgwjR6b7+cXNn+/33HPWbo386tdHrVrYuRNKJVq2RFQUBg7EDz+YdnH7v/9Dy5YYNszy7TAa8fvviIqCpyfefBONGuHyZRw9Cuk+QhoN5s41rdAhImtISUnp0aNHp06d6tSpc+LEifDwcKXSatuM37iBjz/G/Plwdsa9e1iwACEhmDoVX39tOmHyZHzxBWxtrdVA2XAn96IWL8bQoaaJuX/8gUOHsGlTQU/huXP44Qcrto6KLSZG2mzD7T//KZfpCoCNDVq3hrXn2QNKJd58EwsX4rvv0KgRANSvD/NdGh0cmK6IrMvT0/PgwYP9+/evXbv2jBkzrJiuAGRkYOtWfPYZAOTkYP9+GAxYv77ghPXrkZ9vrdbJiUOED9CtG6ZNw5w51m4HlVhWFoYMQU4ORo7Em29auzUWNG0a2rdHv34FR954A05OAHDlClq2tFa7iOjJYmdnV5ot4OUVGIijR3HmTDm/sy4D1gO88gq++ALHjxcc2bABt28DQEJC6VdukoUJgddeQ2wsmjcv/UYmT7hKlfDxx5gypeBIeHjBECER0RNIocAPP+DddwvmlN+6VbD/lPTXthxgwHoAhQJz5+Ldd2GO+23aYPRoADhxAn//bcWmUTF88w3++gvu7lizBk/ATgqW9sorWLgQN28+9ASDATpdRfhOENFTo3VrtGyJJUtMD2vWNK3XAdCwobUaJTPOwXqwFi3w/PMF+2J4eeHZZ/HssyjdLpVkeXv3YupUKBT4/XfTwoQK4KefTHsi29oW7NpnYwOVyjSf9O23cfKkFRtIRFTU559j6dKHPms0IiYGycll2CC5MWA91IwZ0Gge/JTRiE8/xYQJ+Ouvsm0T/as5c2AwYMqUf8xLKqdiY01f1K8PrRZOTti40TTLHMDMmRg8GLVr4+uvMXQoLl+2VjOJiAqo1ahaFQDc3DBzJry9oVSi8A1d69WDUonVq3HxIt54A3q9tVpaWtymoajkZDg5mW7ulpQER0fodBDCtFt1bi7S01GtGjQaqNUYOxa//27d9lYkSUlwdTVNgsvIgEoFZ2cAMBhw7RqqVIGbG3Q6LFiAt9+29v4qT5DMTPzf/+H77619T2giosf01luYOxePf/fFJwJ7sIqqXLng1rlVqsDJCe7uBfcCcXSEdOMmBwcsXIihQ63TyArq3XcLBrp++gnLlgHAtm1o2xY//IAhQzBuHGxsMH4805VZXBwGDUJQEO7csXZTiIgex/r1aNfuaU1XYMAqGSHw3XdwdET79tZuSgWn0SA4GNu24eefsWMHtFqsXGntNj1ZXF3x1VeoUYPdV0T0NJkzB+Hh0OmQlmbtppQUVxGWRG4uKlVCdjb27EHfvtZuTYWyZQsuXACAkycRGIgLF1C/PqpUMT3bvz/+/rtMNi9/alSubLpzDhHRU+SNN0yL9ytVsnZTSooBqyScnDBunLUbUTEplabhP2mxnE73j/spqNXIy7NOw4iISD7SDNunGgMWPVV69oR0v1Jp36eGDXHuHPR6U8w6dKj0t+ckIiIqPQYsepq5uWHcOAwahBEjcOkSdu/Grl3WbhMRERG3aaCnSFQUGjWCpycAnD8POzvTVqInTuD4cTzzDIKCnuIFJ0REVI4wYBERERHJjNs0EBEREcmMAYuIiIhIZgxYRERERDJjwCIiIiKSGQMWERERkcwYsIiIiIhkxoBFREREJDMGLCIiIiKZMWARERERyYwBi4iIiEhmDFhEREREMmPAIiIiIpIZAxYRERGRzBiwiIiIiGTGgEVEREQkMwYsIiIiIpkxYBERERHJjAGLiIiISGYMWEREREQyY8AiIiIikhkDFhEREZHMGLCIiIiIZMaARURERCQzBiwiIiIimTFgEREREcmMAYuIiIhIZgxYRERERDJjwCIiIiKSGQMWERERkcwYsIiIiIhkxoBFREREJDMGLCIiIiKZMWARERERyYwBi4iIiEhmDFhEREREMmPAIiIiIpIZAxYRERGRzBiwiIiIiGTGgEVEREQkMwYsIiIiIpkxYBERERHJjAGLiIiISGYMWEREREQyY8AiIiIikhkDFhEREZHMGLCIiIiIZMaARURERCQzBiwiIiIimTFgEREREcmMAYuIiIhIZgxYRERERDJjwCIiIiKSGQOWpZw9e/bq1avWbgUREZEVGI3Gq1evGgwGazfEamyKc9KpU6e+//77Y8eO6fX6Jk2a/Pe//+3QoUPhE3bt2hUSEgJg7969zv/P3p2Hxbj9AQD/zrRNTfu+p41IlgqRlBaFrizlulH2Li7hWrKv3St7XKLrZwlZQoiQXEuIKFTWaNOifV9npjm/P854zZ1IMVNc5/N4PDPvcs55p3fe9/uebWRlDx48GBUVdfbsWf5tHB0dZ8+ePXr0aAAYPXr027dvqVUbN250cnKaOnXqy5cvz58/r6qqipcfPXr0+PHj0dHRAFBYWLh27dpbt27R6fQBAwasXr1aW1sbb1ZYWLh58+Z//vmnqqpKTU3N3d193rx5srKyeO2tW7c2b96clpamoqIyfvz4mTNniomJfdmH1SYjR47csWOHkZFRm/bicrmXLl0KCQnp3bv3H3/8gRfW19cHBQVFRUU1NDRYWFisXbu2a9eueFV0dHRwcHBWVpaampq3t/dvv/1Go9H4E+RwOJs3bz558mRtbW3v3r0DAwM7d+4skGl4ePj27dvl5ORu3LiBl6xevRp/7NiECRPmzZsHADgp/mNcsWJFmw6QX3Z29okTJzIyMhgMhrOzs7u7Oy58VlbWwYMHCwoKjI2Np0+frqSkBACRkZFVVVWTJk2idn/79u3evXsDAgIUFBQAoLa29vDhw3Q6/ddff6W2aWhoCA8Pr6qqmj9/PgCw2eyVK1eam5v7+PhQ22zZsqVv376DBg3CWYeFhb17987AwGDSpElaWlrUZikpKZGRke/evWMymYMGDRoxYgSdzns+OXPmzMOHD6kthw4dam9v/8UfSys5Ozt7enrOmDGjTXvl5+cfPnw4MzNTR0dn4sSJBgYGAhtER0ffvn3bzMyM+qhfvHhx7NixkpISIyOj6dOnKyoqCuxSUlLyv//9LzMzU1NTc8qUKTjNhw8fnjlzRmDL+fPn79+/v6qqin9hz549f/nlF1y2gwcPWltbu7q6tumgCKIdpKWlhYaGPnv2jEajWVtbz507F9+q8vLytm7d+vTpUyUlpSlTpuCz9+nTp3/88UdoaKi8vDyVwrJly8zNzcePHw8Aubm5W7duffbsmZKS0rRp01xcXAAgOTn5jz/+8PLy8vLywruw2ezx48cvWbLE0tISAGJiYg4dOlReXm5oaOjv70/dCADgwoULp0+fzs/Pl5GRGThw4K+//sqfNfbw4cPNmzcDwIkTJ6jLl+jEx8ePGTMmPz+/rTtGR0eHh4eXlZUZGxsvWLCAuo3euXNn//79eXl5+vr6c+bM6dmzp8COYWFh0dHRZmZm69atE1j17t27zZs3p6amKioq+vj4jBgxglpVVVW1Z8+e27dvc7lcCwuL33//XUNDAwC4XG54eHhUVFRlZaWBgcHs2bOpHG/duhUWFpaTk6OsrDx+/Hj+1P4Ffc7Vq1elpKQcHBz27t17/PjxadOmSUlJvXnzhtqgtrbW2NgYh1wVFRUIoXXr1unp6QmkIyMjs3v3bvxaXl5+wYIFEe8VFhYihGxtbQFgypQp1C6bN2/G6VRVVRkZGXl5eV24cCEiIsLc3NzCwoLL5SKEcnJy9PT0evbsuXv37osXL27ZskVXV9fS0rKmpgYhFBMTIykpuXDhwsuXL2/cuFFCQmLTpk2fPeSv9+jRI1lZ2fr6+jbt9fTpUzMzMy0tLT09PTc3N2q5s7Nz165dDx8+HBUVZW9vr66uXlJSghCKi4uj0+krV65MSEjYv3+/tLT0li1bBNL8/fffpaSkNm/efOrUqX79+mlqauJ9Ke/evVNWVh44cKCioiK10NXV9aeffqL+QM+fP8fLx44d6+TkRC1PTk5u0wHyO3PmjJSUVK9evWbNmuXt7a2goDBx4kSE0MOHD+Xk5Kytrf39/U1NTU1MTMrLyxFCkydPHjJkCH8Kd+/eBYC3b9/W1dUtWbJEWVmZwWCYmZnhtWw2e82aNerq6gwGQ11dHS+sq6sDAHFx8cePH1PpmJqa4rPixo0bCgoKvr6+K1eutLGxUVJSos7zoKAgGo3m6uoaEBDg4+OjqKjo4OCAzzGE0MiRI3v27On33u3bt7/4Y2mlkpISSUnJ/Pz8Nu316NEjJSUlV1fXFStW2NnZMZlM6i+L5eXlKSgoGBgYDB8+HC85e/Ysg8H45Zdf8L1BT08P/zkoBQUFenp6ZmZmCxcu7NOnj4KCAk7zzp07fnxcXV1pNFpOTs7ixYv5l6uoqMyYMSMrK8vX11dKSkpKSmr69Olf99kQhPBdunSJwWAMGDBg3bp169ev79Onj6GhYV1dXX5+vpaWloWFxcaNGydNmkSj0U6fPo0Qio2NBQB8a6P07t17wYIFCKG8vDwNDY0ePXps3LjR19eXTqdHRkYihK5cuQIAysrK1I4NDQ0AcOHCBYRQcHCwqqpqYGDgnj17hgwZIicn9/r1a7zZjBkzpKWl/fz8du/evWLFClNTU2Nj49zcXP7cWSyWhYWFhYUFAHA4HNF/Zuj333/38/Nr616bNm1iMpnLli0LCQmxt7dXVFTMy8tDCB07dkxSUnLu3Ll79+718PCQlJQUuAGlp6fLyMhYWFgMHDhQIM3y8vJOnTqZm5tv27Zt+vTpAHDgwAG8qrS01MzMrFOnTuvWrQsJCfHz88NhDJfL9fLykpGRWbBgQWho6Pz58+/fv493+euvv2g02vjx43fv3h0YGLh///5PHctnAiwOh9OpUydbW1v+v0dGRgb/NgsWLOjcufO5c+daGWBVV1cDQPObkK2traurq5iY2PXr1/ESKsCqqanZu3cvjqgQQhcvXgSA9PR0hNDYsWP19PSoWx0unpSU1KpVqxBCKSkpR44coVb5+vp2796dP9MzZ848ffq05Q+BH5fLzcnJqaysxG9ZLNbbt29ZLJbAZitXrvz5559bnyxWWVl5//79pqamyZMnUwEWm83etWsX9VXJy8sDgKNHjyKElixZoqurS+0+ZswYe3t7/gSLiorExcWDgoLw25KSEgaDERgYyL+Np6envb39nj17+AMsCwuLj0aiAwcOXL58eVuPq7mioiJZWVlfX1/qb/rixQt8+jo7O1tbWzc2NiKEysvLlZSU1q1bh1oMsDgczqZNm5KTkzds2EAFWAghXO0aGhoqEGBZWFgMGDCgqakJL6QCrCNHjhw+fBgvbGxsVFdXx1nfvXuXRqPt3buXSjkzM1NBQQFfKxFCffr0oT5kARwO58GDB/hwhOjAgQPNLyKfdebMGerPx+FwTE1NBS5/o0aNGjZs2PTp06kAa/v27X///Td+XVJSIiMjExwczL/L/PnzNTU1S0tLEUINDQ09e/YcNWpU86wnTZrk7u4usDA9PV1MTOzRo0dZWVm7d+/Oyclxd3cnARbxramvr1dXVx82bBh10eBwOA8fPkQILV++XF5ennpq9fX17dKlC/pcgLVkyRIFBQX8rUEIjR8/vlu3buh9gDVgwABfX1+8ij/AOnTo0IMHD/ByFovFZDK3bt2KEIqKisK1PlRGFRUVBgYGnp6e/LmvW7fOwMDg6NGjzQOsmJiYgoKCNn0mAil8NGIzMjK6fPlym5JFCO3Zs+fKlSv4dVVVlays7MaNGxFCERER4eHhVHaGhoazZ8/m39HFxWXcuHHz5s1rfm38448/ZGRkqGP08/PT1NTEZZ4zZ46amppAvQNC6NSpUwAQFxcnsDwnJ0dKSmr9+vWtOZbPBFgJCQkAcO7cuU9t8PjxYwkJiX/++efy5cutDLDS0tKo8Iifra3tokWLpk6d2qVLl4aGBsQXYAnYuHEjk8msrKysr6+XlJTEnz6/iRMndu7cufmOy5YtE0iwb9++VL1ay3R0dNatW2dqaionJycmJrZkyZKTJ0+qq6szmUxZWdmIiAj+jbt3737ixAmEUFxcHH99IZ1Ob021Fn+AJaCpqUlcXByXeevWrZKSkjgu4XA4ZmZm/PV/CKELFy4AQGZmJrXE3d2dP+WLFy9KSUm9ePFi7969/AGWiooKjuEEGBkZ7dq167Pl/6yQkBAxMTGBByxMQ0Nj5cqV1Ftvb29nZ2fUYoBFLREIsLDmAdbJkycVFBRCQ0PxQirA4ldfX6+oqLh582aE0JQpU8zNzalYEFu+fLmioiK+4Orq6lKRmYCKigqBQn7Kvn37li9fvmPHjh49emhra8+ZM+fdu3fjx4/X1NTs3r07fiym/PTTT/jampSUZMXHxcXlsxlRxowZM2zYMOptRESEjIxMZmYmf4AlwMzMbNGiRfxLunbt6u/vT73dtm2btLS0wGdVUFDAYDBu3LghkNqsWbMcHR35l5AAi/gG4QspVYHBz8vLi/92fvr0aQAoLy9vOcAaPXo0/8Mw7ndRVVWFA6z4+HiqooE/wOJXUFAgJiYWFhaGEPL09Ozbt6/ABn/99ZeYmBhVF/Dy5UsGg3HhwgXcdUcgHtLV1W2eRXOZmZkqKiqXLl3q1q0bnU43NDS8e/duYGCgoqKiuLi4k5NTcXExtXFSUpKCggJ+tpw8ebISnxUrVnw2L4qpqenChQubL3d2dh47diz19sCBA/Ly8nl5eR8NsJycnEaPHk29vX37NgDgCjA1NbVly5Y1T9/T09PW1rb58p07d0pJSfHX6bTgM62wr1+/BoDu3bt/dC2Hw5kyZYqPj4+jo6PAqqqqqvX/xmaz8ap3794BgJeXl7S0tIaGxqJFixobG6kd//zzz8LCwm3btjXPrry8fMOGDRMnTgwODg4LC5OXl8/IyGCxWPzt0Ji5ufnr16+bmpoElsfHx1tZWbV8yC0IDw/HPYH+97//bdy48eDBg8nJyTU1NVOmTPH396c2e/369evXr4cOHQoA/fv3LysrKysry87O1tXVXbBgAYPB8PT01Ps33DWtNR48eMDhcPBRTJs2zdLS0s7ObuzYsWPHjlVXV9+0aRP/xnl5eXQ6XVdXl1qir6+fm5uLX1dVVc2YMWPp0qVmZmb8e7FYrLKysqCgIAUFBTk5uXHjxhUUFOBVBQUFISEhSkpKTCZz5MiR/B3p2uTp06c6Ojo6OjrNV2lra7969Qq/RgiJiYnhSjsAKCwsPMPn5s2bX5a7urr6qlWrlixZUlRU1HxtampqeHi4u7t7ly5dpk2bBgCPHz+2srIS6NzWr1+/ioqKrKwsLpdbWFh44sQJW1vbQYMGbdmy5cs6db57927Tpk3Pnz8/ffr0wYMHQ0NDBwwYMGTIkPv3748aNcrX1xfHagBQU1Nz7dq1kSNHAoCpqWloaGhoaOj27duzs7NxF4Fffvll6L9FREQIZIcQevbsWbdu3fDbysrK+fPnBwYGdurU6VMlrK6ufvv2LbULlpOTw9+rr3PnzvX19aWlpfzb7Nixo0uXLg4ODvwLy8rKwsLCFixY0LaPiSDa3cuXL2k0Wq9evZqvMjQ0TEtLq6mpwW9x+wx1yQoLC9vLp6SkhNrr1atXtbW1/HtRV2Zra+vJkyfPmjWL/85IuXbt2pYtWwYPHuzp6Tlu3DgASE1N7dGjh8BmvXr1ampqevHiBQBwudxp06Z5eHi4u7t/zefA5XJLS0vXrFkTGRlZWVlpbm7u4uJSVFT0+vXrjIyMN2/ebN26ldr47Nmz7u7ukpKSALBhw4bExMTExMTly5c3NjaOHz8+MTHRqpnnz58L5FhSUpKdnd386FgsFv9RFxQULFy4cOPGjVTPbAG5ubn8/aHx69zc3IKCguLiYjk5uUmTJpmbm/fr1w/X8AFAamqqoaHhsmXLrKysunfvvnr1ahaLBQBPnz41NDQ8duyYvb19586dJ06cSN0fm/tMJ3f8B5aTk/vo2o0bN759+zYmJqb5KjabLfBhcblc/MLS0vLIkSM9e/ZUUVG5efOmn59fU1MTFVGpq6sHBgYuXrwY93sVSDMrK6u0tJTNZuNz8VPFk5eXRwg1NjbKyMhQCy9cuBAXF3f//n0AuHr1Kn4oyc7OjoiIwGfh0qVLP/Xnwfz8/HCsiSuBFi5cqKmpCQCurq47d+6sqqrCnQrPnDkzZMgQ/FpcXBz30f7999/V1NQCAwMBYMeOHfX19fwpS0tLt5AvhcPhLF68eMiQIf369QOA2tpahNCwYcO4XG50dHSnTp0yMjJUVFSo7WtrayUlJcXFP/yVZWRkqGvB4sWLZWRk8OgEfuLi4qdPn9bW1tbX13/58uWMGTNGjRp17949ADh+/LiysrKRkVF6evpvv/02bNiwlJSUL+gsWVtby19OfkuWLPnll1+8vLxMTEzi4uJevHhB/X0zMzODgoKoLakD+QJz5sw5ePDgwoULDx8+LLDq3LlzMTExqampkyZNwn+Xj5YWL8HPMevXr9fS0tLX109NTV25cmVGRkZISMjFixczMjLwA+jBgwcVFRVVVVW9vb1bKJWRkdHevXsBwNTUtHv37g4ODr6+vgAwY8aM9evXp6Wl9e3bFwAuXbpkZmaGrxFycnI42p41a5ampub69esBYNq0aQKXZoEYGgBOnjyZmZlJ9ZH//fffVVRU5syZ00LxNm3apKSk5OnpSS1hs9k1NTX8X0B82peVlVFDVerq6v7++++dO3cKpBYSEqKrq+vm5tZCjgTxLaivr5eWlpaSkmq+as6cOYcPH7aysnJycnr58iVun6Eu75cuXcIRBkY9I/n7+x89etTKysrR0fHFixe4IgNfKzBcGb958+ZFixYJ5Hjr1q3Hjx8XFRUpKiriu2p9fT0e6MMPD0bBdfZ79uxJSUk5ceKEwDYxMTHx8fEAUFVVdezYMTxSZ+XKlfy3jOZCQkK6dOkCACNHjrx+/XpwcDB++Bw0aBD/TT8yMpLqaY77jOfn52/YsGHr1q1mZmbV1dUhISECKTcfc7N69WpdXV2qyz8lODiYxWL5+fnht/7+/iYmJtTb5qqqqphMJvUWj4GrrKzEoW1wcPCiRYu8vb1v3Ljh4+MjLy8/YsSI6urqiIiIOXPmrFu3LicnJyAgoLq6etu2bdXV1a9evYqJicG1KitWrHB3d3/48KHAEzj2mQBLTU0NAHJzc9XV1QVWvXr1KjAwcNmyZdXV1dXV1TiIy8rKwo+zKioqx48f598etxPjY5swYQJ+7e3tnZSUdOTIEf4qq5kzZx4+fHjhwoU2Njb8Kairq4eGhgLA2bNnR48e7eDggEtFPS5QcnJy5OXl+aOr+/fv+/j4BAYG9unTBwBwT14AkJKSUlFRwa/5vwktk5CQAACEEP9bqt7i7NmzAmO7IiMjT5w48eDBA5zFR2tuPgs/hWRnZ+PqTQDw8/OTkpKKjIyk0+nFxcXe3t4jRozIysqiLgRaWloNDQ01NTXUmMri4mKce1xc3N9//71v3z48xKOkpAQPqdXT05OQkKBq1LS1tf/8808vL683b96YmJhQYyW0tbW3bdvm4uLy6NEjLcTPsQAAIABJREFUa2vrth6LkpISrshsbuzYsTo6OhEREQ0NDcuXLz916lRqaipeZWNjwx/Nx8fH44ERX0BCQmLPnj329vbNv5MrV65cuXJlYWFh79695eTkAgMDlZWVm5cWf24qKipiYmJUkOrg4MBisZYtW7Z9+/b8/PzXr1/jh57MzExZWVl8sWsB/xnIYDCoyxyDwYD3jxMAcPbs2VGjRvHvePny5UOHDiUkJOAtnZycWs7o3r17fn5+W7duNTY2BoDr168fOnTo8uXL+HLT2NjIZrMrKyv5r9rHjx/fsmXL+fPnqXMJACQkJJSUlMrKyqgl+Bmdf/Tl/v37GQyGwCWysbExJCRk7dq17TCUiSC+krKycl1dHe4SKrBKV1c3OTn58OHDJSUlfn5+NBpt3LhxGhoaOJbC3UiojfFIQADQ19fHe5WWls6YMYPL5Xp7e2toaFB16qqqqn/++ee8efPGjh0rkCN+iCosLDQ3N9fV1V2xYoWqqmrzkXr4tqiurp6Tk7Ns2bKlS5fKyMiUl5fjarPy8nLcJ4Sq+OByudTrllHfWXy9ogILKSkpqp0qLS0tMzOT//GJy+VOnDixb9++eJS3nJwcriZowa5du8LCwmJiYvBljRIZGbl69erw8HAcn5w/f/7MmTPXr1+vrKwEgIaGBg6HU1FRwT/eGfcTpd4WFxcDgLa2Nn5ODgkJwbe8IUOG3L59OywsbMSIESoqKmPGjNmyZQve5e3bt3///fe2bdtUVFQsLCxwWzAAyMrKurm5PXv27KMNfZ8JsPr06SMmJnbhwgXqzKAcP368oaFh1apVq1atohb26tXr6tWrLacpQFFRkT9yBwA6nb5z584BAwZQfy0BeAx8cnKyr6+vkZFRdHQ0HviKIYSio6PxqHvsxIkT06dPX7Ro0dKlS/GSfv364b/uqVOnnJycZs2a1aYytyAvL+/x48c//fQT/5Lp06dv27YND98AAB8fn6SkJP69LC0tqZrJjyovL/fx8Xn69Om1a9f09fXxwgcPHvz666/4dFdTU5s/f/7w4cNzcnJMTEzwBvj2mZCQQN1xHzx4gGtBDh06hBDCTWAUY2PjV69eCczjgO+yzSurP7W8NaytrXfs2PH06dOPnpS2trY4cuJyub///vtnw4UvM3DgwAkTJuDW/eZrNTQ0Bg0ahB/vbGxszpw5w2Kx+AOg69ev6+vrN4+VdXR0WCxWfX09Dt0qKyv//vtv3CtRKMVubGy8dOkS/+wYRUVFkydP3rp1K3WCjR07try8nH+vqVOn4tYEADhz5syUKVOWL1/+22+/4SXBwcFcLldgcoTu3bvn5OQAAEJo27Ztq1atCg8PHzJkiEB5DA0Nk5OTqbcpKSmqqqpUnVZTU9OOHTvmzp2LH0IoR48e5XA41IMWQXzL8M3iypUrzdtVAEBdXX3hwoX49dy5c3V1dfX09Kh+Dp+Cu8fg17NnzzYwMNDW1qYeJgFg2rRpBw4c+NQ8OBoaGpaWlomJiQAwcODAM2fONDY28texxcTEqKio4GqwqqqqpUuXUrc/AFBTU0tISHBzc8Mx0KFDhyZMmPCVDYj8Tp8+7ebmxl9ptG3btpSUlJSUFByQPXr0qPlt9+DBg7jDT1NT0/Lly0NCQs6ePSvwFB0cHLxs2bJ9+/ZRtQB4AJxADwRtbW3+B1ojIyP+e+7jx4/xQmVlZSaTyT9jpbS0NN5RV1c3MzOTWi4jI4MrJnV1dXNycjgcDn4AxvU4Ak1SH3y2l5aPj4+CgsK9e/fwWy6Xyz/EndL6Tu6XL1/evHkz7gZbVFRkamqKe5/hTu7U9vj+hNPJz8/38vKi+kSHhYUBQEJCAkJo7969YmJiUVFRVPG2bNlCp9Nv3bqFEGKz2QEBAdLS0p/qgyzQyZ3D4aSnp3+0/5qOjg7uVowQwo/psbGx+C2OKfGQkB07djg5OVF7NTU1OTo6Dh06lL/bb1pa2qN/S0tL489LoJP7kydPjI2N7ezsBAZ6ODg49OvXjxqh5u/vLy8vX1tbW1tbm5OTw+Vym5qaOnfu7OjoiLfBXSmpYvPj7+T+5s2befPmVVdXI4QaGho8PDz09fVZLFZOTs6cOXPwKH02mz1hwgRVVVXcTNlWtbW1Ojo6Tk5OOBec0bt37wQ227Ztm5iYGD7fhNjJneptXVBQoKioSKfTcSf3Q4cOHT9+nCqhiYnJ5MmTEUIvX76UkpJatGgRNYbo/v37DAZj+/btCKF3794FBgbiT5jFYg0fPpx/pGrzTu719fX4ayJg3bp1FhYW1NsBAwYsXrwYv8bPXng8y4ULF0xNTanNuFzu8OHD3dzc+E+wGzduXPk3PPKXw+GsXr1aTk7u1KlT/FlXV1eX8fH19R0yZAguZHV1tZeXl7a2NnUFoI4CD579888/5eXl8QlcVFRkYGAwc+ZMarNTp07JyckJzOzA5XLNzc3XrFnT/EMgndyJb5Otra2RkRE1YIjD4VAXbeqyEB8fz2Qy8YDilju58+91584daWlpPJ4Gd3KnhqUnJSXhuzjugb5mzZqLFy/iVYWFhWpqajg13IE9ICCA/wIlIyODB4zX19fzf7vxk3xxcTGbzaYKJtDJnc1ml5WVNR8YmJ6ejmMj/Pbw4cMyMjLU2mnTpg0dOhS/tra25r/npqamSktLU4VHCFVUVNxuBt8OiouLXVxcjI2NU1NT+XOvrq7++eefVVVVqXkGqOX8BzhjxgwbGxt8zamoqMB381OnTtFoNHzvq6ur69+/P9UR3svLy8zMDF/ukpKSpKWl8bC5Xbt2SUpK4jKUlZV16dIFDwnCMSIeW93U1DR27FgVFZVPjV37fIBVVVXl7u5Op9O7dOni6Oioo6OjpqZWV1cnsFnrA6ywsDA5OTk1NTVbW1t5efnevXvjO6tAgFVaWqqmpkbNg+Xm5iYvL+/q6tq/f386nT5v3jy8GZfLDQgIEBcXNzMzGzp0qIGBAZPJ3LdvH16LozQNDQ3+nnT8swfFxcXxD7LDLUECQwKxVgZYDg4O/OPsjhw5AgBWVlbO7wnEUgK8vLysrKxUVFTk5eWtrKzmzZuXm5uLY+SePXtSh4AH26ekpGhra3fq1Mnb27tfv37S0tI4Pjhw4AAA4JP13r17ysrK2tra1tbWYmJic+fO/Wi+/AFWQkKCvr4+k8ns37+/lpaWpqZmfHw8zs7U1FRaWtrGxkZXV1dFReXatWstHEvLHjx4oKOjo6Sk5OLiMmzYMBUVFTwY7fz58507dx45cqSFhQWDwaDG+rUcYG3cuNHZ2dnExITJZDo7O8+ZMwchFBISgqcQk5SUdHZ2njRpkkCAhRDatWsXAOAA6+jRozIyMg4ODj///LOenp6+vj41I0lERIScnJypqenYsWNtbW0lJCRmzJiBL0Dx8fGampqamppubm5GRkZaWlpJSUlU+iwW6/Dhw/xh6Jo1a7S1tZt/IK0MsKZMmbJ06VJqs2PHjgHA4MGDvd5rYXjL5MmT8XMbdTbyj6yh8I8ixPWdPXr0oHaZP38+QkhfXx+fhLW1tXgSNTc3Nw0NjW7duvGPJOrfvz/1VaVER0dLSUkJPC34+Pg4Ozurqqrq6Og4OztTf3eC+Bbk5ORYWVlJSUn16dPHzc1NS0vLxsYGIZSfn6+pqTlkyBBra2txcfFJkybhwKXlACs3N1dTU9PV1dXKykpcXHzKlCl4L4EACyGEq5lx9LNjxw4GgzFo0CAPDw8VFRVzc3Mq/cjISNzvxcPDo0+fPuLi4tOnT+cPoSgfHUV48eJF/tsinnFaYJI81OoAKycnR1JSsqysjFplY2ODr8zYR0ftUXDvUhMTE+p+N3XqVITQ4MGDAUBfX59a/tHBzvyjCC0tLfG+XC7Xx8dHUlLSzs5OV1dXU1Pz2bNneJvMzEwDAwN1dXV7e3sZGRknJyccLTU2Njo7O8vIyNjZ2Wlqanbq1ImaFnHlypViYmJ9+vQxMzOTkZFpYQAmDX2sfaS55OTkpKQkNpttYGBgb2/fvFN2QUHB7du3R44cKSEh8erVq6ysLIEWhwsXLnTv3t3Q0BAAysvLb9y4UVJSYmpqOmjQIDy1+o0bN1RUVPjHCzx69Ojdu3fDhw/HNW3x8fGPHz8WExMbOHAg1RqCZWVl3bx5E3cwcnFxwU2zABAfH9+8h9bw4cP5u2fxa2ho+PXXX/G1XmDVxYsXO3fujJvPWCzW+fPnBw0ahPvuFRYWxsXFeXh4VFVVaWtrZ2RkUAP3Xr9+/eTJE/50nJ2dmzfkU2JiYvjnudbS0urZsyf+1vHT19fHtdb19fXXrl3LyMjAkQru+/L27dukpKQRI0bgD7asrOzq1au1tbWWlpa9e/f+aL4ZGRkpKSl4YBoANDY23r59OyMjQ0NDw9nZmarpZbPZd+7cefPmjYqKirOzc/OZgtukrq7u6tWr6enp8vLyXbt2tbW1pdFobDY7JiYGZ+Hk5EQNO7h//359fT3+jmElJSUxMTGjRo2SkZF58OBBdnY2tUpFRcXR0fHJkye49ygmJyfn4uISGRnp4OBAnSFNTU3nzp3r3r077raZn59/+fLlkpISQ0PDYcOG8fc3KikpuXTpUm5urry8vIODA3/jZl1dXUxMTFZWlo6OztChQz81KAR7/vz5b7/9Rk2az788NzeXaoO7fv26qqoq/jrg823w4MFKSkpaWlrR0dG4KyEApKWl8bfQAQCegu+jWcfFxRUWFvIvkZSU9PDwENgsKSmpvr4eTx188eJFgdpvNTU1BweH8+fPGxoa4uJxOJwrV668efNGT09v2LBh1MUBFxtPjcufwqNHj6qqqgSq9C9dukQNqgKALl26NB86RBAdiMvl3rlzJyUlRVJS0sjIyN7eHjd8JyUlJSYmiomJ2djYUJeFoqKimzdvenh48DfbxcbGqqur46G+iYmJuILKxsbG3Nwcb4Bvo2PGjKH6OVVWVl69enXgwIH42p6dnR0bG1tZWWlqaurq6sqfeHl5eUxMTHZ2try8vL29vcBoX0peXl58fLynp+dHO2VjxcXFP//8c3h4OH9nSgCora29dOmSi4sL7t6UnZ2dlJRENdUlJibW19fb2dkFBwfjinNqx8uXL/OPSdLS0hL4MRh+kZGRAjMAqKqqDh48+MqVK7iTKEVGRgaHB/yePHlSXl6O7xTXrl1TVFSkegnfuXMnOTlZWVl56NCh/D208HEVFRV169bN3t6e+vC5XO4///yTlpamqak5dOhQ/rAhJSXlzp07srKyQ4YMwWPdPqq1AdaPY+vWraNHj8aBYFtVV1dnZmaSGwPRsrlz5+7YseMLdmxsbHz69KmlpWULF0eCIIivNGfOnJ07d37ZdSYrK0tCQuLLxnL9x5AAiyAIgiAIQsjIGGmCIAiCIAghIwEWQRAEQRCEkJEAiyAIgiAIQshIgEUQBEEQBCFkJMAiCIIgCIIQMhJgEQRBEARBCBkJsAiCIAiCIISMBFgEQRAEQRBCRgIsgiAIgiAIISMBFkEQBEEQhJCRAIsgCIIgCELISIBFEARBEAQhZCTAIgiCIAiCEDISYBEEQRAEQQgZCbAIgiAIgiCEjARYBEEQBEEQQkYCLIIgCIIgCCEjARZBEARBEISQkQCLIAiCIAhCyEiARRAEQRAEIWQkwCIIgiAIghAyEmARBEEQBEEIGQmwCIIgCIIghIwEWARBEARBEEJGAiyCIAiCIAghIwEWQRAEQRCEkJEAiyAIgiAIQshIgEUQBEEQBCFkJMAiCIIgCIIQMhJgEQRBEARBCBkJsAiCIAiCIISMBFgEQRAEQRBCRgIsgiAIgiAIISMBFkEQBEEQhJCRAIsgCIIgCELISIBFEARBEAQhZCTAIgiCIAiCEDISYBEEQRAEQQgZCbAIgiAIgiCEjARYBEEQBEEQQkYCLIIgCIIgCCEjARZBEARBEISQkQCLIAiCIAhCyEiARRAEQRAEIWQkwCIIgiAIghAyEmARBEEQBEEIGQmwCIIgCIIghIwEWARBEARBEEJGAiyCIAiCIAghIwEWQRAEQRCEkJEAiyAIgiAIQshIgEUQBEEQBCFkJMAiCIIgCIIQMhJgEQRBEARBCBkJsAiCIAiCIISMBFgEQRAEQRBCRgIsgiAIgiAIISMBFkEQBEEQhJCRAIsgCIIgCELISIBFEARBtA1CUF7+4W1VVccVhfj+cbmQmcl7jRDk5HRoaYSHBFgE8R17+BBevOC9fvwYCgo6tDTED6OiApSV4fx5AAAOB/r16+gCEd+zykowMoJTpwAAOBxwde3oAgkJDSHU0WUgiB/XrFmzzp49q6mpqaGhofqempqaurq6qqqqqqqGqmpnVVWg0T6++6RJEB8PyckgLQ1z5sDw4eDm1r4HQPyQysvBzg4kJSEuDhgMsLD4EOgTRFuVl4O9PYiLw82bIC0NPXvC8+cdXSZhEO/oAhDEjyshIWHv3r0IoYJPVD0ZGJhkZ7+m00FVlfdPTQ3U1Xmve/YEALC1hT//hPXr27XkxH9JZWUli8Wqrq6ur69vaGiorKxks9kNDeaVlboNDVBVBWw2VFZCYyPU1UFNDbBYsHo1KCiAjw+sWQNBQR19AMQ3qbq6ura2tra2tqKior7eqKpKqbYWysuhthZqa6GmBioqeK8DA0FODqZNg+XLYdu2ji638JAAiyA6TEhICEJo2rRpM2fOLCoqKnmvsLAQv2AydWpqoLQUioqgqEhwd19foNFg+nSYPx+8vTviAL4XLBYUF4OODu9tdTXIyICYGABAXR2IiYGUVAeWrkM8fPhwxIgRFRUVDQ0NH93A1vbo3bvjP7X7nDkAAH5+YGsLT5+KqIzEd6OsrMzd3b2xsZEKqiorK/k3GDAgPD7+kxepefMAACZNggMH4NEjURe2/ZAAiyA6RklJSUREBJ1OX7ZsmaGhYUpKioqKip2dnaqqKpPJ5N+yqQlKSnj/cKRVUgKlpdC3L1y7BmJisH07zJ0LnTt31KF82xYvhvh4MDGB1FQICgIXFxg/Htav51UABgWBsTFMnNjRpWxvGzduLC4ubmpqAgB5eXkJCQkFBQUGgyEtLS0nJycpKdmtm5ahIcjIgKwsSEqCoiJISgKTCUwmSEqCgQEAAJ0OO3fCwoUdfCwdoKYGZGV5r5uagE7nteJzuQAA9B+uc7O/v/+jR48aGxv5FzKZTCaTKSsrq6io2KWLtLw8yMmBggLvLJKXB3l5YDJBVpZ3OtFo8NdfMHduxxyCKJAAiyA6xv79+xsaGn766SdDQ0MAWLBgwbVr1/AqGRkZqidWp07dGIwtqqqgoQGqqqCtDT16gJoaKCsDAOA9BgwAPT2IiQF39w47nG9UVBRkZMDt20CjQUEBDBoET550dJm+CQ8fPmxqarp//36/VnRQLy8HNhtqaqCuDhoboaICOBzeqj59wNQU8vJEW9pvyLZtcPIkaGvDu3ewYQMMHgwTJsCcOTBgAADA5s0gLw8zZ3Z0KdtbampqY2Pj7t27nZyccFylpKT0qY0RgooKqKnhtQ+WlwOLxVvVqxf06gWxse1UbFEjARZBdAAulxsaGgoAs2bNwks6d+5cXl6OGwrr6urevn379u1bADA3L3327CMpiIvDwYMf3m7aBGZm7VDw782NGzB2LK92QVMTzMwAf5rXrsHr1wAAL16AsXFHlrAjPH369O3bt5qamn379gWAlStXvnr1isVi1dbW1tTUsNns8vJyFotlaNg3IeEMdfPjd/o0LF7Me/3nn7zhhP99d+7AxYtw9y6Ii8O7d2Bv/59q0PpShYWFqampMjIyU6dOlZKSOnDgQHp6OtVQWF1dXVNTU1tbq6Zm9vjxsdpaqKsTTCE8/EMv0vXrecHqfwAJsAiiA0RHR2dmZhobGw8ZMgQv2b17N7W2traW6olVXc3Iy4PiYl7LINVQWFEB8vK8B2YAkJaGiAgyWr6ZhgaQlPzwVloa6usBACoqeE08+O0P5sqVKwAwdOhQGo0GAFFRUSkpKc03U1ExxNGVggJISoKcHEhLA4MB8vKgogIODgAATU0waRLExoK7O6iqtuMxdIjYWPD2BnFxAAAtLbC05AVYDx9CbS0AwJs3YGnZkSXsCLGxsQghBwcHKSkpANi7d+/Dhw+bb9a1K724mPdaUZHXUIgbDVVUwNGRt8rXF6KjoW9fMDRsp/KLDgmwCKIDhISEAMDMmTPpH+uugevYDXDHhE9gs4FG413qi4pAVxdkZaGkRDTF/X517w4PH8LIkQAATU2QksKr6PP05PXB+oEatz6IiYkBANf30w2tWbOGw+FISEjIysoymUxJSUlFRUUJCQk5OSUZmc8MABATg6YmqK+H48d5Pd//y/DwCAqTCdXVAACvXgEeK5CX92MGWADg4uKC306bNm3EiBFU7yt8UjGZTGVlDRkZXqerFsjLA4cDYWGwZo3oiy5iJMAiiPaWnp5+9epVaWnpSZMmfXEiEhIfXqurg7Y2ZGfDs2dgYfH1BfwPmTwZBg8GJSXo1g2OHgUvL1BX7+gydbDa2trbt2+LiYk5OzvjJaNGjfqaBHGVw+HDP0CA1bUrPHnyYcjukyewYgUAwIQJ/51mrTZCCOHOo1SA5efn9zUJTp4MR47AoUOwatV3P1qABFjED6OhAf76C548AQ0N+O23Dux5Ex4u37//rm7dnquoqAgrzYEDITsb7twhAda/ycjAzZtw/jy8egWzZsHAgQAAs2eDnh5vAw8PXiPrD+PGjRuNjY39+/cX1uk3YgQoKkJiIjx9Ct27CyXJb9WECWBnB3v2QM+ecPIkWFn9F9qxvs6zZ8/y8/O1tbW7desmlAQdHMDYGNLT4cYNcHISSpId5juPDwmi9Tw9QUoKtm8HDw8YPhzeveuQUtTXw86danfvzvTz+0uIydrZAQDcvi3EJP8rpKVh3DgwNISFC2HzZgCAIUN4gzABwMoKTE07sHTtT6B98OsxGDB2LADA0aPCSrLtHj2CgwchOho+2idfWKSl4eZNEBODK1dg8GAIDQUAmDABOnXibeDo+KNVZV29ehUAXFxcaJ/6uYk2otHA1xcA/jWI5ztFAizix/D6NZSWgr8/qKuDvT1Mm9ZRX9/jx6G0FGxswNpamMniACsuTphp/qewWJCQAO8nwviRxce/BAA3of6mEr4jHjkCTU1CTLXVAgMhMBAYDEhIAAcH+MTUqcIhKwt+fuDmBvv3w9q1AADDh4O2Nm9tnz68vn0/DIEOWEIxZQqIiUFkJFRUCDHVDkACLOLHkJUFJiYf3pqaQlZWhxRkzx4AgPeTMwhN166gpgZ5eR11WN88Bweg0eDOHdHWcHzz3ryBJ09iBwwotxZqgG9rC126QH4+XL8uxFRbp6gIwsPh1Cn45RdYtw4GDoRDh0SeaUMDXLwIUVEiz+jb1tgIr19H2dm9dHYW5u8z6+rC4MFQXw8nTwox1Q5AAizix6Ch8a/fmiksBE3N9i/F/fuQmAiqquDlJeSUaTRe0wRpJfw4dXXo1g3q6uBjA8h/HFeuAJcLnTopiuFfChKe8eMBAA4fFm6qrfDiBfTsCdTh9O8Pyckiz9TWFqSl4ckToCYe+CHdvQvp6RLV1V00NIQ8RcfkyQDffyshCbCI/zQOB3bsgDFjwNwciorgwQMAgMpK+Ptv4cc4rRASAgAwbRowGMJPHHfgvnNH+Cn/RwweDABw40ZHl6MjXbkCACC8/lcf+PiAuDhkZBRV45kL2o209L/aBBsa/jWTgohIScHAgYDQD3464SnXhdo8yDNqFKipAcC7588zhJ96eyEBFvHfdecOWFnBvHkQGQnx8XDmDAQFgbMzjB4Ny5eDhQWcOAHTpwOb3T7FKSmBU6eAToevG8X8SbgbVmpqOx3O9+eHD7AaG+HWLaDRRHJH7NQJ3Nwmx8drnD59WvipN1dYCJmZAADm5vD8OZSV8ZafOwf29u1RADzC7Z9/2iOvb5XoAixpaRg3LiAhQfvgwT3CT73dIIL4z6koKkKTJyMaDQEgY2MUHf2RjcrKkIICAkCurqiysh1KtWEDAkAjRogqfRaL27XrCBqNVlRUJKo8WlBdjV6/RixWB2TdSqWliE5HDAaqr+/oonSMq1cRALK0FFX6+/fvBwAHBwdRZUDJy0NmZsjAAGVlIYRQVBSytERz5iAXFzR7tshzxxITEQDq1Kmdsvv2lJTwvk91dSJJPyEhAQA0NDRY3/JVpUWkBov4T0EIHT582KRbt4Jnz0BcHPz9ITkZhg37yKZKSnD1KmhoQEwM2NpCdraoyxYeDgAi/B1YCQmallYNQuju3buiyuNTAgJg+HDYuhVsbODMmfbOvZWUlaFHD2hogPv3OyD3igqYMgVcXGDwYFix4sOvJbejmBgAAKEOH/yXsWPHysrK3rp1KyNDlM06OTng4AAvX4KSEq818Kef4N49+PVXOHkS/hLm7Cct6d0bVFUhKwtEerAtqK+HW7cgNhbKyzsk/9hY4HLBzg6kpUWSft++fS0sLAoLCy9fviySDESPBFjEf8fjx4/79+8/ceLEkpKSbUZG8OwZ7NgBTOYnd+jbF+7dg27d4OlTsLERRffnpiaoquK9vnULdu2C9789KBJ2dnYAcLudO7pfvQovXsDNm7BnD9y4AUuXdtQV//M6sJVw7lzo3x9iY+H6dSgpgV272r8IouuAhcnKynp4eCCEwvHDhCi8fQuDB8Pr19C7N1y7BiUlYG8P+fkgKQnm5qCkJKp8m6PTeT/H2CGthFlZYGcHN27A48fg5ATx8e1fBNG1D1J8fX0B4OD329e9g2vQCEJI9u7diwdG6ejonDx5sg17VlWhoUMRAGIw0IkTwi3Vw4dIXBw9eoQQQi9eIHd34SYvCP9mRZ8+fUSbjYDly9GBAx/eenujf/5p1wK0Wu6VK+v79v3Zza0D8tbWRk1NvNdpacjOrp1TVdHRAAAgAElEQVTzz8lBAEheXrStuHgWUxMTEy6XK/zUMzORoSECQFZWqLQUPX6MVFURAJo1S/h5tcaePQgA/fxzB2Q9cSI6fZr3OjUV9evX/kXQ10cA6MkTEWZRWFgoISEhLi7+7t07EWYjMqQGi/iPcHR0lJaW9vf3f/78+Vg8sXQrycnB+fMwZQo0NIC3Nzs4WLgFs7aGefOAyxVuqh9nY2MjISHx+PHj9hjJ1dDAGx/Q2PivX0aUkoLGRpHn/kVkbWzWJCWdvX69tra2XTNuaAAJiQ+/rKai0v6/y33/PtBo4OT0r7+V0Dk7O+vp6b158+bevXtCTjotDezsIDMTbG3h+nXIygJnZygpgaFDYetWIefVOo1DhhwcOHD4s2fc9vl680tK+tCXv3t3yM1t5zleX76Et29BXR169BBhLurq6kOHDuVwOMePH6+vrxdhTqJBAiziO1NQUDBr1ixHR8fp06cXFhYCQGRkZH5+vqmpaWZm5o4dO+S/4KflJCRg/34IDubS6T+fODF9+nS28IYWmpqCtTXs2yes9FrCZDJ79+7N4XBw/1ARys4Ge3tYsgQAoGfPD72auFxITPxmf5FOQUGhd+/eLBZL+Lf/ljEYQKdDZSXv7fPn/5r2VpSamniD7Tw9IS8P5s8XVUY5OTkAQKfTvb29AeCwcGfEevkSBg+G3Fyws4PLlyEtDVxcoLQU3N3h7FmRzHrSClJGRuvz8i49fZrcDjNvCaDTBR/ahPRLNa1kaAgxMbB9u8iznTx5MgDs379fT0/P2tp6yZIl165da/xWH+EEdXQVGkG0AYfD6dGjx+nTpzkczq1bt27evHn37t1ffvll1apVmZmZX59+0rlzDAYDAIYOHVpVVfUFKbBYKDERBQUhd3dkZIQSEpCPD6qqQubmKC5OhE2E2dnZ+MWCBQsAYNWqVaLKCSF05gxvAGaXLqi6GrFYyN4erVyJTp9G48ahpUtFmPVXW7RoEQAsW7asnfLjctHFiwghtH07GjcOpaej5GTUvz+6fh09eYIsLVFSkkjzz89HAAi3mVdXo169RJJLaGiolJTUpUuXEELPnj0DADk5ufT0dKEknpycvMjOjisri5ydUW0tunMHycsjAOTl1eGjVqdNmwYAmzZtau+MZ8xAR47wXj98iPDIzVu32iHnHj3Q3r281wMGoIYG0WbHZrPV1dUBQFJSkopbZGVlhw8fHhwc/Pz5c9Fm/3VIgEV8TxISEpydnQUW7t+/XyjRFXb//n0NDQ0A6N69exYeBP45ZWXowgUUEIAGDECSkgjgw7+ICOTjgxBCJ06gwYNFEmCVlZX5+/tLSko+evQIIXTu3DkAGDx4sPBzQgix2SgggDf/xciRqLwcZWai9HTEYqGoKLRnD4qPF0m+wnPp0iUA6N+/f3tkVlWFRo1CAOh//0MIoTNn0LRpaPZs3qc0ciQCQBISaO1a0QUK+fmoTx/UqxeqrBRJgFVdXY1b5Gk0WlBQEELo1q1bDAZDX18fAIyMjPz9/WNjYxu+9D786NEjFRUVANg5ZQqqr0e3biE5OQSAxo1DbLZQD+VLHD9+HABcXV3bKb+aGjRjBsrNRXl5qF8/9PvvaMUKZGmJHj9GsbGIRkOurqh1V60v1qUL6tsX4T5R3buLfM6TR48eKSkpDRo0KCsrKzY2NiAgwMrKiv+HpTU0NLy8vEJDQ3Nzc0VblLYjARbxPTl37tzkyZNFnUtGRkbXrl0BQEtL6+HDhx/dJjc399ixY7/99punZzSd/iGiEhNDvXsjf38UEYHevUMPH/ICLISQmxtyd0cPHqDAQCSUHsBcLnf//v2qqqr48e5///sfQujFixc0Gk1SUvLo0aONjY1CyIaSm4tsbREAEhdHQUEIIXTxIlJWRhYWqLZWmBmJUnV1Ne42Wynqyc9evEBduyIApKyMrlz5yAZ1dSggAOGzx8JCRFVZ+fnI0RHt34/mzBF+gJWWlta9e3dcX3X69Gkul7tp0yZxcXEAMDY2lpWV5a9y8PDw2LNnT0ZGRuvTT0xMxNHV8OHD6+vrH/zzD1dZGQGgyZMRhyPMI/lSxcXFdDpdRkbmiyPINsjIQD16IADk4oLQ+9rye/d4376zZ3ld/uXk0O7dwrnEfEzXruj8eeTtjZDoA6yDBw/iJgVtbe3ly5fHxcWx2WyEUGFhYUREhJ+fn66uLn+LHBXQ138bc92RAIv4nny0BksUysrKHB0dAYDJZJ47dw4vTE9PDwsL8/Pz69atG/WVtrP7VVwcWVnxgqqysn+lU1SErl/nvc7MROfPIx0dBIB8fL62aj05OdnW1haXwd7e/tmzZ01NTWFhYfiGhKvTNTQ0AgICWlkP9xnXryNNTQSAdHVRfDxis9GSJbyqLA+P9pmpVVj69+8PALg9S1TOneM1Y/XqhVpuKbtzB3XuzAtbAwKQ8GLixES0ahXKy0OOjqipCQ0ciOLihBlgXbx4UVFREQC6dOny7Nkz/qqsgIAADofD4XASExNXr14tUOVgZGTk5+cXERHRciv83bt3cX/Kn376qaGhITo6msFgBFhacmbN+jAe8xvQs2dPALhx44Zos7l1C6mrIwDUuTP6VLtYYSHy8eE96tnaohcvhFuEhARUV4e6dkUIIXd3dO2aCAMsNpsdEBCAT5jJkydLvB+awWQynZ2dg4KCEhMTuVwul8tNTk7esmWLq6urNN98XNLS0q6urlu2bElOThbJgNbWIQEW8T3hcDgWFhZRUVEIodLS0oKCAtHl1djYiPtXiomJWVtbq6mp8T8qKSoqDh8+fMOGDfHxSW0KlWJieHfeAQPQl824XlNTs3r1ahxCaWpqhoWFcbncpKSkfv364bINHjx47dq1Pd4P7xEXFx8zZsw///zzZReapqamt1u38ipahg5FJSWoqAg5O/NigtWrv6m7XWssW7YMABYtWiSS1DmcD62o3t6tqtsTalVWXh4KDka9e/Pus+fOIUdHhBB6/BjZ2KBevVB5OTp27GtyQFwuNygoiE6nA8CIESMqKioEqrKa74KrHHx8fJSVlakvEYPBoG6WAtvfvn1bTk4OAMaOHctisS5evIhrMmbMmNGB98uPwr0eV6xYIcI8QkORhAQCQMOHo4qKz2x88SLS1eXNOxMU9PVVfaWlKDQU9eqFANDRo7wAKz0d9emDunZF9fWo2V/va5WUlDg5OQGAlJTUvn37Ghsbo6Oj582bx/9kCwD6+vpTp049ceJEcXExQojNZt++fRu3IdLfj9jV1dXlcrmhoaFDhw796aefIiMjhVzWFpEAi/jO5ObmTpkyxdHRccSIEZ9qvxOitWvXSklJUdGMu7s7vh80fUVUkZLCm0LG2Bi9fNm2faOionDvFjqd7ufnV1FRUV5e7u/vT80BFhYWRm2cmJjo5+fHeD/GytTUNCgoqLS0tPXZFRcXu7m5acnKNpiY8GKpW7eQlhYCQOrq6Nq1tpX+2xAbG4sbrXbv3l0mUOX4lYqLP4SeuBW19W7cQEZGCGCbo+O6deva+vMgdXUoPBy5uiIxMV5opa6O5s5F9+7xAiyEkL8/6tULTZzIC5VzctpWQKyysnLkyJH4wSMoKIjL5QpUZbW8O67WCgoKcnZ2xo2JmKampo+PT0RERHl5+a1bt3Dz4i+//MJms0+dOoUrMBYsWPCtRVfofa8+GxsbkaReX48mTUIAiEZDAQGtfZgpK+PtBVBrZ/c0NfULcmax0LlzyMODF9oBIA0NtG8fL8BCCK1bh2g0dOkSotGQuzvKy/uCTD7iyZMnhoaGuFnw3r17AmsLCgpw46COjg518tDpdCsrq4CAAKq3X2Fh4bFjxyZPnrxkyZJdu3aNHj26qqqqsrJy9+7dXC43Nze3TkS/7/NvJMAivktxcXGrVq16+/atqDNatWoVboMT1pAoLD8fWVnx+ufcvNmqXV6/fu32/ldOrKysEhISuFxuWFgYHmIjISHh7+//0TaXgoKCoKAgAwMDvK+srKyfn9+TVswPePfuXdzFQUND496NG4jLRcHBvMutgwP6Pqf+QwiVlZUpKCjgT0NMTIy6NLO/rtP0gwcPVjo5IQkJpKWFbt/+kiSqqwsXL8YtHZaWlsnJyZ/dg8vl3r2bNmUKr1oUAElJIU9PFBXF6zdfX//hBKusRFevokOHkKIi79yjBqK1UnJysrGxMQCoqKhcvXq1eVVWm1IrLi4ODw/38fHBw0owCQkJ/LTg5ubW1NR04sQJHIctXry4bWVtL7W1tVJSUjQabebMmWlpaUJMuf7tW2RpyetWdfZsm/e/cgUZGMy3t5eQkAgICGh9j8wXL1BAANLQ+NCv1NkZRUTwzqitW3mbNTSg5ctRWBhv1IGKSptPp+aOHz8uIyMDAP3798/Pz2954/T09NDQUHd3dwbfPB0yMjL8bYgIob59+7569Yp/x9GjR4uLi1tZWa1evforn5ZbRgIs4rs0atQoADh06JBIc2GxWPg5KS4uTuiJ19SgESN4d8SWL0x1dXWrV6/GFxElJaXg4GAOh/Pq1StnZ2d8TRk0aFDq5x5Sm5qaYmNj3d3dqd4wVlZWYWFhn6opCQ0NxfV2dnZ2eXl5paWlF2bNQgCITkcrV34jXYy/2JMnT7y8vBwdHfnHfqupqXl7ex85cqSwsLCtCe7bt09KSgoAoiZN+spn+Tt37piamuJQo4X7YnZ2dlBQkImJiZycvIxMLZ7ePDi4Ve3O797xhjDiqqxWjr46duwYk8kEgN69e2dkZFRWVnp4ePBXZbXlKAU9ffoUV2tRfxFxcfEFCxbg6CogIOBrEhc1qnUeALS0tHBVXJuqipuLi4vT09YutrJCJibo6dMvS4RbVTVn9mz8le/Ro0fLVf7l5eV79uyxsbHR1n6Lz43u3dHWreiz34a8POTh8eF0+rLHXg6HExAQgIvq4+PTphqmurq6mJiYhQsX9uzZk7+3n66ubl1dHf6ff3sXFxeqDRF/8ceNG7d//36OsJ/YSYBFfJe2bdsGAFOnThVpLidOnAAAc3NzETVMcDjI3x8BIH399D/+2PTRXP755x8zMzMAoNFoPj4+hYWFtbW1VB8sFRWV0NDQNhUvLS0tICCA6gqDO8JT02ghhKqqqry8vHCO/v7+LBbrwYMHuALsuZvbxwfEfbdqa2vx2G88bpTSrVs3XK312ef+hoYGf39/vJefn59QRm7W1dUFBATge0CPHj2S+HpllZeX//3337a2ttSNRF9ff/Pm5H8/ordKRATCY/IUFVFoaEtb8vc4njBhQm1trUBVVtsP8ZMqKipOnTqFx2rgY1y7dq0Q0xeFmpqaSZMmjR49Gg/ppSpH+/btu3z58lu3brW1wXfnzp24VfRXT09UXv6Vxbtz5w6+hoiLi/v7+9fU1PCvxY9e3t7eVCdxN7c/Zs5EDx60LZdDh5CSEgJACgro0KHCNl2USktLXVxccAmD2tq2/m9FRUW4DVFPT8/S0hIh1Ldv35fNumJUVVVFRUX5+fl16tQJH/UAPP7IyAj5+aGIiM/3dWsFEmAR36UHDx4AQJcuXUSay6BBgwBgLzWtnmjs2sU2MTEHAF9fX/7bc15eno+PD/7y9+jR486dOwihqKgoHOvQ6XQfH5+SkpIvy7S6ujo0NBQPgMKpubu7x8bGPnr0yMTEBADk5eVPnTqF3s8hCQDW1tZCnG/sG4RbHLy8vHD3aozJZLq7u4eGhvLHoJTc3FwbGxsAYDAY+/fvF255+KuyFi9efPnyZR8fH+b7Hy+Xlpb28vKKiorifEVtYm4uGjaMV/fg6Vn/0V98KyoqwiNqqZufQFXWlx/hp0VHR+PD/OOPP0SRvuhQVXEtt1t9SkNDw9SpU4FvMKZQSoVDdtz2amxsfP36dYRQTk5OUFCQkZERdRGwtbUNDQ0ViMBar6AAeXoiSclGU1MLOzu7V62L+lNSUnAZVFVVr1ODroWhqKgIIbRr164xY8bU1NQ0NTU9f/588+bNQ4YM2bx585MnT/Df4tWrV7t27bowe/aHhnY8QZ29PQoM/JrBmCTAIr5LbDYb3wVF9yOgz549o9FocnJyXzale5tcuXIFj0gfMGBA0fs2HtwXm8lkrl69urGxMT09fdiwYfhS2Lt37/v37wsl68TERB8fH2oUNL4EW1hYZGRkVFdXjxs3Trh1M98F/uFIzecXiIqKwrPsxMXFaWpqAoCent6Dtj7vt051dfVvv/1Go9GoYtDpdGdn58OHD3/xXbA5XJVlb79QUVEx9N91WS9fvsSt5Do6OvHx8c2rsoRVBgFVVVW4M1Y7fPtEpK6uruWJMfOaNSXn5eVR8frhw4eFXqSEhAQ82JNOp5uamlKlMjIyWrt27UcfIb7A+fOpuGMok8ncvn17yz2coqKi8KWvd+/ewplQphkulxsSEuLq6uri4rJhwwY7Ozvqb6Gmpob/Frxj53B4P8Th7PxhzugdO1BBAfr1V+TsjDw921SzRwIs4nuFeyCdOXNGROnPmDEDAObMmSOi9AWkpKTg4YEmJiZUhfaOHTtyc3NZLFZwcDCuM1BUVMR9sISbe35+/tq1a6mBOUpKSrdv3zY3NwcAOTm5EydOCDe770h2dnZoaOioUaP4f+OSyWRaWlri7kEuLi5fXI/YSlu2bAEAdXX1P//8U0QDO3Jzm4YPd8dH5+HhQT23NDQ09O3bd+DAgfn5+c2rskQKhxqXL18WdUbtoDUTY969e1dLSwvH683nrRAWFosVFBQkLi6upaXFYDC8vLxiY2OF3gWivLzcz88PH2P//v1bGFuKO3t4e3uLLlgXUFRUdPz48SlTpujp6VF/CEkxMY6NDZo/H126hPCjS0UFioxEM2eily+RlRWva8SbN8jMDLU6EiUBFvG9Wrt2LQDMmzdPFIlXVVXhG+rTL+1e+gXy8vKsrKwAQFlZ+db7nxW7fv061T3Iy8tLpFN/sdnsAwcO4AZB/H/Xrl0/O/D+B8E/bSadTmcwGAwGY+7cuUIPdptbuHAhACwV/Y88RkRE4M55/FVZRUVFLBYrMTERPwDgqixRlwQhtHTpUviGBw9+GS6X++TJE9xKJTAxJq5FdnJyElG8npqaimtec3Nz8UOCqB8MLl68iANKKSmpDRs2IIRKSkqOHTu2b98+qrbsxo0bop3yt0UvXvy/vfuOa+J8AwD+JGElhL23gAOkWAERVBAHS1ScWCcu3EjdA1fdpYJ1UqtWCnUvKk4EBwIOEERRGSqi7CWbQIDc749Xr/kFS1Ej0fb5fvgjt957c1zunnvXpe3atWvo0KFze/T4q3KQjBy9fDkVG0s1N1OJiZSHx1/bbNtGBQS0MX0MsNDX6vr16wBgY2PzORLfvXs3udh9jsRbUVNTM3ToUHJJ2r17N90Gq3PnzlFRUe2TB9IEBACmTZvWPqPFfHUKCgpsbW0BIDg4mKKolJSUhQsXfkTfwzYi1To32ziex6cpKCggfQMBwMPDg7zfje5S6uDg8Pkq5UVcvXoVAGxtbdtnd+1PpCZaRUWlV69eH9ocvo2am5vV1NQ4HE5BQcFvv/0GAMOHD/8cOxJRWVnp5+fHZDJ9fX1fvnxpbm7+888/h4WFDR06tK6u7tKlS2PHjv3sg+C3BZ9PxcRQq1dTdnZ/DSUHQM2dS507R82Y8deax49T33/fxlQxwEJfq7q6OhkZmc/USoPc0j5f/WMrmpqafH194d3rbuTl5QMCAj7TZfe9tmzZAgDu7u7ttsev0ZEjR+Dd8JIkJt6xY8fn2FFOTg5pC9ie58Bvv/1GhgpTVVXt378/ibdmzpzZnnkg40uxWKzyT+5G9+U7dOgQAFhaWlIUlZiYOGLECPFWwpJeQR06dKAoijSs3Lt3rxjTb92NGzeqq6t9fX1FWvhlZWX5+vq2w3CGH6a6moqKovz8KGNj6tgxKimJEr4Y/vgjtW1bG1PCAAt9xUgrjcjISPEme+3aNQDQ1dVtz9uJiBEjRsjJyVlYWLT/1efYsWMAMGrUqHbe79elrq6ODF+elpZ26tQpACB9wsXuwIEDADBixIjPkXgrCgoKPD09SYwlKysbEhLSzhmgKMrBwQEAyKux/t34fD55GVdSUhIpujM2NhZj06jNmzcDwOzZs5ubm0kLdPGOidoWAwYMePDggcjMfxzAT8Kam6nmZqpnT+rCBYqiqMxMyty87QPd/TXWFkJfHXL9jYuLE2+ywcHBADBnzhy6b137MzMzq6+vHz9+vHBLzPZB3lPx8uXLdt7v14XNZo8aNQoADh8+7Onpqaamlpyc/OjRI7HvKDIyEgDc3NzEnnLrtLW1z507N2DAgDdv3ixfvnzKlCntnAEAGDBggK2OjvTDh+2/63YmLS09YcIEAAgJCRk4cKChoeHLly9v3bolrvRJl2QXF5eUlJTi4mIjIyMyAkh74nA49fX1IjNJXcGXi8kEJhMuXICLF8HZGVatgiNHQFe3rVt/1rwh9FmRDrexsbFiTDM/Pz8iIkJaWnratGliTPZDlZSUAIDwuIXtBgOsNvL29gaA0NBQFos1ZswYADh8+LB4d9Hc3EzaGrq6uoo35TaytLQEABUVFYnsfXX//gkFBe5nzkhk7+2MtH08evQon8+fPHkyAISEhIgl5dra2jt37rBYrH79+pHiMYmcTn379j158mT771cMNDQgOBiio+HkSbCyavt2GGChr5iDgwOTybx37x6fzxdXmvv27WtsbBw1apRumx9TPgcSYJFag3amqanJ5XLLy8srKiraf+9fEUdHR1NT09zc3JiYGBJshYWFNTU1iXEXd+7cefPmjbm5OYl62x95MVxdXZ1E9i7dqxew2fDoEZSWSiQD7embb76xsbF58+ZNRETE1KlTGQzG6dOnq6urPz3lmJiYhoYGW1tbVVVVuijr05P9UPPmzXv16pWrq+v06dM9PDwoimr/PLQzDLDQV0xVVdXc3JzH4yUlJYklwcbGRtLFZt68eWJJ8KOVlpaChAIsACCvj8jOzpbI3r8WDAZj4sSJABAWFmZvb29mZlZUVBQdHS3GXZD6Qfol3+2PDCXA4/Eks3tZWbC3B4EAxFpK/cWaOnUqAISEhBgbG/ft27e2tlYsRT4kqHJ1da2rq4uPj2exWAMHDvz0ZD8Uh8M5c+bMgQMH5s6dGxERITz46r8VBljo6yZSS3js2LF9+/aFh4fHxsampaWVlJR80HPS2bNn8/PzLSwsSOsuCZJgCRa8qyXMysqSyN6/IpMnTyYlDTU1NXSwJcb0r1y5AhINsCRbggUAQPow3rghsQy0owkTJrDZ7KtXr+bk5NDB1qcnS6oFXVxcbt261dDQYGNjQ7+KtJ2Vl5d36NBh4MCBZJDef73/xJdE/2KOjo779u2LjY1dtmwZAAQGBiYnJwuvwGQy1YVoaWnRnzU0NDQ1NdXV1XV0dMiLdffu3QsA8+fPl8h3ESbBNlgAEGhr+3tenmx+vkT2/hUxNjbu06dPXFzc2bNnJ0+evG7duvDw8IqKCtLB8BOVlJQkJyez2Wzhl3u0M/L+AAyw2oeysrKnp+eJEyf++OOP77//3s/PLz4+Pj09nbyq+ePk5eWlpaUpKCjY2dmtWLECJFQ/SJD3m9XU1EgqA+3ts/VuRKg95OTkAICKigp549W2bdtmzpw5fPhwBwcHMzOzNgYo1dXVFEU9fvy43V4+2LrGxkYGg8FisVp/jddn9PPPFAA1b55k9v5V2b9/P7wbk5a8SebAgQNiSZkUhnkIjyLd7kJDQwFg0qRJEstBQwMlL08xGNTnfIfBl4OUWZqYmAgEAh8fH/jkEfxJGZinpyfVviPW/h3yDuz/yAjGWIKFvm76+voGBgY5OTlBQUFjxoyZM2cOeeamNTc3l75TUlJSXFxMTxYXF5eUlFRXV3O5XADYs2cPRVFTp04lj1kSRF5hoaamRsrVJIA0qcaOhG3w3XffLViw4MaNG69fv/b29r5+/XpYWBi5NX4iSQ3QIEzyVYQyMtCnD1y9CjExMGaMxLLRXlxcXAwNDbOysuLi4qZOnXrw4MHQ0NCNGzeSt7B/BLpVe2Fh4ZMnT+Tl5cnwgZKioKBQX19fXV0t/KagfysMsNBXj9wDli1bRmoJ5eTkVN7R1dXV0dERnjQ3N1dRUdHS0hK5YFVXVx89ehQA6HeUStCbN+y+fXdpa0suBxhgtZmioqKnp+fx48cPHz78/fff+/r6xsXFvXjxwtTU9FOSFQgE5NYowQZY8CUEWADQvz9cvQo3bvwXAiwmkzlp0qTNmzeHhIQcOnTIzMwsPT09MjLSw8PjI1Kj3r1SzMXF5erVqxRF9e/fn7xmVFK4XC55rCXjnf7LSbYADaFPV1BQ8O233xoaGhoaGpL7wT9isVhaWloWFhZOTk6jR4+eO3eukZERAPTu3VvS34aiKOr6dQqA6tdPcjmoqqIAKDabEt9Y0v9ily5dAoDOnTsLBAIyXsO6des+MU3ybhNjY2NxZPDjxcZWmZvfHzHilSQzcfcuJS1NTZwoyTy0o6ysLAaDIS8vX1VVtXXrVgAYPXr0xyVFGqTq6+tTFEU6YezcuVOsmf1g3bp1A4CUlBTJZqN9YAkW+uppa2unpKTQkzwer/ydgoKC/Pz8lpPFxcVFRUVFRUUiSUmwNbGwkhIAAAk1cAcAAAUFUFODsjIoKgJJlqR9HVxdXXV0dDIzMxMSEry9vcPCwkJDQ9etW/cpHdFJW5xBgwaJL5sfQ1ZWIS3NhsuVaCZsbSEnB9LSID4erK2BzYamJkhJgR493q5w5w706iXRLIqTsbGxo6PjrVu3Tp8+PWXKlDVr1kRERJSWln5Elxe6EJR69wYwCbZwJ0gDDLGM7/XlwwAL/duw2Ww2m936MKFNTU10S6yioqLS0tIzZ85MmjSJdI2WOBJgSWiIhneMjaGsDF6+xADrH7FYrAkTJgQGBq7Rg3kAACAASURBVIaFhe3evdvQ0DA7OzsuLu5T4vUvoQEWAJAS4dpaiWbiwQOYMQNGjoSGBvDzg1OnQEkJZs4Eur/w2LHw6pVEsyhmU6dOvXXrVkhIyNSpU93c3C5evHj06FE/P78PTYdugJWamlpQUKCnp2dubv4Z8vsBunbdwuM18HhdJZuNdiLpIjSEkKgffqAAqLVrJZoJLy8KgDpyRKKZ+Go8fvwYAFRVVevr6/39/QHAx8fno1NraGjo1KmTjIwM6d8qQVlZFADVoYNEM+HkRCUlvf0cHk5NmECVllJWVn+tYGgokXx9PjU1NaSkJy0t7fTp0wBgaWn5oYnweDw2m81kMouLi7dt2wYAU6dO/Ry5/SCjR1MA1MmTks5Hu8CBRhH64ki+ihCwnfuHsbCwsLKyevPmzYULF8jooydPnvy4tuECgeD58+dHjhxJT08n/VvT0tLEnd+2IiVYkmzjTlGQmQnW1m8nBwyAxEQAgIIC+OGHt39VVZLL32chLy/v5eUFAH/88cfQoUM1NDRSU1MfPHjwQYnEx8fzeDxra2sNDQ0JviFHBKlu/m/UEOJI7gh9eb6IKkJHR5g+Hbp3l2gmvib06wg7d+68atWqEydOfER3rcrKSicnp59++unUqVPe3t51dXW5ubm//vprvoQGfZV8gMVggPDLGAQCIP1/FRXBxeXtn5ycpHL3+ZDmCuRV4uPHjwcA0oiq7QYOHJiamvrzzz/X19fHxcUxGAyJvCFHBBkD5z8y1Ci2wULoi0PebCvhAEtXF9TU4OJFqK+HUaMAANauhQ0b3i7dvx8GDwY9PQlm8Eszfvz4ZcuWXbp0qaioaOPGjR+XyI4dO5ydndetWwcADQ0NsrKy0dHR+fn5qampEnn7OB1gURRI7N1xFhaQkAA9ewIAREeDnR0AgLw89OnzdgUZGQnl7DMiQyWnp6dHRUUtWrRo1qxZH9F8iowsGh0dXVdXZ21t/SWMjEACrP9ICRYGWAh9cSRfgnXnDvj5wZ49oKoKGzZARgb4+0No6F8B1oULYGeHAZYwTU1Nd3f38+fPL1myxN/fv66urqamhs/nV1RU8Pn82trampqaxsbG8vJyMllbW8vn88vLyxsbG2tqaurq6hYtWpSYmLhmzRqSICkA8/T05HA4zs7OEvlSLBbIyUF9PTQ0SK6cKDAQpk+HYcOgvh6io+H0aQnlo715e3v7+/uHhIScOHHiH1duaGiora2tqKioqakhZ1d5eTk56zZv3gwA33777efP8j8jVYRYgoUQkgxdXaiokGgbrB07YOvWt0UF+/aBmRn4+0suN1+Nbt26nT9//vDhw4cPH/6IzQsLC6n3vZtcUtEVweFAfT3U1kouwOreHWJiIDkZZGRg7VqQk4OmJggN/WuFP/+UUM4+L29v79WrV586dUpVVdXAwKCqqqqqqorET+QzCaQqKyurq6ubmppaT60nKQKUNCzBQghJxpUroKcHV64AAFy7BtLS8OIFaGtDhw4AAM+eQVUV2Nh8/nxkZUGXLm8/y8uDggK8eQMAQDeSffjw82fi67NixYr09PSLFy926NBBXl5eXl5eRkZGRUVFWlqay+VyOBxZWVllZWVpaWkFBQUyqaSkJCMjo6CgwGazdXR0Ghoabt68aUdC2y/DpEnA48HHvqlFTLhc6Nv3r0kpKbC0/GvSyqr9c9QO9PT0tLW18/Pz9+3b948rk3NMWVlZXl6ey+XSn+Xl5Z88eeLt7T1t2rR2yPM/6toVvLzA1lbS+WgXGGAh9AXZuxeys+H+fZCVhYMHYdEiOHECHB3fBli3b8OLF+0SYKmrQ1kZGBgAAFAUVFeDkhIAQFTU2xU8PT9/Jr4+XC739KdVYC1YsMDV1bWoqMjY2Dg5Ofm3336T2PsoAV69glWrYN8+4HKhuBg2bYLly2H1aggIeLvCsmWweTNIS0sqg/9+KSkpPj4+fD7fyspKSUlJQUGBxEzKyspcLpd8VlFRIaG8pDP7z0JDQUYGTp4EADhxAiwsIC8POBwgA8Y9eQKPHsG4cZLNozhhgIXQl6VfPwgIgLVrJZqJkSNh1y44eBCYTDh6FHr3lnQJxn+Fmpra7du3ExISysvLhw8fLsHoCgAqK+HyZVi/HrZtg9pauHULFi+Gc+f+CrDOnYMNGzDA+ow0NDTOnTsn6VyITUwMREZC795gZAS3b4OCAjx8CKqqbwOsV6/g1i0MsBBCn828eTBx4v9dZXbsgDNnAABevoR2ao0zbRrk5MCAASAtDRoasHcvAPzfkO5qanhf/UxkZWW/kFc2AYCzMyQkwKNHb5vOIPSJFiwAPz/4FwWNrcEAC6Evi7Q0/PwzLFz41y1t2jTw8AAAOHkSiovbJRMs1l8dBmn37v31OSSkXfKBJIzBgJ9/hnnz/mpTnpPzV0u83FxJ5Qt9rRwd4cGD/+uWsGMHnDoFAFBWBvb2ksrXZ4EDjSL0xXF0BBUViIt7O6moCJqaoKmJpQhIAqytoXt3CAt7O2lgAFFRb//09SWaM/R1CgqCdeuAx3s7uWABREdDdDRs3izRbH0GGGAh9CUKDPzboWJqa2HxYpg1C65ebd88of+qjRvhjz/+dqlAAI8fvx0dF6F/pKMD06bB8eN/uwKPBxkZ7ZihzwarCBH6ghw79nbsbC0tyMkBOTmwsACpdz/TsWNBIAA2GwIDIScHDhwAV1cJZhb9y8nIABn6W1kZNm2CK1eAyYSOHf9aoWNHYDLh9GlgsWDVKjh9GhvmodZoaLwdTW3ePDh/HjgcUFL6q2CezQY1NWhqgi1bQFMTzp2DZcskmFkxYLx3XDuE0JeMosDfH6ZP/7+7HUISNGsW7NoFH/72RYTeo6wMNm+G7dslnY9Pg1WECH1lamth2jT45hscOQF9Kc6dg169MLpC4sHnw9atsGiRpPPxyTDAQugrw+OBhwfIyLx9ZSFCkrVzJ/z2G/D5UF4u6aygr19VFbi4gJISPHok6ax8MqwiRAgh9PFqaqCxEQBAURFLVdGnamyEnBwAADYbdHQknZtPgwEWQgghhJCYYRUhQgghhJCYYYCFEEIIISRmGGAhhBBCCIkZBlgIIYQQQmKGARZCCCGEkJhhgIUQQgghJGYYYCGEEEIIiRkGWAghhBBCYoYBFkIIIYSQmGGAhRBCCCEkZhhgIYQQQgiJGQZYCCGEEEJihgEWQgghhJCYYYCFEEIIISRmGGAhhBBCCIkZBlgIIYQQQmKGARZCCCGEkJhhgIUQQgghJGYYYCGEEEIIiRkGWAghhBBCYoYBFkIIIYSQmGGAhRBCCCEkZhhgIYQQQgiJGQZYCCGEEEJihgEWQgghhJCYYYCFEEIIISRmGGAhhBBCCIkZBlgIIYQQQmKGARZCCCGEkJhhgIUQQgghJGYYYCGEEEIIiRkGWAghhBBCYoYBFkIIIYSQmGGAhRBCCCEkZhhgIYQQQgiJGQZYCCGEEEJihgEWQgghhJCYYYCFEEIIISRmGGAhhBBCCIkZBlgIIYQQQmKGARZCCCGEkJhhgIUQQgghJGYYYCGEEEIIiRkGWAghhBBCYoYBFkIIIYSQmGGAhRBCCCEkZhhgIYQQQgiJGQZYCCGEEEJihgEWQgghhJCYYYCFEEIIISRmGGAhhBBCCIkZBlgIIYQQQmKGARZCCCGEkJhhgIUQQgghJGYYYCGEEEIIiRkGWAghhBBCYiYl6Qyg/zQej3ft2rWXL1/Kysr27t37m2++oRdlZmbeuXOHx+NZWlr26dOHzExISKisrHRxcRFO5Nq1a1wu187O7vHjx2lpaSK7sLCwoCjq6dOnffv21dLSoudfuHDB2NjYwsKCTN69ezcpKUlBQcHBwcHExEQ4hfLy8mvXruXm5nK53J49e3br1k14aU1NzaVLl4qLiw0NDd3c3GRlZT/5qLRVdHT0qlWr7t69y2AwPmLz58+fp6SkDB48mM1m0zMzMjJu3rwpEAj69etnbm7ecqvq6uorV64AgLOzs4qKisjSpqamqKiozMxMdXV1Dw8P4RUuXLjA4/HoyS5duggfyYSEhKSkJAaDYWVlZWdn9xFfB300gUCQnZ1taGgoJYV3hNY0NDTExcVlZ2fLyck5ODgYGRnRizIyMu7evctisfr376+np0dmxsfHs9lsa2tr4UQuX77cqVOnjh07xsfH5+fni+zCwcHhxYsXhYWFw4cPp/8ddXV1Fy9edHBw0NHRAQCBQBATE5OVlaWlpdWvXz8ulyucQkFBQVxcXHl5uaampqOjo5qamvDS/Pz8W7duNTY2duvW7dtvvxXTgWkTX1/fb7/9dsaMGR+x7ZMnT5KSkthstr29vYGBgfCipKSkhw8fysvLOzs7i3zZxsbG2NjYrKwsFRUVJycndXX1linfu3fv8ePHioqKIhe0q1evVlZW0pOmpqbC/8e0tLTExEQA+Pbbb1s7jBRCEhIdHa2trS0rK2tlZUXu5dOmTWtqaqIoKiAggMVi9enTZ9CgQXJycsOGDSPzvb29raysRNKxtbUdP348RVHbtm0zEWJsbAwAmzdvXrt2LQCMHDlSeCt9ff01a9ZQFFVXVzds2DB5efk+ffp07NhRSkrq559/plf7/fffFRUVuVyura0tuZ4OGTKkoqKCLI2NjdXQ0DA2NnZwcFBUVDQyMsrOzv6cx+z/+Pj4TJ8+/SM2vH///qRJk1gsFgCkp6fT8zds2MBgMDp27GhkZMRkMgMCAlpu6+vrSy7oiYmJIouqq6t79+4tJSVlZWWlpKSkpqZ27949eimHw9HU1KT/O7/++iuZX1lZ6erqymKxOnfubG9vz+FwHj58+BFfipaRkbFo0SI3Nzd3d/fVq1eXlJSQ+bm5uQsXLnRxcRkzZsyVK1fIzNTU1LFjx1ZWVgqnsHLlysOHD5PPOTk5CxYsIFtdvXqVzExJSfHy8jp58iS9CZ/P9/LySkpKIpNXrlwZO3asm5vb7Nmznz59Kpx4RESEt7e3s7Ozp6fnTz/9JLJrIiEhwcvLy8vLq7m5+VMORRvFxsZqamqSn9gHuXDhwrhx49zc3ObOnfvixQvhBKdMmeLi4jJ9+vSUlJSWG/7+++9eXl7kBygiPz9/4cKFzs7Oo0ePPnfunPCiysrKH3/8cfDgwYMGDVq2bFlhYSGZ39zcHBYWNnr0aBcXFx8fH+E93rx5c+rUqc7OzmPGjBFJ7UNFR0fr6ekxGAwTExMDAwMmk7l8+XKBQEBR1LJly8h8VVVVOTm5I0eOkE3s7e3Hjh0rkg6Hw9myZQtFUT4+PsLXKxKWXb582cPDAwACAwPpTV6/fg0AFy9epCgqJyfHyspKWVnZxsZGRUVFQ0Pj7t279HFYsmSJlJSUkpKSpaWlvLw8m83+8ccf6XR27dolKytrbm7etWtXBoMxYcKE9jnBKIqqrq5ms9ktLxr/qL6+fty4cUwm85tvvjEwMJCTkzt06BBZ1Nzc7O3tTaIfRUVFRUVF+ndNUdSDBw9MTEykpaW7du1qYmLStWtX8s+iNTY2jh49GgA6derE5XJVVFRiYmLopfr6+urq6vR/JygoiMzn8XhjxowBAH19/W7dusnKyrbypTDAQpKRlZXF5XL79etXVFRE5sTFxU2ePLm2trasrIzJZNIX3xs3bgDA2bNnqX8KsERERkYyGIynT5+uXbtWQUFBSkoqIiKCXkoHWMePHzc3NyfZEAgEvr6+LBaL3PauXbvGZDIXL17c0NBAtrp9+7aampqnpyeZdHBwWLduHflcWFiooaExbdo0sRyff9TU1KSpqXnhwoUP3ZDH49nZ2a1YsWL79u3CAVZ8fDwALF++nEyuWbOGyWSmpqYKb0ue0QMCAt4bYC1dulROTu727dsURVVUVHTv3t3MzIxcwd+8eQMAwpc/2rhx49TU1OibYm1t7Yd+I2GXLl2Sk5Pr3bv3hg0bNm7caGtra2xsXFdXl5+fr6OjY2lpGRAQMGXKFAaDcfr0aYqioqKiAIA+CQkrK6vFixdTFJWXl6elpdWtW7eAgABvb28mk0nOQ1KGp6qqSm9YX18PAOfPn6coaseOHerq6ps2bfrll19cXV0VFBSePXtGVps9ezabzZ45c+bevXtXr17dqVMnU1PT3Nxc4b3z+XxLS0tLS0sA+Iig5yMsWrRo5syZH7rVTz/9JC8v7+/vHxwc7OTkpKysnJeXR1HU0aNHZWRkvv/++3379g0bNkxGRkYkYn7x4gWHw7G0tHRwcBBJs7y8vEOHDhYWFtu3bydFHfTdtKyszMzMrEOHDhs2bAgODp45cyZ5zhEIBF5eXhwOZ/Hixb/++uvChQvpgGP37t0kjNi7d++mTZt+++23jzg4xLNnz+Tl5fv375+fn0/mRERETJo0qb6+/uLFiwBAYqampqYpU6bIy8uTE6P1AEvEtm3bVFVVa2pqPDw8lJSUuFzuq1evyCLhAMvX13fo0KE8Ho+iqJqaGisrK3t7e7Laxo0bpaWlw8LCyGRTU9O2bdsA4ODBgxRF5ebmKisrR0dHk6UnTpwAgI+4gHycEydO6Ovri4Q4bXH06FH6+tDU1DRx4kQOh/PmzRuKokJCQgCAPAvV19cPGDBAU1OzpqaGoqjKyko9Pb2+ffuWlZWRdFo+yezevZv+RdfW1vbu3dvAwKC+vp6iqObmZikpqWPHjrXMz5w5c7hcbmxs7N8lKwwDLCQZixYtkpKSev78ectFjx49AgD65C4vLweAXbt2UR8YYLm6upJIaO3atSYmJnPmzDEyMiI/P0oowKIoilytiCNHjgBARkYGRVH9+/e3srISuSgcPHgQAMgPns/nCz8C2tvbu7q6Cq88adIk+tGndXl5eYGBgXw+PzQ0dMmSJUFBQW/evGlqajpy5MjSpUt37twp8ku+ceOGgoICyfmZM2d+FHLgwIG27JFErnSAtWrVKhaLVVVVRSZra2s5HA4dPlIU1dDQYGFhMXXqVFI23jLA0tLSGjduHD158uRJALhz5w5FUU+ePAGAlkVTr1+/ZjKZwg/Zn4LH42lqanp4eND/lKamJpLPVatWKSoqlpaWkvne3t5dunSh/inAWrFihZKSEn2NnjBhQteuXal3AVbv3r29vb3JIuEA6/fff09ISCDz+Xy+vLw8OQciIiLo2yRRUVFhZGQ0evRo4b1v2LDByMjo8OHDLQOsyMhIutimjURSeG/EZmJicvny5Q9KlqKoX375hY6Yq6qquFwuKfI8efIkXYTT1NRkbGzs6+srvKGLi8vYsWMXLFjQMsDavHkzh8Ohv+PMmTO1tbVJnufPn6+hoUH/B2mnTp0CgFu3bonMz8nJkZWV3bhx44d+r/eaP3++tLQ0HfEImzVrloKCAn1gc3Jy6Jim7QFWY2OjoaEhuSJ5eHh4eXlZW1sPGzaMLBUOsAQCgfBDyKxZs3R0dCiKqqmpUVRU9PPzE0l5xIgRhoaG5CJGX/0oiiouLgaAvXv30nOqq6stLCzS0tLackDi4uJu3bqVn58fFBS0evXqS5cuURRVWFj4888/r127NioqSmR98h8ne/n1/4kU8bZEwikiJiYGAEhRU9++fW1sbOhFd+/eBYATJ05QFBUcHMxkMh8/ftxKstbW1k5OTvRkdHQ0fZALCwsB4ObNmyKblJaWysjI+Pv7t55hGjZyR5Jx69atnj17mpqatlzUpUsXPT09f3//mzdvAsCuXbuUlJSGDRv2Qek/fvw4Kipq8eLF9JxNmzbV1NRs2LCh5cpycnLkQ3l5+a+//tq9e/eOHTs2NDTEx8e7ubmJtHAaPHgwAFy/fh0ApKWlmcy3P6KoqKikpCQvLy/hlfPy8srKytqS4ZycnCVLljg6Oh47dqyxsTEoKGjgwIFDhgwJCwvj8/lBQUH9+vVrbm6m1w8PDx8yZAjJ+YsXL5KSkpKSkhITE1etWnXmzBkAiIuLu/b/bt261UoGmpqapKWlORwOmeRwOMbGxi9fvqRX2Lx5c2FhISm+aqmysrKoqKhv3770HPI5PT0dAAoKCgCgurr6xIkT58+fr66uJuvExsYKBAIPD4/nz5//+eef8fHxAoGgLYfrvaKjo4uLi9euXUv/U1gsVo8ePQAgMzOzW7dudBMNT0/PjIyMioqK1hPMzMzs3r27qqoqvdXTp0/pzAcGBh45coTEqcImT55sa2tLPr9586a+vp40/ggLC+vZsyepACKUlJSWLFkSHh5eVVVF5mRkZGzZsmXPnj3y8vIt8zN9+nQS3bYuOztbXV398uXLFhYWMjIyJiYmt2/f3rx5s4qKipycnLOzc2lpKb1ycnJyWVnZgAEDAGDatGmqQtasWdPKXmbPnu3m5kY+Kygo6OjolJSUAICXl9f48ePJfBaLZWpqSu7lREhIyL1794KCgt6b5vXr193d3em2kpMmTSosLCTR+fHjx2fMmCHSyAYATpw40adPH0dHR5H54eHhALBw4cLWj1Ub3bx509HR0dDQsOUiPp+vqKhIKtwBQF9fX1VVNSsr64PSP3HiRFFR0dy5c8kkk8ncvXt3RETEuXPnRNZkMBj0jzQrKysiImL48OEAkJCQUFVVNWTIEJH1PT09X79+nZmZCQD0SSUQCHbu3Mlms+n/IAA0Nzc/efJEuKFkK44fPz5nzpxevXo9fPgwLS1t8ODBCxYs6NWrV3Jyclpampub26+//kqv3NDQcOnSpREjRpDP0e/s379/1qxZ2dnZJSUlcS3k5eWRzYWbRpEnGWVlZQDIyMjo168fvahnz54cDoc0w71586aJiYmZmVlKSkpERMSrV69afgWRzZ2cnJhMJtmcXK8EAkFERMSlS5fon/ydO3f4fP7QoUNzc3MvXrxImkC0cpSwSSOSjMLCQgcHh/cukpGROXfunIODQ//+/Tt06FBQUHDt2jX60paWlibS+Do7O7tTp04iiQQGBlpbWwvf71VVVdevX79w4cKJEyeS+hdhUVFRixYtev78eadOnaKiophMZmlpKZ/Pb3lJ1dLSYrPZ9I8fAKZPnx4dHf369etNmzb5+Ph8yGEQNXHiRF9fXwBwdnYeOnTotm3blixZAgBDhgxxcXF58uQJaRhOUdSff/4ZGBhItlq6dCn58NNPP0VHR//yyy8AsHbtWpHYTklJqZUYy83NLSAgYP369WvXrq2trT18+HB2drauri5Zmp6eHhAQsG/fPg0NjfderUhzXU1NTXqOuro6k8kkB4rH4zEYjGnTpqmrqz99+pTU0A0YMCA3N5dk9eLFizo6Onl5eT169IiMjFRSUvqIo5eens5gMLp3795ykbGxcUxMTE1NDWlARq6Y9D8xNDRUQUGBXpmOP4yNjW/fvl1bW0vuTGQrkmcA6NGjx9SpU+fOnZuSktJyj9HR0SkpKYcOHRo9evTYsWMBIDU1tWUc0L179+bm5rS0NDs7O4FA4OPjM2zYsCFDhvz5558fcQQIgUBQVlb2ww8/nD17Vk9Pb9y4caRx0rNnz3g8nqOjY1BQ0NatW8nKJFKXkZEBgK1bt65evZrMXLt27YQJE+7fvz9r1iyR9P/444+uXbsKzyktLX316pVI/w8A4PP5qamp8+fPJ5OFhYVLliwJCAigzysRubm5VlZW9CTpbpKbm6upqVlSUqKgoDBlypTExEQulzt//vyJEycCQGpqqq2trb+/f2RkZENDw6hRo1atWiUjI/P48WNjY+OjR48ePny4oKCgV69eAQEB2traH3dICwoKbGxs3rvIxcUlJCRk3759s2bNqqqqOnDgQE1NDblDA8CVK1dEGkGTEEHEzp07J06cKJy93r17jx8/3s/Pb+DAgS3X/+mnn8LCwjIyMry8vHbu3AnvTuaW1yvScjQ3N7dLly4AUFVVNWDAgJycnPr6+sjIyPc+4rZRXl7e/fv3SQrDhw8PCQlJSkrq2LEjAHh5eYWGhtJnTlRUlIyMTO/evQFATU2NlG3X19f37Nlz4sSJgwYNunDhwrJly0TSX7x48fTp00Vmnjx5Uk9Pz9zcvLGxsaSkRPiCw2AwNDU1yXEgReM2NjYvXryQkZGpqKhYv349ObeJioqK2tpa4c2lpKRUVVXJ5tXV1QwGY/LkyVpaWs+ePWMwGMePH3dzcyNFiUFBQX/++aempmZhYWHPnj0vX75MAr6WMMBCksFgMJqamt67qKamZu7cufb29uvXr4+IiAgNDfXy8rp69SrpY6itrS3yYE3asAvLz88/duxYaGioyPzZs2cfOnRo7ty5LeMM0s7m+fPnQUFBkydPvnjxIikFaWxsFFmTeldDT8+ZM2eOu7v79evXN2zYYG5uPnLkyA0bNhw4cAAASkpKEhMTw8LCAGDLli2TJk1q/bDQ/SVJC326Px2ZLCoqIpOJiYlFRUXu7u7C2z548GDNmjWHDh3q0KEDvCtja7v+/fuvX79+06ZNAQEBjY2N7u7u6urqpFOkQCCYPn26nZ3d5MmT/25z8gQvXMZGaiWkpaXhXc8ARUVFAKiurh48ePCkSZOys7PJ+j169Dh27JicnFxSUpKDg8OmTZtI25EPxePx2Gz2eztyzp8/PywszMbGZuDAgenp6eSBnn5Yv3TpEokwCLpky8/P7/DhwzY2NgMGDEhLS3v27Bn8/w1y69atZmZm27Zto2NcWkxMzIMHD4qLi5WVlUmxHI/Haxk4kktzXV0dAPzyyy+PHj06fvy4yDqRkZG3b98GgKqqqqNHj5JCrDVr1rTe6S84OJjcU4cPH379+vUdO3aQsti+ffs+ffqUXu3s2bN0sS4pOsrPz9+6dWtQUJCZmVl1dXVwcLBIysK954h169bp6+uLFN8CwI4dO/h8/syZM8mkn59fx44d6cmWqqqqhIvuSDRcWVlJQtsdO3YsXbp0/PjxN27cmDRpkqKioqenZ3V19cmTJ+fPn79hw4acnJzly5dXV1dv3769uro6IyMjkvGMpgAAEiZJREFUMjLSz88PAFavXj1kyJDExMSP63LLYDD+rmx17NixsbGx8+bNW7RoUX19/ahRo9hsNn06denSZfbs2cLrtwxYr1+/npiYSNoeCAsMDDQzM9u4cSN56BLm4uJiaGj48OHDnTt3bt++ffny5eR6JfwDJMgcuoBNTk5u+fLlVVVVBw8enDJlyq1bt/T09JycnHJzc8kX9PT0JJm/f/9+y27CwgwNDen4zNTUNC0tjURXZDIpKYleMzw8fMSIESKn66JFiyoqKnbt2gUAQ4YMaVn21tLVq1dDQkL++OMPaWnppqamlv8U+src3NxcUVERGBjo4eFBWvSuXbvW3d2dlGfTB+TvNnd0dCwtLSVF1zU1NSNHjpwwYUJOTg45mKampmVlZYqKisnJyY6Ojj/88MOOHTvem2EMsJBkGBgYZGdnv3fRwYMHk5OT8/LyNDU1+/btu3Tp0t69e69YseLChQsAoKKiQldAEC1P7t27d2tqao4aNUpkPovFCg4O7t27N2ngKUxLS4vU3XTr1q1///5RUVHOzs4cDoc8sgjLz88XKdnq0aNHjx49vLy8iouLV6xYMXLkyOnTpw8dOhQAZs+ebWlpOW/ePPKV23RoAABA5DZAJuni6PDwcDc3N+FCl/r6em9v72HDhk2YMIHMqaqqErl8MJlMEuL8nbVr186ZMyczM7NDhw56enpKSkqkCGHv3r23b99etGgRiRpJCVZ4eLiUlBRdXETKJOgQEACKi4spiqLLKuhdKygozJkzZ/z48ZmZmWTpjBkzSF2njY2Nk5NT61WZrVBVVa2rqysvL295Y9DX13/48GFYWFhpaenMmTMZDMbYsWO1tLRILHXixAnhZ1m6Pza5h4WFhZWVlc2ePVsgEIwfP15LS4uu81JXV9+yZcuCBQtIxyJhGzduJAfEwsJCX19/9erV6urqLbvlkydmTU3NnJwcf3//lStXcjic8vLy2tpaACgvL1dWVqYoiv5XCgSCNtai0vWk5H5Jn1GysrL0Y0NmZubLly+FI3WBQDB58uSePXuSOEBBQeEfR83Ys2dPaGhoZGQkXdVOnD17dt26dUeOHNHQ0ACAc+fOnTlz5vr166T3e319fVNTU0VFhfDTv7a2tnCxK6lz1NXVJTWDwcHBI0eOBABXV9fY2NjQ0FBPT081NbVRo0bRpbmvX7/ev3//9u3b1dTULC0tT58+TeZzuVx3d/cnT54IjwXTdq1crxgMRnBw8MqVK7Oysjp27KikpKSoqEgecgDA2Nh4ypQpwuuTq4GwoKAgd3f3luV/2traGzduXLp0qcijFABYWVlZWVmNHTtWVlZ23bp1c+fOJVekV69eiRQukl8rfb2SkZEhcfB3332np6e3a9eugICA3bt3NzQ01NbW9u/f/8cff+zcuTMACF9e/hF9srWcbG5uPn/+vMjj7pUrV/bv3x8dHU1+qk1NTS0L9mRlZcnjGREbGztq1CgSYQOAlJSUpqam8AVHIBCUlJSQS4qurq6srCy5CAPA0qVLN2/eHBMTQwdYCgoKCgoKwpvz+fyKigr6ekU3DOByuX5+fkOHDn306BEZJmPWrFnkamZtbT1w4EDSLOy9MMBCkuHs7Lx58+YXL160LKPOzc2Vl5enb3haWlrffvstKTxoi9ra2gMHDvj7+wv/OGl2dnY+Pj4rV67k8/n0TIFAQF8RyJUxLy9PSkpq4MCB58+f//HHH4Wfvc6cOcNkMknbBeENAcDY2Jg0f9bT0yOdrrlcrpaWlnCth1iEh4evWLFCeM7ChQsrKyuF2z106tRJuO0LAKioqJDefK3Q0NAgt8OoqKiqqipnZ2cAyMvLs7GxiYmJIZcSUtwSHh7eqVMnOsDicrkdOnSIjo6mn7ZJo9GWtbHwruiIzWaTAO7Bgwd0W5DCwkL60vahSChw5cqVcePGtVyqqalJ6lsB4Pvvv9fX1zcwMMjIyGg9TS0tLbp0ytfX18jISFdXNzU1lV7Bx8fn0KFDwrUPIptbW1vfv38fABwcHM6cOdPQ0CBcxhYZGammpkaKwaqqqlauXLly5Up6qYaGxr1799zd3ckt9vfff584cWJbnvXb6PTp0+7u7sKFRtu3b3/06NGjR49IQJacnEw3DKKFhISQavrm5uZVq1YFBweHh4fTha/Ejh07/P39Dxw4QEIiANi3bx8ZX014NV1dXXI6ESYmJsIlHw8ePCAzVVVV5eXlhRs2sdlssqG+vr5wS0EOh0POLn19/ZycnKamJvLjJe2W2tjAqKWBAwfu2rUrLy+PHuNKhIGBAXmCIp3a3luv914ZGRlXrlyJjIx879K5c+eGhIQInxIURQk/fZmYmDQ0NBQXF/fo0UNVVfXcuXODBg0STiE8PLxz587khya8LZfL1dTUJPXdJLYjgW/Xrl3Fe72KiYnh8/nCB6S4uHjq1Kn+/v70yXDixAlS4Svsxx9/XL58Ofm8b9++BQsWLF68ePPmzfQKFhYW5CJDxMfH19fXkwuOiYlJbGws/VsjV0KRdo1kc/IgBADXrl2jKOq916uGhgYAkJOTI4cxJSWFVCmQlOkmce/RxsbwCIlXYWGhurq6lZUV3YuNNBukKIo8dIaEhJD56enpSkpKs2bNotrWi3Dnzp0KCgr0UFXUu16E9GRZWRmJIUifnT/++KNPnz6k93VTU9OCBQsYDAbpfpKYmCgtLT116lS6b92FCxcUFBTIWAxNTU2Ojo6BgYGkz9qrV68MDQ0HDhwonLcBAwaIdDlJSEh48OBBywNCusAkJyeTSdKwl+4b9eLFCwCIjIykKCo1NVVKSooe3omiqEuXLrFYrBs3bggn2Nzc3PT/RMa8EelFSFEUPV5Aeno6uc42Nja2zKpwL8KKiopr166Rbj5btmyRlpb+888/KYrKyckxNTWlO5CvX79++fLlZLWsrKwuXbrY2tpSFNXY2GhiYmJnZ0d66h0+fJjBYAj3bPpQffr0MTExefnyJZlsamrKzMykDwj5cPv2bXl5edJ1sfVehMJbxcXFsdnsbdu2Ue96EfL5fLIoKSmJ3MVJL8IffviB7v1eVFSkoaFBUktPTycVNHSad+/e5XA4mzZtoiiKx+O9EUJ6EZaUlAj/C/T19ckuiMbGRtLVVOQgkLOFPpfCwsI4HA691MfHZ9CgQeRzjx496F79FEWlpqay2WzhrvsVFRWxLVRXV1MUVVJS4uLiYmpqKjKWR3V19Xfffaeurn79+nWR+cJfcPbs2fb29uXl5WQvpIPbqVOnGAwG6YNWV1fXq1cvuqehl5eXmZkZ+V2TMSdJp8U9e/bIyMiQPLx586ZLly4eHh4URZEYcf/+/eSfOGbMGDU1NeH+wh8kJydHSUnJ3t4+KyuLzHn9+jXdV66goIB8SElJMTQ0dHFxIZNt6UXo4+NjaWkp3FXZw8Pju+++oycTEhLIUxy5PM6bN2/WrFlk4JjKykonJycdHR1yKgYGBrJYrP3795MTjM/nb9q0CQCOHz9OUVRmZmbXrl3j4+NJshEREUwmc+fOnfSOSGkufdpQFFVXVxcVFUWPTCHM19e3W7du9OSSJUs6d+5MT65cudLY2Jhec8KECfQigUAwZMiQHj160D8fiqKam5sbWiDfgsfjTZ8+XU5OLjQ0VCQPpCJiz5495FD06tXL0NCQjLOQkJDAYDBWrVrV3NxcX18/fvx4OTm5169f83i8mzdvkt/7b7/9xmAwyI2mrKzMysqqc+fO5Oe2Z88ePz8/0mU1Ly+PHnFGIBCYm5tbW1uT4nnysL19+/aWx4fAAAtJTHJyMnkONjIyMjAwYDAYzs7OZNHChQulpKS6dOliZ2cnKyvr5ORELsT/GGA1NTWZmprSd0dCJMCi3g21QAKsnJwcOzs7GRmZrl27qqmpycjICF90IiIitLW1WSxWly5dlJWVmUzm9OnTyW+Yoqjff/9dQUFBXV3d3NxcWlrazMxMZOCJrKwskX719vb25AYgou0B1vr16+kDRXTs2JF0FqO1Pt7MihUrVFRUSBWAoqKiiorK3bt36+vrdXV11dXVSdlhr169cnJy3ru5cIAVGxtLP/yRwTYBQFNTk8lkdurUiT4aJ0+e1NTUZDAYurq6LBbLxsaGjoHu3r2ro6PDYrE0NDQYDIaPj8+nDH6Yk5NjY2MjKytra2vr7u6uo6NDgrz8/HxtbW1XV9cePXpISUlNmTKFXElbD7Byc3O1tbXd3NxsbGykpKSmTZtGthIJsCiKIvU+JPrZuXOnnJxc3759hw0bpqamZmFhQad/9uxZJSUlIyOjYcOG2draSklJzZgx471RLOkEJxI8XbhwQfhuR0Lklr3c2xhg5eTkyMjICPeBt7e3JyNiE613RydP8x07drR5hwx7279/fwAwNDSk5w8ePLjl5sLDNFhbW5NtBQLBpEmTZGRkHB0d9fX1tbW1nzx5QtZ5+fKlkZGRpqamk5MTh8MZOHAgiZYaGhpIbb6jo6O2tnaHDh3os27NmjUsFsvW1tbMzIzD4QjHph/hzp07HTt2ZDAYpqamhoaGDAaDjF385s0bRUVFXV1d8sNxdXWlx/X4xwCrqKioZeggEmBRFEW6zpAAKyYmhlTff/PNN1wuV0NDg36yEggE69atk5WVlZeXt7CwkJOT43K5wcHBZCmfz/fx8SEjCZN6g++++04kynnw4EFdXR09hxQNtoxsqDYHWAKBwMDAgIw5R5DfjvAYnq0PpUEKUGVkZFSE0KOwLly4kMFgaGhoyMjIaGlpkUFhCFLzQAYg5XK5ZFhgUghKHioEAgGpB9fS0pKWltbT06MffS9evEgGldXT05OSkuratSs9ekVycjK5iJEeCd7e3q0MVsegWu1kiNBnJRAIHjx48Pz5c3l5+U6dOpE2uURubm5KSkplZaW5ubmVlRUp2c7MzKytrRUpwU5JSWGz2WTb2traO3fuWFtbC1czkVdPCFdhUBR1/fr1Dh06kAsN+dmkpaWR8dyFm+MAQH19fXx8/OvXr7lcbssXNVRVVcXFxb1588bAwKBPnz7/+LKRS5cuHT9+nDR7F1ZZWZmYmGhnZ0fiHvJFevToQVqo8Hi8+Ph4KysrNTU1KyurGTNmCFfckMJw4dRI1d7fycjIIKP10MiOysvLExIS6urqOnXq1EpTlaqqqoSEhJ49eyoqKlZVVT18+LBbt2508+0nT56kp6erq6v37t1buJa2oaHh3r17xcXFJiYm9D+U4PF4cXFxNTU1lpaWdDvZjyYQCOLi4h49ekSCTicnJ5KNpKSk+/fvs1gse3t7+tsVFxffvHlz2LBhwtV2UVFRmpqapPPX/fv3SQGVvb09/WKlwsJC0iKEriCurKy8evUq/TKTV69eRUVFVVZWdurUSeQFSuXl5ZGRka9evVJUVHRychJpMUPLy8u7ffv26NGjW2mUXVJS8t133x05coTslFZbW3vp0iUXFxdy8rx69SopKYmuqrt//z7pS7hjx44rV66QGx5x+fLlmpoaelJHR+fvuvoCwNmzZ0WaVKurq/fv3//KlSt0t3aCw+GQwU2EpaSklJeXk2gsOjpaWVmZbh8TFxf38OFDVVXVQYMGCbfQIt+ruLi4a9eupFM9mS8QCK5du5aZmamtrT1o0CDhKptHjx7FxcVxuVxXV9eP7kJIa25uvn///suXLxUUFDp37kx3Xi4uLk5ISGhsbDQ3NzczMxP+jnJycsJzACA+Pt7Q0JBcRoqKilJTU/v27SvcxyIlJYXFYgnXVZGLQ/fu3cl4H+SNPXl5eRoaGn379hWp+SotLY2Pjy8pKSH/PpF+FS9fvkxMTGxsbLSysvq7c4/G4/EWLFgwbNgw4bFFiIyMjPLycnt7ezL57NmzkpIS0k8QAJ4/f15UVNSnT5+7d+8OGDCgpKSEzmRxcTEZ6ZBmaGhIWn2919OnT1u2XDQ1NaUr6V68eEFelePo6ChSW5ebm3v//n1paWn6OJCrkJmZGX2Rz8jIIK/KcXR0FG5E2NjYeO/evYKCAkNDQ1tbW+GmIOR6RYYNE75ntYQBFkLtKjc399ChQy17PrZdVlaWrq6uSINi9N80f/78Xbt2fVzPuOzsbPLgLvZcoX+NwMBAT0/PVgKg1lVXV1dWVurr64s3V18LDLAQQgghhMQMR3JHCCGEEBIzDLAQQgghhMQMAyyEEEIIITHDAAshhBBCSMz+B6XvRakt03vsAAABcXpUWHRyZGtpdFBLTCByZGtpdCAyMDIyLjA5LjUAAHice79v7T0GIOBlgAAmIBYCYmEgbmBkZ8gA0syMTGwOGiAGC5xmgNAcEJqJA6qQkR2igJnNASzAjBBgSACr4GBQAFkD40JoJqABIJqREaEMO5+bgVGBkSmDiYlZgZlFg4mZVYGJLYGNPYOJnSOBg5OBk4uBi5uBm4eBh5eBm4+Bj5+BT4BBQJCBgzFBgJNBBOQ7VqBv2DlYuTgF+LjFH4EMhXqdQajd86g9AwfTARBH+/8De3VVnv0g9uw6VwePckk7ELvteK/DmkPMYPHQbVsdMucvAot/fDDBIXkvA1jvhwBThxf5F+xB7KIla+x7Vd+A2eka+vbBnAxg9oxI7/2zvGrBern37to/obwHbKZNrM2B682JYPbtjPoDj3V+gdlnzdcdkDl0Csx+3uVzQOOfBNicNb4TDwT3LwSzj4i/3z/hwFIwWz7p8v7/9wwdQGwxALoZVxnk5ttBAAAB13pUWHRNT0wgcmRraXQgMjAyMi4wOS41AAB4nH1UW47bMAz89yl0AQuiRIrk5yZZFEWxDtCmvUP/9/7o0G4qBxAqR4wtjYavsZcU4/vt2+/P9G/U27KkVP7zc/f0q5VSlo8UN+ny/uXrlq6Pt8tz5Xr/uT1+JLJEjjO4XrFvj/vHc4XSligLUys9rTWXRtoslVz2MY7WdAVQRdU0rQVHlLlOgA3AlouJSWwTu3Wf4Bg4zgy/4RmExN1mQEn3JLmrSVFsI8BeZ447cJylKovvqRCJzAgVOddsDa4FOfVqTDLB2Z5yY1MkQNmYzfsE5+AruRtXwmqWUmhaGexeI1N1bi2IKmuTmWci5LJSZjFzjrvi2nyWDEVjkC04ySnozYrTrIUUrVlbdi+qEqwuzD4NgCMAycygrQEV48LTAORgJRfXcIs/lHSGjA6taBEXbRUVrb2SzSpKGpwoeVdH1EA6e5t6t6NSHfIBZ82qXtuM8327vSj/eBcu9+023oW46lA8Y7aha8LkId/YlyFSwmMfWmSAdSiOMW0IizF96IdinnVCu6GTHmg39dR22k07dZd2w6cmHhg59Yp20089OVb0VHvajZ1qzAhw+Pa/iJfanisZz88vEu6XP0Qi6npw6yWPAAAA93pUWHRTTUlMRVMgcmRraXQgMjAyMi4wOS41AAB4nB2QO47EMAxDr7JlAngE0foj2Cr95hDTzwnm8Cu7MGA80STlvzfex338Pudzft4f3Hju437O++iD5+d7gEwhGK9JLAgdFygsosaLexSqc1xCnJY2mKCVXuNSUmHHFkE9Gxl5pKFF7eNzLpHNUN/egPm4JqUIxwD5zOUMEs1YIFXbhMmbLxNjxlJ0QpSKeLOpIWbNQGrZoX3hWqU7okXYrTO5kM2EqrjNW1W27V9GqrrW7b1T2bYKZZUrsrr3etjFlUO61fSJ2oHpUViktHQT781lTOrPmjrO7z9vRkqLJV8xvAAAAD56VFh0cmRraXRQS0wxIHJka2l0IDIwMjIuMDkuNQAAeJx7v2/tPQYg4GWAACYGBGhg5BYB0eJcQIIRLiwGALY6BCA0qptYAAAAZ3pUWHRNT0wxIHJka2l0IDIwMjIuMDkuNQAAeJzjUgCBIBfvzBIFODBy4eJSUDDAgywtLRXCjA0MDLh8FUAMBSdXd08/BecQRyeYiLN/qF9IMFA1FKKqdAzx94WJuPq5YPBhJgHZXACo8SAZMk4wIAAAACF6VFh0U01JTEVTMSByZGtpdCAyMDIyLjA5LjUAAHicAwAAAAABx7wIvgAAAD56VFh0cmRraXRQS0wyIHJka2l0IDIwMjIuMDkuNQAAeJx7v2/tPQYg4GWAACYGBGhg5BYB0eJcQIIRLiwGALY6BCA2RGGCAAAAZ3pUWHRNT0wyIHJka2l0IDIwMjIuMDkuNQAAeJzjUgCBIBfvzBIFODBy4eJSUDDAgywtLRXCjA0MDLh8FUAMBSdXd08/BecQRyeYiLN/qF9IMFA1FKKqdAzx94WJuPq5YPBhJgHZXACo8SAZrO57hwAAACF6VFh0U01JTEVTMiByZGtpdCAyMDIyLjA5LjUAAHicAwAAAAABdCglfQAAAD56VFh0cmRraXRQS0wzIHJka2l0IDIwMjIuMDkuNQAAeJx7v2/tPQYg4GWAACYGBGhg5BYB0eJcQIIRLiwGALY6BCA34cg0AAAAZ3pUWHRNT0wzIHJka2l0IDIwMjIuMDkuNQAAeJzjUgCBIBfvzBIFODBy4eJSUDDAgywtLRXCjA0MDLh8FUAMBSdXd08/BecQRyeYiLN/qF9IMFA1FKKqdAzx94WJuPq5YPBhJgHZXACo8SAZ2XG9GgAAACF6VFh0U01JTEVTMyByZGtpdCAyMDIyLjA5LjUAAHicAwAAAAABGqQ+PAAAAXp6VFh0cmRraXRQS0w0IHJka2l0IDIwMjIuMDkuNQAAeJx7v2/tPQYg4GWAACYgFobiBkZ2hgwgzczIxOagAWKwwGkGCM0BoZk4oAoZ2SEKmNkcwALMCAGGBLAKDgYFkDUwLoRmAhoAohkZEcqw8xkVuMA0NwOjAiNTBhMTswIziwYTM6sCE1sCG3sGEztHAgcnAycXAxc3AzcPAw8vAzcfAx8/A58Ag4AgAwdjggAngwjIl6xAX7FzsHJxCvBxi78DGQoNAgbhds+j9gwcTAdAHO3/D+zVVXn2g9iz61wdPMol7UDstuO9DmsOMYPFQ7dtdcicvwgs/vHBBIfkvQxgvR8CTB1e5F+wB7GLlqyx71V9A2ana+jbB3MygNkzIr33z/KqBevl3rtr/4TyHrCZNrE2B643J4LZtzPqDzzW+QVmnzVfd0Dm0Ckw+3mXzwGNfxJgc9b4TjwQ3L8QzD4i/n7/hANLwWz5pMv7/98zdIB57v+9QjBbDACFH1nifabhRwAAAe16VFh0TU9MNCByZGtpdCAyMDIyLjA5LjUAAHicfVTNbtswDL7nKfQCFkiJFMlDD4lTtMNWB9iyvsPue3+MtJFKRYXJJiNLnz7+KqcU4+f1+5+/6WOU6+mUEvznNbP0XgHg9JZiki7PL9+2tN7Pl8fKevu93X8ltHghns/Y8/329ljBtCXMTFihpaVkqChVE2TYRz9a0upAYRGVtIAfEaIyAVYH1gzKyrGNZNpsgiPHUSa3G5adEKnpDMjpljg3UQbxbXewlZnh5jjKXITY9lAQmWeE4jGXrNVNs8fUihLyBKd7yJVUPADMSqTWJjhzPshNqaCvZgbAaWZ8d41IxajWICoklWeWET2WBTOxqlHMwKTaLBiMwni0zomGQa8KhrMSYpRmqdkMRDhYjYls6gCFA5yJnLYElJWApg7wwYrGJmHWfzylM2RUaPESEUgtntHSCuosoyjB6SlvYu61I42sTq3rkanm7eOcJYtYqVNOS699uX4FpvX15QnT+/nH04KPU8/b9dN9OW7Q5bZd+w2Kp/R7Qi613wZ0od70sc+9tdE/W+9gcrD0PiUX7e1ILta7DkPG7sJd4dBFuKsyNAvuqg49gbuiofQHhocK467aUMljRYaK4a50qAy5g2XI/4GAMbdjJuP78T/m89M/v+v1Ctq0KakAAAEFelRYdFNNSUxFUzQgcmRraXQgMjAyMi4wOS41AAB4nC2QO27EMAxEr5LSRmSC/w+MVG5SxQcIUm2/J9jDhxK2EEA8jWaG+nnQY7u2r3u/9+fjSRfd13bd+7X1oRt+vz//Pl4bgSkJjYMBhULHSRAWUePAvgpVHqcApqUNBNJKr3EqqKDTEpF6NjLwSKMWtY8zT5FxqC9vIvNxMqQIxiBwzulMIJoxQaq2CYI3nyaGSFPRCVEq4s1YQ8yaEahlh/aANUt3RItotc7EomwmUIVt3qqyZX8YqOpct/dORVsqKquckdW958MurhjSrdiZagWmR9EkpaWLeG8ug6E/i5vgkPe4v/4BqvZOFWUfTWsAAAA+elRYdHJka2l0UEtMNSByZGtpdCAyMDIyLjA5LjUAAHice79v7T0GIOBlgAAmBgRoYOQWAdHiXECCES4sBgC2OgQgMjw9gAAAAGd6VFh0TU9MNSByZGtpdCAyMDIyLjA5LjUAAHic41IAgSAX78wSBTgwcuHiUlAwwIMsLS0VwowNDAy4fBVADAUnV3dPPwXnEEcnmIizf6hfSDBQNRSiqnQM8feFibj6uWDwYSYB2VwAqPEgGT9ALBUAAAAhelRYdFNNSUxFUzUgcmRraXQgMjAyMi4wOS41AAB4nAMAAAAAAab9Y/sAAAA+elRYdHJka2l0UEtMNiByZGtpdCAyMDIyLjA5LjUAAHice79v7T0GIOBlgAAmBgRoYOQWAdHiXECCES4sBgC2OgQgMNLHWgAAAGd6VFh0TU9MNiByZGtpdCAyMDIyLjA5LjUAAHic41IAgSAX78wSBTgwcuHiUlAwwIMsLS0VwowNDAy4fBVADAUnV3dPPwXnEEcnmIizf6hfSDBQNRSiqnQM8feFibj6uWDwYSYB2VwAqPEgGaHgZ7IAAAAhelRYdFNNSUxFUzYgcmRraXQgMjAyMi4wOS41AAB4nAMAAAAAARVpTjgAAAA+elRYdHJka2l0UEtMNyByZGtpdCAyMDIyLjA5LjUAAHice79v7T0GIOBlgAAmBgRoYOQWAdHiXECCES4sBgC2OgQgMXdu7AAAAGd6VFh0TU9MNyByZGtpdCAyMDIyLjA5LjUAAHic41IAgSAX78wSBTgwcuHiUlAwwIMsLS0VwowNDAy4fBVADAUnV3dPPwXnEEcnmIizf6hfSDBQNRSiqnQM8feFibj6uWDwYSYB2VwAqPEgGdR/oS8AAAAhelRYdFNNSUxFUzcgcmRraXQgMjAyMi4wOS41AAB4nAMAAAAAAXvlVXkAAADlelRYdHJka2l0UEtMOCByZGtpdCAyMDIyLjA5LjUAAHice79v7T0GIOBlgAAmIOaE4gZGdoYMIM3MyMTGoAFisKDTHBCaiQOqEKgDLMDMBhFgZmRXMAIyGJlYuBkYFRiZNJiYmBWYWTSYmFkVmNgU2Ng1mNg5GDgYGUQYgcpYgTaxc4iXgXRAHcTAOesL0355cZEDIE7xkZj9LMzR+0HsBS8e2840nGQHYh9acdZecaIOmG2hLeugd2uzPYi93EjAQWPDdLD6dh+d/QdMT4DF6zM5DlzxnQ1mL3jGf2BS4YR9ILYYAI0CKYwrFv5QAAABNXpUWHRNT0w4IHJka2l0IDIwMjIuMDkuNQAAeJx9kl1uwzAIx99zCi5Qiz8Yx37oQ5pU3bQ1kbaud9j77q/hVplbKRoECVs/CB/uqMrH9Pb9Q38iU9cR8T9fKYWuyszdmapDh+PpdabxMhzWm3H5mi+fVFy56jM5XJbzegOaacfBAItGOwkKLQBx4Ju0WKGxkjmJ9nrzzAy2QaqTHABIju6Ig7rFRecQEqceWgNSNpENzmghCdGsT+oBkY1L2uDSjRNTLkI7BGTjpBtgf2869cqxZrQUEXkDzLVnCVBELQ4KVLGVsdSM/u+Yo6HmlizAY5E0vpz2oOvwvo9r1HGenpZxX89hmae2nqrSdlBV26DhFts8xc3a2ODH1KZT4b7NQNxy6xRupfUDN3ks9LGsel7fm/vdL6aShnjcHMFIAAAApXpUWHRTTUlMRVM4IHJka2l0IDIwMjIuMDkuNQAAeJwdzrsNwzAMBNBVUtoITfD4kwzBlZpU9gBBNvHwkdzxHggez46jL305rvVaz6N/z4++f3jdyyYcQHjQpmywHdSG1VQrRnOKCAQ1YQBanYR1mA0Cp2TBEGQNVWrKHlGSwC6BmTVMdtrAqCH53M5i4jZ2Ih0+SBkG9yEKMzyiXudPs0yBpPX+A7kTJ+gVuOeVAAABcXpUWHRyZGtpdFBLTDkgcmRraXQgMjAyMi4wOS41AAB4nHu/b+09BiDgZYAAJiAWBGIhIG5gZGfIANLMjExsDhogBgucZoDQHBCaiQOqkJEdooCZzQEswIwQYEgAq2BTsALSjMyMcBEOMM3ICFcBppmYYOIcDAogPjcDowIjUwYTE7MCM4sGEzOrAhNbAht7BhM7RwIHJwMnFwMXNwM3DwM3LwMvHwMfPwOvAAMHY4IAJ4MIyFOsQE+wc7BycQrwcotfAxkM9TGD4EXPC/Zpn37uB3Hi0q7ZW+q+2AdiB823cmi1OW4HYpeUdzmY3v+yF8T2V1nvMFc+0h7ETv40yeGkxxmw3gMP5B3sTF+BxS9tqbc/HfgBzA76+suu5tQ7sDkTA4v3z1nvZgti3z26a//6zHVgvdVhtgeUfFeA2YWmFQfEfssfALF5RCMOXDvOANYbaDTzgFyOEthMh7ULDxRLsDuA2C9XcBy48qwcLC4GAMYaVBhxBiFCAAAB1HpUWHRNT0w5IHJka2l0IDIwMjIuMDkuNQAAeJx9lMFu2zAMhu9+Cr2ABVIkJfLQQ+IU7bDVAba077D73h8lHaRSAWF2JMjyR5n8+SNLiuv35efff+nrKpdlSQn+8zOz9EEAsLylWKTz88uPPW230/mxs13f99ufhC2heozf39nT7fr22MG0J8y1tCKUVswmpaFHZDiuHlrSFmDjSGCFzELcZiA5WLKhWGN/TWpIPOHYOc5UGmiJAxFNap2Akq5JMjdCByErK5JNuOocZ7ECqlGKmKeAE7B5zSWzKRh5TVqsyawS9Qwhm6nKwTUvfpag+XkuiAE654tavegJ57puUakJcA0SWAXajMQg0UU2rEdfqJYKY5Jpe315wvRx+vVEX2HRpNXFF2W4h6F/YqY+kqu1khelpZYI8sY2mMmA0SlHqdWicRYW8eWMlCA5N21kAVRinpPRrFUySCH3U/Hug9apFC1IB0gIQlWrSlOfPO+Xb9a+m/183S/d7HGXbmn2Qd246IO7P+O9dBeiP9ZuNna4dUuxD+3OYR/WDYIxRiPgMeHQcDymMvQSj4mGlt13eOgMHpMMHcBjqoPSd6YNirKn07+kQbQhv1By1C2eH38wvl4+AcVo4gQo6PucAAAA9HpUWHRTTUlMRVM5IHJka2l0IDIwMjIuMDkuNQAAeJwljztuxDAMRK+S0kZkQvyJJIRUblLFBwhSbb8n2MNn5O2ox9HM8OfBj+3cvq792p+PJ5/8e35//p3btZ/bCcofr41pSIi3g6lcgtsECbw7matFm0LFXtE6aRartWmkEj2Xhrl8jDadLJQTorRkrSXykl7L2Gv9h5FVgjClFCJmp6pM10XiDaw6A2AYA3FtIqO821isW3oPBWSUKx7LXIcg/0BLT7sBQwaiME3sjpW78kE0hqySLI4JyCgyULfTULMbOXUXa4LbesZtzerK0NRIxbX76x/bZUdqx3VleQAAAD96VFh0cmRraXRQS0wxMCByZGtpdCAyMDIyLjA5LjUAAHice79v7T0GIOBlgAAmBgRoYOQWAdHiXECCES4sBgC2OgQg/vWSXAAAAGh6VFh0TU9MMTAgcmRraXQgMjAyMi4wOS41AAB4nONSAIEgF+/MEgU4MHLh4lJQMMCDLC0tFcKMDQwMuHwVQAwFJ1d3Tz8F5xBHJ5iIs3+oX0gwUDUUoqp0DPH3hYm4+rlg8GEmAdlcAKjxIBnOD/cWAAAAInpUWHRTTUlMRVMxMCByZGtpdCAyMDIyLjA5LjUAAHicAwAAAAABXSRWgwAAAWR6VFh0cmRraXRQS0wxMSByZGtpdCAyMDIyLjA5LjUAAHice79v7T0GIOBlgAAmIBYAYkEgbmBkZ8gA0syMTGwOGiAGC5xmgNAcEJqJA6qQkR2igJnNASzAjBBgSACrYFOwAtKMzIxAEagSmGEQJUxAw0A0IyPMcG4GRgVGpgwmJmYFZhYNJmZWBSa2BDb2DCZ2jgQOTgZOLgYubgVuHg0mHl4GXj4GHn4FDsYEfk4GEZBnWIGOZ+dg5eLk5+EWPwUyF+pTBoELskfsqz0ZDoA4pTV77KcVM+4HsW/O0nRgunXDDsRex9jscPdOtw2IXR6/1MHEqsMexFa70ecQ9Wg7WP3EUA4Hj4BXYPF3ixXt3657BGb7hafZzStfDjbnnt/0/ZaprvtA7Nehp/evrb0I1ts93fUAh/xNMPvynbQDjKJTwGpWL1p44LzMB1sQW7ly7YHZwifBZpo2SB8Qv6YMZosBAFyzThg46SFmAAAByXpUWHRNT0wxMSByZGtpdCAyMDIyLjA5LjUAAHicfZRLbhsxDIb3PgUvMAJfIqVFFn4EadFmDLRO7tB974+SYziatEI1lqDRfJJI/j98gGw/Lt9+/YaPxpfDAQD/8+u9w7sg4uEVcgKn55evK5xvx9Nj5Xx9W28/gQzIY088n9nj7fr6WCFYgUoVJkNYuCCqtgoYk2xjK8M5QHWu2mDBUrGa4wSUALlYRXSLz8pSpU04DU4Ldul1u48cXSZchSvUQuYdJSJAU94O/puz4LSoSYv4lwhVrPZZJh4pcyFB5jywCVafcS0CxGJCii04d+w2C7DHeViYtSvHRNix6YSjUCYDo8bYNWtIPVLpM5TuaI1cUheKMMx0X0Y4f3l5Ing/fn+Sj20p0iIFm4tvRbBuXKc3yB01dOZNUG49CzJBU6mlFqxEGIYqRM5bqv+QqVWQyoTi6auoWeQyIVOtsJty91yP/HpvM1mf18snw94tfLqul2HhfHgYVaPLsCNF1+G6/F6HuShebXhIA/bhFI3ehiE0eh+6U/a9vrQNtJORtoF3CnEOJDshaBt0V2/ahrqr652xXf00Lh/nehK2iybrtq9Svj/+JGJ++AOkgdZ8CZlq5QAAAO96VFh0U01JTEVTMTEgcmRraXQgMjAyMi4wOS41AAB4nB2QOW7EMAxFr5LSxsgE9wXGVGpSZQ4QpHI/J5jDh3InPHw+furnomub2/O1v/b39aZJv/P78Tefc5vN6OuzEZgw+TgYEFVznAQabDYOBEPzGCeDG2IOBGUx6YwClpQ1QQoMoXEakEcNAnTlO6IuWeNon7gvCwkydyIFrRMILqTtJYjA8kWYtZTbKxyYOs4ep2SsVYeKw+tmlmm+3N5uaySAGRI3Kme/kWOwrEnO4n6dhwEaEfUCouDetJAyoXYL6xZ9SX+FcsVY/arSx/75B6emQ2MF4LeIAAAAP3pUWHRyZGtpdFBLTDEyIHJka2l0IDIwMjIuMDkuNQAAeJx7v2/tPQYg4GWAACYGBGhg5BYB0eJcQIIRLiwGALY6BCD9vsEwAAAAaHpUWHRNT0wxMiByZGtpdCAyMDIyLjA5LjUAAHic41IAgSAX78wSBTgwcuHiUlAwwIMsLS0VwowNDAy4fBVADAUnV3dPPwXnEEcnmIizf6hfSDBQNRSiqnQM8feFibj6uWDwYSYB2VwAqPEgGSUweiwAAAAielRYdFNNSUxFUzEyIHJka2l0IDIwMjIuMDkuNQAAeJwDAAAAAAGAPGABAAABQXpUWHRyZGtpdFBLTDEzIHJka2l0IDIwMjIuMDkuNQAAeJx7v2/tPQYg4GWAACYg5gNifiBuYGRnyADSzIxMbA4aIAYLnGaA0BwQmokDqpCRHaKAmc0BLMCMEGBIAKtgY4BKIBgKVkAGIzMjMweDAsgJ3AyMCoxMGUxMzArMLBpMzKwKTGwJbOwZTOwcCRycDJxcDFzcGkzcPAo8vAwcjAm8nAwiIGezAp3JzsHKxcnLwy2+CWQk1E8MfC0uvPZlZb/3gzgdbjr2D6M/7AOxlYV/2fNkzbcDsTWXhjocke0Ai1f8mOCQz6hqD2L/+pLo0Ff4AKx3/bqz9uuWPQKLy39+Yrte/ROYzeH9bh/DQ0Yw+23ct/2JCSpgMwsUFA4or54D1qt/of6AolYvmG3K2H1AtWMbWE0ll8uBlskTwXrFAFOFQ2DSgY2GAAABn3pUWHRNT0wxMyByZGtpdCAyMDIyLjA5LjUAAHicfVNLbhsxDN3PKXgBD0iRFMVFFv4ETpFkDLRO7pB974+SE9gao2qloaCRHinxPWqCbD9Pr1+/4d7KaZoA8D+fu8MnI+L0DjmBw/P5xwLH6/5wWzlePpbrLyAB0vCJ/ojdXy/vtxWCBXBWpVYMdjR7FVWOJVxbdy1wjNVqxZVgh7NUl5j9DeQARhxlQ49tJmKtA5wEjmfmVrBmwFK1aRkAFS4gszIy53lV/nHDGjhOnNqaiilL1QHQImeaK9bmHBMzNBod3NaUici8BK45NR5l4hFvZUSFcl/RmH0ApNBmJbmIWZ5IFbXICEmJLBGKvGH6lMJuo7Qpldnx7G7YSkIJS5M2gqY2O5lZuLmlOFrjshskHF/OTwSf+7cnvntJEBsHYGWKtCI+G9Po1s/L6aG4vsvtcFlOvdyyl15UEsa9dChMeoXkvvY6oPitXW4JsHVRJax17STMu0SUtlWC1oE2jJccqGyIpXXgDX+0DrLhRiJw98lL5sN74GTLQP7fHmvMpz9QMcCDsfAmQQAAANt6VFh0U01JTEVTMTMgcmRraXQgMjAyMi4wOS41AAB4nB2PO27DQAxEr5JSglcLDr9LCK7UuLIOEKRS7xP48KG2Ix4Hb8j3hWs5lue5nuvn+uDA8Tx+j9fj78TPd6FuhsHRNvR0NWs7dQ9OQ9uoq6fWtNfSJNCoCyDmbZcuMniG2G0Yt127CYlUyLVMcoeK2LjlYaJxi5x8ZCsQVMJqAxDJRUZiaNtnrSm8REYhksXqANaIQnAyvmNcW+SUM0uWfJOeGTQRiEc9s2kXLUMdbl62GSIXaBVCQtDW7z9yBDwP1S/ehAAAAWR6VFh0cmRraXRQS0wxNCByZGtpdCAyMDIyLjA5LjUAAHice79v7T0GIOBlgAAmIBYAYkEgbmBkZ8gA0syMTGwOGiAGC5xmgNAcEJqJA6qQkR2igJnNASzAjBBgSACrYFOwAtKMzIxAEagSmGEQJUxAw0A0IyPMcG4GRgVGpgwmJmYFZhYNJmZWBSa2BDb2DCZ2jgQOTgZOLgYubgVuHg0mHl4GXj4GHn4FDsYEfk4GEZBnWIGOZ+dg5eLk5+EWPwUyF+pTBoELskfsqz0ZDoA4pTV77KcVM+4HsW/O0nRgunXDDsRex9jscPdOtw2IXR6/1MHEqsMexFa70ecQ9Wg7WP3EUA4Hj4BXYPF3ixXt3657BGb7hafZzStfDjbnnt/0/ZaprvtA7Nehp/evrb0I1ts93fUAh/xNMPvynbQDjKJTwGpWL1p44LzMB1sQW7ly7YHZwifBZpo2SB8Qv6YMZosBAFyzThjvlY9bAAAByXpUWHRNT0wxNCByZGtpdCAyMDIyLjA5LjUAAHicfZRLbhsxDIb3PgUvMAJfIqVFFn4EadFmDLRO7tB974+SYziatEI1lqDRfJJI/j98gGw/Lt9+/YaPxpfDAQD/8+u9w7sg4uEVcgKn55evK5xvx9Nj5Xx9W28/gQzIY088n9nj7fr6WCFYgUoVJkNYuCCqtgoYk2xjK8M5QHWu2mDBUrGa4wSUALlYRXSLz8pSpU04DU4Ldul1u48cXSZchSvUQuYdJSJAU94O/puz4LSoSYv4lwhVrPZZJh4pcyFB5jywCVafcS0CxGJCii04d+w2C7DHeViYtSvHRNix6YSjUCYDo8bYNWtIPVLpM5TuaI1cUheKMMx0X0Y4f3l5Ing/fn+Sj20p0iIFm4tvRbBuXKc3yB01dOZNUG49CzJBU6mlFqxEGIYqRM5bqv+QqVWQyoTi6auoWeQyIVOtsJty91yP/HpvM1mf18snw94tfLqul2HhfHgYVaPLsCNF1+G6/F6HuShebXhIA/bhFI3ehiE0eh+6U/a9vrQNtJORtoF3CnEOJDshaBt0V2/ahrqr652xXf00Lh/nehK2iybrtq9Svj/+JGJ++AOkgdZ8PsjCqQAAAO96VFh0U01JTEVTMTQgcmRraXQgMjAyMi4wOS41AAB4nB2QOW7EMAxFr5LSxsgE9wXGVGpSZQ4QpHI/J5jDh3InPHw+furnomub2/O1v/b39aZJv/P78Tefc5vN6OuzEZgw+TgYEFVznAQabDYOBEPzGCeDG2IOBGUx6YwClpQ1QQoMoXEakEcNAnTlO6IuWeNon7gvCwkydyIFrRMILqTtJYjA8kWYtZTbKxyYOs4ep2SsVYeKw+tmlmm+3N5uaySAGRI3Kme/kWOwrEnO4n6dhwEaEfUCouDetJAyoXYL6xZ9SX+FcsVY/arSx/75B6emQ2Nm3CghAAABUnpUWHRyZGtpdFBLTDE1IHJka2l0IDIwMjIuMDkuNQAAeJx7v2/tPQYg4GWAACYg5gdiASBuYGRnSADSjExsClogmpmZjUEDyGBmgdBMLBwQPhM7hAbKZ4BpRriAA1SDA1QCiQEzCmQHExMHxC5GDog4EzcDI9BmBSZmDSZmFg0mJlYFVjYNJjZ2BXYOBQ7ODCZOrgQu7gwmbh4GHl4Gbr4EdkYGPo4EEZAHWBmZWNnYWTk5+Li5xPeBTIX6joFfvv6lvbXJv/0gTif7A3vhAz9BChi2nbVyaD/43A7ELtnV7bDxQaktiM3Ht8sh2nMVWI3AGgmHNylv7UHsy+rJ9mFvH4PZpl5/7Q5UrwLr/eWcsf+uki9YfWTysv2HPl0C23VC2PhARNYdMDvPNPSA2fXFYDUB72YceLNjCtiudWZLD0g8PwQ2syab64DRVTkwWwwApf1M8ahgvRYAAAG2elRYdE1PTDE1IHJka2l0IDIwMjIuMDkuNQAAeJx9U8uO2zAMvPsr+AMWSIp68LCHPBbbol0HaNP9h977/+jQQSovIFQOBckekaMZZqEYP67ffv+hf0Ovy0LE//m5O31kZl7eKRZ0fn37utHlfjo/31xuv7b7T5JCUnEGz2fs6X57f74R2khSVxNXWiV5L16dOPE+xlGlC4CtsGKzcrLemtsBSJcvby9CH6fvL/l5KOOQJpfeGUySFa3WJ8kNOEu51iISnyuzzkgUulFJXUxxM5DIWYvLBFhxLU25F/CN+xWrphNcQ2FOvbesNa4Hnp0nuI584O/WuNFe11uZ4Bz5wMu5aW+xUuassysLB1SSwlDkxArScM4zqARUU/POfXepqbjP6kvYtGYQlNwfEoEBzySSMGe1BBv5oWHTKlOqBtnXkqSqK5oqFdXa2gwZBoEpkF1Cx6psNqv+ul0/9eGjM8+37To6Mx4d/YcNHToLG7LRQIooo08EX+voBkW0Ybog+vBWED4sNIQcjbKYRA5+WEyiB9lln/JBXdknO6hoO6Yc1IrKI0sNRBlUQqSjJLF//tGxXv4C29nLjSVh6HAAAADmelRYdFNNSUxFUzE1IHJka2l0IDIwMjIuMDkuNQAAeJwdjzGOxEAIBL9yoa0bI2BgAFmOnHsfcNrID9gP7OOvxxkq0U1x/Z2/bzmX4zxe63Wcl9xy3/dyvtaP/HwXoVSTaptQpVe0XSictbeNyTKirO1KJZnSQFyHZduN+hg+CQ9mTeScUkx15npXL5m5nu4NN9wGepgyo+sAieSRk1hZcLQnVOFtR744ZiUmZe6KPehpFToxQIA7kFJUck4UuLtvHR3S6zFAkGGwGeEFrikaOiRn0EmGlsLCVacFqkCeB4eymbT1+w+lxkBLaiH8AAAAAABJRU5ErkJggg==",
"text/plain": [
""
]
},
"execution_count": 21,
"metadata": {},
"output_type": "execute_result"
}
],
"source": [
"# Input SMILES\n",
"CAIr_smiles = \"Nc1c(C(=O)O)ncn1C2OC(CO)C(O)C2O\"\n",
"CAIr_protonated_smiles = CAIr_smiles + \".[H+]\"\n",
"C9H11N3O5_smiles = \"Nc1c(C(=O)O)ncn1C2[CH+]C(O)C(CO)O2\"\n",
"C9H9N3O4_smiles = \"Nc1c(C(=O)O)ncn1C2[CH+]C=C(CO)O2\"\n",
"C9H7N3O3_smiles = \"N[c+]1c(=C=O)ncn1c2ccc(CO)o2\"\n",
"C8H7N3O3_smiles = \"Nc1c(C(=O)O)ncn1C2C=C[CH+]O2\"\n",
"C4H5N3O2_smiles = \"NC1=C(C(=O)O)N=C[NH2+]1\"\n",
"\n",
"# Create mass spectrometry fragmentation hierarchy\n",
"CAIr = NonBinTree(CAIr_smiles, \"CAIr\")\n",
"CAIr_protonated = CAIr.add_node(CAIr_protonated_smiles, \"CAIr.H+\")\n",
"C4H5N3O2 = CAIr_protonated.add_node(C4H5N3O2_smiles, \"C4H5N3O2+\")\n",
"C9H11N3O5 = CAIr_protonated.add_node(C9H11N3O5_smiles, \"C9H11N3O5+\")\n",
"C8H7N3O3 = C9H11N3O5.add_node(C8H7N3O3_smiles, \"C8H7N3O3+\")\n",
"C9H9N3O4_ms4 = C9H11N3O5.add_node(C9H9N3O4_smiles, \"C9H9N3O4+\")\n",
"C9H9N3O4_ms3 = CAIr_protonated.add_node(C9H9N3O4_smiles, \"C9H9N3O4+\")\n",
"C9H7N3O3 = C9H9N3O4_ms3.add_node(C9H7N3O3_smiles, \"C9H7N3O3+\")\n",
"\n",
"mass_spec_frag_tree(CAIr, 4)"
]
},
{
"attachments": {},
"cell_type": "markdown",
"metadata": {},
"source": [
"In this tree, the top row is the neutral molecule CAIr. Subsequent rows represent iterations of mass spec: the second row is MS2, the third row is MS3, and the fourth row is MS4. This function `mass_spec_frag_tree` labels each species with either\n",
"- for neutral species, its mass; for example, the mass of CAIr is 259.0804 Da\n",
"- for ions, its mass to charge ratio m/z; for example, the mass to charge ratio of protonated CAIr (CAIr.H+) is 260.0877."
]
},
{
"attachments": {},
"cell_type": "markdown",
"metadata": {},
"source": [
"## Input Parameters for `mass_spec_frag_tree`"
]
},
{
"attachments": {},
"cell_type": "markdown",
"metadata": {},
"source": [
"Parameters you can pass to `mass_spec_frag_tree` are:\n",
"- `non_bin_tree` (required) the NonBinTree object for the mass spec hierarchy.\n",
"- `ndigits` (integer or `None`) the number of digits beyond the decimal point to use for showing masses or m/z ratios in the drawing legends. Use `None` to round to the nearest integer. Note that `ndigits` only affects the legends displayed in the drawing; when using `verbose=True`, non-rounded outputs will be given regardless of the value of `ndigits`.\n",
"- `addHs` (Boolean, so True or False (default)): Whether to display hydrogen atoms in the drawing. Note that this does not actually add or remove hydrogens; the mass is unaffected, only the *display* of hydrogen atoms is changed.\n",
"- `verbose` (Boolean, so True or False (default)): Whether to return results in addition to the drawing, which you can manipulate in other ways. Details are given next."
]
},
{
"attachments": {},
"cell_type": "markdown",
"metadata": {},
"source": [
"## Get Additional Data"
]
},
{
"attachments": {},
"cell_type": "markdown",
"metadata": {},
"source": [
"If you want `mass_spec_frag_tree` to return not just the grid image, but also properties for each species in the tree, set `verbose=True`:"
]
},
{
"cell_type": "code",
"execution_count": 22,
"metadata": {},
"outputs": [
{
"name": "stderr",
"output_type": "stream",
"text": [
"[16:16:53] WARNING: not removing hydrogen atom without neighbors\n"
]
}
],
"source": [
"drawing, smiles_grid, labels_grid, mols_grid, masses_grid, charges_grid, mzs_grid = mass_spec_frag_tree(CAIr, 4, verbose=True)"
]
},
{
"attachments": {},
"cell_type": "markdown",
"metadata": {},
"source": [
"You then must explicitly call the image to draw it:"
]
},
{
"cell_type": "code",
"execution_count": 23,
"metadata": {},
"outputs": [
{
"data": {
"image/png": "iVBORw0KGgoAAAANSUhEUgAAAyAAAAMgCAIAAABUEpE/AAAABmJLR0QA/wD/AP+gvaeTAAAgAElEQVR4nOzdeVhUZf8G8Htm2EEEZFFRNllUQNxRUdygzLU0fC3TNE0t+6WtpFm8lSWWpZktqJlmpmKlr6CZoLjmlhuxyI6CICA7yDpzfn+caSS3RM4wSPfnmsvrzJlzvs9z6I/u6znPeY5MEAQQERERkXTkuu4AERERUWvDgEVEREQkMQYsIiIiIokxYBERERFJjAGLiIiISGIMWEREREQSY8AiIiIikhgDFhEREZHEGLCIiIiIJMaARURERCQxBiwiIiIiiTFgEREREUmMAYuIiIhIYgxYRERERBJjwCIiIiKSGAMWERERkcQYsIiIiIgkxoBFREREJDEGLCIiIiKJMWARERERSYwBi4iIiEhiDFhEREREEmPAIiIiIpIYAxYRERGRxBiwiIiIiCTGgEVEREQkMQYsIiIiIokxYBERERFJjAGLiIiISGIMWEREREQSY8AiIiIikhgDFhEREZHEGLCIiIiIJMaARURERCQxBiwiIiIiiTFgEREREUmMAYuIiIhIYgxYRERERBJjwCIiIiKSGAMWERERkcQYsIiIiIgkxoBFREREJDEGLCIiIiKJMWARERERSYwBi4iIiEhiDFhEREREEmPAIiIiIpJYaw9YhYVYuxbLliEmRr1n61ZUVKi3DxxARoauukZEREStVasOWHl5GDECBgbw9cU332DpUgD44guUlqoP+PlnJCTosINERETUKunpugPatHo15s7FjBkA4OeHrl3xyis67hIRERH9C7TqgHXpEsaMUW8bGsLVVX1D8NlnYWQEAHFxNw8gIiIikkirDljm5jenWwEoL4e5OQCsXYuOHQFgwQLddIyIiIhatVY9B+vRR/HDDxAEAIiPR3U1OnUCAENDGBnByAgKhW47SERERK1Sqx7BmjwZZ87A3x/t2+PqVWzcCHmrDpRERETUMsgEcYCntcrLQ3ExrKxga6veo1TeHLhSqSCTQSbTVe+IiIioVWrtIzrff49u3bBs2c09DW8LyuVMV0RERCS51h6wUlIAwM1N1/0gIiKifxEGLCIiIiKJtfaAlZwMAO7uuu4HERER/Yu06knulZVo0wYGBqis5IoMRERE1Gxa9QhWSgoEAa6uTFdERETUnFp7wAInYBEREVFzY8AiIiIikhgDFhEREZHEWvOrcgIzMmROTqu6du2u654AqKioGD169B9//OHs7Ozp6enyd7ruHREREUmpNT9FaGtrW1BQcPXq1Y4dO+q6LwgLC5s3b94df2rXrp2rq6uv7ygbm/+6ucHVFW5uMDe/9bCePfH885g/HwAGD0Z0NIyMtNxpIiIieiCtdgSrtLS0oKDA1NS0Q4cOuu4L6urqli9fDmDjxo1eXl7pf4mPj4+LiyssLCwsLFQoXH7//eYpdnZwd4ebm/rj64uqKmzejCeeQMeOKCtD6w3GRERED71WG7CSk5MBuLm5yVrA2wY3bdqUkZHRvXv3adOmyeVyAwODxx57zMzMTPw1Ly8vOTk5O9vU3x8pKepPXh7y8nD0qLrCl19CLkdICBYuRHi4zi6EiIiI7kerDVgpKSkA3FrADPe6urply5YBCAkJkcvlVVVVPXv2VKlUlpaW4gSs7t27e3p6uru7jB9faWpqCkAQkJ19M2ylpKBnTwB47DGsXYt9+3R7QURERPQPWnnAcm8BL8nZvHlzenp6t27dnnzySQAFBQWenp4pKSnFxcVnz549e/as5shhwz66eHFR9+7w9ISLC1xc0Lcvpk+HsfHNaqtWYdIk1Nc3/3UQERHR/ZIiYFVU4OxZDB2q/rpnD8aMAYCqKhw6hKIi+PrC1VWChhqjhYxgKZVKcfbVO++8I5fLATg4OMTGxgqCcOXKlZS/JCcnp6Sk1NV1Ly7G8eM4fvxmBT09dO2KP/9Uf3V0xJNPYtEiHVwLERER3ScpAta1a3j/fRw4oP764ou4fBlFRXj0UTz+OOztMXs2ZszAjBkStHXfNHOwmrPR2/3www/Jyclubm6TJ09uuF8mkzk6Ojo6OgYEBGh21tfjyhWkp9/8xMcjKUk9n332bPVhr76KykrotdrBRyIiooee1v4vvWoVnnkGCxYAwBNPoGdPTJ0KfX1tNfd3RUVFly5dgq4DllKJlSvXAnj33XcV9/E+RD099Z3BhmprkZ8PAK+9BgBr1mDbNixZ0mx/SyIiImo0iVZyT0rCiy+qPzU1AHDxIgYOVP/ati3s7XH5sjRt3VNlZeXy5cu7dOlSU1NjaGi4YsWKZmj0brZtw9WrRydNinjqqaceuIiBATp1uvn1yhUcP44GE7eIiIioxZFoBMvBAa+8ot6OjAQAQ0PU1t48oKYGxsaoqMBfaxNIrqamJiws7KOPPsrLywPQo0ePhISEjz/+WKVSffLJJ1pq9B5UKoSG4vp1+bhxY+9j9Op+eXoCQHy8ZAWJiIhIchKNYBkb31wTU1x3yt8fERHqXy9fRlUVrKzQtSsmT0ZiojSN/kWlUu3YsaN79+4LFizIy8vz9fWNjo6+ePHirl27xEGsF154ofkXrN++HXFx6NIFU6dKWdbLCwDi4qSsSURERNLS2suen38eKSmYPBmvvIKJE/H11zh+HAUF2LEDXl546ilJBmEEQYiIiOjVq9fkyZPT09O7d+8eHh5+4sSJkSNHAhgzZszOnTuNjIy++eabuXPnqlSqprd4n1QqLFsGAIsXSzwbvXt3KBS4dOlv44NERETUokjxLsL6ehQUQPNGmitX4OCg3s7ORkkJ3N1hYAAAWVlYsQLr1qGqCnI5Ro/Ge++hd+8HazY6OnrRokV//PEHAEdHx8WLF8+aNev2ueT79+9//PHHq6qqnnvuuXXr1olrJWhbeDj+8x84OiI5WX3pEnJzQ2oq4uLUtwuJiIiopZEibejpoeH7/jTpCkCnTvDyuhkxOnfG558jJQX/938wMEBkJPr2xaRJwoULjWrw5MmTI0eODAwM/OOPP2xtbUNDQ5OSkubMmXPHJ/UeeeSRffv2mZmZbdiwYerUqfXaX6NTEPDhhwDw9tvSpyv8dZeQ07CIiIharOYYzrmVvT1Wr8blywgOhrExfvnl8MKFgYGBZ86c+cdT4+PjJ0+ePHDgwIMHD1pZWYWGhmZmZgYHBxsaGt7jLH9//19//dXc3Hzbtm1Tp06tq6uT7mLu4JdfEBsLBwc8+6xW6jNgERERtXC6CFgiW1uEhiI9XfXGG/OTk6Ojo319fceNG3f69Ok7Hp6ZmTl37lwfH58dO3aYmpoGBwenpaUFBwcbN3yPzN0NHjz4wIEDVlZW4eHhEydOrBHXktACQVDPvlq0SCvDV/jrQULOcyciImqxdBewRHZ28o8/PhwbGxIS0qZNm8jISF9f38GDB8fExGgOyc7Onjt3rpub29q1axUKxZw5c1JTU0NDQy0sLBrVVN++faOiotq1axcZGTlx4sTq6mqpL0YtOBiPPYaZM7VUHt7e1UOGJAI7tdUAERERNY0Uk9wlcv369TVr1qxataq0tBSAn5/f66+/fvLkydWrV1dVVcnl8kmTJi1fvtzZ2bkprVy4cCEwMPD69eujRo365Zdf7nMA7B99+ilqarB4MQB89RX69IGvrySF76Curs7MzEypVJaXl0vVfyIiIpJQCwpYosLCwpUrV37xxRdlZWUmJiY3btyQy+WTJ09+77333N3dJWkiMTFx5MiRubm5Q4cOjYyMNJNi7dNZs3DgAH7+GX36YOFCBAaqX3itJV5eXvHx8efOnevVq5cWmyEiIqIHoutbhLdp167d0qVLMzMz582bV1dXZ2Fhcfbs2a1bt0qVrgB069bt4MGDHTt2PHz48OjRo8vLyyUpGxKC//s/KJWSFPsHXl5eAOI4D4uIiKhFanEBS2RpablixQqlUllVVSWGCWl17do1JiamU6dOR48efeyxx8rKyhp1elYW9u3DJ59g5kz064f//lesCT8/fP215J29A09PTwDxzfwkYVERnn4aAQEYNgzz56OqqllbJyIienhIusq4pExNTR0dHTMyMlJTU7t27Sp5fXd396NHj44cOfL48eMjRozYv3+/lZXVHY/Mz89PTMyKje0TF4e4OMTHo7T0bwfY2qJ9ewAICcGgQejRQ/LO3koMWM09gvXaaxgxArNnA8Dixfj4Y4SENGsHiIiIHhItN2AB8PLyysjIiI+P10bAAuDk5BQTEzNixIizZ88GBATs37/f2tq6tLQ0NTU1Pj4+ISEhPj7+7Nmzubm55uZty8uLBUEmnmhpie7d4emp/tfHB2+9BQBmZnj3XTz9NJ56CkolJHzH8y10c4swKgrffqvefukljB/PgEVERHRHLTpgeXp6RkRExMXFTZo0SUtNODg4xMTEjBw58vz58z179pTJZNnZ2bccY2Fh4enp2adPuauruacnvL1hY3Nrne7d0bYtADz5JA4ehLExhgzB7Nl47jnJupqdnf3+++/3799/9uzZXbp0MTY2vnLlSllZmbm5uWRt3NHevXjsMQgCBAGaFw1ZWKC4WLvtEhERPbRaesCC9mcade7c+eDBg+7u7nK5PCsry8DAwNXV1dPTs3v37n369PH09HR2dpbJZPcu8tprN7e/+gqbN+PECZw6hbo6zJ3b1B5ev3592bJlX331VXV19f79+2fOnKlQKLp163bu3LmEhIQBAwY0tYG7uXYN8+bhf//D+vWYNQvm5sjLg50dAPz5Jzw8tNUuERHRQ65FB6xmuxG2b9++qqoqAwODlJQUFxeXpr8Qeto0lJfjpZfwwguorsaCBQ9Yp6Ki4ssvv1y2bFlpaalMJgsKClq6dKlCoYiOjr5y5Yqtre3s2bOXLVs2duzYf4yAjfbdd3j1VZSUwMoK4iDZW2/hueewdClqavDKK+oV64mIiOh2QgtWXV2tp6enp6dXXV2tvVbq6+vd3NwA/Pjjj9JW/uYbQS4XAOHDDxt9bk1NTVhYmJ04XAQEBAScPXtWEISDBw8OHDhQ3KlZy75///6RkZGS9Ts3V5gwQQAEQBg9WsjOFsrKhNWrBZVKOHBAeO014a23hLNnJWuOiIio1WnRAUsQBHF6+8WLF7XXxIYNGwC4ubnV19dLXnzdOnXGeu+9+z2ltrZ206ZNTk5OYngaOHBgTEyMIAixsbFBQUHiTmtr69DQ0OvXr69atapDhw7izh49eoSHh6tUqib1ODxcsLISAMHCQggLEwRBOHJEcHUVAOHbb5tUmYiI6F+jpQcscXr7li1btFS/vr5eXMJ08+bNWmpiyxZBT08AhODgfzhSpVKFh4eLw2kAvLy8wsPDBUFITEwMCgoSbwKamZkFBweXlpZqzqqurg4LC+vYsaN4lre396ZNm5RKZWP7WZudLYwerR64mjBByM0VKiuF4GB1QvTxEc6da2xNIiKif6eWHrBCQkIALF68WEv1v//+ewBdunSpq6vTUhOCIPzwg6BQCBYWRR9+uOZux0RFRWnee+Ph4SGGpMuXL8+ZM0dPTw+AiYnJyy+/nJeXd8fTxVuK9vb2mnC2adOm+x+TCw8P9+jUqdbB4Q4DV/r6QnCwUFvb+OsmIiL6l2rpASs8PBzA+PHjtVG8vr7ew8MDwMaNG7VRv6HwcGWPHoMAvPHGG7f8dPz48aFDh4rBqHPnzmFhYXV1dQUFBcHBwUZGRgD09fXnzJlz9erVf2xFjFmdOnUSq3l6ev5jzMrOzh49erR4/Np58zhwRURE1HQtPWAlJCQAcHFx0UbxLVu2iMW1OnylERkZaWhoCGDevHmamVKrV68Ww42tre2qVauqq6vLyspCQ0PF1a3kcnlQUFBKSkqjGqqpqdm0aVOXLl3Eyt26ddu0adMdrzE8PFxcv97CwiIsLEwQhIKYGMHJSQAEQ0Phww+FZvnLEBERtTItPWDV1dUZGhrK5fKKigqJSyuVxaNGLfP13dCMc7f37t0rDko9//zz4jSpnJwcOzs7cVpVRUVFaGiopaWl5snB8+fPP3Bb4mR5V1dXsZqLi4s4Nib+mpubO2HCBPGn0aNHZ2dnV1ZWBgcH25mZ1To4cOCKiIioKVp6wBIEoUePHgBOnz4tcd3t2wVAcHQUamokrnxP+/btMzY2BjBr1iwxY9XW1tbW1oaFhWmeB/Tz8zty5IgkzYkxS5zID8DZ2TksLGzr1q23DFxFR0eLzy0aGhpGfP45B66IiIia4iEIWE8//TSADRs2SFlUpRJ69BAAYd06Kcven8OHD5uZmQF46qmnampqwsPDNbfz+vfvHx0dLXmLSqUyPDzc4+9rr48ZMyYnJ0ccuBLXVvXx8TnHgSsiIqIma+qS5c1AKy/M+eUXxMbCwQHTp0tZ9v74+/vv2bPHzMxs69at7du3nzx5clpamre3965du06dOjVy5EjJWxTncsXHx3///feamFVVVZWWlubj47N8+XKFQhEcHHzmzBnNk4xERET0wB6CgCW+MEfKgCUI+OADAFi8GAYGkpVtDH9//5iYGHNzc0NDQ/HJwfPnz2smRWmJQqGYNm1afHz822+/DeDw4cNDhw5NTU3t0aPHqVOnQkND9fX1tdoBIiKifwmZIAi67sM/SEtLc3V17dSpU1ZWljQVd+7ExIno3BkpKTA0lKZm4wmCYGpqWlVVVVhYKM6Iak4GBgZ1dXUGBgbvvvtucHCwuNQWERERSeIh+N+qs7OzqalpdnZ2UVGRNEHko48A4K23dJiuAGRlZVVVVXXo0KH50xUAS0vL/Pz8qKgof3//5m+diIiodXsIbhHK5fLu3bsDSExMlKDc7t344w906ICZMyWo1gQpKSkANC/GaWbiYhCal0kTERGRhB6CgAVAfOXzhg0bzpw5U1JS0qRalZWwtcWiRTA2lqZzD0oMWJoFFJqZhYUFgOLiYp20TkRE1Lo9BLcIb9y4ce7cOUdHxw0bNmzYsAGAjY2Nm5ubu7u7m5ubm5ubq6urt7u7nqnpvaqUlOC331BaCj8/ZGRAoWim3t9dSxjBampaJSIiojtp6QHrxo0bY8aMiY+Pt7GxGT9+fFZWVkpKSkFBQUFBwe+//645rNDS0gqAiwu6d4enJ1xc4OKCrl0hpq7sbIwbh1mzYGeH//s/TJ+OGTN0dEE3JScnQ9cBiyNYRERE2tCiA1ZtbW1QUNChQ4fs7e0PHz6sWY0zJycnpYH83FyrCxdQXY2zZ3H27M3z5XI4OOD115GSggUL1KEqIAC9e+PZZyGT6eCSGtDtCJZ4i5AjWERERNrQcgNWbW3tpEmT9u7da2trGxUVpUlXADp27NixY8ehQ4f+7YTiYsTHIyEB6enqT0ICMjMhCIiLw/PPqw+ztISlJXJz0bFjM17NrZRKZUZGhlwub3hdzYkjWERERNrTQgNWXV1dUFBQZGSkjY3NwYMHu3Xr9s/nWFpi8GAMHnxzT309MjPRti1++w3V1Tf3V1Xh3hO2tO/y5TIfn0cUikpjHc21f65z5xcGDjRUqXTSOhERUevWEp8iVCqV06dP3717t4WFxb59+8RX5TwIPT24usLGBsOH4+ef1TtjY9GmDdq2laq3DyY52fLMmQgzs4O66kAXPb1OJ07YXL6sqw4QERG1Yi1uBEtMV9u2bWvbtm1UVFTv3r0lKPrii5g2DePHo317nDuH9eslqNk0yckAoKP5VwAACwsA4BwsIiIiLXjQgKVSQS796JdKpZo5c+aPP/5obm6+f//+vn37SlPXyAg7dqCoCCUlcHbW+fR2ACkpgG4DlqUlAHAOFhERkRbcMyR5eNzcHjdOPeqyYwcGDcKoUfDzQ1SUhF0RBOHFF1/cvHmzqalpRERE//79JSwOAFZWcHFpCekKLSFgcQSLiIhIa+45gtVwYnhtLVQqpKbiww9x9CjatEF+PoYMwbFjsLFpej8EQXjppZfCwsJMTEwiIyNb/QvydB+wOIJFRESkNfcMWIKAU6fU26WlALB/P558Em3aAICtLQICcPQoJk5sej+Cg4O/+uorY2PjiIiIYcOGNb1gS1Zbi8uXoVDA2Vl3neAIFhERkdbcM2AplYiIUG8XFABAaSnMzW8e0LYtSkvxwQeorcXw4Rg48MFe8Ldo0aJPPvnEwMBgx44dI0aMeIAKD5f0dCiV6NIFBga660TbtpDLUVqqpel0RERE/2b3DFh6eli6VL195gwAuLtj376bB8TGYuxYLFmCnBwsXQo9Pfj4ICAAAQEYPBhGRvfTgyVLloSGhhoYGPz0009jxox5wOt4qIj3B3X0lue/KBRo0walpSgv1/miFURERK1MI58iHD8eH3+MsDD4+eHXX1FXhwEDsHYtYmIQE4MLF9Qvq1m+HCYm8PO7Mm7c1b59+/Xrp6d354b++9//fvjhhwqFYvPmzePGjZPggh4G4uJTrq667scjj6CmBvX1uu4HERFRayMTBOGuP65ciVdeUW9v3ozHHoO1NSorsWED0tPRvTueffZvd7kqKnDyJKKjER2N8+ehUm0eMmT60aOmpqYDBw4MCAjw8/Pz9fXV19cXD//0009ff/11MV099dRT2rvIliM7G3I5OnZEcTGys2FvD0GASqV+TuDGDVy/DgeHZulKVRXCw5GVBW9vjB8PmQz79sHTE507A8C5cxAE9OnTLF0hIiJqbe4ZsJqioACHDq3644+1ERGJiYma3RYWFv7+/iNGjDhw4EBERIRCodi4ceMzzzyjlT60PK++ishIxMbCyAghIfDwQGkpysoQHAwAJ05g9Wps3ar9ftTUYOhQTJmCnj3xv//h+nVs3oyZMzF9OoYPB4DPP4dKdTNeExERUWNobSV3GxsEBS0MClq4fHl+fv7hw4ejo6OPHTuWkJCwe/fu3bt3y+VyAGvXrv33pCtRt25YtgzvvafTTmzfDl9fLFwIAMOGYdAgJCTotENEREStSnO8KsfW1jYoKCgoKAhAVlZWTExMdHT0yZMnJ0yY8NxzzzVDB1qU55/H++/j6adv7vn9d6xeDQCZmc3VicRE9Op182vv3hBHGRcvRrt26q7MmtVcvSEiImptmvtdhJ07d54+ffr06dObud2WQ6HAZ5/h5Zfh66veY2mpXhCrtha5uc3SCXNzlJff/Kp5kPC99yAu8frll83SDyIiotaJCyDpwODB6NgRe/aov3brhnHjMG4c/PyaqweBgQgPR10dAFy/jpMn0a8fAOjrw8gIRka4y1OfREREdD/4/1HdWLECXbve9dcvvkBWFkaNgrZWXe3bF08+CT8/ODsjPR2rV3MpLCIiIglp7SlCupPkZLRrp57mFB+Pdu1QW4v6eri4AEBJCTIz4eODnBx06ICZM7FpkzZ7o1KhuFjdGwBKJeRy9cuwVSoAXOGdiIjowTBgtVARESguxr94rhoREdFDjLcIW6IdO1BRgZkzdd0PIiIieiC8B9Ti3LiBCxeQn4/Nm3XdFSIiInogvEVIREREJDGOYBERERFJjAGLiIiISGIMWEREREQSY8AiIiIikhgDFhEREZHEGLCIiIiIJMaARURERCQxBiwiIiIiiTFgEREREUmMAYuIiIhIYgxYRERERBJjwCIiIiKSGAMWERERkcQYsIiIiIgkxoBFREREJDEGLCIiIiKJMWARERERSYwBi4iIiEhiDFhEREREEmPAIiIiIpIYAxYRERGRxBiwiIiIiCTGgEVEREQkMQYsIiIiIokxYBERERFJjAGLiIiISGIMWEREREQSY8AiIiIikhgDFhEREZHEGLCIiIiIJMaARURERCQxBiwiIiIiiTFgEREREUmMAYuIiIhIYgxYRERERBJjwCIiIiKSGAMWERERkcQYsIiIiIgkxoBFREREJDEGLCIiIiKJMWARERERSYwBi4iIiEhiDFhEREREEmPAIiIiIpIYAxYRERGRxBiwiIiIiCTGgEVEREQkMQYsIiIiIonp6boDKC4uPnv2bElJib29ff/+/RUKxS0HnD9/XqVS9e7dWyaTNTylT58+lpaWjW1OpVKdOXPm2rVrnTp18vHx0dPT0+w/f/58wyPNzMw8PDw0X2NjY9PS0qytrQcMGKCvr3/H4oIgnDt3LjMzs0OHDr6+vrdcS1lZ2YULF0pKSlxcXLy8vG45Nzc3948//pDL5b6+vtbW1nesn5eXl52dDaBXr15y+R3CcX5+flZWlrgtl8s7depkY2Nzj78GERERaYWgO9XV1fPnz28YVhwdHWNiYhoek5iYKP507Ngxzc4DBw4AiI6ObmyLJ06ccHFxAWBkZASgR48eCQkJ4k+aXKIxbtw48af8/PwRI0Zo9js5OV24cOH24rm5uf369dMUd3V1jY+P1/y6detWS0tLU1PTTp06yeVyf3//wsJCza/vvvuuQqHQ19dXKBQGBgaff/757fXr6up8fHzE0FZVVXXHC1y5cuUtV9GvX78jR4409g9FRERETaHLW4QzZ8786quvXn/99WvXrgmCkJSU5OXl9cUXXzQ8ZuvWrcbGxvb29lu2bGlic0VFRWPGjHF1dc3Kyqqqqjpx4sSVK1emT58u/pqbmwvg119/LfrL1q1bxZ9mzZp14sSJXbt21dfXi4NMkyZNqq2tvaX+jBkz/vzzz71791ZVVV28eLG6unrSpEn19fUA8vPzZ8yYMXToUHGE6cSJE2fOnAkODhZP3LFjx/vvvz9jxoyysrKSkpL//Oc/CxcuPHz48C31P/nkk+Tk5JkzZ/7jlSYmJhYVFeXl5UVFRcnl8oCAgJiYmCb85YiIiKiRdJXszpw5A2D+/PkNd9bW1tbX1zfc4+7u/uSTT7755ptWVlY1NTXizoYjWNnZ2aWlpfX19SdPnrx06dI9WlSpVL/99ltJSYlmz8svvyyTycrLywVB2LVrF4D09PRbzrp27ZpMJluwYIFmjxi8IiIiGh4WHx8PIDg4WLNn3bp1ACIjIwVBiI6OBrB9+3bNrwMHDvTx8RG3Bw0a1L59+yXywH0AACAASURBVLq6OvFrRUWFqanpE0880bB+UlKSsbHxsmXLPvroI/zTCFZOTo5mT2Vlpbu7e9euXVUqlbinvLz8woULp0+fLioqusefi4iIiB6YzkawIiIiAMybN6/hTvEemebr2bNnk5OT//Of/0ydOrWoqOi33367vc748eNff/11Hx+fAQMGTJky5R4tymSyRx55pG3btpo97dq1EwShuLgYf41gtW/f/paz8vLyBEFwdXXV7PH39wcQFxfX8LDTp08DePzxxzV7xO1Tp04B6Ny5M4Bt27bV1NQAqKysTE5O9vb2xl9zwsaOHauZDWZqahoQECCeKBIE4YUXXnBxcXnttdfucYF3ZGJiMnfu3EuXLl28eBHAokWLbGxs+vXrN3jwYDs7u3feeaexBYmIiOgf6SxgJSUlyWQyNze3exyzfft2MzOzMWPG9OjRw9vb+253Cb/77ruXX345MzPzp59+alQfTp48aWdnZ29vDyA3N1dPT2/s2LFWVlbt27efMWPGtWvXADg4OBgYGBw9elRzVllZmUwmu3r1asNS4lcHBwfNHmtraxMTE3G/u7v7K6+8snPnTi8vr9DQ0CeffNLFxeXTTz8FUFBQUFdX1/BEsU5eXp54exHA2rVrDx06FBYWdrfJ9ffWtWtX/JUIH3vssePHj1dXV1dXVy9ZsmTp0qVnz559gJpERER0Dzp7irCysrJNmzaGhoZ3O0AQhB07dkyYMMHY2BjA008//d5775WWljYcghIFBATMmTOnsR04duzYvn37Vq1aJT6ON3r06LKyMj8/Pysrq3Pnzi1duvTUqVPnz5+3sLB46aWXPvvss7q6un79+iUlJYk3BysrKxtWE4fBzM3NG+40NzcvKioStwcMGGBqatqxY8f333+/qqpq8uTJYrt3O1GpVJaWlrZr1y43N/ett96aPXu2n59fY69RJD5IWFFRgb+G30SzZs0KCQm5cOFCnz59HqwyERER3ZHOApa5uXlZWdmNGzdMTEzueMCJEycyMzP79u27fPlyADk5OdXV1Tt37pwxY8YtRz7AuE56evqUKVP8/PxefPFFcY+vr6+vr6+4PWLECDs7u+nTp0dERAQFBa1YsaJLly7bt2//+eefe/fuvXfv3gEDBlhZWTUsKIaYoqIiMzMzcY8gCEVFReI9x+jo6Keeemr16tXz588vLS3duHHj22+/nZycfObMGfFEMWZpFBUV6evri4tQzJ8/39DQMDQ0tLHXqJGTkwNArFZcXPzNN99ER0fn5uZWVVUBKCsre+DKREREdEc6C1ienp4AEhMT7zZ8sm3bNmNj44yMjIyMDHGPtbX1li1bbg9YjRUbGztu3Lj27dtHRkZqZj7dQgxbmZmZAGQy2YsvvqiJYuITeeIMKg3xPmNGRobmZl9OTk5tba24/7vvvjMzMxMnnLVt23bBggUAFi5cKI4eGRkZpaenN6yWkZHRsWNHuVx+6NChnTt3WltbBwYGij+JNy4HDRr07rvvNpzyde/rBdCrV6/q6uqRI0cWFRW99tprrq6uNTU1TzzxxP1UICIiokbRWcCaOHHikiVLVq5c+cMPP9z+q0ql+vnnn6dOnSo+iydat27dvHnzbpn81Fg//PDD3Llzhw0btmXLloZ3G4uLiy0sLDRrmYozlhwdHW+v8OWXXxoZGY0dO7bhziFDhshksh07dgwdOlTcs2PHDgDiV0NDw7q6OqVSqZnCL26oVCqZTObv7x8ZGVlVVSXeDC0qKjp48KA4Yb9du3aa1RxEJ0+evHr16ogRI8To9o8KCgq+/vrrQYMGubu7Hz169Pz58/v37xfjWklJyf1UICIiokbT4ROM4kCOuHxUaWlpYmLiihUrxLUMoqKiAERFRTU8vqioyNDQ8NNPP224TEPv3r01K4IKgpCUlBQaGpqWlnZ7czU1NS+99BKA0aNHnz59+o+/FBYWVldXd+3a9fHHH//999/z8vJ2795tb2/fpUsXcTWEtLS0Q4cOFRQUnD9//tVXXwXw0UcfiTU3b968Zs0acXvq1KkKhWLt2rXXr1+PjIy0tLQcPHiwuDjCtm3bADz33HPi4qKnT5/u3Lmzm5ubuDTDgQMHZDLZuHHjMjIyUlJSRo0aZWBgEBsbe8c/2v0s07Bv3z7x0r799tsuXbpYWFj8+eefgiCITyZ+9dVXgiAUFBRMmzYNwGeffdaI/2ZERER0H3QZsJRK5dKlSy0sLDRpz9bW9uuvvxYEYfbs2TY2NpqloTQef/zx3r173yNg/fLLLwB+/fXX25vbs2fPHSPm1q1bBUHYvXu35sU4MpksICAgIyNDPHHZsmWa99JYWVk1TCTDhw/v0qWLuF1eXj5p0iTNkcOGDWu4HtXKlSvbtWsHQBymGjBgQHJysubX9evXa4bTbGxsfvnll7v90e4nYGmYmJhMmjQpKSlJ/FWlUomhysbGRqFQvPHGG87OzgxYREREkpMJgtC0IbCmqq+vT0hIKC8v79Spk729vTgp6urVq3K5vEOHDrccXFJSUlRUZG9vn5+fb2tra2hoePXqVYVCoVm/qrKy8vnnn3/zzTd79ux5y7k3btwQJzDdwtbWVjMzPSMj4/r16507d75lQazCwsLLly8bGRl5eHg0XKmroKBAqVQ2PDgvL+/KlSt2dna3rLwAoKamJi0traCgwMHBwdnZ+ZZfq6urL126pFAounbteo9p++JfwNnZWXM3s6HS0tLCwkJx28TERAxStxyTmJiYnZ3drVu3Tp065ebmmpiY3P5gJhERETWF7gOW5ObNm/fJJ5+0adNG1x0hIiKif6lWGLCIiIiIdEuXL3smIiIiapUYsIiIiIgkxoBFREREJDEGLCIiIiKJMWARERERSYwBi4iIiEhiDFhEREREEmPAIiIiIpIYAxYRERGRxBiwiIiIiCTGgEVEREQkMQYsIiIiIokxYBERERFJjAGLiIiISGIMWEREREQSY8AiIiIikhgDFhEREZHEGLCIiIiIJMaARURERCQxBiwiIiIiiTFgEREREUmMAYuIiIhIYgxYRERERBJjwCIiIiKSGAMWERERkcQYsIiIiIgkxoBFREREJDEGLCIiIiKJMWARERERSYwBi4iIiEhiDFhEREREEmPAIiIiIpIYAxYRERGRxBiwiIiIiCTGgEVEREQkMQYsIiIiIokxYBERERFJjAGLiIiISGIMWEREREQSY8AiIiIikhgDFhEREZHEGLCIiIiIJMaARURERCQxBiwiIiIiiTFg3RelUllQUKD5eu3aNXGjqKhIRz0iIiKilosB675kZ2dPmjRJ89XX11fcWLVqlY56RERERC0XA9aD+/HHH0+fPv3555/ruiNERETUsujpugMPjfz8/B9++EHcrq2tBfD0009r/iUiIiLSYMC6X4Ig1NfX37KT6YqIiIhux4B1v+zs7GbMmCFuh4SE6LQvRERE1KJxDhYRERGRxBiw7ou1tfWSJUs0X/nwIBEREd2DTBAEXfeBiIiIqFXhCBYRERGRxBiwiIiIiCTGgEVEREQkMQYsIiIiIokxYBERERFJjAGLiIiISGIMWEREREQSa+0Ba8sWBAQgIADTpyMvDwCmTkV+vvrXDz7AkSM67B0RERG1Sq06YMXEYP16/O9/iI7GpEmYMgUAMjJQV6c+IDcX5eU67CARERG1Sq06YG3dildegakpAEyYgOJiXLsGAEVFKChAQQGqq3XbQSIiImqV9HTdAW0qKICt7c2vtrbqm4PvvgtjYwD44w9MmqSbvhEREVHr1aoDlpMTUlMxYAAACAIyMuDgAABr1sDeHgBefFGX3SMiIqJWqlUHrDlzMGUKfHzg5ITVqzF4MCwsdN0nIiIiav1adcDq1g3ffYcvvkBBAQYPxtq1ADBqFExM1Af4+qJTJx12kIiIiFolmSAIuu6DNh0+jH378OijGDZM110hIiKif4tW/RQhgOhohIYiJkbX/SAiIqJ/kdYesFJSAMDNTdf9ICIion+Rf0fAcnfXdT+IiIjoX6S1z8EyN0d5OQoLYWWl664QERHRv0WrHsG6dg3l5bC2ZroiIiKi5tSqA1ZyMsAJWERERNTcWnXA4gx3IiIi0gUGLCIiIiKJteaAlVxVVebtXdutm647opaTk7Ny5cqLFy/euHFD130hIiIiLWrNr8qZdPBgXFzcOReXXrruCYDU1NR+/fqVlpaKj21aWlq6uLh0797d09PTxcXFxcWla9eupqam96iwdy/69oWtLQDs34+RI6FQNE/fiYiIqHFa7TINgiCYmppWVVWVlZW1adNG193BCy+88M0331hZWbVv3z4tLa2mpuaWA3r2HJ6Xd9DTEy4uNz+enjAyUh/g4oL+/bFtGwD06IFTp2Bs3LzXQERERPen1Y5gZWVlVVVVdejQoSWkq6ysrO+++06hUPz+++8eHh4qlerKlSspf0lOTk5JSbGw6H7hAnJz/3aivj6cnODmhv/7PxgaQl8fv/6Kxx7T0WUQERHR/Wm1ASslJQWAW8uY4b58+fKampqpU6d6eHgAeOONN5ycnNzc3B599NE5c+bo6ekBqK/HlStIT1d/4uORkIDLl5GSgpQUPPUUAISGYvRovreaiIiopWvlAcu9BbwkJzc3d8OGDXK5/K233gKQl5f32WefaX41MDBwdnZ2d3d3d3fv0eOJTp38Ro1C586QyQCgpgZpaUhORv/++PBD2Ntj+nSEhurqUoiIiOi+tPKA1RJGsJYtW1ZVVTVlyhQvLy8AhoaGn376qeb+YFZWVlJSUlJSEgB/f+cjR/wAGBvDzQ1ubnB1VW907Kiu9vLLGDwYBQW6ux4iIiL6J1IErNxcrF6NZcvUX599Fps2AUB0NMLCUFGBfv2waFEzT8lOTk5GCwhY165dW79+vUwmW7x4sbjHwsLi1Vdf1RxQXV2tCVtFRcMAJCfj2jXExiI2Vn2MtfXNRKWvj08/hb9/M14DERERNZIUAauyEqdP3/x66BAAnDyJt9/Grl2wscGaNZg5U/38W3NpISNYy5cvr6qqCgoK8vb2vuMBRkZG3t7et/xaXq6eepWSguRk9YOE+/cDgFIJW1tcuHDz6UIiIiJqabR2i/Dbb7F4MTp0AIAFC7BmDcrKYG6ureYaqK+v37hxY3Z2tkwms7CwaIYW7yYvD+fPuysU+kuWLGnUiW3aoHdv9O79t52dOwPAzJnYvBkbNqBHD+k6SkRERJKSaCX3CxcQGKj+VFcDQHY2HBzUv8pk6NwZV69K09bdCYKwfft2T0/P559/vrKyUhCE0aNH5+Xlabvdu1mxAocPvzB9elEP6dJQ164AkJAgVT0iIiKSnkQBq2dPREWpP+K9K3t7ZGXdPCA7G/b2CA9HYaE0Ld4mOjq6X79+U6ZMSU5OdnJyWrFihZeX159//jl06NCr2s92t7t+Hd98A5kM8+ebSVjWywsA4uIkLElEREQS09q7CGfMwMcfo6QEANatQ8+eyM/H1KlwdMSCBbh2TcKmTpw4MWLEiMDAwLNnz3bq1GnVqlVJSUmvvfbawYMHfXx8kpKShg8fnp2dLWGL9+OTT1BRgQkT0KePlGU9PQEGLCIiopZNioBlbAwfn5tfBwwAgMGD8cYbePppBAQgMRHffQelEo8+ispKrF4NV1e88Qby85vYclxc3OTJkwcNGhQTE9OuXbvQ0NDk5OQFCxYYGBgAsLGxOXToUP/+/VNSUgYPHpyent7E5u5fYSG+/hoA/np2UDLOzjA1RXY2iookrkxERERSafZ3EcbGYulS/PQTBAGGhnj2WYSE3Fzl6b4lJSV9+OGHW7ZsUalUZmZm8+fPX7RoUdu2bW8/srS0dNSoUSdPnnRwcDhw4ICrq6sUl/EPFi/GsmUYNw67d0tfvH9/nDmDY8fg5yd9cSIiImo6rd0ivJsePRAejrNn8cQTqK3F2rVwdS189937nyaVnZ09d+5cLy+vzZs36+npzZkzJzU1NTQ09I7pCkDbtm2joqKGDRt25cqVIUOGJGh/fnhREdasAYBGPjt4vzgNi4iIqIVr9oAl6tULv/yC2FhMm4ba2nX797u4uEyfPv3ed/GuX7/+1ltvubm5rV27ViaTTZs2LSkpKSwszM7O7t6tmZmZRUZGjhgx4tq1ayNGjIjTcjZZuRLl5Rg9Gv37a6W+OA0rPl4rxYmIiKjpdBSwRF5e+P575cWLF52c6uvrN2/e3K1btxdeeOHy5cu3HFhRUbF8+fIuXbqIb00OCgqKj4///vvvnZyc7rMpU1PTiIiIwMDAvLy8kSNHxmpWSZeaSoXt2wHgnXe01ALnuRMREbV0zT4H6y4SEhJCQ0N//PFHpVKpr68/ZcqUd955x83N7caNG+vWrfvoo4/y8/MBBAQEfPzxx7169XqwVmpqaiZPnrx7925LS8vffvutX79+UvW/oAAGBhDvUmZn49AhPPOMVLVvlZNT8cgjCyorz2RkaCsmEhERUVO0lIAlunTp0ocffrh161YxZvn5+SUlJeXm5gIYNmzYRx99NHDgwCY2UVtb+5///GfXrl0WFhb79u3z9fWVouOYNQuxsTh5EgoFFi5EYCDGjJGk8J21a9euqKgoLy/P1tZWi80QERHRA9HpLcLbdO3adfPmzSkpKXPmzBEE4dKlS7m5ud7e3uHh4TExMU1PVwAMDAzCw8MnTpxYUlLy6KOPnjhxouk1RTY26qUZmkH37t0BaHsyGRERET2YlhWwRM7OzmFhYb/++uu1a9dsbW0vXrwYFBQkYX19ff3w8PBnnnmmtLQ0MDAwJibmgUvV1iI2FsnJAPD661i3Drm5kvXzHjw9PaGTgHXtGn7+GRER6iVkiYiI6E5aYsASDR8+3NjYuKCgoKysTPLiCoVi48aNzz77bGVl5dixY6Ojo+/nLKUS6emIiMDy5Zg+HX37om1b+PhgxQoAMDbG++/jtdck7+wdiAErvpmfJDxyBOPGIT8fqakYNgyJic3aOhER0cNDT9cduCuFQtGtW7dz584lJiYOEFeHl7r+hg0bxH/Hjx+/a9euRx55pOEBgiBkZmbGx8fHx8dfuVJ04sTyhATU1NxSBB4esLVVD1xNmID165GWhsBAyfv7N15eXmj+Eaw33sDmzerXTXt44L//VT8wSURERH/XcgMWAE9Pz3PnzsXFxWkjYAGQy+Xr1683MTFZs2bNuHHjwsLC7O3t4+Li4uPj//zzz8TExPLycvFIfX19meyD2lqDDh3g6Ynu3dX/9u4NExMAmDVLXXPNGnTvDgCnT6NHD/Wbr6VSWlpaV1dnbW3t7e0NIC4uThAEmUwmZRt3o1IhO1udrgAMHoyFC5ujXSIioodQSw9Y0PKNMJlMtnr1agBr1qx59dVXi4uLG/7asWNHT09PLy8vT0/PHj1U3brBzOzOdV54Ac7OAODoiP37kZuLYcMwZAh27YKxsQT9rK2t3bhx4zvvvDNhwoS1a9daW1vb2dnl5eVlZ2d37txZggbuJi0Nb72FsDBYWaHhA6e1tRKHRyIiolakRQes5rkRJpPJ3nzzzW+++aa2tnbw4MHe3t7e3t5irrKysrrPIn373tz288OlS7C0xP79ePRR7NmDNm0evHt1dXXr169funRpTk4OgPT0dKVSqVAoOnfunJeXt2fPnnnz5j149XtQqbBmDRYtwo0bsLPDmjXo2ROHD2PoUACIiIC/v1baJSIiagWEFiwzMxNA+/bttd3QSy+9BGDKlCkS1kxKEuztBUDw8xNKSx+kglKpDA8Pd3NzE/9LictVCIKQkJAQFBQkk8mcnJzkcvnYsWPPnj0rYc8FQRDS04XhwwVAAISgIOH6dUEQhMREoW9f4eWXheefF4YMEa5dk7hRIiKi1qJFByyVSmVubg6goKBAe63k5OQYGxvLZLLY2FhpK2dkCM7OAiD07SsUFjbu3KioqJ49e4rRqmvXruHh4SqVKi0tbdq0aXK5HICpqengwYONjIwAyGSyiRMnnj9/XoJOq1RCWJhgZiYAgp2d8MsvgiAIe/aor6G2VoiLE5KTBaVSgraIiIhaqRYdsARBEKe3Hzp0SHtNLFiwAEBQUJA2il++LHTpIgBC797qYaB/dOzYMf+/7r517tw5LCysrq4uPz8/ODjY0NAQgL6+/pw5c3JycgRByMvLCw4ONhFn2gMBAQGnT59+8O7ePnBVWCg884x6z9KlD16ZiIjo36SlB6zZs2cDWLNmjZbq5+bmmpiYyGSyixcvaqmJy5cFV1cBEHr1EgoK7jXwc+rUqbFjx4pRydraOjQ0tKqqqrCwMCQkpE2bNgDkcnlQUFBqauotJ4rxq2HMOnXqVKM6qVQqD65fL5iaCoDQoYPwv/8JgiDs2aO+zWlsLISGctSKiIjoPrX0gLVy5UoAL7zwgpbqv/rqqwAmTpyopfqi3FzB01Po3Xu/j08vceTpFpppVQDatGkTHBxcWlpaUVERGhpqYWGhiU0XLly4RysFBQUhISHiTVXx+BMnTtxP99LT04cPHw4ga+BA9cBVcbEwZ4564GrQICEp6QGvnIiI6F+ppQesqKgoAP7+/tooXlBQYGZmJpPJzpw5o436DeXmKnv37gugW7duDTPW5cuX58yZo1AoAJiYmAQHBxcVFdXU1ISFhbVv314Tle6/h2LMatu2rXiun5/fwYMH73awUqlcvXq1qamp+DDBXg5cERERSaGlB6zc3FwAlpaW2ij+VUgIgPHjx2uj+O3y8/N9fHwAuLm5ZWVliTu//fbbhtOqxCcHXVxcxHjk6+t74MCBB2jr+vXrISEhmtEvPz+/6OjoW47RDFyJU9AKCgoKCwt3vPaaeuDK31+47V4kERER3Y+WHrAEQbC2tgZw9epViesWFAht2uT27/+n5Gsc3F1RUVH//v0BODo6pqWlCYJQX1//5ptvZmRkqFSq3bt3i0u0A/D09BSfHGxKc6WlpaGhoZaWlpqYtXv3bkEQVCpVWFiYmZkZADs7u59//lkQhD179tjb2wPIGDZMWL2aA1dEREQP7CEIWEOHDgXw22+/SVx30SIBEMaNk7jsPykpKREfjXRwcEhJSRF3RkVF9enTR4xBjo6OYWFh9fX1UrVYVlYWGhqqWTS1X79+4gquAJ5++unCwsLi4uI5c+aIewYNGpTEGVdERERN8xAErPnz5wP47LPPpCxaWCi0aSMAQlMWNXhQ5eXlw4YNE6c9bdmyRXOfzt7eftWqVdXV1dpotKSk5IMPPtDELLlcvmjRIqHBwJWxsXFoaKiSA1dERERN9hAErK+++grArFmzpCz69tsCIIweLWXNxigvLxcXuxKnt1tbW69YseLGjRvN0O6qVavERR+sra05cEVERKQNMqHhG3xbpCNHjgwdOtTX1/fkyZPSVCwthZMTSkpw7Bj8/KSp2XiVlZX29vZKpXLOnDkNl1doBtnZ2Q4ODuJ/ehMTk2XLlr300kviAvFERETUdA9BwCouLraysjIzMysrKxNXimqqkBC8/z4efRT79klQ7UFVVVWZmZnp6elVVlbq6TX3W7fNzMwqKyt9fX2///57d3f3Zm6diIiodXsIBi0sLS07duxYUVFx+fJlCcqVluKLLwBgyRIJqjVBWlqaSqVydnZu/nQFQJyMtX37dqYrIiIiyT0EAQuAp6cngLi4OAlqff45iosREIDBgyWo1gQpKSkAdJVvxCWyysrKdNI6ERFR66aDsZMHIA63LFy4cM+ePW5ubm5ubu7u7s7OzgYGBo2uNWsWCgsxebL0vWyk5ORkAG5ubjppXVwcq7i4WCetExERtW4PQcA6fvx4ZGSklZVVWlpaWlqaZr+enp6jo6OYt5Z6epo7OcHNDY6OUCjuUOWnn/Ddd6itRZ8+WLYMf70XWYfEESxdBSxxBIsBi4iISBtaesA6d+7cuHHjKisrx4wZM2PGjNTU1OTk5JSUlNTU1MzMTDFyRUVFrVAoUFsLAAYGcHGBuzvc3NQfLy+cO4evv8bOnWjTBqtW4fnnsWWLrq9MxwFLHMEqKSnRSetEREStW4sOWBcuXAgMDCwuLg4KCtqyZcstk8Fra2szMjKSk5OvZWYaJCQgJQUpKcjKwqVLuHTp5nFLliA1FUuWQFwHYeFCODqipgaGhs17NbfS7Rws3iIkIiLSnpYbsGJjYwMCAoqKiiZOnPjjjz/e/qidgYGBh4eHh4fH3/ZWVSE1VR22xI+PD44eRceO6gNkMrRvj7w8ODg0y3XcWUVFxbVr14yNjcVV1JufhYVFRzMzvRs3dNI6ERFR69ZCA1ZSUtIjjzxSWFj4+OOPb9u2rRELGRgbw9sbf70yWW3XLly+DDGKKZXIzUWHDhL3uJFSU/X69//Z2blIV8t7hlhYhFRUID9fJ60TERG1bi1xmYbk5OThw4fn5eU9+uij27Zt09fXb2rF2bPxwQcoKEB9PZYvx+jRaHrNpklKMjp16ona2lk664GlJQDwFiEREZEWtLgRrNTU1OHDh+fm5gYGBu7atctQkplSw4Zh0SLMnYsbN+Dnp15oVKdSUgBARxPcAQAWFgDASe5ERERacM+A9b//YcIE9XZMDPr0gbk5BAGHDyMzEx4eGDhQ2t5cuXIlMDAwJydnyJAhO3fuNDIykqz06NEYPVqyak2m+4DFESwiIiKtuectwpdfvrkdGoqcHAgCJk7EL79AXx9hYZg7V8KuZGVlDRs2LDMz08/Pb+/evaamphIWb2l0H7A4gkVERKQ1jbxF+NtvMDDA6tUAMHUq/P1x4QJ69mx6P65evTp8+PCMjIwBAwb8+uuvZmZmTa/ZkiUnA4AuXwPIESwiIiKtuWfAqq+/OUaVkAAAsbEYMODmAQMH4uJFODujbdumdCI/Pz8wMDAtLa1Xr1579+5t06ZNU6q1fMXFKCyEmRns7HTXCY5gERERac09A5ZCgeBg9XZiIgAY+cTzCgAAIABJREFUGqKq6uYBNTUwNsbjjyMxEf7+CAiAnx88PRvVg4KCghEjRiQmJvr4+ERHR4sLYLZu4v1Bd3fIZLrrhJkZDAxQUYHaWjzAKx2JiIjo7u45B0smg4uL+mNsDAD+/tizByoVANTW4sAB9O+PzEzk5WHHDsydCy8vODlh5kx8/z2ysv6x+eLi4lGjRsXHx3t7e0dHR4svdW71xPuDupyAJRLHHUtLdd0PIiKi1qaRc7B69cKoURg6FH374sQJvPwynJyQkYGEBMTEICYGhw/j8mVs3IiNGwFcmDjxq3bthg8fPnz48Pbt299SrLS09JFHHjl37pyHh8f+/futra0luqiWzs4OTzyBIUN03Y+vv4ZCgdZ+Q5aIiKj5yQRBuOuPV69C8yKX/HxYWUFcUb20FFeuwMUFd3zQLz0d0dGIjsaBA+936RJy5oy428XFJSAgwM/Pb+TIkfb29mVlZYGBgadPn3Zzczt06FBHzatsWrXISFRUYMoUAIiKgo0NKitRXY2RIwEgMxNHjmD69GbpysGD+PhjKJVo0wbLlsHDA0uWYPx49O8PAD/8AJWqubpCRETU2twzYDWRUnnxwoX9Bw/GxMQcPXq0oqJC3aRM5unpmZqaWl1d3aVLl8OHD+vqfXzN79VXsXkzjh2DhwdCQuDhgdJSlJWpp7qdOIHVq7F1q/b7kZ6Oxx9HVBTs7HD+PKZOxfnzmDcP06dj+HAA+PxzqFR45RXtd4WIiKgV0uZK7gqFT58+Pn36vPHGG0ql8sKFC9HR0ceOHTty5EhcXJyBgYG+vv6+ffv+PelKtGABXnoJ+/frtBM7d2LaNPVDjL16wdsbJ08CQEmJ+u2EFRUwMdFlD4mIiB5mzfSqHIVC0adPnz59+gQHB9fU1Bw/fvzo0aPPPvusk5NT83Sg5ejTB1euYMuWm3vWr0d0NACUlqJLl2bpRH7+3x72tLVV56ovv8SOHQCQlIRnnmmWrhAREbVCOngXoaGh4YgRI0aMGNH8TbcQy5Zh2DAEBKi/zp79t1uEzcHJCampN7+mpuLZZwHg7bf/douQiIiIHsg9l2kg7WjXDgsX4rvv7npAfT0yM7XZgylT8NNPOHoUlZX44QdUVKBPH222R0RE9O/CgNWsjI3/n707j4uqatwA/swMDLtsauCKuC+5UZoirihqZu6aa5v2VkZpvvLLNMusaLHUrMQiNzRTc9/NFXHDXRQ33EGRfZ1hZpjz++POOxAuIdxhFJ7vp08f5s6dc84gDM8924WtLQC89hr8/KBWw9ER5tsCqdVwc4MQmDEDmzZh+nSLtcPdHVu2YOVKDB+OS5ewZQsUCrRvD/NWGo0bo0kTi1VPRERUzllyFSGVglaLDz7A/PnWbgcRERE9PvZgPYmMRnzxBT74wNrtICIiohJhwHri5OWhXz84OyM+3tpNISIiohLhEOETJz8fN24AgJ0dKtgeYUREROUEAxYRERGRzDhESERERCQzBiwiIiIimTFgEREREcmMAYuIiIhIZgxYRERERDJjwCIiIiKSGQMWERERkcwYsIiIiIhkxoBFREREJDMGLCIiIiKZMWARERERyYwBi4iIiEhmDFhEREREMmPAIiIiIpIZAxYRERGRzBiwiIiIiGTGgEVEREQkMwYsIiIiIpkxYBERERHJjAGLiIiISGYMWEREREQyY8AiIiIikhkDFhEREZHMGLCIiIiIZMaARURERCQzBiwiIiIimTFgEREREcmMAYuIiIhIZgxYRERERDJjwCIiIiKSGQMWERERkcwYsIiIiIhkxoBFREREJDMGLCIiIiKZMWARERERyYwBi4iIiEhmDFhEREREMmPAIiIiIpIZAxYRERGRzBiwiIiIiGRmU/oizp07FxcXp1AomjdvXrt27SLPpqSkXL9+vXLlyoWfOnv2bHZ2drt27R5R7M2bNxMTE59//vnCB7Ozs8+dO9ewYUM3N7fSt7z4tm7dGh4evmrVKoVCUbISTp06dePGDS8vrxYtWtjb2xd5NiYmJi4uzsnJqVWrVp6enubjOp3u8OHDycnJdevWbdGixcMK1+v1R44cuXfvXp06dVq1alXk2cTExLNnz+bl5TVp0qROnTrSwdTU1GvXrt1fVNOmTePi4rRabZHj7u7uvr6+xX+/REREFZoohePHjxf5qz948OCsrKzC57z77rsAWrZsWfjgwIEDGzRo8OjCJ0yYYGNjU+RgVFQUgHXr1pWm2SUwePDgESNGlOy1Fy5caNmyJQApV/n4+Bw4cMD8bGxsrJ+fHwAbGxuVSmVvb3/58mXpqejo6Jo1a5pf2KlTp7S0tPvLP3nypI+Pj/k0f3//5ORk87MzZ860s7Nzd3f38vJSKBQjR47U6/VCiKVLlz7w5+HcuXONGjW6//jAgQNL9vaJiIgqoJIPEV67dq1r167p6embN2/W6XR5eXmrVq2KioqKjIw0n5Ofn7969eq6deueOnUqJiamxHVZl1ar3bZtW//+/UvwWr1e36dPH5VKdeHCBY1Gc/78eSHEkCFD9Ho9gLS0tG7dumVlZe3bty87O1ur1e7evbtevXoAcnNz+/fvL4SIjY3VaDTr168/fPjwO++8U6T8vLy8AQMG5OXlnT17VqPRbNmy5cSJE+PGjZOePXDgwNSpU4ODg5OSku7cuRMREREREfHzzz8DGDJkSOo/DR06tGbNmvXr1z9y5Ejh4ydPnlQqlV27di3VN5GIiKhCKXE0GzNmjI2NzdmzZwsf1Gg0hR/u2LEDwPbt2z09PT/66CPzcXMPllarjYuLE0IkJiZGRUWlpKSYzyl+D9bs2bPXrl1bzGanp6ffvn1bCJGcnBwZGXnx4kXpuMFgOH78+IkTJ7RabZGXrFu3zsHBITs7Wwhx9+7duH/Kzc19dI0HDx68ceOG+eGsWbMAnDt3Tggxffp0AAcPHrz/VUuWLAGwatUq85Fx48YplcqEhITCp/35558AIiIizEfee+89hUIh1fjDDz+Y65I4OzuPHDny/uru3r1rb2//3Xff3f/UhAkTPDw8pLdPRERExVHCHiwhxKZNmzp06NCsWbPCx4vMLlqxYoWXl1e3bt0GDhy4bNkyo9FYpJxTp07VrVv322+/rVWrlr+//+rVq0vQmBUrVuzZs6eYJy9cuLB9+/YzZ86sVq1ajx49GjZs2K9fv+jo6AYNGnTo0KF169YNGjQ4f/584ZesXbu2Z8+eTk5OAN577726/3Ts2LFH19iuXbtatWqZH3p4eABITU0FsHHjxmefffaBc9GOHDlia2vbp08f85F+/foZjcYi1R05ckSpVL788suFTxNCHD16FIBU79KlS4UQAC5dupSTk/Pss8/eX93cuXNtbW3ffPPNIsczMzN///33d955R3r7REREVBwlnOSenJyckpLSoEGDR5yj0+nWrVs3cuRIlUo1YsSIBQsWREVFBQQE3H9mRETE/v37PTw8KleuXPi4EGLBggWFj1y9erVkDS7s5s2bhw8fjouLq1Gjxk8//TR+/Pjjx4//+uuvQUFBt2/f9vPz++yzz6SeIQB6vX7jxo2zZ8+WHi5cuDAsLAxAbm5ux44dpVw4f/58qa+oMF9f361bt95f++HDh9VqtRRMz58/37t379mzZy9fvvzq1auNGjWaNm1aUFAQgPj4+KpVqxYOrNJ8rPj4+MKlxcfHe3h4ODs7P/C0l156qWfPnqGhobt27Ro1atSCBQsGDBjw/vvvF2lSbm5uWFjY2LFjXV1dizwVFham1WrvH5okIiKiRyhhwMrJyQFQJA8VsW3bNmlmD4CAgAAfH59ly5Y9MGDNmDGjTZs29x/Pz8//4osvCh/Jy8szf71p06bk5GQASUlJsbGxixYtAuDj49O5c+d/bf/ChQurVKkC4JVXXhk/fvxbb73Vs2dPADVr1uzYseO5c+fMZ+7duzcrK8vck+Tk5CT15Xz88cepqam7d+9WKpXdunWrVq1akSoKhx6zS5cuLV26dPz48W5ubnl5eVqtdv369YmJicOGDXN1dQ0LC3vxxRf37t3boUOH1NRUFxeXwq+V0k9KSkrhgw87Teohs7GxCQgI2Lt3r729/YQJE4QQ0tss4vfff09PTx8/fnyR43q9ft68eSNGjPD29n7ot5KIiIjuU8KAValSJQB37959xDl//vmnWq3ev3+/NO29cuXKK1eunDNnjp2dXZEzbW1tH9w4G5sbN24UPnLw4EF/f3/p67/++uvChQsAEhMTc3JypI6lrl27Fidg2diY3rijoyMAlUplfsrBwaHwJgVr167t2rWru7t74Zdv27Zt/vz5y5cvl/aeqF+/fv369f+10uTk5IEDB9asWfOTTz4BoFar7e3tg4KC1q5dK+3+MGDAgFq1as2bN69Dhw5Vq1a9ePFi4ZdL0crLy6vwwapVq0ZHR99/2jPPPANg7ty506ZN27VrV+fOnRMSEubMmTNr1qz4+Pjly5ebz8/Pz58zZ87gwYPNOziY/fnnnzdv3gwODv7Xt0ZERESFlTBgeXh4eHt7x8bGPuyE3NzcDRs2eHt7m6dVCSHS0tK2bt3ar1+/klVaxMKFC6Uv2rVr16ZNmzlz5shSbGFGo3HdunXSVHSze/fuvfbaa2PGjBk2bJh05NixY4cOHSryWnd395EjR5of3rhxo2/fvjk5Ofv375c6mRQKRbVq1fR6vXlvLXd39zp16kiZslq1asnJyZmZmVKWBXD9+nUA1atXL1xLtWrVMjIyUlNTpald5tNq1KgBIDw8vG3btlLirFat2tdff52cnLxo0aLw8HAHBwfp/HXr1l25ciUiIuL+t//9998HBQU9Yv8tIiIieqCSb9MwaNCgw4cPS8v67rdp06bs7Ox169Yd+x9p06xly5aVuMayd+jQocTExL59+5qPCCHeeOMNR0fHwnnu8uXLG+9TeN79jh07/Pz8HBwcIiMjpegjadGiRVRUlDTeCiAzM/Pq1atST1LHjh3z8/PXrl1rPnn16tV2dnZFZsR37NhRCFF4ccDq1attbW3bt28PwM7OTqPRFD7fvDDTfGTWrFkdO3Zs27Ztkfe+a9eukydPfvjhh8X/dhEREZFJidcfJiYment7e3p6hoeH37lzJzk5ec+ePWPHjpXW8/fv379hw4ZFXvLNN9/Y29unpaWZt2k4fPgwgM2bN5vPWbZs2dy5c8XjbNMQEBAwceLEwkcOHToUGhqanp5+f7Ol2eipqanSQyl/fPnll+YTRo4cWbduXenrDz/8MCAgoPDL586dq1QqN2/ebN4m6v5tHQozGo0zZ85UqVRt2rSJiooyx807d+4IIXbv3q1QKPr373/mzJlz58717NlTqVRGRkYKIfR6fZMmTdzd3Xfu3JmUlPTTTz8plcoPPvhAKva7776TdnAwGAwtWrRwdXXdsmVLUlLSggULbGxs3n77bem0qVOnAvjiiy9yc3Pz8/M3btzo4ODw8ssvm5t35MgRAOvXr7+/5b169WrWrJnRaHzEuyMiIqIHKtVO7leuXAkKClIqC7rB/P394+LiMjIyHBwcPvnkkyLnx8fHq1Sq8PDwRwSs7t27165dW5RuJ/cvv/wSwLVr1+5/6rEClq+v7/fff1/45YU3XJDMmTPnES152PaqoaGh0gm//vqreRCwSpUqy5YtM7/2ypUr5rn/KpXq1VdfzcvLk57y9PQcMGCA9PX169el/ioASqVyxIgR5t3I8vLyJk6c6ODgoFQq7ezslEplv379zO9dCDFgwID69evn5+cXaXZsbKxCoVi0aNEj3hoRERE9jEIUGi0qmeTk5MuXL9vb29eqVUu6j15eXl58fPwzzzxz/+ZJN27ccHJyUigUer3ey8tLOtPLy0uabA4gKSnJYDB4e3unp6dnZ2cXHlADoNPpEhMTq1Spcv/t/ApLT0/v3bv3rl27zDONzDIyMlJSUnx8fKRcKIS4du2ah4eH+eaG9+7dy8vLq1mz5smTJ1u3bm0es5PcvHnTYDAULtDT0/P+3Q0KN/j27dv3Hy9cY15eXmxsrEqlatiwoVqtLnLm1atXU1JSfH19C9+jMCEhwc7OrvCR69evJyUl+fj4SKsjC8vOzr5y5UpWVlb9+vWLzJG/fv26k5PT/S/JzMxMTk6uVauWeTUAERERFZ8MAevJNHLkyAdO3C4+nU6Xm5tbxneVJiIionKg3AYsIiIiImsp+SpCIiIiInogBiwiIiIimTFgEREREcmMAYuIiIhIZgxYRERERDJjwCIiIiKSGQMWERERkcwYsIiIiIhkxoBFREREJDMGLCIiIiKZMWARERERyYwBi4iIiEhmDFhEREREMmPAIiIiIpIZAxYRERGRzBiwiIiIiGTGgEVEREQkMwYsIiIiIpkxYBERERHJjAGLiIiISGYMWEREREQyY8AiIiIikhkDFhEREZHMGLCIiIiIZMaARURERCQzBiwiIiIimTFgEREREcmMAYuIiIhIZgxYRERERDJjwCIiIiKSGQMWERERkcwYsIiIiIhkxoBFREREJDMGLCIiIiKZMWARERERyYwBi4iIiEhmDFhEREREMmPAIiIiIpIZAxYRERGRzBiwiIiIiGTGgEVEREQkMwYsIiIiIpkxYBERERHJjAGLiIiISGYMWEREREQyY8AiIiIikhkDFhEREZHMGLCIiIiIZMaARURERCQzBiwiIiIimTFgEREREcmMAYuIiIhIZgxYRERERDJjwCIiIiKSGQMWERERkcwYsOhJcv48fvsNq1YhIwMAkpOxb5/pKaMRa9dasWlERETFx4BFT4xFixAcDBcXJCSgUyckJODqVfz0k+lZgwEhIVZtHxERUXHZWLsBRAAAoxGfforTp+HqCgCOjvj+ewwZYu1mERERlQQDFj0Z4uNRtaopXQF44QWsWoUhQxAdjVdfBQCj0XqNIyIiejwcIjQxGLBgAbKzTQ9XrLBqayogR0doNAUPNRo4OQFAs2b44gt88QVmzLBW0552yclITzd9nZKCnByrtoaI6CGEQFpawcPMTOs1RQ4MWCZ6PcaPx2efmR5Om2bV1lRAnp6wtUVsrOnhX3+hSxcAcHBA9eqoXh3VqlmxdU+1qVPRqRMMBgAIDcXOndZuEBHRg6Snw8MD69cDgMGAtm2t3aDS4RBhgaZNcfw4zpxB8+bWbkrFtGABRo+Gnx/u3IG9PWbMwOnT1m7TE2HPnj3fffedj4+Pi4uLSqWqVKmSQqFwc3MD4ObmZmPj4uzcS6mEiwtsbODsDFtbODrCzg729nBwAAAvL8ybhw8+sPIbISJ6tKZN8dln6NYN9vbWbkqpMWBBo8HRo3juOSgUmDUL775bsDOANel0+L//w8mTsLGBhwfmzUOVKtZuk4U99xyOHMG1a1CrYWMDOzu0aoUFC0zPqtWIirJq+6zj9u3bAwcOTE9PF0I88IS6dZvExfV62MuHDIG7OyZOxOTJGDTIYq0kIvqnjIwMnU6XlZWl0Wi0Wm1GRoZer9dqm2Zk1NBqkZkJvR4ZGcjLQ24usrOh02H6dLi6YtQofPopQkOt/QZKrYIGrOxsHD6MAwcQFYUDB6DV4sgRAGjVCi1bYtEiKzcPAH74AQoF9uwBgMWLERyMP/6wdpssT6nEqVMYPBiDBmHlStjaws2t4NlyHzEfZMWKFWlpaQ0bNnzvvfeys7MNBkNWVpbRaMzIyACQlpbm7u7j6wshkJmJ/HxkZcFgQE4OdDpoNKarQHt7zJyJiRNRu7aV3w5R+aHTISkJ1aubHmZlwdERKhUA5OZCpYKdnRVbZxXR0dF9+/ZNT0/XarUPPMHfPyIqasTDXv7eewAwbhz8/RETY6E2lp0KFLDu3cuPjFRFRmL/fpw5g/x803GVCi1bmja2BDBzJrp0eQKWrG3ciCVLTF+PHo0pUyAEFAqrtqlM1K0LIXD2rLXb8aSIiIgAEBoa2q9fv7S0NADm8cFi+s9/AOCllxAejgMH4O9vmYYSVSiTJ+PgQdSrh7NnERqK7t0xYgQ+/xwtWgBAaCjq1sWYMdZuZVn7+uuvk5KS8vPzAVSqVMnW1tbV1dXe3t7BwcHFxUWtVjdp4l2nDhwd4ewMtRpublCr4eQEJyeo1aYrQKUSc+di0iQrv5fSK+cBKyEhISoq6sCBA1FRUY6OrSMjTeNNNjbw84O/Pzp0QLdu8PAoWMHm6ooJE/DJJ1Zrs0laWkHnjUIBW1vodBXieqhJE6jVuHwZublwdLR2a6zs/Pnzp0+fdnd379WrF4ApU6bMnz/f/Kyrq6tSqXRxcbGzs7O3v6RW/2PqlZ0dHB3RrVtBaXPnokmTsn8TROXOhg24ehWRkVAocPcuOnbEqVPWbtMTITo6Oj8///Dhw22LMUE9LQ16PbKzkZuLvDykp5vW4gB4/nnUr4/4eMu21tLKYcCKjY2NjIyMjIzcv3//zZs3zccbNTIEBiIgAB07om1bODjAYMDp0/j1Vxw4gCtXTKOEAEaORNeuCA3FpEmwsdZ3qH59nDuHgAAASEmBrW2FSFcA1Go0aICYGJw/j+ees3ZrrGzJkiUAhg4damdnB8DR0dHd3d08PmgeJXRycnrY5gvu7hg7FrVqAUCtWlizBk2bllXricqrPXswZIhpSMHLC40a4dw5APj7b1y+DACxsahb15ottIaYmJibN296eXm1adMGwLRp0y5evKjT6XJycrKzs/V6fVpamk6nq1OnzZEjf+l0Dyhh9WpMnmz6+ssvTcsJn17lKmBt3Ljx1VdfTU1NNR/x8PDw9/fv2LFjQECAn5+fjQ2yshAVhS++wP79OHoUeXkFL09ORqVKAKBQYPhw7N8PW1t8+GHZvgchYDDA1haTJuHDD/HDD3B2xiefFPzQVQTNmyMmBmfOVPCAZTQaly9fDmDkyJHSkVmzZs2aNct8gjRimJmZmZ8vsrOh1xdMvdJqodVCo0GrVvDzM50/dCjWrMHJkwWTRoioJLRaqNUFDx0cTIMg6elwdgbwj139Koxt27YB6NWrl0KhALBhw4YzZ87cf5qnZx0pXbm6Qq2GiwscHGBvj0qV4OmJzp0BID8fr76KnTvRpw8qVy7D9yCrchWwJk6cmJGR4eHh0b59+w4dOgQGBrZq1UqpVGZmZh49enTq1KkHDhywtW2+d+/P5pf4+iIwEP7+6NzZdJUv+fhj7N+PTz7BwIHw8SnD9zBvHn79FUuXokMHhIXhzz+h0+Gdd9CjRxk2wtqefRYAp2Ht3bv31q1btWvXbt++/QNPcHd3N/+/OJycYDBgyxY0ayZbI4kqombNEB2Nfv0AID8fZ86gUSMAGDTINAfraR/cKpHt27cDCAoKkh5++umnBoPB1tbW2dnZyclJrVa7ubnZ2tq6uLhLkxkeQaVCfj40Gvzxh2nm+9OoXAWsrKys/Pz8c+fOeXl53b59e9++fb/++mtkZGRsbKx5iXvduqnt2iEgAAEB6NABD5sr3KMHBg/GqlX48EP89VdZvYG4OEyZguxsXL6M+vXRvDlatiyrup8k0kZkD7r0qVCWLVsGYPTo0QqZFjf06oWFC7FlS8XqDyWS32uvoUsXuLujSRNERGDwYFStau02WVlOTk5kZKRKpQoMDJSO9O/fvzQFjh6NzZuxZMlTHLAUD9tc56kjhLCzszMYDFqtVq1WDxgwYO3atdJTjo6OrVq16tChgzRc6Gq+4d0j3b2LRo2QkYGNG9GnjyWbLjEY0KEDjhzBmDFYtAijR+PmTSxeXBEX1t++jZo14emJ5GRrN8VqtFqjr2/DO3euXLhwoWHDhrKUmZmJypUhBJKSHnppQUTFotFg/XrcuYPnn0eHDgCwYweeew4eHgBw/DgqVUL9+tZtY1natGnTSy+91K5du4MHD8pSoFYLb2+kp+Ps2ae107383ConPT1dr9e7urqq1WoAvXr16tOnz9dff33w4MH09PQDBw6Ehoa+9NJLxUxXALy88OmnADB+fJncvi00FEeOoHp1/PAD1q/H0qWIjv7HHLGKo0YNeHggJUUkJFi7KVazYYMyM/PSiBGxcqUrAJUqwd8fBgPvlkNUag4OGDYMdepg0iR8+y0A9OhhSlcA/PwqVLrCfeODpWdvjyFDACAiQq4iH9+JE1i4EJs344Fz8v9N+QlYycnJACr/bzrc2LFjN27cOHny5Hbt2tna2paszPfeQ6tWuHEDX30lWzsf7NQpfP45FAqEh8NgwFtvAcC336JBAwtX/IT6oVevxp6e2604SmjtndAiIpCTo2jTppG8xfbqBQBbt8pbKlFFpdPhyBH8/be122F9Bw9eANCzZ08Zyxw9GgCWLi3Yt7JMzZyJmTNhb48jR9C5Mx6ydeojlNuAJQuVCmFhUCrx7bcFtyGWX14eRo+GTofgYAQF4T//QWIiAgPx9tsWq/JJd93T80JKygNXoFjcF1/A3x89eyIw0JL/6o+Smort22Fjg6FDZS75xRcBYPNmqwdIonKhc2coFDhwoGQ9HOXGlSs4dWpn+/Zpz8m69NvfHw0bIiEBu3fLWGrx3LuHZcuwahVeeQUzZqBDhxLc44UB6188/zzGjsVzz12fMuVtS81XmzoVZ8+iYUN89RXCw7FmDdzc8PvvFWLf9od49tlnAZwt+4WEa9fi+HHs348dOxAaiuHDrZJE/vgDOh2CgvDMMzKX3LQpfHxw7x5OnJC55OK6excXLxbsJ0j0VKtaFU2aIDcX0dHWboo1bdsGoxE+Pm4q6U5B8hkxAkDBbU3KTmwsWrSA+e20a4fTpx+3DAasf/fVVxlXrrRdt26+tKpLXjcOHcK8ebCxwZIlSEzExIkA8NNPqFlT9rqeIlLAskIP1ubNeOMN0y/Vc8/B3h6F9qotM9KcgxEPvWFXqUijhLt3l8G8wn/SaPDyyxg/HnPnok0bHD5c1g0gsoQuXQCY7htbUW3bBgDyzb/6rOxyAAAgAElEQVQqMGoUbGxw9eq9rKws+Ut/BAeHf4wJarUluLMIA9a/c3d3/eabbwBMmjRJ2tpRLtnZ2V1Hjhzu45Mxcyaeew6vvYbMTPTrh+HDZazladSsWTOlUhkbG6sr4473jAwUXgbh6lpwl8qyEheHI0fg5IS+fS1S/ssvX6hW7YU1a7r9+6ny+vFHtGyJ1avx00/44w+MG1fWDSCyhAofsPLysG8fFAp07y5/4T4+6NnztYMHn1m9erX8pd8vMRHXrgFA06Y4fx7mfcvXrUOnTo9bWPkJWEJ06djxz9q15ZxhZzZ69OguXbokJiZOnTpVxmInTpx49erVCw4ODhMmXAgPx/798PLCr7/KWMVTysnJqW7dunq9/sKFC2VUpTT+26BBwQanBgMuX4avbxk14H+WLoUQGDQITk4WKb9jx9ppaWeio6Pv3btnkQoeJjKyIDNKSyMr8DYcVH507gylEgcPlmASdPmwfz+ys9GqFby9LVJ+//4B+N99wywrIQGdO6NLF9y4AScnzJqF7t0RHIwePVC1agkuectPwLp06bn9+4fY21vkulyhUMybN8/W1nb+/PmHZRra2LFjx2+//WZnZ7d48eK4uLhWwcHjmzXThYc/xfcFkFXz5s1RZtOwbtxAYCCWL8e77+Knn7B+PU6fxvjxGDQILi5YtKgso8AffwDA/+6OIz8HB4dOnToZjUZpWXXZ0etReD2vWl3B5wVTOeHhgebNodVaZ9Q7PR2vv47u3dGlC6ZOtcrsRumDRNblg/8wZMgQZ2fnffv2Xb161VJ1ALh1C50748IFuLubRgNfegmHDuGtt/Dnn/jxxxIUWX4ClvQX0HLhpEmTJhMnTjQajePHj88v9ZrRlJSUV199VQjx5ZdfNm7ceMyYMVqtVte2rbp3b1laWw6U3Tz38HA0b47du/H55/DywvbtiI3FkiXo0QNff42NG/H662jdGkePWrwlwL17sLdHtWqmYQcL6dWrF4CtZbBbQ24uxo0zzWNr2RLmHQhTUpCebqkLXqIyZsVRwvffR7t22LkTu3cjORnz5pV9Eyw3AUvi7Oz88ssvCyEsMQ3a5OZNdOmCy5fRqhX+/hvJyejUCQkJUKvRtCmKfTuyokR54e8vABEZacEqcnJy6tSpA+DHH38sZVFDhgwB4O/vbzAYPvnkEwA+Pj6ZmZmytLN8WLNmDYCqVatGR0dbqo67d0XfvgIQgBg0SNy794Bz4uNNP1s2NiI01EINSUsTa9cKo1EIIbKyxIYNFqrHJC4uDoC7u7ter7dgNfHxws9PAKJTJyGEuHtXtG4tvvtOLF0qOnUSy5dbsGqiMnR727bP27QZ2rOnFequVk3k55u+vnRJBASUcf23bglAVKokdDoL1iJ1t9erV88ofUrK69o1UaeOAISfn0hJESdPisqVBSDeeaeUBZefgNWwoQBEbKz8Jet0up9//tlgMAgh1q9fD8DR0fGNN96YOnXq7Nmzly5dunXr1ujo6OvXr2dnZxenwIiICABOTk6XL18+fvy4ra2tUqncs2eP/E1/mp0+fVr9v/vVN2nSJDQ09O7du3JWsHKl8PQUgHBzE2FhjzpTrxchIaYcNmKEKN6/8mM5cULY2IilS4UQ4vJlUQYf1A0aNAAQabkrktOnRa1aAhC+vuL8eZGZKQwGkZUl1qwRixaJS5csVS9RmUtPT1epVGq1uph/AmSj0YjatQsepqSIxo3LtAFCrFolFArRv79la8nPz69ZsyaAqKgomYu+eFHUqCEA4e8vMjLE8eOmvwu9egmNppRll5+A5eEhAJGUJH/JY8eOBfD6668LIWJjY+3t7atXr/6wHkF7e3tvb+8mTZr4+/v36dNn1KhRISEhs2fPXrx48YYNGyIjI3fv3u3u7g7gt99+02g0TZs2BTBp0iT52/30W7Vqlb+/f6VKlaTvrY2NzYsvvvjHH3/k5uaWqtx798TAgabAFBQkbt0q1qvWrhWurgIQjRuL8+dL1YD7nDgh+vYVLVqI1FTLBqysrCzpiwkTJgCYMmWKRarZskVUqiQA0b69SEwUt26Jli3FxIkWqYvoCSBtsLlz586yrrhOHZGebvo6MlK89FLZVGswiKtXTV8nJIj9+y1V0c2bN6UvQkJCALz11ltylh4bK6pVE4AICBCZmSI62pQk+vQRWm3piy8nActgEEqlUKmEwSBzydIGDQ4ODocOHUpOTq5Xrx6ATp06zZs3b8aMGcHBwSNGjAgKCmrdunWtWrUcH2efjHbt2knRrXHjxqVNDOWaRqPZsGHD4MGDzR1aDg4OgwcP3rBhQwlGuNauXRves6epU/u33x7vxTExolEjAQhX1/z16x+36ofJyREnTojhw8WSJeKttywVsIxGY1hYmKen5+nTp4UQO3bsANCyZUv5a5o9WyiVAhDDhgmNRkRFiapVBSCaNhX/i3dE5cx///tfC16x3M9oFJs2CSHEDz+IYcNEXJw4fVq0ayd27xanTonWrcXx4xatPyFBAOLPP4UQIitLWOKDRAgRFhZmZ2e3ZcsWIcS5c+cAuLi4xMXFyVL46dOn/xsQYHR2FoGBIidHHDhguiwcPFiu8c5yErASEwUgqlSRudhNmzapVCqFQrF8+XKNRtO+fXsAfn5+j+gH1mg08fHxMTExkZGRGzZsWLx4cWhoaHBw8KhRo/r06ePv7+/r6ysFBalkGxubo0ePytzucio1NTUsLMzf31/xvz3uq1WrFhwcXMxxrrS0tFGjRkkvvPz66+L69ZI0IitLDBliVCgGvPBCcHCwrhS/hzExIjRUBAYKT09x9KgYPlwYjaJzZ/HHH/IHrJs3b/bo0UN679OmTRNCJCQkqNVqtVo9fvz4U6dOyVONXi/eflsAQqEQ06cLIcSffwoHBwGIHj1EWpo8tRA9ebZs2SJdNpdFZZmZon9/AZguEf/6S7z5phg/Xhw8KIQQ/foJQNjais8+s9zEqIQE8fzzomVLkZFhkYCVlZUlzVRWKBShoaFCiH379tnb29eqVQuAr69vcHDwzp07tSXtZzpx4oSnpyeAua+/LjQasW+fcHExXRbKNzO1nASsc+dMQzcyOn78uJOTE4DQ0FCj0ThixAgA1atXv337dukLX758eeG/dvRYbty4ERoaWr/QzeqbNGkyffr0q+Y+6/ts3769Ro0aUu9XaGhovnlaaAkYjYcXLLCxsQHQtWvXxMTE4r80I0OsWiVef114eZmGKAFhby/++EMMHy6EEDExon590bOnyM2VbZ7SypUrPTw8pFntS5cuFUJs2LDBy8tLmghY+BtYmkvDlJSUiNdeEwqFcHISf/0ljEYRGioUCgGIceMsOwOWyNqysrJsbW1tbGwyMjIsW1NsrGjcWADCw0Ns2/aAE3JzRUiIqRf52Wct1JWVkCC6dhXh4eK99+QPWJcuXWrWrJnUX7V69Wqj0fjNN99IH7l169Z1dnY2f/JLCwx/+eWXR3z43+/YsWNSunrxxRc1Gs3RXbuM0sjga6/JOwpWTgLWoUPC0VF06CBbgfHx8dLf49dee00IMW3aNOkfWxpekYU0Zj9v3jy5CqyAjh07FhwcXLVqVemXTalU+vv7z549Ozk52XxOTk5OcHCw1On1wgsvXLhwQZaqIyMjvb29pcz9r/MuY2JifvnlTJcuwta2IFfVqiXeekusXy+ys01DhJJJk0TPnuK114SLi1i5slSNTExM7N+/v/TN6d27d3x8fEZGxrj/baHevn37NWvW/Os3sDguXLgg5d0dffuKY8eEVitGjBCAUKnEnDmleg9ET4l27doBkMazLGXdOtMwVsuW4tGXQwcOiAYNTMufQ0JEXp5cTTh2THzyiYiPF127ivx80aGD2L9fzoC1adMmNzc3AA0bNjx37lzhrqyQkBCDwWAwGI4dOzZ9+nQ/Pz9FoTv2+vr6jhs3buXKlY9ejx8VFSXN633ppZe0Wu3mzZvt7e1DWrc2vPOOKM2F94M8BQHLYDB1fEoOHCj67M6dpstjnU6Y/9KV5s9oZmZmixYtAHTs2DEvL++PP/5QKBQqlWrjxo0lL/Q+q1atAlCrVq3SDDOREMJgMOzcuXPUqFHm/hh7e/s+ffqsXLlyz5490rQ5W1vb6dOnG2S9Orl37163bt0A2NjYhN63g0Nubu7OnTtDQkIaNmwI4IUXBkl5w89PTJ8ujh0ThZcba7XC3BGm1YqbN8WwYaahtkmTSthjvXLlSunOUa6urmFhYUKInTt3Sh3s9vb2hbvx7v8G2tnZSd/AvGJ8LkdGRkoVNW/e/MaNG/o7d0TbttJMtQdfYROVR1OmTAHw3//+1yKlGwwiJMTUJTx8uMjJ+feXyNqVFR8vZs8WrVqZrg/XrRNduwohxMmT4oUXRMuWIi2ttFuvGI3G0NBQpVIJoG/fvunp6UW6su5/SWJi4sqVK0eNGiV10ps//wMDA0NDQ48dO1bk/MjISBcXFwBDhgzR6XSbNm2yt7cH8J///McSG0A8BQErM1M0bVrw0Nf3H314OTlCoRDffGN6WK+eEELcvSsmTBAlW9RvMBj69u0LoFGjRqmpqZGRkXZ2dpboasrPz5eWEC5ZskTekius9PT08PDwzp07S7+i0m+aNG0uJibGEjXq9fqQkBDpKuqVV17Jzs6+cuXKjz/+2LNnT6lqyTPPPPPWW+/9+efjTUMKCxNqtWmBS0LCY7wwLS3N3E3VvXv3mzdv5ubmhoSESN+WNm3axD5kO5OMjIzFixf36dNH6o2XRhVHjRq1c+fOh336/Pbbb7a2tlIPWWZm5pkzZxrXq5fWsqWoU0dY5ntO9GTauXOnNGj1008/paamyll0UpIIDCzhbnx79ghfXwF837XrjBkzHvd6PjdXLFsmgoKESmWKVlWrivffF4cOmQKWECI4WLRsKcaMMW1uUMxl2UVkZGT069cPgEqlkqblFOnKevTLpW6t0NDQwMBA88cXAC8vr1GjRq1cuTItLW3fvn3S8OIrr7yi1+tXrVolfXZ9+OGHFtleq3wErBYtRJs2pinLUsDasEEMGlTC3RrHjx8PwNPT89KlS3FxcVWqVAEwYcKE0ryFh1m0aBGAxo0bl2pKEN3n5s2boaGh1atXV6vVHTt2tHQf4cqVK6WrIumnxTzc1qZNm88++yw6OrrE/77R0aJ2bdOH2q5dxXrJ1q1bpW1EHB0dZ8+ebTQaDx48KO16ZWtrGxISUpzvxu3bt2fPnt26dWvz26lVq1ZISMjFixfN5xiNxunTp0vPBgcH5+fnb9y4Ufo+jOrZ88G7thKVX6mpqa7/u1W8SqXy8/MLCQnZuXNnKbfzPXr06LRu3YStrfD2LuFW2llZiZMnOzg4AGjdunVxJroYjcaoqEuvv24akASEnZ3pr6r0+aHRiL17TSdnZIgdO8SiRcLNzTQ3TNrSr/hOnz5dt25d6S/vjh077u/KeqzSkpKSli1bNmrUqGeeecb8CWZra6tSqQD07NkzPz9/xYoVUg6bPHny47X1cTwdAatKFfHxx6b/3NyKBiw/P7Fzp2n7DylgCSG2by9JXXPmzAGgVqv37NmTkpIi/Vnq3bu3vENLZjqdzsfHB8Bff/1lifIrOOlWMH5+fmVQ18WLFx0dHatVq+bk5NSnT5+wsLD4+HhZSr537x/Xro+40Coyv+rSpUsajSYkJET6WGnWrNmJEycet/aYmJjp06dLP6USPz+/2bNnX7169eWXX5aGR3/++WchRFhYmPSBNXToUG47QhXTqVOnBg8e3LVrV/OeMtJ11/Dhw5cuXfpYC2Ikv/76qzSEsuHVV0XpPlIOHDggTZSULrQeNvovLSGqV6+ei0slR8ccaXvz2bOLdcV0545pCaPUlVXM9WDLly+XJie0atXq6tWrGRkZ0meLuSvrcd5lUTExMVK3lvlfxMbG5sMPP5Q+rEJCQkpT+L96OgKWr684fNj0X/XqDwhYQoihQ8WGDaJePZGUJH78UTxm5BVCiC1bttjY2CgUiqVLl+p0uq5du0r/5FmW3Lxn3rx5Ui0W6qKsyLRarbOzs0KhkCvrPEJ0dDSAypUrl3jZ8CPo9eK//zXNvpgwYcEDfyCLzK8yGAynT5+WphLa2Ng84vO0OKRJWmPGjJE6qKT+OQAODg5///23Xq9/9913ASgUiunTp/MnmSgnJ0eagtm4cWMU0qRJE6lb619/H7VabXBwsPSqcePGleb316zwVIHmzZsfLzQrKy0tbcGCBYU3walVq9a3354u1GddXCtXmnbrLMY9MvTS9qEARo4cmZOTU6Qr6/Hf4kOlp6evWrVKWjwovcfPPvtMxvIf6OkIWI8eIpQCVny8eO45Ubeu+Ppr09L3UaPEyZPFrSUmJkbq3ZW+6dIWoNWqVTNvI2shGo3m68DAzGbNStjnRo/Up08fAOHh4Zau6P333wfwwQcfWK6KNWtE9+7h0phy4UlUBoPh3XfflT4ypPlVer0+NDRUumJr3LixjButmTd9leYuABg4cGDv3r0B2NnZRUREyFURUbkRFxcXFhY2ePBg8/UJAHNX940bN+5/ye3bt1944QXpekn2j6/CXVmTJ0/eunVr4QUu5m2cSzNuc/u26N3bfJdXzZ07d+4/5969e1IvhnmRUJGurJK/w4fbvHmz9Da/+OILS5RfxNMasNavF9Oni48+KghYQohZs0SdOmLbNtG1q+lyX7pXR0TEv+x6n5CQIF39Dx061Gg0fv755wAcHR3LaAvQ0NCCG+KSrH7++WcAgwYNsmgter1e2lbKgvelFkIIcenSpWeffRaAs7PzihUrzMeHDRtmnl8VExPj5+cnXaWNGzcupzirjR5fYmLiwIEDpQ9HAF5eXkeOHLFERUTlhl6vj4yMDAkJeeD+Ahs2bNBoNEKI/fv3S58nNWvWtNDfoKysLOmqzNwMpVIZGBi4ZMkSGW+nKHVldeo0yc3NLeyffVkXLlyQpopWr1794MGD93dlydWGIjIzM6XJWI/eykEuT0HAys//x2qks2eFEELay+2NN4RGU3BfOL3e9KwQ4tIlERJi6qiU+iqDg8UDM3FOTo70BykgIECr1a5cuVKpVCqVynXr1lnwXRWWmSnc3QVQwgmM9HA3b94EUKlSJYvOc5c2cW7QoIHlqjDTaDSvv/66eeBAel/JycmnTp0yGAyhoaHSjA0fHx9L3z5cr9dLdTVt2vR6ybbFJ6qobty4ERYW1r9/f/O9VqVurdatW0sXLd27d3/c7ege13fffQegatWqX375pYXGam7fzn/xxT7Su3v55ZfNXVlarbZNmzYdOnRISEi4vyvLoqSuwa1bt1q6IvFUBKyHuX1b/OuATHa2WLCgYOuOZs2Ovvjii5s3by68qktaDOXr63vv3r3o6GjpfoI//PCDZVtfxCefCEC8+GKZVloxSHthWDRtDB8+HMDMmTMtV0URYWFh0ghghw4dpBlmcXFxAQEB5o4ri04cNJOWGVrhBrdE5UXhbTOVSqW9vb29vf37779voZVVhU2aNAnARx99ZOmKzDeTKNyVde/ePZ1Od+zYMWn4SOrKsnRLhBAfffQRLLx40OxpDVgnTojgYHH3bnF3Xj14UIwaJTp1et3cJfv1118nJSWZT8jIyLh27Zq0qvPNN9+0VLsfJiVFODsLQNy3MRqVknQTVkvt/idEdna2NJXeQpMGHiY6Olpa3FelSpUJEyZIcxe8vb3l3Q730V599VUAv/zyS5nVSFSO3blz5/nnnwcgrcw9derUhAkTSrD2sJikPTz3mrdbsKQ7d+5IawMB9O7dW7rjXOELxQfO07IE6T73zz//fBnU9bQGrOXLRWioCA19vJ0b09LSZs+e7evrK/0z29nZDR48WLr+zsjIkGa3BAUFlXLbkhKaOFEAYsgQK1Rdru3Zs0caxrJQ+YsXL5bGly1U/iMkJiZKXetSt+uYMWMed8OYUpo1axaAd955pywrJSrHli1bBuCFF14QQrz00ksAZs+ebYmKbt26pVAoXFxcyvJWIuHh4dJiMg8Pjy5duhSZ6lA2cnJy7OzsVCpVmuVvP/+0BqzSyM/P37x584svvmje77tVq1ZSlm/SpEkZfNMf7M4dYW8vlMpS3eWH7qPX66XtgK9du2aJ8rt37w4g7NHLkS3GYDA0adIEwNSpU8u+dmnr6g4y3gSUqGLLzc2VPq9iY2Ol26m1bt3aEhX9+uuvAPr372+Jwh/hzp070r1SPDw87OzsFi5cWMYNEEJ06NABwIaS7UX+OJSoeJRKZe/evTdt2nTz5s3p06dXqVLl5MmTSUlJHh4eW7ZskX64rcDLC2PGwGjE119bpwHllI2NTWBgIABp31F53blzZ/fu3Wq1WlpSV/ZUKpV0z+lOnTqVfe3SPltnzpwRQpR97UTlj4ODg/RhEhER0bdvX09PzxMnTpw5c0b2irZv3w4gKChI9pIfzcvLa/369V27dk1NTQ0JCZGmGZSxrl27Pu/tbXv6tKUrqogBy6x69eqffvrprVu3pHHu+vXr165d25oNmjwZVauibl1rtqE8kjZqktb6yWv58uX5+fl9+vSR9q+zCq1WC0C6D0YZq1KlipeXV2Zm5o0bN8q+dqJyafTo0QAWL16sUqmGDBkCICIiQt4q8vPzd+/eDaBHjx7yllxM0oQcd3d3q9Q+tUuXo3fu9PzrL0tXVKEDlsTOzm7atGlKpfLUqVPS3yqr8fXFrVvo1w/ffINvvkFMDAAIgfnzC8757TfodNZq4FOqV69eCoVi165dGo1G3pKlD76RI0fKW+xjkX5oC99buiw1b95crVJdO3fOKrUTlT8BAQF169a9ffv2vn37pLC1ZMkSg8EgYxWHDh1KTU1t3LhxnTp1ZCy2+KRpo7m5uVap3bZdOzg44MwZJCdbtCIGLABwd3dv2rRpXl7esWPHrNyUvXsxdixatECLFhg7Ftu2wWjEt98WnDB7NvLyrNe+p5KXl1fr1q01Gs2+fftkLPb8+fOnTp1yd3eXesisxboBa1X79nlqdZeTJ61SO1H5o1AopGu2JUuWvPDCC40aNUpMTPz7779lrEIaH+zZs6eMZT4Wqcdd9ive4rKzwwsvwGhEZKRF62HAMunYsSOA/fv3W7kdn3+OBQsQFISgIPz+O2bMsHJ7ygtLjBIuXboUwJAhQ6T9Nq1F+pCyVsCqVKcONBqcPWuV2onKpTFjxigUitWrV2dnZ5vDlozlb9u2DVYNWNbtwQIAaQ3jnj0WrYQBy0TapDHSwnn238XFoUkT09eNGuHaNQC4c8cUuYKCwMkuJSIFrE2bNslVoBBixYoVsPb4IKzdg4XmzQHAApNwiSqsOnXq+Pv75+TkrFmzZsyYMSqVau3atenp6bIUnpSUdOLECQcHB+mvnlVI+/YxYFUUUg/WwYMH8/PzrdkOJyeY54Hl5cHREQC8vbFli+k/607Df2q1adOmatWq165du3jxoiwF7t279/r167Vr1/b395elwBKzcsBq3Bi2trh8GVb8rCQqd8yzr2rUqNGpUyetVrt69WpZSt62bZvRaOzSpYtVVsZIpB6snJwcazUAbdrAyQnnziEx0XKVMGCZeHt716tXLzMz89SpU9ZsR1AQFi82fb14McxduCqV6T8qEaVSKa2XkWuUUNoPcNSoUYVv2moVVlxFCAB2dmjYEPn5OH/eOg0gKo+GDh3q6Oi4Z8+emzdvmsOWLCVba4OGwqw/RKhWw98fQkDWiblFMGAVeCJGCT//HDt3olcv9OqFbdvw+efWbEz50qtXL8gXsHx8fGrUqDFixAhZSiuNFi2Wt2u30s7OSj1YAJ59FuAoIZGcKlWq1LdvX6PRGBERMWjQIGdn5wMHDsTFxZWyWKPRKO0PbMUJWHgSAhbKYpSQAatAx44dq1evffWqVb8n7u5Yswbr12PdOqxdCw8PqFQo/EsVEwMXF+u17ynWs2dPGxub/fv3Z2VllaacCxcuzJ49283NLSoqqlGjRrDMFqbFpNPh0KGXjx8frFJZ7+dWClic504kK/OGWI6OjgMGDBBCSAtrSuP48eP37t2rU6dOgwYN5GhjCVWqFNC48TF7+/n/fqrldOkCW1tkZ1uuBgasAgEBo+Pjr69YEWz9XanValh1YVq55OHh0bZtW51Ot2vXrhIXsmvXrqFDh9aoUaNq1aqffvppTk5ORETEggUL9u7dK19LH4M0Yc9a869MOM+dyAJ69Ojh7e196dKlo0ePmsNWKe+aIK0flLrzrcjOziU21u/27VrWbMTzz+PWLbzxBqKiIG0YYTCg8FZNhw6VsgabUr6+PKlbV1mjBm7fxoULaNzY2q0hC/Dz8zt48OArr7zi4OBQqVIllUrl7Oxsa2vr5OSkVqsdHBzs7e3t7OwcHR3VarWTk5ONjY2Li4tSqZRuUNq7d+8vv/zyl19+ad++PYAhQ4YYjcZevXqdPn3az8/PKu9I+lhgwCIqf1Qq1YgRI7777rslS5b8+OOPtWrVun79+oEDB0qz+u9JmIAFmJZvWXGOOwCcPImxYzFgAPLyEByMVavg6opx43DihOmEYcNKu2zf0jc7fLoMGyYAMX++tdtBFpCWllanTh21Wl3iX5a1a9dWr149Nze3SMmXL1+2yjsSQly/LgBRq5a16v+fJUvE8ePCaLR2O4jKlZiYGAAeHh5arXbKlCkA3nzzzRKXlpeXV79+fbVanZWVJWMjS+DqVQEIHx+rNqJTJ3H8uOnrtWvFiBEiOVm0alVwQqk/WNmD9Q8BAVixApGReOstazeFZCWEeOONN65du9aiRYutW7fa29tnZGQYjcbMzMz8/Pzs7Gy9Xp+bm5uXl6fVajUaTV5eXm5url6vz87Ozs/Pz8zMFELUrl3bxcUlJyenyJK9evXqWet9PRFDhLduYf16LF4MvR6DB2P8eBw8iNWr8f33AJCRgW+w9Z8AACAASURBVCFDsH27VZtI9FRq2rRpq1atTp48uWnTpjFjxnz11VcrV66cM2eONEn8sRiNxitXrixbtqxy5crOzs4AYmNjG1tpsEZqvjXnuAuBS5fQurXpYdeuCAkBgDt38OmnpoOZmaWshAHrH6SeV0su2yTr+Oqrr9asWePu7r5mzRpvb2+U9D6j3bp1W7Ro0aRJkwAIIZ6APRoAwHrb2QAAhg/Hp5+iWzfk5aF/f/j4wMkJaWmmZ41G3Ltn1fYRPcVGjx598uTJJUuWrF+//uOPP/b39y/BrSMyMjL69OlTt27dqlWrHjp0aPv27ampqWFhYZMnT65WrZolmv1o1g9YCgUKz2YzGk27IFWqhO7dTQfDwkpZCQPWPzRrBk9P3L6NGze4o2f5sXv37k8++USpVC5btszX17c0RX322WdjxozZvn27o6Nj5cqVw8PD5WpkyVi/B+vuXWRno1s3ALCzw3vvYeVKjB6NrCxcuQLIcBVIVJENHz588uTJW7ZsSUxM/LykG/fMnj07MDBw+vTpAPLy8uzs7P7++++EhISzZ89aN2AJAatdpTZtiqNH0aYNAPz9N9q2BQAnJ5j3ji7FfBIJA9Y/KBTw98eGDdi/H6NGWbs1JIfbt28PGzYsPz9/+vTppV874+npuWnTJq1WazQaS9BLLzvrB6yUFHh4FDz09ERKCgDExGDWLADQ6azTMKJyoWrVqj179ty4ceOkSZOmTJmSm5ubnZ2t0+nS09N1Ol1OTo40wyEtLU16mJOTo9Pp0tLSpBkOubm5EydOjI6OnjZtmlSg1AHWt29fR0fHwMBAq7wplQr29tBqkZdnvY+v777DG2/g5Zeh1eLvvyHTRvmFMWAVFRCADRsQGcmAVR7o9fphw4YlJSUFBgaaP19Kz2r3pbmPszMCA9G0qfVaULs2rl1Dfr6pg/3CBUgz0tq1wy+/AEBaGrp2tV77iJ56zZs337hxY0RERERERAlefvfuXfGgzR2sla4kjo7QapGTY72A1bIl9u3DiRNQq/HJJ7C3h8FQcCcVAOvWlbIGBqyiOnaESgWZ7qpJVnbxyy9PHj1au3btFStWqMrdjYbCwtClC3buBICFCzFyJFauRFAQKlcGgF274OVl+ezl7IwXX8RHHyE4GDdu4NtvsXYtbt2ycK1EFcj//d//XbhwYfPmzT4+Pk5OTtK2Mu7u7ra2ts7Ozo6OjnZ2dm5ubra2ti4uLtJDV1dXtVrt4uLi4ODg7e2dl5e3d+/ettIo2JNh1ChoNNa+/ZuzMzp2LHhoY2PaNlnSqlUpi1c8MNhWZMePQ6dDu3YAEBMDV1cYDDAaUbcuAKSm4vr1gpUH9ERbtgwjR6b7+cXNn+/33HPWbo386tdHrVrYuRNKJVq2RFQUBg7EDz+YdnH7v/9Dy5YYNszy7TAa8fvviIqCpyfefBONGuHyZRw9Cuk+QhoN5s41rdAhImtISUnp0aNHp06d6tSpc+LEifDwcKXSatuM37iBjz/G/Plwdsa9e1iwACEhmDoVX39tOmHyZHzxBWxtrdVA2XAn96IWL8bQoaaJuX/8gUOHsGlTQU/huXP44Qcrto6KLSZG2mzD7T//KZfpCoCNDVq3hrXn2QNKJd58EwsX4rvv0KgRANSvD/NdGh0cmK6IrMvT0/PgwYP9+/evXbv2jBkzrJiuAGRkYOtWfPYZAOTkYP9+GAxYv77ghPXrkZ9vrdbJiUOED9CtG6ZNw5w51m4HlVhWFoYMQU4ORo7Em29auzUWNG0a2rdHv34FR954A05OAHDlClq2tFa7iOjJYmdnV5ot4OUVGIijR3HmTDm/sy4D1gO88gq++ALHjxcc2bABt28DQEJC6VdukoUJgddeQ2wsmjcv/UYmT7hKlfDxx5gypeBIeHjBECER0RNIocAPP+DddwvmlN+6VbD/lPTXthxgwHoAhQJz5+Ldd2GO+23aYPRoADhxAn//bcWmUTF88w3++gvu7lizBk/ATgqW9sorWLgQN28+9ASDATpdRfhOENFTo3VrtGyJJUtMD2vWNK3XAdCwobUaJTPOwXqwFi3w/PMF+2J4eeHZZ/HssyjdLpVkeXv3YupUKBT4/XfTwoQK4KefTHsi29oW7NpnYwOVyjSf9O23cfKkFRtIRFTU559j6dKHPms0IiYGycll2CC5MWA91IwZ0Gge/JTRiE8/xYQJ+Ouvsm0T/as5c2AwYMqUf8xLKqdiY01f1K8PrRZOTti40TTLHMDMmRg8GLVr4+uvMXQoLl+2VjOJiAqo1ahaFQDc3DBzJry9oVSi8A1d69WDUonVq3HxIt54A3q9tVpaWtymoajkZDg5mW7ulpQER0fodBDCtFt1bi7S01GtGjQaqNUYOxa//27d9lYkSUlwdTVNgsvIgEoFZ2cAMBhw7RqqVIGbG3Q6LFiAt9+29v4qT5DMTPzf/+H77619T2giosf01luYOxePf/fFJwJ7sIqqXLng1rlVqsDJCe7uBfcCcXSEdOMmBwcsXIihQ63TyArq3XcLBrp++gnLlgHAtm1o2xY//IAhQzBuHGxsMH4805VZXBwGDUJQEO7csXZTiIgex/r1aNfuaU1XYMAqGSHw3XdwdET79tZuSgWn0SA4GNu24eefsWMHtFqsXGntNj1ZXF3x1VeoUYPdV0T0NJkzB+Hh0OmQlmbtppQUVxGWRG4uKlVCdjb27EHfvtZuTYWyZQsuXACAkycRGIgLF1C/PqpUMT3bvz/+/rtMNi9/alSubLpzDhHRU+SNN0yL9ytVsnZTSooBqyScnDBunLUbUTEplabhP2mxnE73j/spqNXIy7NOw4iISD7SDNunGgMWPVV69oR0v1Jp36eGDXHuHPR6U8w6dKj0t+ckIiIqPQYsepq5uWHcOAwahBEjcOkSdu/Grl3WbhMRERG3aaCnSFQUGjWCpycAnD8POzvTVqInTuD4cTzzDIKCnuIFJ0REVI4wYBERERHJjNs0EBEREcmMAYuIiIhIZgxYRERERDJjwCIiIiKSGQMWERERkcwYsIiIiIhkxoBFREREJDMGLCIiIiKZMWARERERyYwBi4iIiEhmDFhEREREMmPAIiIiIpIZAxYRERGRzBiwiIiIiGTGgEVEREQkMwYsIiIiIpkxYBERERHJjAGLiIiISGYMWEREREQyY8AiIiIikhkDFhEREZHMGLCIiIiIZMaARURERCQzBiwiIiIimTFgEREREcmMAYuIiIhIZgxYRERERDJjwCIiIiKSGQMWERERkcwYsIiIiIhkxoBFREREJDMGLCIiIiKZMWARERERyYwBi4iIiEhmDFhEREREMmPAIiIiIpIZAxYRERGRzBiwiIiIiGTGgEVEREQkMwYsIiIiIpkxYBERERHJjAGLiIiISGYMWEREREQyY8AiIiIikhkDFhEREZHMGLCIiIiIZMaARURERCQzBiwiIiIimTFgEREREcmMAYuIiIhIZgxYRERERDJjwCIiIiKSGQOWpZw9e/bq1avWbgUREZEVGI3Gq1evGgwGazfEamyKc9KpU6e+//77Y8eO6fX6Jk2a/Pe//+3QoUPhE3bt2hUSEgJg7969zv/P3p2Hxbj9AQD/zrRNTfu+p41IlgqRlBaFrizlulH2Li7hWrKv3St7XKLrZwlZQoiQXEuIKFTWaNOifV9npjm/P854zZ1IMVNc5/N4PDPvcs55p3fe9/uebWRlDx48GBUVdfbsWf5tHB0dZ8+ePXr0aAAYPXr027dvqVUbN250cnKaOnXqy5cvz58/r6qqipcfPXr0+PHj0dHRAFBYWLh27dpbt27R6fQBAwasXr1aW1sbb1ZYWLh58+Z//vmnqqpKTU3N3d193rx5srKyeO2tW7c2b96clpamoqIyfvz4mTNniomJfdmH1SYjR47csWOHkZFRm/bicrmXLl0KCQnp3bv3H3/8gRfW19cHBQVFRUU1NDRYWFisXbu2a9eueFV0dHRwcHBWVpaampq3t/dvv/1Go9H4E+RwOJs3bz558mRtbW3v3r0DAwM7d+4skGl4ePj27dvl5ORu3LiBl6xevRp/7NiECRPmzZsHADgp/mNcsWJFmw6QX3Z29okTJzIyMhgMhrOzs7u7Oy58VlbWwYMHCwoKjI2Np0+frqSkBACRkZFVVVWTJk2idn/79u3evXsDAgIUFBQAoLa29vDhw3Q6/ddff6W2aWhoCA8Pr6qqmj9/PgCw2eyVK1eam5v7+PhQ22zZsqVv376DBg3CWYeFhb17987AwGDSpElaWlrUZikpKZGRke/evWMymYMGDRoxYgSdzns+OXPmzMOHD6kthw4dam9v/8UfSys5Ozt7enrOmDGjTXvl5+cfPnw4MzNTR0dn4sSJBgYGAhtER0ffvn3bzMyM+qhfvHhx7NixkpISIyOj6dOnKyoqCuxSUlLyv//9LzMzU1NTc8qUKTjNhw8fnjlzRmDL+fPn79+/v6qqin9hz549f/nlF1y2gwcPWltbu7q6tumgCKIdpKWlhYaGPnv2jEajWVtbz507F9+q8vLytm7d+vTpUyUlpSlTpuCz9+nTp3/88UdoaKi8vDyVwrJly8zNzcePHw8Aubm5W7duffbsmZKS0rRp01xcXAAgOTn5jz/+8PLy8vLywruw2ezx48cvWbLE0tISAGJiYg4dOlReXm5oaOjv70/dCADgwoULp0+fzs/Pl5GRGThw4K+//sqfNfbw4cPNmzcDwIkTJ6jLl+jEx8ePGTMmPz+/rTtGR0eHh4eXlZUZGxsvWLCAuo3euXNn//79eXl5+vr6c+bM6dmzp8COYWFh0dHRZmZm69atE1j17t27zZs3p6amKioq+vj4jBgxglpVVVW1Z8+e27dvc7lcCwuL33//XUNDAwC4XG54eHhUVFRlZaWBgcHs2bOpHG/duhUWFpaTk6OsrDx+/Hj+1P4Ffc7Vq1elpKQcHBz27t17/PjxadOmSUlJvXnzhtqgtrbW2NgYh1wVFRUIoXXr1unp6QmkIyMjs3v3bvxaXl5+wYIFEe8VFhYihGxtbQFgypQp1C6bN2/G6VRVVRkZGXl5eV24cCEiIsLc3NzCwoLL5SKEcnJy9PT0evbsuXv37osXL27ZskVXV9fS0rKmpgYhFBMTIykpuXDhwsuXL2/cuFFCQmLTpk2fPeSv9+jRI1lZ2fr6+jbt9fTpUzMzMy0tLT09PTc3N2q5s7Nz165dDx8+HBUVZW9vr66uXlJSghCKi4uj0+krV65MSEjYv3+/tLT0li1bBNL8/fffpaSkNm/efOrUqX79+mlqauJ9Ke/evVNWVh44cKCioiK10NXV9aeffqL+QM+fP8fLx44d6+TkRC1PTk5u0wHyO3PmjJSUVK9evWbNmuXt7a2goDBx4kSE0MOHD+Xk5Kytrf39/U1NTU1MTMrLyxFCkydPHjJkCH8Kd+/eBYC3b9/W1dUtWbJEWVmZwWCYmZnhtWw2e82aNerq6gwGQ11dHS+sq6sDAHFx8cePH1PpmJqa4rPixo0bCgoKvr6+K1eutLGxUVJSos7zoKAgGo3m6uoaEBDg4+OjqKjo4OCAzzGE0MiRI3v27On33u3bt7/4Y2mlkpISSUnJ/Pz8Nu316NEjJSUlV1fXFStW2NnZMZlM6i+L5eXlKSgoGBgYDB8+HC85e/Ysg8H45Zdf8L1BT08P/zkoBQUFenp6ZmZmCxcu7NOnj4KCAk7zzp07fnxcXV1pNFpOTs7ixYv5l6uoqMyYMSMrK8vX11dKSkpKSmr69Olf99kQhPBdunSJwWAMGDBg3bp169ev79Onj6GhYV1dXX5+vpaWloWFxcaNGydNmkSj0U6fPo0Qio2NBQB8a6P07t17wYIFCKG8vDwNDY0ePXps3LjR19eXTqdHRkYihK5cuQIAysrK1I4NDQ0AcOHCBYRQcHCwqqpqYGDgnj17hgwZIicn9/r1a7zZjBkzpKWl/fz8du/evWLFClNTU2Nj49zcXP7cWSyWhYWFhYUFAHA4HNF/Zuj333/38/Nr616bNm1iMpnLli0LCQmxt7dXVFTMy8tDCB07dkxSUnLu3Ll79+718PCQlJQUuAGlp6fLyMhYWFgMHDhQIM3y8vJOnTqZm5tv27Zt+vTpAHDgwAG8qrS01MzMrFOnTuvWrQsJCfHz88NhDJfL9fLykpGRWbBgQWho6Pz58+/fv493+euvv2g02vjx43fv3h0YGLh///5PHctnAiwOh9OpUydbW1v+v0dGRgb/NgsWLOjcufO5c+daGWBVV1cDQPObkK2traurq5iY2PXr1/ESKsCqqanZu3cvjqgQQhcvXgSA9PR0hNDYsWP19PSoWx0unpSU1KpVqxBCKSkpR44coVb5+vp2796dP9MzZ848ffq05Q+BH5fLzcnJqaysxG9ZLNbbt29ZLJbAZitXrvz5559bnyxWWVl5//79pqamyZMnUwEWm83etWsX9VXJy8sDgKNHjyKElixZoqurS+0+ZswYe3t7/gSLiorExcWDgoLw25KSEgaDERgYyL+Np6envb39nj17+AMsCwuLj0aiAwcOXL58eVuPq7mioiJZWVlfX1/qb/rixQt8+jo7O1tbWzc2NiKEysvLlZSU1q1bh1oMsDgczqZNm5KTkzds2EAFWAghXO0aGhoqEGBZWFgMGDCgqakJL6QCrCNHjhw+fBgvbGxsVFdXx1nfvXuXRqPt3buXSjkzM1NBQQFfKxFCffr0oT5kARwO58GDB/hwhOjAgQPNLyKfdebMGerPx+FwTE1NBS5/o0aNGjZs2PTp06kAa/v27X///Td+XVJSIiMjExwczL/L/PnzNTU1S0tLEUINDQ09e/YcNWpU86wnTZrk7u4usDA9PV1MTOzRo0dZWVm7d+/Oyclxd3cnARbxramvr1dXVx82bBh10eBwOA8fPkQILV++XF5ennpq9fX17dKlC/pcgLVkyRIFBQX8rUEIjR8/vlu3buh9gDVgwABfX1+8ij/AOnTo0IMHD/ByFovFZDK3bt2KEIqKisK1PlRGFRUVBgYGnp6e/LmvW7fOwMDg6NGjzQOsmJiYgoKCNn0mAil8NGIzMjK6fPlym5JFCO3Zs+fKlSv4dVVVlays7MaNGxFCERER4eHhVHaGhoazZ8/m39HFxWXcuHHz5s1rfm38448/ZGRkqGP08/PT1NTEZZ4zZ46amppAvQNC6NSpUwAQFxcnsDwnJ0dKSmr9+vWtOZbPBFgJCQkAcO7cuU9t8PjxYwkJiX/++efy5cutDLDS0tKo8Iifra3tokWLpk6d2qVLl4aGBsQXYAnYuHEjk8msrKysr6+XlJTEnz6/iRMndu7cufmOy5YtE0iwb9++VL1ay3R0dNatW2dqaionJycmJrZkyZKTJ0+qq6szmUxZWdmIiAj+jbt3737ixAmEUFxcHH99IZ1Ob021Fn+AJaCpqUlcXByXeevWrZKSkjgu4XA4ZmZm/PV/CKELFy4AQGZmJrXE3d2dP+WLFy9KSUm9ePFi7969/AGWiooKjuEEGBkZ7dq167Pl/6yQkBAxMTGBByxMQ0Nj5cqV1Ftvb29nZ2fUYoBFLREIsLDmAdbJkycVFBRCQ0PxQirA4ldfX6+oqLh582aE0JQpU8zNzalYEFu+fLmioiK+4Orq6lKRmYCKigqBQn7Kvn37li9fvmPHjh49emhra8+ZM+fdu3fjx4/X1NTs3r07fiym/PTTT/jampSUZMXHxcXlsxlRxowZM2zYMOptRESEjIxMZmYmf4AlwMzMbNGiRfxLunbt6u/vT73dtm2btLS0wGdVUFDAYDBu3LghkNqsWbMcHR35l5AAi/gG4QspVYHBz8vLi/92fvr0aQAoLy9vOcAaPXo0/8Mw7ndRVVWFA6z4+HiqooE/wOJXUFAgJiYWFhaGEPL09Ozbt6/ABn/99ZeYmBhVF/Dy5UsGg3HhwgXcdUcgHtLV1W2eRXOZmZkqKiqXLl3q1q0bnU43NDS8e/duYGCgoqKiuLi4k5NTcXExtXFSUpKCggJ+tpw8ebISnxUrVnw2L4qpqenChQubL3d2dh47diz19sCBA/Ly8nl5eR8NsJycnEaPHk29vX37NgDgCjA1NbVly5Y1T9/T09PW1rb58p07d0pJSfHX6bTgM62wr1+/BoDu3bt/dC2Hw5kyZYqPj4+jo6PAqqqqqvX/xmaz8ap3794BgJeXl7S0tIaGxqJFixobG6kd//zzz8LCwm3btjXPrry8fMOGDRMnTgwODg4LC5OXl8/IyGCxWPzt0Ji5ufnr16+bmpoElsfHx1tZWbV8yC0IDw/HPYH+97//bdy48eDBg8nJyTU1NVOmTPH396c2e/369evXr4cOHQoA/fv3LysrKysry87O1tXVXbBgAYPB8PT01Ps33DWtNR48eMDhcPBRTJs2zdLS0s7ObuzYsWPHjlVXV9+0aRP/xnl5eXQ6XVdXl1qir6+fm5uLX1dVVc2YMWPp0qVmZmb8e7FYrLKysqCgIAUFBTk5uXHjxhUUFOBVBQUFISEhSkpKTCZz5MiR/B3p2uTp06c6Ojo6OjrNV2lra7969Qq/RgiJiYnhSjsAKCwsPMPn5s2bX5a7urr6qlWrlixZUlRU1HxtampqeHi4u7t7ly5dpk2bBgCPHz+2srIS6NzWr1+/ioqKrKwsLpdbWFh44sQJW1vbQYMGbdmy5cs6db57927Tpk3Pnz8/ffr0wYMHQ0NDBwwYMGTIkPv3748aNcrX1xfHagBQU1Nz7dq1kSNHAoCpqWloaGhoaOj27duzs7NxF4Fffvll6L9FREQIZIcQevbsWbdu3fDbysrK+fPnBwYGdurU6VMlrK6ufvv2LbULlpOTw9+rr3PnzvX19aWlpfzb7Nixo0uXLg4ODvwLy8rKwsLCFixY0LaPiSDa3cuXL2k0Wq9evZqvMjQ0TEtLq6mpwW9x+wx1yQoLC9vLp6SkhNrr1atXtbW1/HtRV2Zra+vJkyfPmjWL/85IuXbt2pYtWwYPHuzp6Tlu3DgASE1N7dGjh8BmvXr1ampqevHiBQBwudxp06Z5eHi4u7t/zefA5XJLS0vXrFkTGRlZWVlpbm7u4uJSVFT0+vXrjIyMN2/ebN26ldr47Nmz7u7ukpKSALBhw4bExMTExMTly5c3NjaOHz8+MTHRqpnnz58L5FhSUpKdnd386FgsFv9RFxQULFy4cOPGjVTPbAG5ubn8/aHx69zc3IKCguLiYjk5uUmTJpmbm/fr1w/X8AFAamqqoaHhsmXLrKysunfvvnr1ahaLBQBPnz41NDQ8duyYvb19586dJ06cSN0fm/tMJ3f8B5aTk/vo2o0bN759+zYmJqb5KjabLfBhcblc/MLS0vLIkSM9e/ZUUVG5efOmn59fU1MTFVGpq6sHBgYuXrwY93sVSDMrK6u0tJTNZuNz8VPFk5eXRwg1NjbKyMhQCy9cuBAXF3f//n0AuHr1Kn4oyc7OjoiIwGfh0qVLP/Xnwfz8/HCsiSuBFi5cqKmpCQCurq47d+6sqqrCnQrPnDkzZMgQ/FpcXBz30f7999/V1NQCAwMBYMeOHfX19fwpS0tLt5AvhcPhLF68eMiQIf369QOA2tpahNCwYcO4XG50dHSnTp0yMjJUVFSo7WtrayUlJcXFP/yVZWRkqGvB4sWLZWRk8OgEfuLi4qdPn9bW1tbX13/58uWMGTNGjRp17949ADh+/LiysrKRkVF6evpvv/02bNiwlJSUL+gsWVtby19OfkuWLPnll1+8vLxMTEzi4uJevHhB/X0zMzODgoKoLakD+QJz5sw5ePDgwoULDx8+LLDq3LlzMTExqampkyZNwn+Xj5YWL8HPMevXr9fS0tLX109NTV25cmVGRkZISMjFixczMjLwA+jBgwcVFRVVVVW9vb1bKJWRkdHevXsBwNTUtHv37g4ODr6+vgAwY8aM9evXp6Wl9e3bFwAuXbpkZmaGrxFycnI42p41a5ampub69esBYNq0aQKXZoEYGgBOnjyZmZlJ9ZH//fffVVRU5syZ00LxNm3apKSk5OnpSS1hs9k1NTX8X0B82peVlVFDVerq6v7++++dO3cKpBYSEqKrq+vm5tZCjgTxLaivr5eWlpaSkmq+as6cOYcPH7aysnJycnr58iVun6Eu75cuXcIRBkY9I/n7+x89etTKysrR0fHFixe4IgNfKzBcGb958+ZFixYJ5Hjr1q3Hjx8XFRUpKiriu2p9fT0e6MMPD0bBdfZ79uxJSUk5ceKEwDYxMTHx8fEAUFVVdezYMTxSZ+XKlfy3jOZCQkK6dOkCACNHjrx+/XpwcDB++Bw0aBD/TT8yMpLqaY77jOfn52/YsGHr1q1mZmbV1dUhISECKTcfc7N69WpdXV2qyz8lODiYxWL5+fnht/7+/iYmJtTb5qqqqphMJvUWj4GrrKzEoW1wcPCiRYu8vb1v3Ljh4+MjLy8/YsSI6urqiIiIOXPmrFu3LicnJyAgoLq6etu2bdXV1a9evYqJicG1KitWrHB3d3/48KHAEzj2mQBLTU0NAHJzc9XV1QVWvXr1KjAwcNmyZdXV1dXV1TiIy8rKwo+zKioqx48f598etxPjY5swYQJ+7e3tnZSUdOTIEf4qq5kzZx4+fHjhwoU2Njb8Kairq4eGhgLA2bNnR48e7eDggEtFPS5QcnJy5OXl+aOr+/fv+/j4BAYG9unTBwBwT14AkJKSUlFRwa/5vwktk5CQAACEEP9bqt7i7NmzAmO7IiMjT5w48eDBA5zFR2tuPgs/hWRnZ+PqTQDw8/OTkpKKjIyk0+nFxcXe3t4jRozIysqiLgRaWloNDQ01NTXUmMri4mKce1xc3N9//71v3z48xKOkpAQPqdXT05OQkKBq1LS1tf/8808vL683b96YmJhQYyW0tbW3bdvm4uLy6NEjLcTPsQAAIABJREFUa2vrth6LkpISrshsbuzYsTo6OhEREQ0NDcuXLz916lRqaipeZWNjwx/Nx8fH44ERX0BCQmLPnj329vbNv5MrV65cuXJlYWFh79695eTkAgMDlZWVm5cWf24qKipiYmJUkOrg4MBisZYtW7Z9+/b8/PzXr1/jh57MzExZWVl8sWsB/xnIYDCoyxyDwYD3jxMAcPbs2VGjRvHvePny5UOHDiUkJOAtnZycWs7o3r17fn5+W7duNTY2BoDr168fOnTo8uXL+HLT2NjIZrMrKyv5r9rHjx/fsmXL+fPnqXMJACQkJJSUlMrKyqgl+Bmdf/Tl/v37GQyGwCWysbExJCRk7dq17TCUiSC+krKycl1dHe4SKrBKV1c3OTn58OHDJSUlfn5+NBpt3LhxGhoaOJbC3UiojfFIQADQ19fHe5WWls6YMYPL5Xp7e2toaFB16qqqqn/++ee8efPGjh0rkCN+iCosLDQ3N9fV1V2xYoWqqmrzkXr4tqiurp6Tk7Ns2bKlS5fKyMiUl5fjarPy8nLcJ4Sq+OByudTrllHfWXy9ogILKSkpqp0qLS0tMzOT//GJy+VOnDixb9++eJS3nJwcriZowa5du8LCwmJiYvBljRIZGbl69erw8HAcn5w/f/7MmTPXr1+vrKwEgIaGBg6HU1FRwT/eGfcTpd4WFxcDgLa2Nn5ODgkJwbe8IUOG3L59OywsbMSIESoqKmPGjNmyZQve5e3bt3///fe2bdtUVFQsLCxwWzAAyMrKurm5PXv27KMNfZ8JsPr06SMmJnbhwgXqzKAcP368oaFh1apVq1atohb26tXr6tWrLacpQFFRkT9yBwA6nb5z584BAwZQfy0BeAx8cnKyr6+vkZFRdHQ0HviKIYSio6PxqHvsxIkT06dPX7Ro0dKlS/GSfv364b/uqVOnnJycZs2a1aYytyAvL+/x48c//fQT/5Lp06dv27YND98AAB8fn6SkJP69LC0tqZrJjyovL/fx8Xn69Om1a9f09fXxwgcPHvz666/4dFdTU5s/f/7w4cNzcnJMTEzwBvj2mZCQQN1xHzx4gGtBDh06hBDCTWAUY2PjV69eCczjgO+yzSurP7W8NaytrXfs2PH06dOPnpS2trY4cuJyub///vtnw4UvM3DgwAkTJuDW/eZrNTQ0Bg0ahB/vbGxszpw5w2Kx+AOg69ev6+vrN4+VdXR0WCxWfX09Dt0qKyv//vtv3CtRKMVubGy8dOkS/+wYRUVFkydP3rp1K3WCjR07try8nH+vqVOn4tYEADhz5syUKVOWL1/+22+/4SXBwcFcLldgcoTu3bvn5OQAAEJo27Ztq1atCg8PHzJkiEB5DA0Nk5OTqbcpKSmqqqpUnVZTU9OOHTvmzp2LH0IoR48e5XA41IMWQXzL8M3iypUrzdtVAEBdXX3hwoX49dy5c3V1dfX09Kh+Dp+Cu8fg17NnzzYwMNDW1qYeJgFg2rRpBw4c+NQ8OBoaGpaWlomJiQAwcODAM2fONDY28texxcTEqKio4GqwqqqqpUuXUrc/AFBTU0tISHBzc8Mx0KFDhyZMmPCVDYj8Tp8+7ebmxl9ptG3btpSUlJSUFByQPXr0qPlt9+DBg7jDT1NT0/Lly0NCQs6ePSvwFB0cHLxs2bJ9+/ZRtQB4AJxADwRtbW3+B1ojIyP+e+7jx4/xQmVlZSaTyT9jpbS0NN5RV1c3MzOTWi4jI4MrJnV1dXNycjgcDn4AxvU4Ak1SH3y2l5aPj4+CgsK9e/fwWy6Xyz/EndL6Tu6XL1/evHkz7gZbVFRkamqKe5/hTu7U9vj+hNPJz8/38vKi+kSHhYUBQEJCAkJo7969YmJiUVFRVPG2bNlCp9Nv3bqFEGKz2QEBAdLS0p/qgyzQyZ3D4aSnp3+0/5qOjg7uVowQwo/psbGx+C2OKfGQkB07djg5OVF7NTU1OTo6Dh06lL/bb1pa2qN/S0tL489LoJP7kydPjI2N7ezsBAZ6ODg49OvXjxqh5u/vLy8vX1tbW1tbm5OTw+Vym5qaOnfu7OjoiLfBXSmpYvPj7+T+5s2befPmVVdXI4QaGho8PDz09fVZLFZOTs6cOXPwKH02mz1hwgRVVVXcTNlWtbW1Ojo6Tk5OOBec0bt37wQ227Ztm5iYGD7fhNjJneptXVBQoKioSKfTcSf3Q4cOHT9+nCqhiYnJ5MmTEUIvX76UkpJatGgRNYbo/v37DAZj+/btCKF3794FBgbiT5jFYg0fPpx/pGrzTu719fX4ayJg3bp1FhYW1NsBAwYsXrwYv8bPXng8y4ULF0xNTanNuFzu8OHD3dzc+E+wGzduXPk3PPKXw+GsXr1aTk7u1KlT/FlXV1eX8fH19R0yZAguZHV1tZeXl7a2NnUFoI4CD579888/5eXl8QlcVFRkYGAwc+ZMarNTp07JyckJzOzA5XLNzc3XrFnT/EMgndyJb5Otra2RkRE1YIjD4VAXbeqyEB8fz2Qy8YDilju58+91584daWlpPJ4Gd3KnhqUnJSXhuzjugb5mzZqLFy/iVYWFhWpqajg13IE9ICCA/wIlIyODB4zX19fzf7vxk3xxcTGbzaYKJtDJnc1ml5WVNR8YmJ6ejmMj/Pbw4cMyMjLU2mnTpg0dOhS/tra25r/npqamSktLU4VHCFVUVNxuBt8OiouLXVxcjI2NU1NT+XOvrq7++eefVVVVqXkGqOX8BzhjxgwbGxt8zamoqMB381OnTtFoNHzvq6ur69+/P9UR3svLy8zMDF/ukpKSpKWl8bC5Xbt2SUpK4jKUlZV16dIFDwnCMSIeW93U1DR27FgVFZVPjV37fIBVVVXl7u5Op9O7dOni6Oioo6OjpqZWV1cnsFnrA6ywsDA5OTk1NTVbW1t5efnevXvjO6tAgFVaWqqmpkbNg+Xm5iYvL+/q6tq/f386nT5v3jy8GZfLDQgIEBcXNzMzGzp0qIGBAZPJ3LdvH16LozQNDQ3+nnT8swfFxcXxD7LDLUECQwKxVgZYDg4O/OPsjhw5AgBWVlbO7wnEUgK8vLysrKxUVFTk5eWtrKzmzZuXm5uLY+SePXtSh4AH26ekpGhra3fq1Mnb27tfv37S0tI4Pjhw4AAA4JP13r17ysrK2tra1tbWYmJic+fO/Wi+/AFWQkKCvr4+k8ns37+/lpaWpqZmfHw8zs7U1FRaWtrGxkZXV1dFReXatWstHEvLHjx4oKOjo6Sk5OLiMmzYMBUVFTwY7fz58507dx45cqSFhQWDwaDG+rUcYG3cuNHZ2dnExITJZDo7O8+ZMwchFBISgqcQk5SUdHZ2njRpkkCAhRDatWsXAOAA6+jRozIyMg4ODj///LOenp6+vj41I0lERIScnJypqenYsWNtbW0lJCRmzJiBL0Dx8fGampqamppubm5GRkZaWlpJSUlU+iwW6/Dhw/xh6Jo1a7S1tZt/IK0MsKZMmbJ06VJqs2PHjgHA4MGDvd5rYXjL5MmT8XMbdTbyj6yh8I8ixPWdPXr0oHaZP38+QkhfXx+fhLW1tXgSNTc3Nw0NjW7duvGPJOrfvz/1VaVER0dLSUkJPC34+Pg4Ozurqqrq6Og4OztTf3eC+Bbk5ORYWVlJSUn16dPHzc1NS0vLxsYGIZSfn6+pqTlkyBBra2txcfFJkybhwKXlACs3N1dTU9PV1dXKykpcXHzKlCl4L4EACyGEq5lx9LNjxw4GgzFo0CAPDw8VFRVzc3Mq/cjISNzvxcPDo0+fPuLi4tOnT+cPoSgfHUV48eJF/tsinnFaYJI81OoAKycnR1JSsqysjFplY2ODr8zYR0ftUXDvUhMTE+p+N3XqVITQ4MGDAUBfX59a/tHBzvyjCC0tLfG+XC7Xx8dHUlLSzs5OV1dXU1Pz2bNneJvMzEwDAwN1dXV7e3sZGRknJyccLTU2Njo7O8vIyNjZ2Wlqanbq1ImaFnHlypViYmJ9+vQxMzOTkZFpYQAmDX2sfaS55OTkpKQkNpttYGBgb2/fvFN2QUHB7du3R44cKSEh8erVq6ysLIEWhwsXLnTv3t3Q0BAAysvLb9y4UVJSYmpqOmjQIDy1+o0bN1RUVPjHCzx69Ojdu3fDhw/HNW3x8fGPHz8WExMbOHAg1RqCZWVl3bx5E3cwcnFxwU2zABAfH9+8h9bw4cP5u2fxa2ho+PXXX/G1XmDVxYsXO3fujJvPWCzW+fPnBw0ahPvuFRYWxsXFeXh4VFVVaWtrZ2RkUAP3Xr9+/eTJE/50nJ2dmzfkU2JiYvjnudbS0urZsyf+1vHT19fHtdb19fXXrl3LyMjAkQru+/L27dukpKQRI0bgD7asrOzq1au1tbWWlpa9e/f+aL4ZGRkpKSl4YBoANDY23r59OyMjQ0NDw9nZmarpZbPZd+7cefPmjYqKirOzc/OZgtukrq7u6tWr6enp8vLyXbt2tbW1pdFobDY7JiYGZ+Hk5EQNO7h//359fT3+jmElJSUxMTGjRo2SkZF58OBBdnY2tUpFRcXR0fHJkye49ygmJyfn4uISGRnp4OBAnSFNTU3nzp3r3r077raZn59/+fLlkpISQ0PDYcOG8fc3KikpuXTpUm5urry8vIODA3/jZl1dXUxMTFZWlo6OztChQz81KAR7/vz5b7/9Rk2az788NzeXaoO7fv26qqoq/jrg823w4MFKSkpaWlrR0dG4KyEApKWl8bfQAQCegu+jWcfFxRUWFvIvkZSU9PDwENgsKSmpvr4eTx188eJFgdpvNTU1BweH8+fPGxoa4uJxOJwrV668efNGT09v2LBh1MUBFxtPjcufwqNHj6qqqgSq9C9dukQNqgKALl26NB86RBAdiMvl3rlzJyUlRVJS0sjIyN7eHjd8JyUlJSYmiomJ2djYUJeFoqKimzdvenh48DfbxcbGqqur46G+iYmJuILKxsbG3Nwcb4Bvo2PGjKH6OVVWVl69enXgwIH42p6dnR0bG1tZWWlqaurq6sqfeHl5eUxMTHZ2try8vL29vcBoX0peXl58fLynp+dHO2VjxcXFP//8c3h4OH9nSgCora29dOmSi4sL7t6UnZ2dlJRENdUlJibW19fb2dkFBwfjinNqx8uXL/OPSdLS0hL4MRh+kZGRAjMAqKqqDh48+MqVK7iTKEVGRgaHB/yePHlSXl6O7xTXrl1TVFSkegnfuXMnOTlZWVl56NCh/D208HEVFRV169bN3t6e+vC5XO4///yTlpamqak5dOhQ/rAhJSXlzp07srKyQ4YMwWPdPqq1AdaPY+vWraNHj8aBYFtVV1dnZmaSGwPRsrlz5+7YseMLdmxsbHz69KmlpWULF0eCIIivNGfOnJ07d37ZdSYrK0tCQuLLxnL9x5AAiyAIgiAIQsjIGGmCIAiCIAghIwEWQRAEQRCEkJEAiyAIgiAIQshIgEUQBEEQBCFkJMAiCIIgCIIQMhJgEQRBEARBCBkJsAiCIAiCIISMBFgEQRAEQRBCRgIsgiAIgiAIISMBFkEQBEEQhJCRAIsgCIIgCELISIBFEARBEAQhZCTAIgiCIAiCEDISYBEEQRAEQQgZCbAIgiAIgiCEjARYBEEQBEEQQkYCLIIgCIIgCCEjARZBEARBEISQkQCLIAiCIAhCyEiARRAEQRAEIWQkwCIIgiAIghAyEmARBEEQBEEIGQmwCIIgCIIghIwEWARBEARBEEJGAiyCIAiCIAghIwEWQRAEQRCEkJEAiyAIgiAIQshIgEUQBEEQBCFkJMAiCIIgCIIQMhJgEQRBEARBCBkJsAiCIAiCIISMBFgEQRAEQRBCRgIsgiAIgiAIISMBFkEQBEEQhJCRAIsgCIIgCELISIBFEARBEAQhZCTAIgiCIAiCEDISYBEEQRAEQQgZCbAIgiAIgiCEjARYBEEQBEEQQkYCLIIgCIIgCCEjARZBEARBEISQkQCLIAiCIAhCyEiARRAEQRAEIWQkwCIIgiAIghAyEmARBEEQBEEIGQmwCIIgCIIghIwEWARBEARBEEJGAiyCIAiCIAghIwEWQRAEQRCEkJEAiyAIgiAIQshIgEUQBEEQBCFkJMAiCIIgCIIQMhJgEQRBEARBCBkJsAiCIAiCIISMBFgEQRAEQRBCRgIsgiAIgiAIISMBFkEQBEEQhJCRAIsgCIIgCELISIBFEARBtA1CUF7+4W1VVccVhfj+cbmQmcl7jRDk5HRoaYSHBFgE8R17+BBevOC9fvwYCgo6tDTED6OiApSV4fx5AAAOB/r16+gCEd+zykowMoJTpwAAOBxwde3oAgkJDSHU0WUgiB/XrFmzzp49q6mpqaGhofqempqaurq6qqqqqqqGqmpnVVWg0T6++6RJEB8PyckgLQ1z5sDw4eDm1r4HQPyQysvBzg4kJSEuDhgMsLD4EOgTRFuVl4O9PYiLw82bIC0NPXvC8+cdXSZhEO/oAhDEjyshIWHv3r0IoYJPVD0ZGJhkZ7+m00FVlfdPTQ3U1Xmve/YEALC1hT//hPXr27XkxH9JZWUli8Wqrq6ur69vaGiorKxks9kNDeaVlboNDVBVBWw2VFZCYyPU1UFNDbBYsHo1KCiAjw+sWQNBQR19AMQ3qbq6ura2tra2tqKior7eqKpKqbYWysuhthZqa6GmBioqeK8DA0FODqZNg+XLYdu2ji638JAAiyA6TEhICEJo2rRpM2fOLCoqKnmvsLAQv2AydWpqoLQUioqgqEhwd19foNFg+nSYPx+8vTviAL4XLBYUF4OODu9tdTXIyICYGABAXR2IiYGUVAeWrkM8fPhwxIgRFRUVDQ0NH93A1vbo3bvjP7X7nDkAAH5+YGsLT5+KqIzEd6OsrMzd3b2xsZEKqiorK/k3GDAgPD7+kxepefMAACZNggMH4NEjURe2/ZAAiyA6RklJSUREBJ1OX7ZsmaGhYUpKioqKip2dnaqqKpPJ5N+yqQlKSnj/cKRVUgKlpdC3L1y7BmJisH07zJ0LnTt31KF82xYvhvh4MDGB1FQICgIXFxg/Htav51UABgWBsTFMnNjRpWxvGzduLC4ubmpqAgB5eXkJCQkFBQUGgyEtLS0nJycpKdmtm5ahIcjIgKwsSEqCoiJISgKTCUwmSEqCgQEAAJ0OO3fCwoUdfCwdoKYGZGV5r5uagE7nteJzuQAA9B+uc7O/v/+jR48aGxv5FzKZTCaTKSsrq6io2KWLtLw8yMmBggLvLJKXB3l5YDJBVpZ3OtFo8NdfMHduxxyCKJAAiyA6xv79+xsaGn766SdDQ0MAWLBgwbVr1/AqGRkZqidWp07dGIwtqqqgoQGqqqCtDT16gJoaKCsDAOA9BgwAPT2IiQF39w47nG9UVBRkZMDt20CjQUEBDBoET550dJm+CQ8fPmxqarp//36/VnRQLy8HNhtqaqCuDhoboaICOBzeqj59wNQU8vJEW9pvyLZtcPIkaGvDu3ewYQMMHgwTJsCcOTBgAADA5s0gLw8zZ3Z0KdtbampqY2Pj7t27nZyccFylpKT0qY0RgooKqKnhtQ+WlwOLxVvVqxf06gWxse1UbFEjARZBdAAulxsaGgoAs2bNwks6d+5cXl6OGwrr6urevn379u1bADA3L3327CMpiIvDwYMf3m7aBGZm7VDw782NGzB2LK92QVMTzMwAf5rXrsHr1wAAL16AsXFHlrAjPH369O3bt5qamn379gWAlStXvnr1isVi1dbW1tTUsNns8vJyFotlaNg3IeEMdfPjd/o0LF7Me/3nn7zhhP99d+7AxYtw9y6Ii8O7d2Bv/59q0PpShYWFqampMjIyU6dOlZKSOnDgQHp6OtVQWF1dXVNTU1tbq6Zm9vjxsdpaqKsTTCE8/EMv0vXrecHqfwAJsAiiA0RHR2dmZhobGw8ZMgQv2b17N7W2traW6olVXc3Iy4PiYl7LINVQWFEB8vK8B2YAkJaGiAgyWr6ZhgaQlPzwVloa6usBACoqeE08+O0P5sqVKwAwdOhQGo0GAFFRUSkpKc03U1ExxNGVggJISoKcHEhLA4MB8vKgogIODgAATU0waRLExoK7O6iqtuMxdIjYWPD2BnFxAAAtLbC05AVYDx9CbS0AwJs3YGnZkSXsCLGxsQghBwcHKSkpANi7d+/Dhw+bb9a1K724mPdaUZHXUIgbDVVUwNGRt8rXF6KjoW9fMDRsp/KLDgmwCKIDhISEAMDMmTPpH+uugevYDXDHhE9gs4FG413qi4pAVxdkZaGkRDTF/X517w4PH8LIkQAATU2QksKr6PP05PXB+oEatz6IiYkBANf30w2tWbOGw+FISEjIysoymUxJSUlFRUUJCQk5OSUZmc8MABATg6YmqK+H48d5Pd//y/DwCAqTCdXVAACvXgEeK5CX92MGWADg4uKC306bNm3EiBFU7yt8UjGZTGVlDRkZXqerFsjLA4cDYWGwZo3oiy5iJMAiiPaWnp5+9epVaWnpSZMmfXEiEhIfXqurg7Y2ZGfDs2dgYfH1BfwPmTwZBg8GJSXo1g2OHgUvL1BX7+gydbDa2trbt2+LiYk5OzvjJaNGjfqaBHGVw+HDP0CA1bUrPHnyYcjukyewYgUAwIQJ/51mrTZCCOHOo1SA5efn9zUJTp4MR47AoUOwatV3P1qABFjED6OhAf76C548AQ0N+O23Dux5Ex4u37//rm7dnquoqAgrzYEDITsb7twhAda/ycjAzZtw/jy8egWzZsHAgQAAs2eDnh5vAw8PXiPrD+PGjRuNjY39+/cX1uk3YgQoKkJiIjx9Ct27CyXJb9WECWBnB3v2QM+ecPIkWFn9F9qxvs6zZ8/y8/O1tbW7desmlAQdHMDYGNLT4cYNcHISSpId5juPDwmi9Tw9QUoKtm8HDw8YPhzeveuQUtTXw86danfvzvTz+0uIydrZAQDcvi3EJP8rpKVh3DgwNISFC2HzZgCAIUN4gzABwMoKTE07sHTtT6B98OsxGDB2LADA0aPCSrLtHj2CgwchOho+2idfWKSl4eZNEBODK1dg8GAIDQUAmDABOnXibeDo+KNVZV29ehUAXFxcaJ/6uYk2otHA1xcA/jWI5ztFAizix/D6NZSWgr8/qKuDvT1Mm9ZRX9/jx6G0FGxswNpamMniACsuTphp/qewWJCQAO8nwviRxce/BAA3of6mEr4jHjkCTU1CTLXVAgMhMBAYDEhIAAcH+MTUqcIhKwt+fuDmBvv3w9q1AADDh4O2Nm9tnz68vn0/DIEOWEIxZQqIiUFkJFRUCDHVDkACLOLHkJUFJiYf3pqaQlZWhxRkzx4AgPeTMwhN166gpgZ5eR11WN88Bweg0eDOHdHWcHzz3ryBJ09iBwwotxZqgG9rC126QH4+XL8uxFRbp6gIwsPh1Cn45RdYtw4GDoRDh0SeaUMDXLwIUVEiz+jb1tgIr19H2dm9dHYW5u8z6+rC4MFQXw8nTwox1Q5AAizix6Ch8a/fmiksBE3N9i/F/fuQmAiqquDlJeSUaTRe0wRpJfw4dXXo1g3q6uBjA8h/HFeuAJcLnTopiuFfChKe8eMBAA4fFm6qrfDiBfTsCdTh9O8Pyckiz9TWFqSl4ckToCYe+CHdvQvp6RLV1V00NIQ8RcfkyQDffyshCbCI/zQOB3bsgDFjwNwciorgwQMAgMpK+Ptv4cc4rRASAgAwbRowGMJPHHfgvnNH+Cn/RwweDABw40ZHl6MjXbkCACC8/lcf+PiAuDhkZBRV45kL2o209L/aBBsa/jWTgohIScHAgYDQD3464SnXhdo8yDNqFKipAcC7588zhJ96eyEBFvHfdecOWFnBvHkQGQnx8XDmDAQFgbMzjB4Ny5eDhQWcOAHTpwOb3T7FKSmBU6eAToevG8X8SbgbVmpqOx3O9+eHD7AaG+HWLaDRRHJH7NQJ3Nwmx8drnD59WvipN1dYCJmZAADm5vD8OZSV8ZafOwf29u1RADzC7Z9/2iOvb5XoAixpaRg3LiAhQfvgwT3CT73dIIL4z6koKkKTJyMaDQEgY2MUHf2RjcrKkIICAkCurqiysh1KtWEDAkAjRogqfRaL27XrCBqNVlRUJKo8WlBdjV6/RixWB2TdSqWliE5HDAaqr+/oonSMq1cRALK0FFX6+/fvBwAHBwdRZUDJy0NmZsjAAGVlIYRQVBSytERz5iAXFzR7tshzxxITEQDq1Kmdsvv2lJTwvk91dSJJPyEhAQA0NDRY3/JVpUWkBov4T0EIHT582KRbt4Jnz0BcHPz9ITkZhg37yKZKSnD1KmhoQEwM2NpCdraoyxYeDgAi/B1YCQmallYNQuju3buiyuNTAgJg+HDYuhVsbODMmfbOvZWUlaFHD2hogPv3OyD3igqYMgVcXGDwYFix4sOvJbejmBgAAKEOH/yXsWPHysrK3rp1KyNDlM06OTng4AAvX4KSEq818Kef4N49+PVXOHkS/hLm7Cct6d0bVFUhKwtEerAtqK+HW7cgNhbKyzsk/9hY4HLBzg6kpUWSft++fS0sLAoLCy9fviySDESPBFjEf8fjx4/79+8/ceLEkpKSbUZG8OwZ7NgBTOYnd+jbF+7dg27d4OlTsLERRffnpiaoquK9vnULdu2C9789KBJ2dnYAcLudO7pfvQovXsDNm7BnD9y4AUuXdtQV//M6sJVw7lzo3x9iY+H6dSgpgV272r8IouuAhcnKynp4eCCEwvHDhCi8fQuDB8Pr19C7N1y7BiUlYG8P+fkgKQnm5qCkJKp8m6PTeT/H2CGthFlZYGcHN27A48fg5ATx8e1fBNG1D1J8fX0B4OD329e9g2vQCEJI9u7diwdG6ejonDx5sg17VlWhoUMRAGIw0IkTwi3Vw4dIXBw9eoQQQi9eIHd34SYvCP9mRZ8+fUSbjYDly9GBAx/eenujf/5p1wK0Wu6VK+v79v3Zza0D8tbWRk1NvNdpacjOrp1TVdHRAAAgAElEQVTzz8lBAEheXrStuHgWUxMTEy6XK/zUMzORoSECQFZWqLQUPX6MVFURAJo1S/h5tcaePQgA/fxzB2Q9cSI6fZr3OjUV9evX/kXQ10cA6MkTEWZRWFgoISEhLi7+7t07EWYjMqQGi/iPcHR0lJaW9vf3f/78+Vg8sXQrycnB+fMwZQo0NIC3Nzs4WLgFs7aGefOAyxVuqh9nY2MjISHx+PHj9hjJ1dDAGx/Q2PivX0aUkoLGRpHn/kVkbWzWJCWdvX69tra2XTNuaAAJiQ+/rKai0v6/y33/PtBo4OT0r7+V0Dk7O+vp6b158+bevXtCTjotDezsIDMTbG3h+nXIygJnZygpgaFDYetWIefVOo1DhhwcOHD4s2fc9vl680tK+tCXv3t3yM1t5zleX76Et29BXR169BBhLurq6kOHDuVwOMePH6+vrxdhTqJBAiziO1NQUDBr1ixHR8fp06cXFhYCQGRkZH5+vqmpaWZm5o4dO+S/4KflJCRg/34IDubS6T+fODF9+nS28IYWmpqCtTXs2yes9FrCZDJ79+7N4XBw/1ARys4Ge3tYsgQAoGfPD72auFxITPxmf5FOQUGhd+/eLBZL+Lf/ljEYQKdDZSXv7fPn/5r2VpSamniD7Tw9IS8P5s8XVUY5OTkAQKfTvb29AeCwcGfEevkSBg+G3Fyws4PLlyEtDVxcoLQU3N3h7FmRzHrSClJGRuvz8i49fZrcDjNvCaDTBR/ahPRLNa1kaAgxMbB9u8iznTx5MgDs379fT0/P2tp6yZIl165da/xWH+EEdXQVGkG0AYfD6dGjx+nTpzkczq1bt27evHn37t1ffvll1apVmZmZX59+0rlzDAYDAIYOHVpVVfUFKbBYKDERBQUhd3dkZIQSEpCPD6qqQubmKC5OhE2E2dnZ+MWCBQsAYNWqVaLKCSF05gxvAGaXLqi6GrFYyN4erVyJTp9G48ahpUtFmPVXW7RoEQAsW7asnfLjctHFiwghtH07GjcOpaej5GTUvz+6fh09eYIsLVFSkkjzz89HAAi3mVdXo169RJJLaGiolJTUpUuXEELPnj0DADk5ufT0dKEknpycvMjOjisri5ydUW0tunMHycsjAOTl1eGjVqdNmwYAmzZtau+MZ8xAR47wXj98iPDIzVu32iHnHj3Q3r281wMGoIYG0WbHZrPV1dUBQFJSkopbZGVlhw8fHhwc/Pz5c9Fm/3VIgEV8TxISEpydnQUW7t+/XyjRFXb//n0NDQ0A6N69exYeBP45ZWXowgUUEIAGDECSkgjgw7+ICOTjgxBCJ06gwYNFEmCVlZX5+/tLSko+evQIIXTu3DkAGDx4sPBzQgix2SgggDf/xciRqLwcZWai9HTEYqGoKLRnD4qPF0m+wnPp0iUA6N+/f3tkVlWFRo1CAOh//0MIoTNn0LRpaPZs3qc0ciQCQBISaO1a0QUK+fmoTx/UqxeqrBRJgFVdXY1b5Gk0WlBQEELo1q1bDAZDX18fAIyMjPz9/WNjYxu+9D786NEjFRUVANg5ZQqqr0e3biE5OQSAxo1DbLZQD+VLHD9+HABcXV3bKb+aGjRjBsrNRXl5qF8/9PvvaMUKZGmJHj9GsbGIRkOurqh1V60v1qUL6tsX4T5R3buLfM6TR48eKSkpDRo0KCsrKzY2NiAgwMrKiv+HpTU0NLy8vEJDQ3Nzc0VblLYjARbxPTl37tzkyZNFnUtGRkbXrl0BQEtL6+HDhx/dJjc399ixY7/99punZzSd/iGiEhNDvXsjf38UEYHevUMPH/ICLISQmxtyd0cPHqDAQCSUHsBcLnf//v2qqqr48e5///sfQujFixc0Gk1SUvLo0aONjY1CyIaSm4tsbREAEhdHQUEIIXTxIlJWRhYWqLZWmBmJUnV1Ne42Wynqyc9evEBduyIApKyMrlz5yAZ1dSggAOGzx8JCRFVZ+fnI0RHt34/mzBF+gJWWlta9e3dcX3X69Gkul7tp0yZxcXEAMDY2lpWV5a9y8PDw2LNnT0ZGRuvTT0xMxNHV8OHD6+vrH/zzD1dZGQGgyZMRhyPMI/lSxcXFdDpdRkbmiyPINsjIQD16IADk4oLQ+9rye/d4376zZ3ld/uXk0O7dwrnEfEzXruj8eeTtjZDoA6yDBw/iJgVtbe3ly5fHxcWx2WyEUGFhYUREhJ+fn66uLn+LHBXQ138bc92RAIv4nny0BksUysrKHB0dAYDJZJ47dw4vTE9PDwsL8/Pz69atG/WVtrP7VVwcWVnxgqqysn+lU1SErl/nvc7MROfPIx0dBIB8fL62aj05OdnW1haXwd7e/tmzZ01NTWFhYfiGhKvTNTQ0AgICWlkP9xnXryNNTQSAdHVRfDxis9GSJbyqLA+P9pmpVVj69+8PALg9S1TOneM1Y/XqhVpuKbtzB3XuzAtbAwKQ8GLixES0ahXKy0OOjqipCQ0ciOLihBlgXbx4UVFREQC6dOny7Nkz/qqsgIAADofD4XASExNXr14tUOVgZGTk5+cXERHRciv83bt3cX/Kn376qaGhITo6msFgBFhacmbN+jAe8xvQs2dPALhx44Zos7l1C6mrIwDUuTP6VLtYYSHy8eE96tnaohcvhFuEhARUV4e6dkUIIXd3dO2aCAMsNpsdEBCAT5jJkydLvB+awWQynZ2dg4KCEhMTuVwul8tNTk7esmWLq6urNN98XNLS0q6urlu2bElOThbJgNbWIQEW8T3hcDgWFhZRUVEIodLS0oKCAtHl1djYiPtXiomJWVtbq6mp8T8qKSoqDh8+fMOGDfHxSW0KlWJieHfeAQPQl824XlNTs3r1ahxCaWpqhoWFcbncpKSkfv364bINHjx47dq1Pd4P7xEXFx8zZsw///zzZReapqamt1u38ipahg5FJSWoqAg5O/NigtWrv6m7XWssW7YMABYtWiSS1DmcD62o3t6tqtsTalVWXh4KDka9e/Pus+fOIUdHhBB6/BjZ2KBevVB5OTp27GtyQFwuNygoiE6nA8CIESMqKioEqrKa74KrHHx8fJSVlakvEYPBoG6WAtvfvn1bTk4OAMaOHctisS5evIhrMmbMmNGB98uPwr0eV6xYIcI8QkORhAQCQMOHo4qKz2x88SLS1eXNOxMU9PVVfaWlKDQU9eqFANDRo7wAKz0d9emDunZF9fWo2V/va5WUlDg5OQGAlJTUvn37Ghsbo6Oj582bx/9kCwD6+vpTp049ceJEcXExQojNZt++fRu3IdLfj9jV1dXlcrmhoaFDhw796aefIiMjhVzWFpEAi/jO5ObmTpkyxdHRccSIEZ9qvxOitWvXSklJUdGMu7s7vh80fUVUkZLCm0LG2Bi9fNm2faOionDvFjqd7ufnV1FRUV5e7u/vT80BFhYWRm2cmJjo5+fHeD/GytTUNCgoqLS0tPXZFRcXu7m5acnKNpiY8GKpW7eQlhYCQOrq6Nq1tpX+2xAbG4sbrXbv3l0mUOX4lYqLP4SeuBW19W7cQEZGCGCbo+O6deva+vMgdXUoPBy5uiIxMV5opa6O5s5F9+7xAiyEkL8/6tULTZzIC5VzctpWQKyysnLkyJH4wSMoKIjL5QpUZbW8O67WCgoKcnZ2xo2JmKampo+PT0RERHl5+a1bt3Dz4i+//MJms0+dOoUrMBYsWPCtRVfofa8+GxsbkaReX48mTUIAiEZDAQGtfZgpK+PtBVBrZ/c0NfULcmax0LlzyMODF9oBIA0NtG8fL8BCCK1bh2g0dOkSotGQuzvKy/uCTD7iyZMnhoaGuFnw3r17AmsLCgpw46COjg518tDpdCsrq4CAAKq3X2Fh4bFjxyZPnrxkyZJdu3aNHj26qqqqsrJy9+7dXC43Nze3TkS/7/NvJMAivktxcXGrVq16+/atqDNatWoVboMT1pAoLD8fWVnx+ufcvNmqXV6/fu32/ldOrKysEhISuFxuWFgYHmIjISHh7+//0TaXgoKCoKAgAwMDvK+srKyfn9+TVswPePfuXdzFQUND496NG4jLRcHBvMutgwP6Pqf+QwiVlZUpKCjgT0NMTIy6NLO/rtP0gwcPVjo5IQkJpKWFbt/+kiSqqwsXL8YtHZaWlsnJyZ/dg8vl3r2bNmUKr1oUAElJIU9PFBXF6zdfX//hBKusRFevokOHkKIi79yjBqK1UnJysrGxMQCoqKhcvXq1eVVWm1IrLi4ODw/38fHBw0owCQkJ/LTg5ubW1NR04sQJHIctXry4bWVtL7W1tVJSUjQabebMmWlpaUJMuf7tW2RpyetWdfZsm/e/cgUZGMy3t5eQkAgICGh9j8wXL1BAANLQ+NCv1NkZRUTwzqitW3mbNTSg5ctRWBhv1IGKSptPp+aOHz8uIyMDAP3798/Pz2954/T09NDQUHd3dwbfPB0yMjL8bYgIob59+7569Yp/x9GjR4uLi1tZWa1evforn5ZbRgIs4rs0atQoADh06JBIc2GxWPg5KS4uTuiJ19SgESN4d8SWL0x1dXWrV6/GFxElJaXg4GAOh/Pq1StnZ2d8TRk0aFDq5x5Sm5qaYmNj3d3dqd4wVlZWYWFhn6opCQ0NxfV2dnZ2eXl5paWlF2bNQgCITkcrV34jXYy/2JMnT7y8vBwdHfnHfqupqXl7ex85cqSwsLCtCe7bt09KSgoAoiZN+spn+Tt37piamuJQo4X7YnZ2dlBQkImJiZycvIxMLZ7ePDi4Ve3O797xhjDiqqxWjr46duwYk8kEgN69e2dkZFRWVnp4ePBXZbXlKAU9ffoUV2tRfxFxcfEFCxbg6CogIOBrEhc1qnUeALS0tHBVXJuqipuLi4vT09YutrJCJibo6dMvS4RbVTVn9mz8le/Ro0fLVf7l5eV79uyxsbHR1n6Lz43u3dHWreiz34a8POTh8eF0+rLHXg6HExAQgIvq4+PTphqmurq6mJiYhQsX9uzZk7+3n66ubl1dHf6ff3sXFxeqDRF/8ceNG7d//36OsJ/YSYBFfJe2bdsGAFOnThVpLidOnAAAc3NzETVMcDjI3x8BIH399D/+2PTRXP755x8zMzMAoNFoPj4+hYWFtbW1VB8sFRWV0NDQNhUvLS0tICCA6gqDO8JT02ghhKqqqry8vHCO/v7+LBbrwYMHuALsuZvbxwfEfbdqa2vx2G88bpTSrVs3XK312ef+hoYGf39/vJefn59QRm7W1dUFBATge0CPHj2S+HpllZeX//3337a2ttSNRF9ff/Pm5H8/ordKRATCY/IUFVFoaEtb8vc4njBhQm1trUBVVtsP8ZMqKipOnTqFx2rgY1y7dq0Q0xeFmpqaSZMmjR49Gg/ppSpH+/btu3z58lu3brW1wXfnzp24VfRXT09UXv6Vxbtz5w6+hoiLi/v7+9fU1PCvxY9e3t7eVCdxN7c/Zs5EDx60LZdDh5CSEgJACgro0KHCNl2USktLXVxccAmD2tq2/m9FRUW4DVFPT8/S0hIh1Ldv35fNumJUVVVFRUX5+fl16tQJH/UAPP7IyAj5+aGIiM/3dWsFEmAR36UHDx4AQJcuXUSay6BBgwBgLzWtnmjs2sU2MTEHAF9fX/7bc15eno+PD/7y9+jR486dOwihqKgoHOvQ6XQfH5+SkpIvy7S6ujo0NBQPgMKpubu7x8bGPnr0yMTEBADk5eVPnTqF3s8hCQDW1tZCnG/sG4RbHLy8vHD3aozJZLq7u4eGhvLHoJTc3FwbGxsAYDAY+/fvF255+KuyFi9efPnyZR8fH+b7Hy+Xlpb28vKKiorifEVtYm4uGjaMV/fg6Vn/0V98KyoqwiNqqZufQFXWlx/hp0VHR+PD/OOPP0SRvuhQVXEtt1t9SkNDw9SpU4FvMKZQSoVDdtz2amxsfP36dYRQTk5OUFCQkZERdRGwtbUNDQ0ViMBar6AAeXoiSclGU1MLOzu7V62L+lNSUnAZVFVVr1ODroWhqKgIIbRr164xY8bU1NQ0NTU9f/588+bNQ4YM2bx585MnT/Df4tWrV7t27bowe/aHhnY8QZ29PQoM/JrBmCTAIr5LbDYb3wVF9yOgz549o9FocnJyXzale5tcuXIFj0gfMGBA0fs2HtwXm8lkrl69urGxMT09fdiwYfhS2Lt37/v37wsl68TERB8fH2oUNL4EW1hYZGRkVFdXjxs3Trh1M98F/uFIzecXiIqKwrPsxMXFaWpqAoCent6Dtj7vt051dfVvv/1Go9GoYtDpdGdn58OHD3/xXbA5XJVlb79QUVEx9N91WS9fvsSt5Do6OvHx8c2rsoRVBgFVVVW4M1Y7fPtEpK6uruWJMfOaNSXn5eVR8frhw4eFXqSEhAQ82JNOp5uamlKlMjIyWrt27UcfIb7A+fOpuGMok8ncvn17yz2coqKi8KWvd+/ewplQphkulxsSEuLq6uri4rJhwwY7Ozvqb6Gmpob/Frxj53B4P8Th7PxhzugdO1BBAfr1V+TsjDw921SzRwIs4nuFeyCdOXNGROnPmDEDAObMmSOi9AWkpKTg4YEmJiZUhfaOHTtyc3NZLFZwcDCuM1BUVMR9sISbe35+/tq1a6mBOUpKSrdv3zY3NwcAOTm5EydOCDe770h2dnZoaOioUaP4f+OSyWRaWlri7kEuLi5fXI/YSlu2bAEAdXX1P//8U0QDO3Jzm4YPd8dH5+HhQT23NDQ09O3bd+DAgfn5+c2rskQKhxqXL18WdUbtoDUTY969e1dLSwvH683nrRAWFosVFBQkLi6upaXFYDC8vLxiY2OF3gWivLzcz88PH2P//v1bGFuKO3t4e3uLLlgXUFRUdPz48SlTpujp6VF/CEkxMY6NDZo/H126hPCjS0UFioxEM2eily+RlRWva8SbN8jMDLU6EiUBFvG9Wrt2LQDMmzdPFIlXVVXhG+rTL+1e+gXy8vKsrKwAQFlZ+db7nxW7fv061T3Iy8tLpFN/sdnsAwcO4AZB/H/Xrl0/O/D+B8E/bSadTmcwGAwGY+7cuUIPdptbuHAhACwV/Y88RkRE4M55/FVZRUVFLBYrMTERPwDgqixRlwQhtHTpUviGBw9+GS6X++TJE9xKJTAxJq5FdnJyElG8npqaimtec3Nz8UOCqB8MLl68iANKKSmpDRs2IIRKSkqOHTu2b98+qrbsxo0bop3yt0UvXvy/vfuOa+J8AwD+JGElhL23gAOkWAERVBAHS1ScWCcu3EjdA1fdpYJ1UqtWCnUvKk4EBwIOEERRGSqi7CWbQIDc749Xr/kFS1Ej0fb5fvgjt957c1zunnvXpe3atWvo0KFze/T4q3KQjBy9fDkVG0s1N1OJiZSHx1/bbNtGBQS0MX0MsNDX6vr16wBgY2PzORLfvXs3udh9jsRbUVNTM3ToUHJJ2r17N90Gq3PnzlFRUe2TB9IEBACmTZvWPqPFfHUKCgpsbW0BIDg4mKKolJSUhQsXfkTfwzYi1To32ziex6cpKCggfQMBwMPDg7zfje5S6uDg8Pkq5UVcvXoVAGxtbdtnd+1PpCZaRUWlV69eH9ocvo2am5vV1NQ4HE5BQcFvv/0GAMOHD/8cOxJRWVnp5+fHZDJ9fX1fvnxpbm7+888/h4WFDR06tK6u7tKlS2PHjv3sg+C3BZ9PxcRQq1dTdnZ/DSUHQM2dS507R82Y8deax49T33/fxlQxwEJfq7q6OhkZmc/USoPc0j5f/WMrmpqafH194d3rbuTl5QMCAj7TZfe9tmzZAgDu7u7ttsev0ZEjR+Dd8JIkJt6xY8fn2FFOTg5pC9ie58Bvv/1GhgpTVVXt378/ibdmzpzZnnkg40uxWKzyT+5G9+U7dOgQAFhaWlIUlZiYOGLECPFWwpJeQR06dKAoijSs3Lt3rxjTb92NGzeqq6t9fX1FWvhlZWX5+vq2w3CGH6a6moqKovz8KGNj6tgxKimJEr4Y/vgjtW1bG1PCAAt9xUgrjcjISPEme+3aNQDQ1dVtz9uJiBEjRsjJyVlYWLT/1efYsWMAMGrUqHbe79elrq6ODF+elpZ26tQpACB9wsXuwIEDADBixIjPkXgrCgoKPD09SYwlKysbEhLSzhmgKMrBwQEAyKux/t34fD55GVdSUhIpujM2NhZj06jNmzcDwOzZs5ubm0kLdPGOidoWAwYMePDggcjMfxzAT8Kam6nmZqpnT+rCBYqiqMxMyty87QPd/TXWFkJfHXL9jYuLE2+ywcHBADBnzhy6b137MzMzq6+vHz9+vHBLzPZB3lPx8uXLdt7v14XNZo8aNQoADh8+7Onpqaamlpyc/OjRI7HvKDIyEgDc3NzEnnLrtLW1z507N2DAgDdv3ixfvnzKlCntnAEAGDBggK2OjvTDh+2/63YmLS09YcIEAAgJCRk4cKChoeHLly9v3bolrvRJl2QXF5eUlJTi4mIjIyMyAkh74nA49fX1IjNJXcGXi8kEJhMuXICLF8HZGVatgiNHQFe3rVt/1rwh9FmRDrexsbFiTDM/Pz8iIkJaWnratGliTPZDlZSUAIDwuIXtBgOsNvL29gaA0NBQFos1ZswYADh8+LB4d9Hc3EzaGrq6uoo35TaytLQEABUVFYnsfXX//gkFBe5nzkhk7+2MtH08evQon8+fPHkyAISEhIgl5dra2jt37rBYrH79+pHiMYmcTn379j158mT771cMNDQgOBiio+HkSbCyavt2GGChr5iDgwOTybx37x6fzxdXmvv27WtsbBw1apRumx9TPgcSYJFag3amqanJ5XLLy8srKiraf+9fEUdHR1NT09zc3JiYGBJshYWFNTU1iXEXd+7cefPmjbm5OYl62x95MVxdXZ1E9i7dqxew2fDoEZSWSiQD7embb76xsbF58+ZNRETE1KlTGQzG6dOnq6urPz3lmJiYhoYGW1tbVVVVuijr05P9UPPmzXv16pWrq+v06dM9PDwoimr/PLQzDLDQV0xVVdXc3JzH4yUlJYklwcbGRtLFZt68eWJJ8KOVlpaChAIsACCvj8jOzpbI3r8WDAZj4sSJABAWFmZvb29mZlZUVBQdHS3GXZD6Qfol3+2PDCXA4/Eks3tZWbC3B4EAxFpK/cWaOnUqAISEhBgbG/ft27e2tlYsRT4kqHJ1da2rq4uPj2exWAMHDvz0ZD8Uh8M5c+bMgQMH5s6dGxERITz46r8VBljo6yZSS3js2LF9+/aFh4fHxsampaWVlJR80HPS2bNn8/PzLSwsSOsuCZJgCRa8qyXMysqSyN6/IpMnTyYlDTU1NXSwJcb0r1y5AhINsCRbggUAQPow3rghsQy0owkTJrDZ7KtXr+bk5NDB1qcnS6oFXVxcbt261dDQYGNjQ7+KtJ2Vl5d36NBh4MCBZJDef73/xJdE/2KOjo779u2LjY1dtmwZAAQGBiYnJwuvwGQy1YVoaWnRnzU0NDQ1NdXV1XV0dMiLdffu3QsA8+fPl8h3ESbBNlgAEGhr+3tenmx+vkT2/hUxNjbu06dPXFzc2bNnJ0+evG7duvDw8IqKCtLB8BOVlJQkJyez2Wzhl3u0M/L+AAyw2oeysrKnp+eJEyf++OOP77//3s/PLz4+Pj09nbyq+ePk5eWlpaUpKCjY2dmtWLECJFQ/SJD3m9XU1EgqA+3ts/VuRKg95OTkAICKigp549W2bdtmzpw5fPhwBwcHMzOzNgYo1dXVFEU9fvy43V4+2LrGxkYGg8FisVp/jddn9PPPFAA1b55k9v5V2b9/P7wbk5a8SebAgQNiSZkUhnkIjyLd7kJDQwFg0qRJEstBQwMlL08xGNTnfIfBl4OUWZqYmAgEAh8fH/jkEfxJGZinpyfVviPW/h3yDuz/yAjGWIKFvm76+voGBgY5OTlBQUFjxoyZM2cOeeamNTc3l75TUlJSXFxMTxYXF5eUlFRXV3O5XADYs2cPRVFTp04lj1kSRF5hoaamRsrVJIA0qcaOhG3w3XffLViw4MaNG69fv/b29r5+/XpYWBi5NX4iSQ3QIEzyVYQyMtCnD1y9CjExMGaMxLLRXlxcXAwNDbOysuLi4qZOnXrw4MHQ0NCNGzeSt7B/BLpVe2Fh4ZMnT+Tl5cnwgZKioKBQX19fXV0t/KagfysMsNBXj9wDli1bRmoJ5eTkVN7R1dXV0dERnjQ3N1dRUdHS0hK5YFVXVx89ehQA6HeUStCbN+y+fXdpa0suBxhgtZmioqKnp+fx48cPHz78/fff+/r6xsXFvXjxwtTU9FOSFQgE5NYowQZY8CUEWADQvz9cvQo3bvwXAiwmkzlp0qTNmzeHhIQcOnTIzMwsPT09MjLSw8PjI1Kj3r1SzMXF5erVqxRF9e/fn7xmVFK4XC55rCXjnf7LSbYADaFPV1BQ8O233xoaGhoaGpL7wT9isVhaWloWFhZOTk6jR4+eO3eukZERAPTu3VvS34aiKOr6dQqA6tdPcjmoqqIAKDabEt9Y0v9ily5dAoDOnTsLBAIyXsO6des+MU3ybhNjY2NxZPDjxcZWmZvfHzHilSQzcfcuJS1NTZwoyTy0o6ysLAaDIS8vX1VVtXXrVgAYPXr0xyVFGqTq6+tTFEU6YezcuVOsmf1g3bp1A4CUlBTJZqN9YAkW+uppa2unpKTQkzwer/ydgoKC/Pz8lpPFxcVFRUVFRUUiSUmwNbGwkhIAAAk1cAcAAAUFUFODsjIoKgJJlqR9HVxdXXV0dDIzMxMSEry9vcPCwkJDQ9etW/cpHdFJW5xBgwaJL5sfQ1ZWIS3NhsuVaCZsbSEnB9LSID4erK2BzYamJkhJgR493q5w5w706iXRLIqTsbGxo6PjrVu3Tp8+PWXKlDVr1kRERJSWln5Elxe6EJR69wYwCbZwJ0gDDLGM7/XlwwAL/duw2Ww2m936MKFNTU10S6yioqLS0tIzZ85MmjSJdI2WOBJgSWiIhneMjaGsDF6+xADrH7FYrAkTJgQGBq7Rg3kAACAASURBVIaFhe3evdvQ0DA7OzsuLu5T4vUvoQEWAJAS4dpaiWbiwQOYMQNGjoSGBvDzg1OnQEkJZs4Eur/w2LHw6pVEsyhmU6dOvXXrVkhIyNSpU93c3C5evHj06FE/P78PTYdugJWamlpQUKCnp2dubv4Z8vsBunbdwuM18HhdJZuNdiLpIjSEkKgffqAAqLVrJZoJLy8KgDpyRKKZ+Go8fvwYAFRVVevr6/39/QHAx8fno1NraGjo1KmTjIwM6d8qQVlZFADVoYNEM+HkRCUlvf0cHk5NmECVllJWVn+tYGgokXx9PjU1NaSkJy0t7fTp0wBgaWn5oYnweDw2m81kMouLi7dt2wYAU6dO/Ry5/SCjR1MA1MmTks5Hu8CBRhH64ki+ihCwnfuHsbCwsLKyevPmzYULF8jooydPnvy4tuECgeD58+dHjhxJT08n/VvT0tLEnd+2IiVYkmzjTlGQmQnW1m8nBwyAxEQAgIIC+OGHt39VVZLL32chLy/v5eUFAH/88cfQoUM1NDRSU1MfPHjwQYnEx8fzeDxra2sNDQ0JviFHBKlu/m/UEOJI7gh9eb6IKkJHR5g+Hbp3l2gmvib06wg7d+68atWqEydOfER3rcrKSicnp59++unUqVPe3t51dXW5ubm//vprvoQGfZV8gMVggPDLGAQCIP1/FRXBxeXtn5ycpHL3+ZDmCuRV4uPHjwcA0oiq7QYOHJiamvrzzz/X19fHxcUxGAyJvCFHBBkD5z8y1Ci2wULoi0PebCvhAEtXF9TU4OJFqK+HUaMAANauhQ0b3i7dvx8GDwY9PQlm8Eszfvz4ZcuWXbp0qaioaOPGjR+XyI4dO5ydndetWwcADQ0NsrKy0dHR+fn5qampEnn7OB1gURRI7N1xFhaQkAA9ewIAREeDnR0AgLw89OnzdgUZGQnl7DMiQyWnp6dHRUUtWrRo1qxZH9F8iowsGh0dXVdXZ21t/SWMjEACrP9ICRYGWAh9cSRfgnXnDvj5wZ49oKoKGzZARgb4+0No6F8B1oULYGeHAZYwTU1Nd3f38+fPL1myxN/fv66urqamhs/nV1RU8Pn82trampqaxsbG8vJyMllbW8vn88vLyxsbG2tqaurq6hYtWpSYmLhmzRqSICkA8/T05HA4zs7OEvlSLBbIyUF9PTQ0SK6cKDAQpk+HYcOgvh6io+H0aQnlo715e3v7+/uHhIScOHHiH1duaGiora2tqKioqakhZ1d5eTk56zZv3gwA33777efP8j8jVYRYgoUQkgxdXaiokGgbrB07YOvWt0UF+/aBmRn4+0suN1+Nbt26nT9//vDhw4cPH/6IzQsLC6n3vZtcUtEVweFAfT3U1kouwOreHWJiIDkZZGRg7VqQk4OmJggN/WuFP/+UUM4+L29v79WrV586dUpVVdXAwKCqqqqqqorET+QzCaQqKyurq6ubmppaT60nKQKUNCzBQghJxpUroKcHV64AAFy7BtLS8OIFaGtDhw4AAM+eQVUV2Nh8/nxkZUGXLm8/y8uDggK8eQMAQDeSffjw82fi67NixYr09PSLFy926NBBXl5eXl5eRkZGRUVFWlqay+VyOBxZWVllZWVpaWkFBQUyqaSkJCMjo6CgwGazdXR0Ghoabt68aUdC2y/DpEnA48HHvqlFTLhc6Nv3r0kpKbC0/GvSyqr9c9QO9PT0tLW18/Pz9+3b948rk3NMWVlZXl6ey+XSn+Xl5Z88eeLt7T1t2rR2yPM/6toVvLzA1lbS+WgXGGAh9AXZuxeys+H+fZCVhYMHYdEiOHECHB3fBli3b8OLF+0SYKmrQ1kZGBgAAFAUVFeDkhIAQFTU2xU8PT9/Jr4+XC739KdVYC1YsMDV1bWoqMjY2Dg5Ofm3336T2PsoAV69glWrYN8+4HKhuBg2bYLly2H1aggIeLvCsmWweTNIS0sqg/9+KSkpPj4+fD7fyspKSUlJQUGBxEzKyspcLpd8VlFRIaG8pDP7z0JDQUYGTp4EADhxAiwsIC8POBwgA8Y9eQKPHsG4cZLNozhhgIXQl6VfPwgIgLVrJZqJkSNh1y44eBCYTDh6FHr3lnQJxn+Fmpra7du3ExISysvLhw8fLsHoCgAqK+HyZVi/HrZtg9pauHULFi+Gc+f+CrDOnYMNGzDA+ow0NDTOnTsn6VyITUwMREZC795gZAS3b4OCAjx8CKqqbwOsV6/g1i0MsBBCn828eTBx4v9dZXbsgDNnAABevoR2ao0zbRrk5MCAASAtDRoasHcvAPzfkO5qanhf/UxkZWW/kFc2AYCzMyQkwKNHb5vOIPSJFiwAPz/4FwWNrcEAC6Evi7Q0/PwzLFz41y1t2jTw8AAAOHkSiovbJRMs1l8dBmn37v31OSSkXfKBJIzBgJ9/hnnz/mpTnpPzV0u83FxJ5Qt9rRwd4cGD/+uWsGMHnDoFAFBWBvb2ksrXZ4EDjSL0xXF0BBUViIt7O6moCJqaoKmJpQhIAqytoXt3CAt7O2lgAFFRb//09SWaM/R1CgqCdeuAx3s7uWABREdDdDRs3izRbH0GGGAh9CUKDPzboWJqa2HxYpg1C65ebd88of+qjRvhjz/+dqlAAI8fvx0dF6F/pKMD06bB8eN/uwKPBxkZ7ZihzwarCBH6ghw79nbsbC0tyMkBOTmwsACpdz/TsWNBIAA2GwIDIScHDhwAV1cJZhb9y8nIABn6W1kZNm2CK1eAyYSOHf9aoWNHYDLh9GlgsWDVKjh9GhvmodZoaLwdTW3ePDh/HjgcUFL6q2CezQY1NWhqgi1bQFMTzp2DZcskmFkxYLx3XDuE0JeMosDfH6ZP/7+7HUISNGsW7NoFH/72RYTeo6wMNm+G7dslnY9Pg1WECH1lamth2jT45hscOQF9Kc6dg169MLpC4sHnw9atsGiRpPPxyTDAQugrw+OBhwfIyLx9ZSFCkrVzJ/z2G/D5UF4u6aygr19VFbi4gJISPHok6ax8MqwiRAgh9PFqaqCxEQBAURFLVdGnamyEnBwAADYbdHQknZtPgwEWQgghhJCYYRUhQgghhJCYYYCFEEIIISRmGGAhhBBCCIkZBlgIIYQQQmKGARZCCCGEkJhhgIUQQgghJGYYYCGEEEIIiRkGWAghhBBCYoYBFkIIIYSQmGGAhRBCCCEkZhhgIYQQQgiJGQZYCCGEEEJihgEWQgghhJCYYYCFEEIIISRmGGAhhBBCCIkZBlgIIYQQQmKGARZCCCGEkJhhgIUQQgghJGYYYCGEEEIIiRkGWAghhBBCYoYBFkIIIYSQmGGAhRBCCCEkZhhgIYQQQgiJGQZYCCGEEEJihgEWQgghhJCYYYCFEEIIISRmGGAhhBBCCIkZBlgIIYQQQmKGARZCCCGEkJhhgIUQQgghJGYYYCGEEEIIiRkGWAghhBBCYoYBFkIIIYSQmGGAhRBCCCEkZhhgIYQQQgiJGQZYCCGEEEJihgEWQgghhJCYYYCFEEIIISRmGGAhhBBCCIkZBlgIIYQQQmKGARZCCCGEkJhhgIUQQgghJGYYYCGEEEIIiRkGWAghhBBCYoYBFkIIIYSQmGGAhRBCCCEkZhhgIYQQQgiJGQZYCCGEEEJihgEWQgghhJCYYYCFEEIIISRmGGAhhBBCCIkZBlgIIYQQQmKGARZCCCGEkJhhgIUQQgghJGYYYCGEEEIIiRkGWAghhBBCYiYl6Qyg/zQej3ft2rWXL1/Kysr27t37m2++oRdlZmbeuXOHx+NZWlr26dOHzExISKisrHRxcRFO5Nq1a1wu187O7vHjx2lpaSK7sLCwoCjq6dOnffv21dLSoudfuHDB2NjYwsKCTN69ezcpKUlBQcHBwcHExEQ4hfLy8mvXruXm5nK53J49e3br1k14aU1NzaVLl4qLiw0NDd3c3GRlZT/5qLRVdHT0qlWr7t69y2AwPmLz58+fp6SkDB48mM1m0zMzMjJu3rwpEAj69etnbm7ecqvq6uorV64AgLOzs4qKisjSpqamqKiozMxMdXV1Dw8P4RUuXLjA4/HoyS5duggfyYSEhKSkJAaDYWVlZWdn9xFfB300gUCQnZ1taGgoJYV3hNY0NDTExcVlZ2fLyck5ODgYGRnRizIyMu7evctisfr376+np0dmxsfHs9lsa2tr4UQuX77cqVOnjh07xsfH5+fni+zCwcHhxYsXhYWFw4cPp/8ddXV1Fy9edHBw0NHRAQCBQBATE5OVlaWlpdWvXz8ulyucQkFBQVxcXHl5uaampqOjo5qamvDS/Pz8W7duNTY2duvW7dtvvxXTgWkTX1/fb7/9dsaMGR+x7ZMnT5KSkthstr29vYGBgfCipKSkhw8fysvLOzs7i3zZxsbG2NjYrKwsFRUVJycndXX1linfu3fv8ePHioqKIhe0q1evVlZW0pOmpqbC/8e0tLTExEQA+Pbbb1s7jBRCEhIdHa2trS0rK2tlZUXu5dOmTWtqaqIoKiAggMVi9enTZ9CgQXJycsOGDSPzvb29raysRNKxtbUdP348RVHbtm0zEWJsbAwAmzdvXrt2LQCMHDlSeCt9ff01a9ZQFFVXVzds2DB5efk+ffp07NhRSkrq559/plf7/fffFRUVuVyura0tuZ4OGTKkoqKCLI2NjdXQ0DA2NnZwcFBUVDQyMsrOzv6cx+z/+Pj4TJ8+/SM2vH///qRJk1gsFgCkp6fT8zds2MBgMDp27GhkZMRkMgMCAlpu6+vrSy7oiYmJIouqq6t79+4tJSVlZWWlpKSkpqZ27949eimHw9HU1KT/O7/++iuZX1lZ6erqymKxOnfubG9vz+FwHj58+BFfipaRkbFo0SI3Nzd3d/fVq1eXlJSQ+bm5uQsXLnRxcRkzZsyVK1fIzNTU1LFjx1ZWVgqnsHLlysOHD5PPOTk5CxYsIFtdvXqVzExJSfHy8jp58iS9CZ/P9/LySkpKIpNXrlwZO3asm5vb7Nmznz59Kpx4RESEt7e3s7Ozp6fnTz/9JLJrIiEhwcvLy8vLq7m5+VMORRvFxsZqamqSn9gHuXDhwrhx49zc3ObOnfvixQvhBKdMmeLi4jJ9+vSUlJSWG/7+++9eXl7kBygiPz9/4cKFzs7Oo0ePPnfunPCiysrKH3/8cfDgwYMGDVq2bFlhYSGZ39zcHBYWNnr0aBcXFx8fH+E93rx5c+rUqc7OzmPGjBFJ7UNFR0fr6ekxGAwTExMDAwMmk7l8+XKBQEBR1LJly8h8VVVVOTm5I0eOkE3s7e3Hjh0rkg6Hw9myZQtFUT4+PsLXKxKWXb582cPDAwACAwPpTV6/fg0AFy9epCgqJyfHyspKWVnZxsZGRUVFQ0Pj7t279HFYsmSJlJSUkpKSpaWlvLw8m83+8ccf6XR27dolKytrbm7etWtXBoMxYcKE9jnBKIqqrq5ms9ktLxr/qL6+fty4cUwm85tvvjEwMJCTkzt06BBZ1Nzc7O3tTaIfRUVFRUVF+ndNUdSDBw9MTEykpaW7du1qYmLStWtX8s+iNTY2jh49GgA6derE5XJVVFRiYmLopfr6+urq6vR/JygoiMzn8XhjxowBAH19/W7dusnKyrbypTDAQpKRlZXF5XL79etXVFRE5sTFxU2ePLm2trasrIzJZNIX3xs3bgDA2bNnqX8KsERERkYyGIynT5+uXbtWQUFBSkoqIiKCXkoHWMePHzc3NyfZEAgEvr6+LBaL3PauXbvGZDIXL17c0NBAtrp9+7aampqnpyeZdHBwWLduHflcWFiooaExbdo0sRyff9TU1KSpqXnhwoUP3ZDH49nZ2a1YsWL79u3CAVZ8fDwALF++nEyuWbOGyWSmpqYKb0ue0QMCAt4bYC1dulROTu727dsURVVUVHTv3t3MzIxcwd+8eQMAwpc/2rhx49TU1OibYm1t7Yd+I2GXLl2Sk5Pr3bv3hg0bNm7caGtra2xsXFdXl5+fr6OjY2lpGRAQMGXKFAaDcfr0aYqioqKiAIA+CQkrK6vFixdTFJWXl6elpdWtW7eAgABvb28mk0nOQ1KGp6qqSm9YX18PAOfPn6coaseOHerq6ps2bfrll19cXV0VFBSePXtGVps9ezabzZ45c+bevXtXr17dqVMnU1PT3Nxc4b3z+XxLS0tLS0sA+Iig5yMsWrRo5syZH7rVTz/9JC8v7+/vHxwc7OTkpKysnJeXR1HU0aNHZWRkvv/++3379g0bNkxGRkYkYn7x4gWHw7G0tHRwcBBJs7y8vEOHDhYWFtu3bydFHfTdtKyszMzMrEOHDhs2bAgODp45cyZ5zhEIBF5eXhwOZ/Hixb/++uvChQvpgGP37t0kjNi7d++mTZt+++23jzg4xLNnz+Tl5fv375+fn0/mRERETJo0qb6+/uLFiwBAYqampqYpU6bIy8uTE6P1AEvEtm3bVFVVa2pqPDw8lJSUuFzuq1evyCLhAMvX13fo0KE8Ho+iqJqaGisrK3t7e7Laxo0bpaWlw8LCyGRTU9O2bdsA4ODBgxRF5ebmKisrR0dHk6UnTpwAgI+4gHycEydO6Ovri4Q4bXH06FH6+tDU1DRx4kQOh/PmzRuKokJCQgCAPAvV19cPGDBAU1OzpqaGoqjKyko9Pb2+ffuWlZWRdFo+yezevZv+RdfW1vbu3dvAwKC+vp6iqObmZikpqWPHjrXMz5w5c7hcbmxs7N8lKwwDLCQZixYtkpKSev78ectFjx49AgD65C4vLweAXbt2UR8YYLm6upJIaO3atSYmJnPmzDEyMiI/P0oowKIoilytiCNHjgBARkYGRVH9+/e3srISuSgcPHgQAMgPns/nCz8C2tvbu7q6Cq88adIk+tGndXl5eYGBgXw+PzQ0dMmSJUFBQW/evGlqajpy5MjSpUt37twp8ku+ceOGgoICyfmZM2d+FHLgwIG27JFErnSAtWrVKhaLVVVVRSZra2s5HA4dPlIU1dDQYGFhMXXqVFI23jLA0tLSGjduHD158uRJALhz5w5FUU+ePAGAlkVTr1+/ZjKZwg/Zn4LH42lqanp4eND/lKamJpLPVatWKSoqlpaWkvne3t5dunSh/inAWrFihZKSEn2NnjBhQteuXal3AVbv3r29vb3JIuEA6/fff09ISCDz+Xy+vLw8OQciIiLo2yRRUVFhZGQ0evRo4b1v2LDByMjo8OHDLQOsyMhIutimjURSeG/EZmJicvny5Q9KlqKoX375hY6Yq6qquFwuKfI8efIkXYTT1NRkbGzs6+srvKGLi8vYsWMXLFjQMsDavHkzh8Ohv+PMmTO1tbVJnufPn6+hoUH/B2mnTp0CgFu3bonMz8nJkZWV3bhx44d+r/eaP3++tLQ0HfEImzVrloKCAn1gc3Jy6Jim7QFWY2OjoaEhuSJ5eHh4eXlZW1sPGzaMLBUOsAQCgfBDyKxZs3R0dCiKqqmpUVRU9PPzE0l5xIgRhoaG5CJGX/0oiiouLgaAvXv30nOqq6stLCzS0tLackDi4uJu3bqVn58fFBS0evXqS5cuURRVWFj4888/r127NioqSmR98h8ne/n1/4kU8bZEwikiJiYGAEhRU9++fW1sbOhFd+/eBYATJ05QFBUcHMxkMh8/ftxKstbW1k5OTvRkdHQ0fZALCwsB4ObNmyKblJaWysjI+Pv7t55hGjZyR5Jx69atnj17mpqatlzUpUsXPT09f3//mzdvAsCuXbuUlJSGDRv2Qek/fvw4Kipq8eLF9JxNmzbV1NRs2LCh5cpycnLkQ3l5+a+//tq9e/eOHTs2NDTEx8e7ubmJtHAaPHgwAFy/fh0ApKWlmcy3P6KoqKikpCQvLy/hlfPy8srKytqS4ZycnCVLljg6Oh47dqyxsTEoKGjgwIFDhgwJCwvj8/lBQUH9+vVrbm6m1w8PDx8yZAjJ+YsXL5KSkpKSkhITE1etWnXmzBkAiIuLu/b/bt261UoGmpqapKWlORwOmeRwOMbGxi9fvqRX2Lx5c2FhISm+aqmysrKoqKhv3770HPI5PT0dAAoKCgCgurr6xIkT58+fr66uJuvExsYKBAIPD4/nz5//+eef8fHxAoGgLYfrvaKjo4uLi9euXUv/U1gsVo8ePQAgMzOzW7dudBMNT0/PjIyMioqK1hPMzMzs3r27qqoqvdXTp0/pzAcGBh45coTEqcImT55sa2tLPr9586a+vp40/ggLC+vZsyepACKUlJSWLFkSHh5eVVVF5mRkZGzZsmXPnj3y8vIt8zN9+nQS3bYuOztbXV398uXLFhYWMjIyJiYmt2/f3rx5s4qKipycnLOzc2lpKb1ycnJyWVnZgAEDAGDatGmqQtasWdPKXmbPnu3m5kY+Kygo6OjolJSUAICXl9f48ePJfBaLZWpqSu7lREhIyL1794KCgt6b5vXr193d3em2kpMmTSosLCTR+fHjx2fMmCHSyAYATpw40adPH0dHR5H54eHhALBw4cLWj1Ub3bx509HR0dDQsOUiPp+vqKhIKtwBQF9fX1VVNSsr64PSP3HiRFFR0dy5c8kkk8ncvXt3RETEuXPnRNZkMBj0jzQrKysiImL48OEAkJCQUFVVNWTIEJH1PT09X79+nZmZCQD0SSUQCHbu3Mlms+n/IAA0Nzc/efJEuKFkK44fPz5nzpxevXo9fPgwLS1t8ODBCxYs6NWrV3Jyclpampub26+//kqv3NDQcOnSpREjRpDP0e/s379/1qxZ2dnZJSUlcS3k5eWRzYWbRpEnGWVlZQDIyMjo168fvahnz54cDoc0w71586aJiYmZmVlKSkpERMSrV69afgWRzZ2cnJhMJtmcXK8EAkFERMSlS5fon/ydO3f4fP7QoUNzc3MvXrxImkC0cpSwSSOSjMLCQgcHh/cukpGROXfunIODQ//+/Tt06FBQUHDt2jX60paWlibS+Do7O7tTp04iiQQGBlpbWwvf71VVVdevX79w4cKJEyeS+hdhUVFRixYtev78eadOnaKiophMZmlpKZ/Pb3lJ1dLSYrPZ9I8fAKZPnx4dHf369etNmzb5+Ph8yGEQNXHiRF9fXwBwdnYeOnTotm3blixZAgBDhgxxcXF58uQJaRhOUdSff/4ZGBhItlq6dCn58NNPP0VHR//yyy8AsHbtWpHYTklJqZUYy83NLSAgYP369WvXrq2trT18+HB2drauri5Zmp6eHhAQsG/fPg0NjfderUhzXU1NTXqOuro6k8kkB4rH4zEYjGnTpqmrqz99+pTU0A0YMCA3N5dk9eLFizo6Onl5eT169IiMjFRSUvqIo5eens5gMLp3795ykbGxcUxMTE1NDWlARq6Y9D8xNDRUQUGBXpmOP4yNjW/fvl1bW0vuTGQrkmcA6NGjx9SpU+fOnZuSktJyj9HR0SkpKYcOHRo9evTYsWMBIDU1tWUc0L179+bm5rS0NDs7O4FA4OPjM2zYsCFDhvz5558fcQQIgUBQVlb2ww8/nD17Vk9Pb9y4caRx0rNnz3g8nqOjY1BQ0NatW8nKJFKXkZEBgK1bt65evZrMXLt27YQJE+7fvz9r1iyR9P/444+uXbsKzyktLX316pVI/w8A4PP5qamp8+fPJ5OFhYVLliwJCAigzysRubm5VlZW9CTpbpKbm6upqVlSUqKgoDBlypTExEQulzt//vyJEycCQGpqqq2trb+/f2RkZENDw6hRo1atWiUjI/P48WNjY+OjR48ePny4oKCgV69eAQEB2traH3dICwoKbGxs3rvIxcUlJCRk3759s2bNqqqqOnDgQE1NDblDA8CVK1dEGkGTEEHEzp07J06cKJy93r17jx8/3s/Pb+DAgS3X/+mnn8LCwjIyMry8vHbu3AnvTuaW1yvScjQ3N7dLly4AUFVVNWDAgJycnPr6+sjIyPc+4rZRXl7e/fv3SQrDhw8PCQlJSkrq2LEjAHh5eYWGhtJnTlRUlIyMTO/evQFATU2NlG3X19f37Nlz4sSJgwYNunDhwrJly0TSX7x48fTp00Vmnjx5Uk9Pz9zcvLGxsaSkRPiCw2AwNDU1yXEgReM2NjYvXryQkZGpqKhYv349ObeJioqK2tpa4c2lpKRUVVXJ5tXV1QwGY/LkyVpaWs+ePWMwGMePH3dzcyNFiUFBQX/++aempmZhYWHPnj0vX75MAr6WMMBCksFgMJqamt67qKamZu7cufb29uvXr4+IiAgNDfXy8rp69SrpY6itrS3yYE3asAvLz88/duxYaGioyPzZs2cfOnRo7ty5LeMM0s7m+fPnQUFBkydPvnjxIikFaWxsFFmTeldDT8+ZM2eOu7v79evXN2zYYG5uPnLkyA0bNhw4cAAASkpKEhMTw8LCAGDLli2TJk1q/bDQ/SVJC326Px2ZLCoqIpOJiYlFRUXu7u7C2z548GDNmjWHDh3q0KEDvCtja7v+/fuvX79+06ZNAQEBjY2N7u7u6urqpFOkQCCYPn26nZ3d5MmT/25z8gQvXMZGaiWkpaXhXc8ARUVFAKiurh48ePCkSZOys7PJ+j169Dh27JicnFxSUpKDg8OmTZtI25EPxePx2Gz2eztyzp8/PywszMbGZuDAgenp6eSBnn5Yv3TpEokwCLpky8/P7/DhwzY2NgMGDEhLS3v27Bn8/w1y69atZmZm27Zto2NcWkxMzIMHD4qLi5WVlUmxHI/Haxk4kktzXV0dAPzyyy+PHj06fvy4yDqRkZG3b98GgKqqqqNHj5JCrDVr1rTe6S84OJjcU4cPH379+vUdO3aQsti+ffs+ffqUXu3s2bN0sS4pOsrPz9+6dWtQUJCZmVl1dXVwcLBIysK954h169bp6+uLFN8CwI4dO/h8/syZM8mkn59fx44d6cmWqqqqhIvuSDRcWVlJQtsdO3YsXbp0/PjxN27cmDRpkqKioqenZ3V19cmTJ+fPn79hw4acnJzly5dXV1dv3769uro6IyMjkvGMpgAAEiZJREFUMjLSz88PAFavXj1kyJDExMSP63LLYDD+rmx17NixsbGx8+bNW7RoUX19/ahRo9hsNn06denSZfbs2cLrtwxYr1+/npiYSNoeCAsMDDQzM9u4cSN56BLm4uJiaGj48OHDnTt3bt++ffny5eR6JfwDJMgcuoBNTk5u+fLlVVVVBw8enDJlyq1bt/T09JycnHJzc8kX9PT0JJm/f/9+y27CwgwNDen4zNTUNC0tjURXZDIpKYleMzw8fMSIESKn66JFiyoqKnbt2gUAQ4YMaVn21tLVq1dDQkL++OMPaWnppqamlv8U+src3NxcUVERGBjo4eFBWvSuXbvW3d2dlGfTB+TvNnd0dCwtLSVF1zU1NSNHjpwwYUJOTg45mKampmVlZYqKisnJyY6Ojj/88MOOHTvem2EMsJBkGBgYZGdnv3fRwYMHk5OT8/LyNDU1+/btu3Tp0t69e69YseLChQsAoKKiQldAEC1P7t27d2tqao4aNUpkPovFCg4O7t27N2ngKUxLS4vU3XTr1q1///5RUVHOzs4cDoc8sgjLz88XKdnq0aNHjx49vLy8iouLV6xYMXLkyOnTpw8dOhQAZs+ebWlpOW/ePPKV23RoAABA5DZAJuni6PDwcDc3N+FCl/r6em9v72HDhk2YMIHMqaqqErl8MJlMEuL8nbVr186ZMyczM7NDhw56enpKSkqkCGHv3r23b99etGgRiRpJCVZ4eLiUlBRdXETKJOgQEACKi4spiqLLKuhdKygozJkzZ/z48ZmZmWTpjBkzSF2njY2Nk5NT61WZrVBVVa2rqysvL295Y9DX13/48GFYWFhpaenMmTMZDMbYsWO1tLRILHXixAnhZ1m6Pza5h4WFhZWVlc2ePVsgEIwfP15LS4uu81JXV9+yZcuCBQtIxyJhGzduJAfEwsJCX19/9erV6urqLbvlkydmTU3NnJwcf3//lStXcjic8vLy2tpaACgvL1dWVqYoiv5XCgSCNtai0vWk5H5Jn1GysrL0Y0NmZubLly+FI3WBQDB58uSePXuSOEBBQeEfR83Ys2dPaGhoZGQkXdVOnD17dt26dUeOHNHQ0ACAc+fOnTlz5vr166T3e319fVNTU0VFhfDTv7a2tnCxK6lz1NXVJTWDwcHBI0eOBABXV9fY2NjQ0FBPT081NbVRo0bRpbmvX7/ev3//9u3b1dTULC0tT58+TeZzuVx3d/cnT54IjwXTdq1crxgMRnBw8MqVK7Oysjp27KikpKSoqEgecgDA2Nh4ypQpwuuTq4GwoKAgd3f3luV/2traGzduXLp0qcijFABYWVlZWVmNHTtWVlZ23bp1c+fOJVekV69eiRQukl8rfb2SkZEhcfB3332np6e3a9eugICA3bt3NzQ01NbW9u/f/8cff+zcuTMACF9e/hF9srWcbG5uPn/+vMjj7pUrV/bv3x8dHU1+qk1NTS0L9mRlZcnjGREbGztq1CgSYQOAlJSUpqam8AVHIBCUlJSQS4qurq6srCy5CAPA0qVLN2/eHBMTQwdYCgoKCgoKwpvz+fyKigr6ekU3DOByuX5+fkOHDn306BEZJmPWrFnkamZtbT1w4EDSLOy9MMBCkuHs7Lx58+YXL160LKPOzc2Vl5enb3haWlrffvstKTxoi9ra2gMHDvj7+wv/OGl2dnY+Pj4rV67k8/n0TIFAQF8RyJUxLy9PSkpq4MCB58+f//HHH4Wfvc6cOcNkMknbBeENAcDY2Jg0f9bT0yOdrrlcrpaWlnCth1iEh4evWLFCeM7ChQsrKyuF2z106tRJuO0LAKioqJDefK3Q0NAgt8OoqKiqqipnZ2cAyMvLs7GxiYmJIZcSUtwSHh7eqVMnOsDicrkdOnSIjo6mn7ZJo9GWtbHwruiIzWaTAO7Bgwd0W5DCwkL60vahSChw5cqVcePGtVyqqalJ6lsB4Pvvv9fX1zcwMMjIyGg9TS0tLbp0ytfX18jISFdXNzU1lV7Bx8fn0KFDwrUPIptbW1vfv38fABwcHM6cOdPQ0CBcxhYZGammpkaKwaqqqlauXLly5Up6qYaGxr1799zd3ckt9vfff584cWJbnvXb6PTp0+7u7sKFRtu3b3/06NGjR49IQJacnEw3DKKFhISQavrm5uZVq1YFBweHh4fTha/Ejh07/P39Dxw4QEIiANi3bx8ZX014NV1dXXI6ESYmJsIlHw8ePCAzVVVV5eXlhRs2sdlssqG+vr5wS0EOh0POLn19/ZycnKamJvLjJe2W2tjAqKWBAwfu2rUrLy+PHuNKhIGBAXmCIp3a3luv914ZGRlXrlyJjIx879K5c+eGhIQInxIURQk/fZmYmDQ0NBQXF/fo0UNVVfXcuXODBg0STiE8PLxz587khya8LZfL1dTUJPXdJLYjgW/Xrl3Fe72KiYnh8/nCB6S4uHjq1Kn+/v70yXDixAlS4Svsxx9/XL58Ofm8b9++BQsWLF68ePPmzfQKFhYW5CJDxMfH19fXkwuOiYlJbGws/VsjV0KRdo1kc/IgBADXrl2jKOq916uGhgYAkJOTI4cxJSWFVCmQlOkmce/RxsbwCIlXYWGhurq6lZUV3YuNNBukKIo8dIaEhJD56enpSkpKs2bNotrWi3Dnzp0KCgr0UFXUu16E9GRZWRmJIUifnT/++KNPnz6k93VTU9OCBQsYDAbpfpKYmCgtLT116lS6b92FCxcUFBTIWAxNTU2Ojo6BgYGkz9qrV68MDQ0HDhwonLcBAwaIdDlJSEh48OBBywNCusAkJyeTSdKwl+4b9eLFCwCIjIykKCo1NVVKSooe3omiqEuXLrFYrBs3bggn2Nzc3PT/RMa8EelFSFEUPV5Aeno6uc42Nja2zKpwL8KKiopr166Rbj5btmyRlpb+888/KYrKyckxNTWlO5CvX79++fLlZLWsrKwuXbrY2tpSFNXY2GhiYmJnZ0d66h0+fJjBYAj3bPpQffr0MTExefnyJZlsamrKzMykDwj5cPv2bXl5edJ1sfVehMJbxcXFsdnsbdu2Ue96EfL5fLIoKSmJ3MVJL8IffviB7v1eVFSkoaFBUktPTycVNHSad+/e5XA4mzZtoiiKx+O9EUJ6EZaUlAj/C/T19ckuiMbGRtLVVOQgkLOFPpfCwsI4HA691MfHZ9CgQeRzjx496F79FEWlpqay2WzhrvsVFRWxLVRXV1MUVVJS4uLiYmpqKjKWR3V19Xfffaeurn79+nWR+cJfcPbs2fb29uXl5WQvpIPbqVOnGAwG6YNWV1fXq1cvuqehl5eXmZkZ+V2TMSdJp8U9e/bIyMiQPLx586ZLly4eHh4URZEYcf/+/eSfOGbMGDU1NeH+wh8kJydHSUnJ3t4+KyuLzHn9+jXdV66goIB8SElJMTQ0dHFxIZNt6UXo4+NjaWkp3FXZw8Pju+++oycTEhLIUxy5PM6bN2/WrFlk4JjKykonJycdHR1yKgYGBrJYrP3795MTjM/nb9q0CQCOHz9OUVRmZmbXrl3j4+NJshEREUwmc+fOnfSOSGkufdpQFFVXVxcVFUWPTCHM19e3W7du9OSSJUs6d+5MT65cudLY2Jhec8KECfQigUAwZMiQHj160D8fiqKam5sbWiDfgsfjTZ8+XU5OLjQ0VCQPpCJiz5495FD06tXL0NCQjLOQkJDAYDBWrVrV3NxcX18/fvx4OTm5169f83i8mzdvkt/7b7/9xmAwyI2mrKzMysqqc+fO5Oe2Z88ePz8/0mU1Ly+PHnFGIBCYm5tbW1uT4nnysL19+/aWx4fAAAtJTHJyMnkONjIyMjAwYDAYzs7OZNHChQulpKS6dOliZ2cnKyvr5ORELsT/GGA1NTWZmprSd0dCJMCi3g21QAKsnJwcOzs7GRmZrl27qqmpycjICF90IiIitLW1WSxWly5dlJWVmUzm9OnTyW+Yoqjff/9dQUFBXV3d3NxcWlrazMxMZOCJrKwskX719vb25AYgou0B1vr16+kDRXTs2JF0FqO1Pt7MihUrVFRUSBWAoqKiiorK3bt36+vrdXV11dXVSdlhr169cnJy3ru5cIAVGxtLP/yRwTYBQFNTk8lkdurUiT4aJ0+e1NTUZDAYurq6LBbLxsaGjoHu3r2ro6PDYrE0NDQYDIaPj8+nDH6Yk5NjY2MjKytra2vr7u6uo6NDgrz8/HxtbW1XV9cePXpISUlNmTKFXElbD7Byc3O1tbXd3NxsbGykpKSmTZtGthIJsCiKIvU+JPrZuXOnnJxc3759hw0bpqamZmFhQad/9uxZJSUlIyOjYcOG2draSklJzZgx471RLOkEJxI8XbhwQfhuR0Lklr3c2xhg5eTkyMjICPeBt7e3JyNiE613RydP8x07drR5hwx7279/fwAwNDSk5w8ePLjl5sLDNFhbW5NtBQLBpEmTZGRkHB0d9fX1tbW1nzx5QtZ5+fKlkZGRpqamk5MTh8MZOHAgiZYaGhpIbb6jo6O2tnaHDh3os27NmjUsFsvW1tbMzIzD4QjHph/hzp07HTt2ZDAYpqamhoaGDAaDjF385s0bRUVFXV1d8sNxdXWlx/X4xwCrqKioZeggEmBRFEW6zpAAKyYmhlTff/PNN1wuV0NDg36yEggE69atk5WVlZeXt7CwkJOT43K5wcHBZCmfz/fx8SEjCZN6g++++04kynnw4EFdXR09hxQNtoxsqDYHWAKBwMDAgIw5R5DfjvAYnq0PpUEKUGVkZFSE0KOwLly4kMFgaGhoyMjIaGlpkUFhCFLzQAYg5XK5ZFhgUghKHioEAgGpB9fS0pKWltbT06MffS9evEgGldXT05OSkuratSs9ekVycjK5iJEeCd7e3q0MVsegWu1kiNBnJRAIHjx48Pz5c3l5+U6dOpE2uURubm5KSkplZaW5ubmVlRUp2c7MzKytrRUpwU5JSWGz2WTb2traO3fuWFtbC1czkVdPCFdhUBR1/fr1Dh06kAsN+dmkpaWR8dyFm+MAQH19fXx8/OvXr7lcbssXNVRVVcXFxb1588bAwKBPnz7/+LKRS5cuHT9+nDR7F1ZZWZmYmGhnZ0fiHvJFevToQVqo8Hi8+Ph4KysrNTU1KyurGTNmCFfckMJw4dRI1d7fycjIIKP10MiOysvLExIS6urqOnXq1EpTlaqqqoSEhJ49eyoqKlZVVT18+LBbt2508+0nT56kp6erq6v37t1buJa2oaHh3r17xcXFJiYm9D+U4PF4cXFxNTU1lpaWdDvZjyYQCOLi4h49ekSCTicnJ5KNpKSk+/fvs1gse3t7+tsVFxffvHlz2LBhwtV2UVFRmpqapPPX/fv3SQGVvb09/WKlwsJC0iKEriCurKy8evUq/TKTV69eRUVFVVZWdurUSeQFSuXl5ZGRka9evVJUVHRychJpMUPLy8u7ffv26NGjW2mUXVJS8t133x05coTslFZbW3vp0iUXFxdy8rx69SopKYmuqrt//z7pS7hjx44rV66QGx5x+fLlmpoaelJHR+fvuvoCwNmzZ0WaVKurq/fv3//KlSt0t3aCw+GQwU2EpaSklJeXk2gsOjpaWVmZbh8TFxf38OFDVVXVQYMGCbfQIt+ruLi4a9eupFM9mS8QCK5du5aZmamtrT1o0CDhKptHjx7FxcVxuVxXV9eP7kJIa25uvn///suXLxUUFDp37kx3Xi4uLk5ISGhsbDQ3NzczMxP+jnJycsJzACA+Pt7Q0JBcRoqKilJTU/v27SvcxyIlJYXFYgnXVZGLQ/fu3cl4H+SNPXl5eRoaGn379hWp+SotLY2Pjy8pKSH/PpF+FS9fvkxMTGxsbLSysvq7c4/G4/EWLFgwbNgw4bFFiIyMjPLycnt7ezL57NmzkpIS0k8QAJ4/f15UVNSnT5+7d+8OGDCgpKSEzmRxcTEZ6ZBmaGhIWn2919OnT1u2XDQ1NaUr6V68eEFelePo6ChSW5ebm3v//n1paWn6OJCrkJmZGX2Rz8jIIK/KcXR0FG5E2NjYeO/evYKCAkNDQ1tbW+GmIOR6RYYNE75ntYQBFkLtKjc399ChQy17PrZdVlaWrq6uSINi9N80f/78Xbt2fVzPuOzsbPLgLvZcoX+NwMBAT0/PVgKg1lVXV1dWVurr64s3V18LDLAQQgghhMQMR3JHCCGEEBIzDLAQQgghhMQMAyyEEEIIITHDAAshhBBCSMz+B6XvRakt03vsAAABcXpUWHRyZGtpdFBLTCByZGtpdCAyMDIyLjA5LjUAAHice79v7T0GIOBlgAAmIBYCYmEgbmBkZ8gA0syMTGwOGiAGC5xmgNAcEJqJA6qQkR2igJnNASzAjBBgSACr4GBQAFkD40JoJqABIJqREaEMO5+bgVGBkSmDiYlZgZlFg4mZVYGJLYGNPYOJnSOBg5OBk4uBi5uBm4eBh5eBm4+Bj5+BT4BBQJCBgzFBgJNBBOQ7VqBv2DlYuTgF+LjFH4EMhXqdQajd86g9AwfTARBH+/8De3VVnv0g9uw6VwePckk7ELvteK/DmkPMYPHQbVsdMucvAot/fDDBIXkvA1jvhwBThxf5F+xB7KIla+x7Vd+A2eka+vbBnAxg9oxI7/2zvGrBern37to/obwHbKZNrM2B682JYPbtjPoDj3V+gdlnzdcdkDl0Csx+3uVzQOOfBNicNb4TDwT3LwSzj4i/3z/hwFIwWz7p8v7/9wwdQGwxALoZVxnk5ttBAAAB13pUWHRNT0wgcmRraXQgMjAyMi4wOS41AAB4nH1UW47bMAz89yl0AQuiRIrk5yZZFEWxDtCmvUP/9/7o0G4qBxAqR4wtjYavsZcU4/vt2+/P9G/U27KkVP7zc/f0q5VSlo8UN+ny/uXrlq6Pt8tz5Xr/uT1+JLJEjjO4XrFvj/vHc4XSligLUys9rTWXRtoslVz2MY7WdAVQRdU0rQVHlLlOgA3AlouJSWwTu3Wf4Bg4zgy/4RmExN1mQEn3JLmrSVFsI8BeZ447cJylKovvqRCJzAgVOddsDa4FOfVqTDLB2Z5yY1MkQNmYzfsE5+AruRtXwmqWUmhaGexeI1N1bi2IKmuTmWci5LJSZjFzjrvi2nyWDEVjkC04ySnozYrTrIUUrVlbdi+qEqwuzD4NgCMAycygrQEV48LTAORgJRfXcIs/lHSGjA6taBEXbRUVrb2SzSpKGpwoeVdH1EA6e5t6t6NSHfIBZ82qXtuM8327vSj/eBcu9+023oW46lA8Y7aha8LkId/YlyFSwmMfWmSAdSiOMW0IizF96IdinnVCu6GTHmg39dR22k07dZd2w6cmHhg59Yp20089OVb0VHvajZ1qzAhw+Pa/iJfanisZz88vEu6XP0Qi6npw6yWPAAAA93pUWHRTTUlMRVMgcmRraXQgMjAyMi4wOS41AAB4nB2QO47EMAxDr7JlAngE0foj2Cr95hDTzwnm8Cu7MGA80STlvzfex338Pudzft4f3Hju437O++iD5+d7gEwhGK9JLAgdFygsosaLexSqc1xCnJY2mKCVXuNSUmHHFkE9Gxl5pKFF7eNzLpHNUN/egPm4JqUIxwD5zOUMEs1YIFXbhMmbLxNjxlJ0QpSKeLOpIWbNQGrZoX3hWqU7okXYrTO5kM2EqrjNW1W27V9GqrrW7b1T2bYKZZUrsrr3etjFlUO61fSJ2oHpUViktHQT781lTOrPmjrO7z9vRkqLJV8xvAAAAD56VFh0cmRraXRQS0wxIHJka2l0IDIwMjIuMDkuNQAAeJx7v2/tPQYg4GWAACYGBGhg5BYB0eJcQIIRLiwGALY6BCA0qptYAAAAZ3pUWHRNT0wxIHJka2l0IDIwMjIuMDkuNQAAeJzjUgCBIBfvzBIFODBy4eJSUDDAgywtLRXCjA0MDLh8FUAMBSdXd08/BecQRyeYiLN/qF9IMFA1FKKqdAzx94WJuPq5YPBhJgHZXACo8SAZMk4wIAAAACF6VFh0U01JTEVTMSByZGtpdCAyMDIyLjA5LjUAAHicAwAAAAABx7wIvgAAAD56VFh0cmRraXRQS0wyIHJka2l0IDIwMjIuMDkuNQAAeJx7v2/tPQYg4GWAACYGBGhg5BYB0eJcQIIRLiwGALY6BCA2RGGCAAAAZ3pUWHRNT0wyIHJka2l0IDIwMjIuMDkuNQAAeJzjUgCBIBfvzBIFODBy4eJSUDDAgywtLRXCjA0MDLh8FUAMBSdXd08/BecQRyeYiLN/qF9IMFA1FKKqdAzx94WJuPq5YPBhJgHZXACo8SAZrO57hwAAACF6VFh0U01JTEVTMiByZGtpdCAyMDIyLjA5LjUAAHicAwAAAAABdCglfQAAAD56VFh0cmRraXRQS0wzIHJka2l0IDIwMjIuMDkuNQAAeJx7v2/tPQYg4GWAACYGBGhg5BYB0eJcQIIRLiwGALY6BCA34cg0AAAAZ3pUWHRNT0wzIHJka2l0IDIwMjIuMDkuNQAAeJzjUgCBIBfvzBIFODBy4eJSUDDAgywtLRXCjA0MDLh8FUAMBSdXd08/BecQRyeYiLN/qF9IMFA1FKKqdAzx94WJuPq5YPBhJgHZXACo8SAZ2XG9GgAAACF6VFh0U01JTEVTMyByZGtpdCAyMDIyLjA5LjUAAHicAwAAAAABGqQ+PAAAAXp6VFh0cmRraXRQS0w0IHJka2l0IDIwMjIuMDkuNQAAeJx7v2/tPQYg4GWAACYgFobiBkZ2hgwgzczIxOagAWKwwGkGCM0BoZk4oAoZ2SEKmNkcwALMCAGGBLAKDgYFkDUwLoRmAhoAohkZEcqw8xkVuMA0NwOjAiNTBhMTswIziwYTM6sCE1sCG3sGEztHAgcnAycXAxc3AzcPAw8vAzcfAx8/A58Ag4AgAwdjggAngwjIl6xAX7FzsHJxCvBxi78DGQoNAgbhds+j9gwcTAdAHO3/D+zVVXn2g9iz61wdPMol7UDstuO9DmsOMYPFQ7dtdcicvwgs/vHBBIfkvQxgvR8CTB1e5F+wB7GLlqyx71V9A2ana+jbB3MygNkzIr33z/KqBevl3rtr/4TyHrCZNrE2B643J4LZtzPqDzzW+QVmnzVfd0Dm0Ckw+3mXzwGNfxJgc9b4TjwQ3L8QzD4i/n7/hANLwWz5pMv7/98zdIB57v+9QjBbDACFH1nifabhRwAAAe16VFh0TU9MNCByZGtpdCAyMDIyLjA5LjUAAHicfVTNbtswDL7nKfQCFkiJFMlDD4lTtMNWB9iyvsPue3+MtJFKRYXJJiNLnz7+KqcU4+f1+5+/6WOU6+mUEvznNbP0XgHg9JZiki7PL9+2tN7Pl8fKevu93X8ltHghns/Y8/329ljBtCXMTFihpaVkqChVE2TYRz9a0upAYRGVtIAfEaIyAVYH1gzKyrGNZNpsgiPHUSa3G5adEKnpDMjpljg3UQbxbXewlZnh5jjKXITY9lAQmWeE4jGXrNVNs8fUihLyBKd7yJVUPADMSqTWJjhzPshNqaCvZgbAaWZ8d41IxajWICoklWeWET2WBTOxqlHMwKTaLBiMwni0zomGQa8KhrMSYpRmqdkMRDhYjYls6gCFA5yJnLYElJWApg7wwYrGJmHWfzylM2RUaPESEUgtntHSCuosoyjB6SlvYu61I42sTq3rkanm7eOcJYtYqVNOS699uX4FpvX15QnT+/nH04KPU8/b9dN9OW7Q5bZd+w2Kp/R7Qi613wZ0od70sc+9tdE/W+9gcrD0PiUX7e1ILta7DkPG7sJd4dBFuKsyNAvuqg49gbuiofQHhocK467aUMljRYaK4a50qAy5g2XI/4GAMbdjJuP78T/m89M/v+v1Ctq0KakAAAEFelRYdFNNSUxFUzQgcmRraXQgMjAyMi4wOS41AAB4nC2QO27EMAxEr5LSRmSC/w+MVG5SxQcIUm2/J9jDhxK2EEA8jWaG+nnQY7u2r3u/9+fjSRfd13bd+7X1oRt+vz//Pl4bgSkJjYMBhULHSRAWUePAvgpVHqcApqUNBNJKr3EqqKDTEpF6NjLwSKMWtY8zT5FxqC9vIvNxMqQIxiBwzulMIJoxQaq2CYI3nyaGSFPRCVEq4s1YQ8yaEahlh/aANUt3RItotc7EomwmUIVt3qqyZX8YqOpct/dORVsqKquckdW958MurhjSrdiZagWmR9EkpaWLeG8ug6E/i5vgkPe4v/4BqvZOFWUfTWsAAAA+elRYdHJka2l0UEtMNSByZGtpdCAyMDIyLjA5LjUAAHice79v7T0GIOBlgAAmBgRoYOQWAdHiXECCES4sBgC2OgQgMjw9gAAAAGd6VFh0TU9MNSByZGtpdCAyMDIyLjA5LjUAAHic41IAgSAX78wSBTgwcuHiUlAwwIMsLS0VwowNDAy4fBVADAUnV3dPPwXnEEcnmIizf6hfSDBQNRSiqnQM8feFibj6uWDwYSYB2VwAqPEgGT9ALBUAAAAhelRYdFNNSUxFUzUgcmRraXQgMjAyMi4wOS41AAB4nAMAAAAAAab9Y/sAAAA+elRYdHJka2l0UEtMNiByZGtpdCAyMDIyLjA5LjUAAHice79v7T0GIOBlgAAmBgRoYOQWAdHiXECCES4sBgC2OgQgMNLHWgAAAGd6VFh0TU9MNiByZGtpdCAyMDIyLjA5LjUAAHic41IAgSAX78wSBTgwcuHiUlAwwIMsLS0VwowNDAy4fBVADAUnV3dPPwXnEEcnmIizf6hfSDBQNRSiqnQM8feFibj6uWDwYSYB2VwAqPEgGaHgZ7IAAAAhelRYdFNNSUxFUzYgcmRraXQgMjAyMi4wOS41AAB4nAMAAAAAARVpTjgAAAA+elRYdHJka2l0UEtMNyByZGtpdCAyMDIyLjA5LjUAAHice79v7T0GIOBlgAAmBgRoYOQWAdHiXECCES4sBgC2OgQgMXdu7AAAAGd6VFh0TU9MNyByZGtpdCAyMDIyLjA5LjUAAHic41IAgSAX78wSBTgwcuHiUlAwwIMsLS0VwowNDAy4fBVADAUnV3dPPwXnEEcnmIizf6hfSDBQNRSiqnQM8feFibj6uWDwYSYB2VwAqPEgGdR/oS8AAAAhelRYdFNNSUxFUzcgcmRraXQgMjAyMi4wOS41AAB4nAMAAAAAAXvlVXkAAADlelRYdHJka2l0UEtMOCByZGtpdCAyMDIyLjA5LjUAAHice79v7T0GIOBlgAAmIOaE4gZGdoYMIM3MyMTGoAFisKDTHBCaiQOqEKgDLMDMBhFgZmRXMAIyGJlYuBkYFRiZNJiYmBWYWTSYmFkVmNgU2Ng1mNg5GDgYGUQYgcpYgTaxc4iXgXRAHcTAOesL0355cZEDIE7xkZj9LMzR+0HsBS8e2840nGQHYh9acdZecaIOmG2hLeugd2uzPYi93EjAQWPDdLD6dh+d/QdMT4DF6zM5DlzxnQ1mL3jGf2BS4YR9ILYYAI0CKYwrFv5QAAABNXpUWHRNT0w4IHJka2l0IDIwMjIuMDkuNQAAeJx9kl1uwzAIx99zCi5Qiz8Yx37oQ5pU3bQ1kbaud9j77q/hVplbKRoECVs/CB/uqMrH9Pb9Q38iU9cR8T9fKYWuyszdmapDh+PpdabxMhzWm3H5mi+fVFy56jM5XJbzegOaacfBAItGOwkKLQBx4Ju0WKGxkjmJ9nrzzAy2QaqTHABIju6Ig7rFRecQEqceWgNSNpENzmghCdGsT+oBkY1L2uDSjRNTLkI7BGTjpBtgf2869cqxZrQUEXkDzLVnCVBELQ4KVLGVsdSM/u+Yo6HmlizAY5E0vpz2oOvwvo9r1HGenpZxX89hmae2nqrSdlBV26DhFts8xc3a2ODH1KZT4b7NQNxy6xRupfUDN3ks9LGsel7fm/vdL6aShnjcHMFIAAAApXpUWHRTTUlMRVM4IHJka2l0IDIwMjIuMDkuNQAAeJwdzrsNwzAMBNBVUtoITfD4kwzBlZpU9gBBNvHwkdzxHggez46jL305rvVaz6N/z4++f3jdyyYcQHjQpmywHdSG1VQrRnOKCAQ1YQBanYR1mA0Cp2TBEGQNVWrKHlGSwC6BmTVMdtrAqCH53M5i4jZ2Ih0+SBkG9yEKMzyiXudPs0yBpPX+A7kTJ+gVuOeVAAABcXpUWHRyZGtpdFBLTDkgcmRraXQgMjAyMi4wOS41AAB4nHu/b+09BiDgZYAAJiAWBGIhIG5gZGfIANLMjExsDhogBgucZoDQHBCaiQOqkJEdooCZzQEswIwQYEgAq2BTsALSjMyMcBEOMM3ICFcBppmYYOIcDAogPjcDowIjUwYTE7MCM4sGEzOrAhNbAht7BhM7RwIHJwMnFwMXNwM3DwM3LwMvHwMfPwOvAAMHY4IAJ4MIyFOsQE+wc7BycQrwcotfAxkM9TGD4EXPC/Zpn37uB3Hi0q7ZW+q+2AdiB823cmi1OW4HYpeUdzmY3v+yF8T2V1nvMFc+0h7ETv40yeGkxxmw3gMP5B3sTF+BxS9tqbc/HfgBzA76+suu5tQ7sDkTA4v3z1nvZgti3z26a//6zHVgvdVhtgeUfFeA2YWmFQfEfssfALF5RCMOXDvOANYbaDTzgFyOEthMh7ULDxRLsDuA2C9XcBy48qwcLC4GAMYaVBhxBiFCAAAB1HpUWHRNT0w5IHJka2l0IDIwMjIuMDkuNQAAeJx9lMFu2zAMhu9+Cr2ABVIkJfLQQ+IU7bDVAba077D73h8lHaRSAWF2JMjyR5n8+SNLiuv35efff+nrKpdlSQn+8zOz9EEAsLylWKTz88uPPW230/mxs13f99ufhC2heozf39nT7fr22MG0J8y1tCKUVswmpaFHZDiuHlrSFmDjSGCFzELcZiA5WLKhWGN/TWpIPOHYOc5UGmiJAxFNap2Akq5JMjdCByErK5JNuOocZ7ECqlGKmKeAE7B5zSWzKRh5TVqsyawS9Qwhm6nKwTUvfpag+XkuiAE654tavegJ57puUakJcA0SWAXajMQg0UU2rEdfqJYKY5Jpe315wvRx+vVEX2HRpNXFF2W4h6F/YqY+kqu1khelpZYI8sY2mMmA0SlHqdWicRYW8eWMlCA5N21kAVRinpPRrFUySCH3U/Hug9apFC1IB0gIQlWrSlOfPO+Xb9a+m/183S/d7HGXbmn2Qd246IO7P+O9dBeiP9ZuNna4dUuxD+3OYR/WDYIxRiPgMeHQcDymMvQSj4mGlt13eOgMHpMMHcBjqoPSd6YNirKn07+kQbQhv1By1C2eH38wvl4+AcVo4gQo6PucAAAA9HpUWHRTTUlMRVM5IHJka2l0IDIwMjIuMDkuNQAAeJwljztuxDAMRK+S0kZkQvyJJIRUblLFBwhSbb8n2MNn5O2ox9HM8OfBj+3cvq792p+PJ5/8e35//p3btZ/bCcofr41pSIi3g6lcgtsECbw7matFm0LFXtE6aRartWmkEj2Xhrl8jDadLJQTorRkrSXykl7L2Gv9h5FVgjClFCJmp6pM10XiDaw6A2AYA3FtIqO821isW3oPBWSUKx7LXIcg/0BLT7sBQwaiME3sjpW78kE0hqySLI4JyCgyULfTULMbOXUXa4LbesZtzerK0NRIxbX76x/bZUdqx3VleQAAAD96VFh0cmRraXRQS0wxMCByZGtpdCAyMDIyLjA5LjUAAHice79v7T0GIOBlgAAmBgRoYOQWAdHiXECCES4sBgC2OgQg/vWSXAAAAGh6VFh0TU9MMTAgcmRraXQgMjAyMi4wOS41AAB4nONSAIEgF+/MEgU4MHLh4lJQMMCDLC0tFcKMDQwMuHwVQAwFJ1d3Tz8F5xBHJ5iIs3+oX0gwUDUUoqp0DPH3hYm4+rlg8GEmAdlcAKjxIBnOD/cWAAAAInpUWHRTTUlMRVMxMCByZGtpdCAyMDIyLjA5LjUAAHicAwAAAAABXSRWgwAAAWR6VFh0cmRraXRQS0wxMSByZGtpdCAyMDIyLjA5LjUAAHice79v7T0GIOBlgAAmIBYAYkEgbmBkZ8gA0syMTGwOGiAGC5xmgNAcEJqJA6qQkR2igJnNASzAjBBgSACrYFOwAtKMzIxAEagSmGEQJUxAw0A0IyPMcG4GRgVGpgwmJmYFZhYNJmZWBSa2BDb2DCZ2jgQOTgZOLgYubgVuHg0mHl4GXj4GHn4FDsYEfk4GEZBnWIGOZ+dg5eLk5+EWPwUyF+pTBoELskfsqz0ZDoA4pTV77KcVM+4HsW/O0nRgunXDDsRex9jscPdOtw2IXR6/1MHEqsMexFa70ecQ9Wg7WP3EUA4Hj4BXYPF3ixXt3657BGb7hafZzStfDjbnnt/0/ZaprvtA7Nehp/evrb0I1ts93fUAh/xNMPvynbQDjKJTwGpWL1p44LzMB1sQW7ly7YHZwifBZpo2SB8Qv6YMZosBAFyzThg46SFmAAAByXpUWHRNT0wxMSByZGtpdCAyMDIyLjA5LjUAAHicfZRLbhsxDIb3PgUvMAJfIqVFFn4EadFmDLRO7tB974+SYziatEI1lqDRfJJI/j98gGw/Lt9+/YaPxpfDAQD/8+u9w7sg4uEVcgKn55evK5xvx9Nj5Xx9W28/gQzIY088n9nj7fr6WCFYgUoVJkNYuCCqtgoYk2xjK8M5QHWu2mDBUrGa4wSUALlYRXSLz8pSpU04DU4Ldul1u48cXSZchSvUQuYdJSJAU94O/puz4LSoSYv4lwhVrPZZJh4pcyFB5jywCVafcS0CxGJCii04d+w2C7DHeViYtSvHRNix6YSjUCYDo8bYNWtIPVLpM5TuaI1cUheKMMx0X0Y4f3l5Ing/fn+Sj20p0iIFm4tvRbBuXKc3yB01dOZNUG49CzJBU6mlFqxEGIYqRM5bqv+QqVWQyoTi6auoWeQyIVOtsJty91yP/HpvM1mf18snw94tfLqul2HhfHgYVaPLsCNF1+G6/F6HuShebXhIA/bhFI3ehiE0eh+6U/a9vrQNtJORtoF3CnEOJDshaBt0V2/ahrqr652xXf00Lh/nehK2iybrtq9Svj/+JGJ++AOkgdZ8CZlq5QAAAO96VFh0U01JTEVTMTEgcmRraXQgMjAyMi4wOS41AAB4nB2QOW7EMAxFr5LSxsgE9wXGVGpSZQ4QpHI/J5jDh3InPHw+furnomub2/O1v/b39aZJv/P78Tefc5vN6OuzEZgw+TgYEFVznAQabDYOBEPzGCeDG2IOBGUx6YwClpQ1QQoMoXEakEcNAnTlO6IuWeNon7gvCwkydyIFrRMILqTtJYjA8kWYtZTbKxyYOs4ep2SsVYeKw+tmlmm+3N5uaySAGRI3Kme/kWOwrEnO4n6dhwEaEfUCouDetJAyoXYL6xZ9SX+FcsVY/arSx/75B6emQ2MF4LeIAAAAP3pUWHRyZGtpdFBLTDEyIHJka2l0IDIwMjIuMDkuNQAAeJx7v2/tPQYg4GWAACYGBGhg5BYB0eJcQIIRLiwGALY6BCD9vsEwAAAAaHpUWHRNT0wxMiByZGtpdCAyMDIyLjA5LjUAAHic41IAgSAX78wSBTgwcuHiUlAwwIMsLS0VwowNDAy4fBVADAUnV3dPPwXnEEcnmIizf6hfSDBQNRSiqnQM8feFibj6uWDwYSYB2VwAqPEgGSUweiwAAAAielRYdFNNSUxFUzEyIHJka2l0IDIwMjIuMDkuNQAAeJwDAAAAAAGAPGABAAABQXpUWHRyZGtpdFBLTDEzIHJka2l0IDIwMjIuMDkuNQAAeJx7v2/tPQYg4GWAACYg5gNifiBuYGRnyADSzIxMbA4aIAYLnGaA0BwQmokDqpCRHaKAmc0BLMCMEGBIAKtgY4BKIBgKVkAGIzMjMweDAsgJ3AyMCoxMGUxMzArMLBpMzKwKTGwJbOwZTOwcCRycDJxcDFzcGkzcPAo8vAwcjAm8nAwiIGezAp3JzsHKxcnLwy2+CWQk1E8MfC0uvPZlZb/3gzgdbjr2D6M/7AOxlYV/2fNkzbcDsTWXhjocke0Ai1f8mOCQz6hqD2L/+pLo0Ff4AKx3/bqz9uuWPQKLy39+Yrte/ROYzeH9bh/DQ0Yw+23ct/2JCSpgMwsUFA4or54D1qt/of6AolYvmG3K2H1AtWMbWE0ll8uBlskTwXrFAFOFQ2DSgY2GAAABn3pUWHRNT0wxMyByZGtpdCAyMDIyLjA5LjUAAHicfVNLbhsxDN3PKXgBD0iRFMVFFv4ETpFkDLRO7pB974+SE9gao2qloaCRHinxPWqCbD9Pr1+/4d7KaZoA8D+fu8MnI+L0DjmBw/P5xwLH6/5wWzlePpbrLyAB0vCJ/ojdXy/vtxWCBXBWpVYMdjR7FVWOJVxbdy1wjNVqxZVgh7NUl5j9DeQARhxlQ49tJmKtA5wEjmfmVrBmwFK1aRkAFS4gszIy53lV/nHDGjhOnNqaiilL1QHQImeaK9bmHBMzNBod3NaUici8BK45NR5l4hFvZUSFcl/RmH0ApNBmJbmIWZ5IFbXICEmJLBGKvGH6lMJuo7Qpldnx7G7YSkIJS5M2gqY2O5lZuLmlOFrjshskHF/OTwSf+7cnvntJEBsHYGWKtCI+G9Po1s/L6aG4vsvtcFlOvdyyl15UEsa9dChMeoXkvvY6oPitXW4JsHVRJax17STMu0SUtlWC1oE2jJccqGyIpXXgDX+0DrLhRiJw98lL5sN74GTLQP7fHmvMpz9QMcCDsfAmQQAAANt6VFh0U01JTEVTMTMgcmRraXQgMjAyMi4wOS41AAB4nB2PO27DQAxEr5JSglcLDr9LCK7UuLIOEKRS7xP48KG2Ix4Hb8j3hWs5lue5nuvn+uDA8Tx+j9fj78TPd6FuhsHRNvR0NWs7dQ9OQ9uoq6fWtNfSJNCoCyDmbZcuMniG2G0Yt127CYlUyLVMcoeK2LjlYaJxi5x8ZCsQVMJqAxDJRUZiaNtnrSm8REYhksXqANaIQnAyvmNcW+SUM0uWfJOeGTQRiEc9s2kXLUMdbl62GSIXaBVCQtDW7z9yBDwP1S/ehAAAAWR6VFh0cmRraXRQS0wxNCByZGtpdCAyMDIyLjA5LjUAAHice79v7T0GIOBlgAAmIBYAYkEgbmBkZ8gA0syMTGwOGiAGC5xmgNAcEJqJA6qQkR2igJnNASzAjBBgSACrYFOwAtKMzIxAEagSmGEQJUxAw0A0IyPMcG4GRgVGpgwmJmYFZhYNJmZWBSa2BDb2DCZ2jgQOTgZOLgYubgVuHg0mHl4GXj4GHn4FDsYEfk4GEZBnWIGOZ+dg5eLk5+EWPwUyF+pTBoELskfsqz0ZDoA4pTV77KcVM+4HsW/O0nRgunXDDsRex9jscPdOtw2IXR6/1MHEqsMexFa70ecQ9Wg7WP3EUA4Hj4BXYPF3ixXt3657BGb7hafZzStfDjbnnt/0/ZaprvtA7Nehp/evrb0I1ts93fUAh/xNMPvynbQDjKJTwGpWL1p44LzMB1sQW7ly7YHZwifBZpo2SB8Qv6YMZosBAFyzThjvlY9bAAAByXpUWHRNT0wxNCByZGtpdCAyMDIyLjA5LjUAAHicfZRLbhsxDIb3PgUvMAJfIqVFFn4EadFmDLRO7tB974+SYziatEI1lqDRfJJI/j98gGw/Lt9+/YaPxpfDAQD/8+u9w7sg4uEVcgKn55evK5xvx9Nj5Xx9W28/gQzIY088n9nj7fr6WCFYgUoVJkNYuCCqtgoYk2xjK8M5QHWu2mDBUrGa4wSUALlYRXSLz8pSpU04DU4Ldul1u48cXSZchSvUQuYdJSJAU94O/puz4LSoSYv4lwhVrPZZJh4pcyFB5jywCVafcS0CxGJCii04d+w2C7DHeViYtSvHRNix6YSjUCYDo8bYNWtIPVLpM5TuaI1cUheKMMx0X0Y4f3l5Ing/fn+Sj20p0iIFm4tvRbBuXKc3yB01dOZNUG49CzJBU6mlFqxEGIYqRM5bqv+QqVWQyoTi6auoWeQyIVOtsJty91yP/HpvM1mf18snw94tfLqul2HhfHgYVaPLsCNF1+G6/F6HuShebXhIA/bhFI3ehiE0eh+6U/a9vrQNtJORtoF3CnEOJDshaBt0V2/ahrqr652xXf00Lh/nehK2iybrtq9Svj/+JGJ++AOkgdZ8PsjCqQAAAO96VFh0U01JTEVTMTQgcmRraXQgMjAyMi4wOS41AAB4nB2QOW7EMAxFr5LSxsgE9wXGVGpSZQ4QpHI/J5jDh3InPHw+furnomub2/O1v/b39aZJv/P78Tefc5vN6OuzEZgw+TgYEFVznAQabDYOBEPzGCeDG2IOBGUx6YwClpQ1QQoMoXEakEcNAnTlO6IuWeNon7gvCwkydyIFrRMILqTtJYjA8kWYtZTbKxyYOs4ep2SsVYeKw+tmlmm+3N5uaySAGRI3Kme/kWOwrEnO4n6dhwEaEfUCouDetJAyoXYL6xZ9SX+FcsVY/arSx/75B6emQ2Nm3CghAAABUnpUWHRyZGtpdFBLTDE1IHJka2l0IDIwMjIuMDkuNQAAeJx7v2/tPQYg4GWAACYg5gdiASBuYGRnSADSjExsClogmpmZjUEDyGBmgdBMLBwQPhM7hAbKZ4BpRriAA1SDA1QCiQEzCmQHExMHxC5GDog4EzcDI9BmBSZmDSZmFg0mJlYFVjYNJjZ2BXYOBQ7ODCZOrgQu7gwmbh4GHl4Gbr4EdkYGPo4EEZAHWBmZWNnYWTk5+Li5xPeBTIX6joFfvv6lvbXJv/0gTif7A3vhAz9BChi2nbVyaD/43A7ELtnV7bDxQaktiM3Ht8sh2nMVWI3AGgmHNylv7UHsy+rJ9mFvH4PZpl5/7Q5UrwLr/eWcsf+uki9YfWTysv2HPl0C23VC2PhARNYdMDvPNPSA2fXFYDUB72YceLNjCtiudWZLD0g8PwQ2syab64DRVTkwWwwApf1M8ahgvRYAAAG2elRYdE1PTDE1IHJka2l0IDIwMjIuMDkuNQAAeJx9U8uO2zAMvPsr+AMWSIp68LCHPBbbol0HaNP9h977/+jQQSovIFQOBckekaMZZqEYP67ffv+hf0Ovy0LE//m5O31kZl7eKRZ0fn37utHlfjo/31xuv7b7T5JCUnEGz2fs6X57f74R2khSVxNXWiV5L16dOPE+xlGlC4CtsGKzcrLemtsBSJcvby9CH6fvL/l5KOOQJpfeGUySFa3WJ8kNOEu51iISnyuzzkgUulFJXUxxM5DIWYvLBFhxLU25F/CN+xWrphNcQ2FOvbesNa4Hnp0nuI584O/WuNFe11uZ4Bz5wMu5aW+xUuassysLB1SSwlDkxArScM4zqARUU/POfXepqbjP6kvYtGYQlNwfEoEBzySSMGe1BBv5oWHTKlOqBtnXkqSqK5oqFdXa2gwZBoEpkF1Cx6psNqv+ul0/9eGjM8+37To6Mx4d/YcNHToLG7LRQIooo08EX+voBkW0Ybog+vBWED4sNIQcjbKYRA5+WEyiB9lln/JBXdknO6hoO6Yc1IrKI0sNRBlUQqSjJLF//tGxXv4C29nLjSVh6HAAAADmelRYdFNNSUxFUzE1IHJka2l0IDIwMjIuMDkuNQAAeJwdjzGOxEAIBL9yoa0bI2BgAFmOnHsfcNrID9gP7OOvxxkq0U1x/Z2/bzmX4zxe63Wcl9xy3/dyvtaP/HwXoVSTaptQpVe0XSictbeNyTKirO1KJZnSQFyHZduN+hg+CQ9mTeScUkx15npXL5m5nu4NN9wGepgyo+sAieSRk1hZcLQnVOFtR744ZiUmZe6KPehpFToxQIA7kFJUck4UuLtvHR3S6zFAkGGwGeEFrikaOiRn0EmGlsLCVacFqkCeB4eymbT1+w+lxkBLaiH8AAAAAABJRU5ErkJggg==",
"text/plain": [
""
]
},
"execution_count": 23,
"metadata": {},
"output_type": "execute_result"
}
],
"source": [
"drawing"
]
},
{
"attachments": {},
"cell_type": "markdown",
"metadata": {},
"source": [
"The remaining parameters are all in grid format, meaning a two-dimensional nested list where the top-level list represents a row in the drawing, and each element of a lower-level represents a cell in the drawing. This format lets you access the data for each chemical species, for example any `_grid[0][0]` entry represents the top-left species in the drawing."
]
},
{
"attachments": {},
"cell_type": "markdown",
"metadata": {},
"source": [
"`smiles_grid` contains the SMILES string for each species. If there is no species in a cell, its entry is an empty string, `''`."
]
},
{
"cell_type": "code",
"execution_count": 24,
"metadata": {},
"outputs": [
{
"data": {
"text/plain": [
"[['Nc1c(C(=O)O)ncn1C2OC(CO)C(O)C2O', '', '', ''],\n",
" ['Nc1c(C(=O)O)ncn1C2OC(CO)C(O)C2O.[H+]', '', '', ''],\n",
" ['NC1=C(C(=O)O)N=C[NH2+]1',\n",
" 'Nc1c(C(=O)O)ncn1C2[CH+]C(O)C(CO)O2',\n",
" '',\n",
" 'Nc1c(C(=O)O)ncn1C2[CH+]C=C(CO)O2'],\n",
" ['',\n",
" 'Nc1c(C(=O)O)ncn1C2C=C[CH+]O2',\n",
" 'Nc1c(C(=O)O)ncn1C2[CH+]C=C(CO)O2',\n",
" 'N[c+]1c(=C=O)ncn1c2ccc(CO)o2']]"
]
},
"execution_count": 24,
"metadata": {},
"output_type": "execute_result"
}
],
"source": [
"smiles_grid"
]
},
{
"attachments": {},
"cell_type": "markdown",
"metadata": {},
"source": [
"`labels_grid` contains the supplied string for each species. If there is no species in a cell, its entry is an empty string, `''`."
]
},
{
"cell_type": "code",
"execution_count": 25,
"metadata": {},
"outputs": [
{
"data": {
"text/plain": [
"[['CAIr', '', '', ''],\n",
" ['CAIr.H+', '', '', ''],\n",
" ['C4H5N3O2+', 'C9H11N3O5+', '', 'C9H9N3O4+'],\n",
" ['', 'C8H7N3O3+', 'C9H9N3O4+', 'C9H7N3O3+']]"
]
},
"execution_count": 25,
"metadata": {},
"output_type": "execute_result"
}
],
"source": [
"labels_grid"
]
},
{
"attachments": {},
"cell_type": "markdown",
"metadata": {},
"source": [
"`mols_grid` contains the RDKit molecule object for each species. If there is no species in a cell, its entry is still an RDKit molecule, but represents a null molecule (no atoms)."
]
},
{
"cell_type": "code",
"execution_count": 26,
"metadata": {},
"outputs": [
{
"data": {
"text/plain": [
"[[,\n",
" ,\n",
" ,\n",
" ],\n",
" [,\n",
" ,\n",
" ,\n",
" ],\n",
" [,\n",
" ,\n",
" ,\n",
" ],\n",
" [,\n",
" ,\n",
" ,\n",
" ]]"
]
},
"execution_count": 26,
"metadata": {},
"output_type": "execute_result"
}
],
"source": [
"mols_grid"
]
},
{
"attachments": {},
"cell_type": "markdown",
"metadata": {},
"source": [
"`masses_grid` contains the mass for each species. If there is no species in a cell, its entry is zero."
]
},
{
"cell_type": "code",
"execution_count": 27,
"metadata": {},
"outputs": [
{
"data": {
"text/plain": [
"[[259.080435136, 0.0, 0.0, 0.0],\n",
" [260.08771158809003, 0.0, 0.0, 0.0],\n",
" [128.04545285209, 242.07714690409, 0.0, 224.06658222009],\n",
" [0.0, 194.05601753609, 224.06658222009, 206.05601753609]]"
]
},
"execution_count": 27,
"metadata": {},
"output_type": "execute_result"
}
],
"source": [
"masses_grid"
]
},
{
"attachments": {},
"cell_type": "markdown",
"metadata": {},
"source": [
"`charges_grid` contains the charge for each species. If there is no species in a cell, its entry is zero."
]
},
{
"cell_type": "code",
"execution_count": 28,
"metadata": {},
"outputs": [
{
"data": {
"text/plain": [
"[[0, 0, 0, 0], [1, 0, 0, 0], [1, 1, 0, 1], [0, 1, 1, 1]]"
]
},
"execution_count": 28,
"metadata": {},
"output_type": "execute_result"
}
],
"source": [
"charges_grid"
]
},
{
"attachments": {},
"cell_type": "markdown",
"metadata": {},
"source": [
"`mzs_grid` contains the mass to charge for each species. If there is no charged species in a cell, its entry is zero."
]
},
{
"cell_type": "code",
"execution_count": 29,
"metadata": {},
"outputs": [
{
"data": {
"text/plain": [
"[[0, 0, 0, 0],\n",
" [260.08771158809003, 0, 0, 0],\n",
" [128.04545285209, 242.07714690409, 0, 224.06658222009],\n",
" [0, 194.05601753609, 224.06658222009, 206.05601753609]]"
]
},
"execution_count": 29,
"metadata": {},
"output_type": "execute_result"
}
],
"source": [
"mzs_grid"
]
},
{
"attachments": {},
"cell_type": "markdown",
"metadata": {},
"source": [
"## Toluene Example: Showing Hydrogen Atoms"
]
},
{
"attachments": {},
"cell_type": "markdown",
"metadata": {},
"source": [
"As a second example, consider toluene, a common organic solvent. [Toluene's mass spec fragmentation tree](https://en.wikipedia.org/wiki/Fragmentation_(mass_spectrometry)) is also known and is reproduced below. In this case, the parent is produced by removing an electron from the neutral species. As a result, the mass of the toluene ion is nearly the same as that of toluene, because an [electron's mass](https://en.wikipedia.org/wiki/Electron_mass) is less than one-thousandth of a Dalton.\n",
"\n",
"One difficulty in mentally parsing unusual gas-phase chemical structures is counting the number of hydrogen atoms. To help, `mass_spec_frag_tree` lets you show hydrogen atoms using `addHs=True`."
]
},
{
"cell_type": "code",
"execution_count": 30,
"metadata": {},
"outputs": [
{
"data": {
"image/png": "iVBORw0KGgoAAAANSUhEUgAAAZAAAASwCAIAAABaSYsKAAAABmJLR0QA/wD/AP+gvaeTAAAgAElEQVR4nOzdaVwT194H8H8S9k0iAgruIpsKKFKxWhHEikupdUPrhq2tVq0giwpYLSrV4gZqa/Vx17qiXrXV6w64oCKKCCgILiCL7CBLSEjmeXHunZuiVawkJxP+3xf9OIck5xf68eeZyWSGxzAMIIQQF/BpB0AIoabCwkIIcQYWFkKIM7CwEEKcgYWFEOIMLCyEEGdgYSGEOAMLCyHEGVhYCCHOwMJCCHEGFhZCiDOwsBBCnIGFhRDiDCwshBBnYGEhhDgDCwshxBlYWAghzsDCQghxBhYWQogzsLAQQpyBhYUQ4gwsLIQQZ2BhIYQ4g35hSSSS+Pj4yspK+cHU1NTMzExakT5QXl7erVu35EcaGhri4+MrKipoRUJIPdAvrLKyMjc3t3v37skPLly4MCIiglakD3To0KGxY8fKj1RVVbm5uSUmJtKKhJB6oF9YCCHURFhYCCHO0KAd4D/q6upevXrFbkqlUophPhzDMPJvp7q6mmIYhNSGqhTWiBEjGo1MmzaNSpJmkZ+fb2RkRDsFQupGVQrr9OnTAwYMYDd9fHwohvlwFhYWqamp7GZFRUXXrl0p5kFIPahKYRkYGAiFQnZTQ0NVgv0zPB5P/u0wDEMxDEJqAw+6I4Q4AwsLIcQZ9Pe8dHV1fX1927VrJz84dOhQ7h607tmzZ6NjcNra2r6+vpaWlrQiIaQeeKp5eIVhmAMHDlhYWLi7u9PO8n6ePHly7NgxPz8/LS0t2lkQUjf0V1hvtG/fvunTp9vZ2d2/f19TU5N2nPcQHBx8/Pjxly9frl27lnYWhNSNiq6wxGKxg4NDRkbGhg0b/P39acdpqsuXLw8ZMsTAwCAjI8PCwoJ2HITUjYoedNfS0iIrlPDw8JKSEtpxmkQqlS5YsAAAQkNDsa0QUgQVLSwAGDVqlJeXV0VFxdKlS2lnaZKtW7empKR06dKF1BZCqNmp6C4h8fDhQ0dHR5lMlpSU5OjoSDvO25SXl1tbW5eUlBw7dmzMmDG04yCknlR3hQUAdnZ2c+bMYXe1VNmPP/5YUlLi7u6ObYWQ4qj0CgvkVi4xMTGNroqnOtiV4N27dx0cHGjHQUhtqfQKCwCEQuHy5csBIDg4WCQS0Y7zZgEBARKJZNasWdhWCCmUqq+wAEAqlfbp0yclJSUiIiI0NJR2nMZOnz7t7e0tFAozMzPbtGlDOw5C6owDhQUAV65c8fDwUMHzm8Rica9evTIzM6Oiovz8/GjHQUjNqfouIUEOZldXV4eEhNDO8hfR0dGZmZnkwwHaWRBSf9xYYQHA06dP7e3t6+vrExIS+vXrRzsOAEBRUZG1tXVlZeXZs2e9vLxox0FI/XFjhQUA5IRMhmHmzp0rk8loxwEACAsLq6ysJCe40s6CUIvAmRUWAFRXV9vY2OTn5+/du3fq1Kl0w9y7d8/FxUUgEKSkpNjY2NANg1ALwZkVFgAYGBj89NNPALBw4cKqqiq6Yfz9/aVS6fz58ym21erVqxcvXiw/kpycPHjw4PLyclqREFIoLhUWAEybNq1fv36FhYWRkZEUYxw6dCg+Pt7MzGzJkiUUYzx8+DAlJUV+pKKiIi4uTiwW04qEkEJxrLB4PF5UVBSPx1u7dm1WVhaVDHV1dWRdExER0apVKyoZEGqZOFZYAODq6jp58uT6+npapzhERkY+f/7cyclpxowZVAIg1GJx6aA7Ky8vz9bWtrq6+vz580OHDlXm1C9evLC1ta2pqYmNjXVzc1Pm1K+bPn16fHz86NGj2ZEXL17ExMQUFhaam5tTDIaQgnBvhQUAlpaWixYtAoAFCxY0NDQoc+qFCxfW1NT4+PhQbysW769ox0FIgTi5wgIAkUhkb2//9OnTLVu2zJ49WzmTJiQkDBgwQEdHJz09vXPnzsqZ9C2mT59eXFx85swZdiQ2Ntbd3R1XWEhdcXKFBQA6Ojrkg8KwsLCysjIlzCiTyfz8/BiGWbhwoSq0FUItkIreNacpxo0bN3jw4NjY2IULFwYFBSl6umPHjiUmJlpaWgYHByt6LoTQG3G4sABgw4YNzs7OMTExO3bsUMJ0AoFg+fLl+vr6SpgLIfQ6bhdWWlqaTCZjGEYJp5sXFBRUVVVlZmYqeqKmi4qKavS1yv79++fm5pqamtKKhJBCcfWgOwDU1tba2dnl5OTs2rXL19dX0dPdvXvXxcVFQ0PjwYMH1tbWip7uvcyfPz81NXXTpk09evSgnQUhBeLqQXcAWLVqVU5OTp8+faZNm6aE6fr06TN9+nSxWLxw4UIlTPdekpKSrly5UlFRQTsIQorF1cLKzc1dv349j8eLjo7m85X0LlatWmVkZHTy5Mlz584pZ0aEkDyuHsMKDAysra2dPHnywIED2cHBgwffv3+/eSfS0NAoLi4mfzY3Nw8JCQkJCQkICEhOTtbU1GzeuRBCb8fJwrp+/XpMTIyuri652gyrqqqq2XeLBAKB/GZAQMDOnTvT09O3bt06b9685p0LIfR23Css9gTOkJCQjh07yv8oLi6u2b+p0+jLLlpaWpGRkV988cXSpUsnTpyIt8lBSJm4V1jbt29PSkrq0KFDYGBgox8ZGhoqIcDo0aOHDRt27ty58PDwTZs2KWFGhBDBsYPuVVVVy5YtA4B169bp6enRirF+/XoNDY0tW7Y8ePCAVgaEWiCOFVZ4eHhhYeGAAQPGjRtHMYa9vf2sWbOkUqm/vz/FGAi1NFwqrKysrF9++YXP55OLjtINs2LFChMTk8uXL588eZJuEoRaDi4Vlp+fX319/cyZM/v27Us7CwiFQrJzGhAQUF9fTzsOQi0CZwrr4sWLZ86cMTIyCg8Pp53lP+bMmdOrV68nT55ER0fTzoJQi8CNwmpoaCBHi5YtW9a2bVvacf5DIBBERUUBwMqVKwsKCmjHQUj9caOwNm3alJaWZmVlNXfuXNpZ/sLDw8Pb2/vVq1d07/eFUAvBgcIqKytbuXIlAERFRWlra9OO09j69eu1tbV37959+/Zt2lkQUnMcKKzQ0NCysjJPT8+RI0fSzvIG3bp18/Pzk8lk/v7+3L1WD0KcoOqFlZaWtmPHDg0NDXK0SDUtWbKkXbt2CQkJhw4dop0FIXWm6oVFbuQ1b948Vb40naGhIdlpJTcBox0HIbWl0oUVExNz4cKF1q1bq/4hbV9fXxcXlxcvXqxZs4Z2FoTUluoWFnsz+oiICBMTE9px3oHP50dHR/N4vMjIyGfPntGOg5B6Ut3CWrNmTVZWVo8ePWbOnEk7S5P0799/4sSJdXV1ixcvpp0FIfWkooWVl5f3888/A8CGDRs0NDhzDZzIyEh9ff3Dhw/Hx8fTzoKQGlLRwgoJCamurh47duzQoUNpZ3kP7du3J7dZ9ff3l0qltOMgpG5UsbBu3ry5f/9+bW3t1atX087y3hYuXNipU6d79+7t2rWLdhaE1M3bCsvW1nbbtm3yI8uXLx88eLBCAzEMQ87ADAoKsrKyUuhciqCrq0t6NiwsrLKyknac5jF48ODly5fLj2zbts3W1pZWHtRiva2wysvLRSKR/Ehtba2i/xLu3bv31q1bbdu2VcHb/zXRxIkTBw0aVFRURE7OUgOVlZW1tbXyIyKRqLy8nFYe1GKp1i5hdXV1aGgoAERGRhoZGdGO889FRUUJBIKNGzeq1K3tEeI61SqsVatW5efnOzs7T548mXaWD9K7d29fX1+xWBwUFEQ7C0Lqg/eW7+uam5sbGxu3b9+eHcnOzhYKhdeuXTMwMFBEGn19/dra2hs3bri6upIRqVR68eLFYcOGKWK65hUXF+fi4sLeGuPly5fdunVjGKbRzhTnVFdXDxw4sLy8vFu3buzgixcvKioqXr58STEYaoHecYqTi4uLp6cnu3n06NH8/HwFR/ofmUw2aNCgGzduxMbGurm5KW3ef+DFixcjR45s3bp1cnJy69atacdpfj169Bg/fjy7efHixQsXLlDMg1oo5u+ZmZlFR0fLjyxatMjJyektT/lAYWFhAODs7CyVSskI+XDK0dGxoaFBcfN+uC+//BIAJkyYwI589dVXAODt7a2E2T/++GMAuHbtmoJe38nJadGiRfIj0dHRZmZmCpoOob+jWsewQkNDO3TokJSUtH//fjISHBzcuXPn+/fv79ixg262t0hISDh48KCOjg45Ox8A7t27t3v3bi0tLfwuNELNSLUKS09Pj71OS1VVFQCwLbBkyZKKigrK+d6EvXQf6VYy6O/vL5PJ/Pz8rK2tqaZDSK28rbCEQqGOjo78iJ6eXqtWrRQaaOrUqQMGDHj58iW7WpkwYYKbm1txcfGKFSsUOvU/s2fPntu3b1taWi5atIiMHDx4MD4+3szMjOzhqoFWrVo1us+2jo6OUCiklQe1XLT3Sd/gzp07fD5fS0srMzOTjNy7d08gEGhqaj569IhutkaqqqratWsHAPv37ycjtbW1nTp1AoDt27crLYaij2EhpCJUa5eQcHZ2njJlilgsZq/T4uTk9PXXX0skkoCAALrZGomIiCgoKOjfvz856A4AP//88/Pnz3v37j1jxgy62RBSQ7Qb880KCwvJme7nz58nI0VFRcbGxgBw5swZutlY2dnZOjo6PB7v1q1bZCQ3N1dfXx8A4uLilJkEV1iohVDFFRYAmJubk+8Skmu6A4CpqSm5UPL8+fPFYjHlfAAAEBgYKBKJpk+f/tFHH5GR4ODgmpoa8l1CutkQUk+0G/NviUQicrWGX3/9lYyIxWIbGxsAWL9+Pd1sDMNcunQJAAwMDPLy8sjI9evXeTyerq7us2fPlBwGV1iohVDRFRYAsNfDWrJkSWlpKQBoamquW7cOAH788cfCwkKK2aRSqb+/PwCEhYVZWFiA3MkN5HpYFLMhpM5oN+Y7kCuO+vn5sSPDhw8HgFmzZlFMtXnzZgDo2rVrXV0dGdm+fTsAtG/fvrq6Wvl5cIWFWghVL6zU1FQNDQ0NDY0HDx6QkYcPH2pqavL5/Dt37lCJVFZW1qZNGwA4ceIEGWFPbjh48CCVSFhYqIVQ3V1Cgtw1p6GhYcGCBWTE1tZ27ty5FG8Nv2zZspKSEg8Pj9GjR5ORFStWkJMbfHx8lJ8HoRaEdmO+W2lpKbkv4enTp8lIeXm5qakpABw9elTJYdLT0zU1NQUCwf3798lIVlaWtrY2n8+/ffu2ksOwcIWFWghVX2EBAHvnZ39///r6egAwNjYmV3EICAhQ8tWmFixYIJFIZs+e7eDgwI7U19fPmDHDxcVFmUkQaoloN2aTSCSSnj17AsDatWvJSENDg6OjIwCsXLlSaTFOnjwJAEKhsLi4mIxcvHgRAAwNDfPz85UW43W4wkItBDcKi2EYcrk4Q0PDgoICMnL16lUej6enp/f8+XMlBKivryeXXti4cSMZkUgkvXr1AoDIyEglBHgLLCzUQnBgl5Dw9PQcOXLkq1evli5dSkYGDhw4ZsyY2tpassOoaFFRUZmZmXZ2drNnzyYjv/7664MHD7p16zZ//nwlBEAIcWaFxTDM48ePyeHtxMREMvL8+XM9PT0ej3f16lWFTv3y5UtyXZ2zZ8+SEfajgJMnTyp06qbAFRZqITizwgIAKyurefPmkQvjMQwDAB07dlywYAHDMOSCeYqbOiQkpLKy0tvb28vLi4z88MMPpaWlQ4YM8fb2Vty8CKG/oN2Y76eqqqpt27YAcPjwYTJSU1PTsWNHANizZ4+CJr179y65PldGRgYZSUtLI6ezpqSkKGjS94IrLNRCcGmFBQCGhobkhIagoCByQsPrV1Vudq9f75hcQ+K7774jB90RQkpCuzHfm1Qq7du3LwCEh4eTEZlMNmDAAAAIDQ1t9ukOHDgAAGZmZhUVFWTk+PHjACAUCktKSpp9un8GV1ioheDYCgsA+Hx+VFQUj8dbvXr18+fPAYDH461bt47H45FvFzbvdHfu3OHxeBEREeSgu1gsJtduX7FiBTnojhBSHtqN+Q9NmDABAL788kt25ObNmwqa6/bt2+x9En/66ScAsLe3l0gkCpruH8AVFmohuLfCItauXaunp3fw4MGrV6+SkX79+iloLhcXFz6fDwAvX74kl+jasGGDhsY7bpqNEGp2XC2sDh06BAYGMoo/oUHe4sWLq6qqRo8e/emnnypnRoSQPK4WFgCEhIR07Njx7t27e/bsUcJ0d+/e3bt3r5aWVmRkpBKmey/Ozs7u7u7kJh0IqTEeQ+OSUs3l999/nzJlipGREbl+nkIVFBRUVVUtWrSI7BWqgvLycplMJn/sv76+vri42MLCguzDIqRmuH0gpkePHnw+n8fjZWRkKGE6gUCgUree9/f3Ly4uPnPmDDuSkJDg7u5eWFhobm5OMRhCCsLtwiIHsMaPHx8YGKjouY4fPx4WFrZ06VIfHx9y80GEkJJxuLCOHj0aFxdnamq6Zs0aJRy+Wbx48cmTJ2/fvh0ZGRkeHq7o6RBCr+PqkQ6RSETutLpixQrlHGxmT1hds2bNs2fPlDAjQqgRrhYWaQ1HR8eZM2cqbdL+/ftPmjSprq6OnOyuCi5dumQqh70vBkJqiZOfEubl5dnY2NTU1Fy5cmXw4MFUpo6NjXVzc1Pm1K+bPn16dnb2xo0b2ZGkpKRvv/0WD7ojdcXJFdaiRYtqamrGjx+v5LYCAEtLS7Ir6u/vL5VKlTz764yMjPrI6d69O+1ECCkQ9wrr5s2bBw4c0NHRoXUCZ3BwcOfOnZOTk3fu3EklAEItFscKi2EYcrnRoKCgzp07U8mgq6tLzh1dsmRJRUUFlQwItUwcK6w9e/bcvn3b0tKS7mFvHx8fNze3oqIicu1AWuzs7NjbIxLGxsZubm5aWlq0IiGkUFw66F5dXW1jY5Ofn79v374pU6bQDZOcnNy3b18+n//gwQMbGxu6YRBqIbi0woqIiMjPz3d1dZ08eTLtLODk5PTVV19JJBIlnGSPECI4s8J68uRJjx496uvrb968+dFHH9GOAwBQVFRkbW1dWVl55syZ4cOH046DkPrjzAorKChIJBJNmzZNRdoKAMzMzMg9XAMCAiQSCe04CKk/bqywLl++PGTIEAMDg4yMDAsLC9px/kcsFjs4OGRkZGzYsMHf3592HITUHAdWWFKpdMGCBQAQGhqqUm0FAFpaWmvXrgWA8PDwkpIS2nEQUnMcKKytW7empKR06dKF1JaqGTVqlJeXV0VFxdKlS2lnQUjNqfouYXl5ubW1dUlJybFjx8aMGUM7zps9fPjQ0dFRJpMlJSU5OjrSjoOQ2lL1FdaPP/5YUlLi7u6usm0FAHZ2dnPmzGF3XRFCCqLSKyx25XL37t1Gp3SrGnYlGBMTM3bsWNpxEFJPKr3CIqcLzJo1S8XbCgCEQuHy5csBIDg4WCQS0Y6DkHpS3RXW6dOnvb29hUJhZmZmmzZtaMd5N6lU2qdPn5SUlIiIiNDQUNpxEFJDKlpYYrG4V69emZmZUVFRfn5+tOM01ZUrVzw8PFTwfDGE1IOK7hIeOnQoMzOTHMymneU9kA8Hqqur169fTzsLQmpIRe+aM3XqVIFAYGFhoampSTvL+1mzZo2rqyuHVoUIcQj9FVZVVdWMGTMa3Qk1KipKJBK5u7vTSvWPde3a1cHBISQkRH6wpqZmxowZ6enptFIhpB7oF1ZdXd3u3bsLCgrkBy9cuBAfH08r0gdKTU09fPiw/Eh9ff3u3bvz8vJoRUJIPdAvLIQQaiIsLIQQZ6jKQfcTJ048ePCA3Xz+/LmpqSnFPB+opqZm06ZN7GZtbS3FMAipDVUprKSkpOfPn7ObpaWlFMN8OJFIdOnSJXYTL++HULNQlcJauXKl/F1RR4wYQS9LMzAxMfnXv/7FbpaVlZmYmFDMg5B6wGNYCCHOwMJCCHEGFhZCiDPof/lZIpEkJCQ4Ojq2atWKHUxNTdXS0rK2tqYY7B/Ly8t78eJFv3792JGGhoYbN244ODgYGxtTDIYQ19EvLIQQaiLcJUQIcQYWFkKIM7CwEEKcgYWFEOIMLCyEEGdgYSGEOAMLCyHEGVhYCCHOwMJCCHEGFhZCiDOwsBBCnIGFhRDiDCwshBBnYGEhhDgDCwshxBlYWAghzsDCQghxBhYWQogzsLAQQpyBhYUQ4gwsLIQQZ2BhIYQ4AwsLIcQZqlhYEolELBbTToEQUjmqeCPV4cOH19bWxsXF0Q7yPy9evLh3756mpqarq2ujuzfX1dUlJiaWl5d3797d3t7+714hLy/v7t27AoGgX79+JiYmjX4qFosTExMLCwstLCz69u2rqanJ/ig1NTU7O9vMzMzBwUFfX7/REx89epSZmamjo+Pk5GRmZvbGqR88eMD+A6Crq2tlZaWlpdX0946QCmGU5dKlSwcOHGjKI728vAYNGqToPE0klUr9/PwEAgH5denr6+/Zs4f96e+//07aR0dHBwCGDRtWWlr6+ouEhITw+XxNTU2BQKCtrf3LL7/I//TAgQNt2rQBAG1tbQBwcXGRyWQMwzx79qx///7si1tYWJw/f5591pMnTwYMGAAAGhoaGhoaWlpa9+7de+Nb6NSpk/z/cX19/Tlz5rx69ap5fkEIKZHyCuv777+fOHFiUx6pUoUVHR0NAGFhYXV1dXl5eaNGjdLQ0EhNTWUY5s6dO3w+f86cORUVFVKp9ODBgzwe75tvvmn0Cvv37weA2bNni0SiysrKSZMm8Xi869evk5+eOXOGz+dPmDAhMzNTJpOVlZWRF5fJZL1797azs0tOTmYY5smTJ3Z2dsbGxqRoqquru3bt2rFjx4sXL9bV1TU0NNy4cePv3kKnTp3GjBlTVlZWVlaWnZ29du1aXV3djz/+WCwWK+iXhpCCKKOwampqsrOzhw8fPmrUqOzs7Ozs7Pr6evIjsj917dq1srIy9vFsYb169So7O1v+71VOTs7Lly/ZTalUmpqaGhcXl5+fT0YkEkl2drZEIpFKpcnJyYmJibW1tY3yPH78OC4u7smTJ00J7+Dg0LNnT7LkYRgmPz9fU1PTz8+PYRixWHzixAmpVMo++JNPPrGxsWn0Cn379m3fvj37sIqKCh0dnQkTJpBNR0fHDh06sL8QeXfv3s3MzGQ3d+zYAQDXrl1jGGbdunUAcPbs2aa8hU6dOjX6p+LIkSMA8Ouvv7IjOTk5169ff/TokUQiacprIkSFMgrrzJkzjfZDySJiz549xsbGPB5PU1NTU1MzKCiI/K1mC+vAgQMA8PDhQ/alrKysJk+eTP6clJRkZWVF9ph4PN78+fMZhsnJyQGATZs2de3aVVdXl8fjtW/fnkxHftqvXz92J+vzzz8XiURvD29qajp69Gj5EXt7+yFDhrzxwaNHj27Tpo38iEQiIasw+cHhw4d36tSJYZjnz58DwA8//PCuXyHDMMy//vUvADh16hTDMO7u7uQVmuL1wpLJZB06dBg8eDDJ0KtXL7KrCABWVlZ/t2uJEHXK+JTQ09OzrKzMysqK3TGxtbVNTEz86quvPvvss4qKiurq6sjIyLVr1/7yyy9NfM2amprPPvtMKBTm5OTU1tauWbNm48aNsbGx5KerVq367bffamtrc3NzJRLJsmXLyPi4cePy8/NTUlLq6upOnjx56tSp3bt3v30ia2trskwjm1VVVTweLy8v7/VHNjQ03Llzp0+fPvKDBQUFMpmsY8eO8oMdO3bMz8+XyWTp6ekA0Lp169mzZ9vY2LRr127ixIm5ublvTHLz5k0+n+/k5AQA6enpNjY2W7ZscXV1bdOmjaur68mTJ9/xK5PD4/FsbW3T0tIAoH379sHBwSUlJdXV1QUFBQKBwN/fv+kvhZBSKa0abWxs5P+dnz9/voGBQVVVFTsyYMCA3r17M01bYZHlRmxsLBmXSqWtWrX67rvvyApLfmdnwoQJZDft4cOHALB161b2Ry4uLh4eHm+P/ccff/D5/D59+qxcufL777/v0KGDrq5uhw4dXn/k5s2beTxeXFyc/OD9+/cb5WEYJjg4GAAqKysPHToEAFpaWtOnT9++ffvPP/9sYmLStWvX6urqRi+em5srFApnzJhBNnV0dAQCgYuLy5o1a3bu3PnJJ5/weLy/20N8fYXFMMyXX36pq6v7+oMDAwONjIze+itBiBoNWkX5+PHj7t27GxoasiPOzs47duxgmnaaxePHjwHg888/5/P/s0isrq4mbQUA8qcF6OnpiUQi9ilBQUGLFy9mn9LoE7TXjRw58vz581FRUUeOHLG2tt61a1dgYODrD4uLiwsKCpo1a9agQYPkx01NTQGgrKxMfrCsrExPT8/IyMjIyAgAfvvttxkzZpAfde3adfz48adOnZo0aRL7+KqqqnHjxhkaGq5atYqMGBkZ9erV69y5c+TjywkTJnTu3Dk6OtrLy+vtb4eVn58vFArJnxMSErZs2fL48eOioqLy8vJXr1418UUQUjJqhcXjNT4FjGEYHo/X9KcDwPHjx1u1asUOGhgYvPMp0dHRDg4O7KB8tf2dIUOGDBkyhPy5vr7+8ePHY8eOlX/AH3/8MXHixNGjR2/evLnRc83MzDQ0NJ4+fSo/+PTpU0tLSwAg/21oaGB/1Lt3bwBgmxcACgsLv/jii5ycnLi4OHNzczJoaWlZX18vf7KFjY0NOSLWFA0NDenp6X379gWAP//88/PPPx87duyCBQtat269Z8+e33//vYmvg5CSKa+w+Hy+VCplN62trePi4iorK9nGSUxMtLGxke8scmicrI8IiUTCPh0AZDKZs7Oz/Cx/dwCIfUptbW2jp7yXXbt21dbWjhs3jmzKZLLw8HCyt7h27Vq2QVgCgWDgwIGnTp2qr68np1kVFRXFx8f7+voCgJWVlb6+/vnz57/55hvy+OTkZADo0qUL2bx+/fqECRNMTEyuXr3arVs39mUdHR0PHz5cWlpKzgITiUQZGRkfffRRE9/Fli1bikc6Rs8AACAASURBVIqKyLJux44d9vb2hw8fJj+6evXqP/i1IKQkStv5HDFiRJcuXV6+fJmTkyORSJKSkjQ0NCZNmlRaWkqOmsN/j/Wwx7AePXrE4/FCQ0NlMll5efn3338PAOQYVm1tbceOHXv27Ek+ASwuLt65c2dpaSlZm/zf//0fO6+vry/7gdonn3zStm3bq1evSqXSqqqqmJiYR48eMQyzbt2606dPvzG2WCyOiYnJz8/Pysr67bffDAwMhgwZQs5yKC0tJbtgfn5+d+TU1dWlpKQsX748NzeXYZizZ8/yeLwvvvji2bNnGRkZnp6e2tra6enp5PXJWamRkZFPnz49f/68paVlp06dampqGIaJjo7W1NTs1atXXFwc++IvXrxgGCYxMZHP5w8bNuzevXsZGRljxozh8Xhnzpx541vo1KnTp59+Sp4eFxc3f/58gUAwfvx48i58fHwsLS1LS0ulUunly5ctLCzI4hchFaS8wrp16xb57gifz79//z4jd4Y3OVGbFBPz1xNHg4KCeDyerq6uQCCYOXPmyJEj2dMaHjx40LNnT/jvbl2vXr3u3r379sLKz893d3dnn9K5c+c//viDYRg9Pb0pU6a8MXZcXBx7oE1bW/urr75izxGPiIh4478Bjx492rNnD/z3nCmGYbZs2UIOVwGAubk5OTWBEIlE06ZNY4/EOTs7kw8Z3vhBJAAsXryYPPHAgQOtW7cmg0KhcNu2bX/3m290nK5r164///xzQ0MD+WlKSkrbtm21tbWNjIy6dOmyePFiLCykspT6XUKRSJSVldW2bVvSUwAgkUjS09PFYrGtrS3bCyUlJQzDkMPVAJCfn//s2bMuXbq0a9eupKREJpPJf2kuMzOzsrLS0tLSwsICABoaGnJyckxNTdlXKy4urqurkz+xgJx9ampq2rFjR9IUR44cSUxMJKu819XW1mZnZ0ulUisrK/nDZBUVFY2OphMdOnSQSCSlpaXm5ubst/bq6uoyMjIEAoGdnZ2GRuM98dLS0idPnpCPCMmIVCp94zEpY2NjtqckEglpNxsbG7L7/EY5OTnkMBmPx2vTpo38Bx1ETU1NUlKSQCDo27cvj8d78eIFGwMhlaKKX35Wvvj4+IcPH86aNYt2EITQ22BhIYQ4QxWvh4UQQm+EhYUQ4gwsLIQQZ2BhIYQ4AwsLIcQZWFgIIc7AwkIIcQYWFkKIM7CwEEKcgYWFEOIMLCyEEGdgYSGEOAMLCyHEGVhYCCHOwMJCCHEGFhZCiDOwsBBCnIGFhRDiDCwshBBnYGEhhDgDCwshxBlYWAghzsDCQghxBhYWQogzsLAQQpyBhYUQ4gwsLIQQZ2BhIYQ4g35hSSSS+Pj4yspK+cHU1NTMzExakT5QXl7erVu35EcaGhri4+MrKipoRUJIPdAvrLKyMjc3t3v37skPLly4MCIiglakD3To0KGxY8fKj1RVVbm5uSUmJtKKhJB6oF9YCCHURFhYCCHO0KAd4D/q6upevXrFbkqlUophPhzDMPJvp7q6mmIYhNSGqhTWiBEjGo1MmzaNSpJmkZ+fb2RkRDsFQupGVQrr9OnTAwYMYDd9fHwohvlwFhYWqamp7GZFRUXXrl0p5kFIPahKYRkYGAiFQnZTQ0NVgv0zPB5P/u0wDEMxDEJqAw+6I4Q4AwsLIcQZ9Pe8dHV1fX1927VrJz84dOhQ7h607tmzZ6NjcNra2r6+vpaWlrQiIaQeeKp5eIVhmAMHDlhYWLi7u9PO8n6ePHly7NgxPz8/LS0t2lkQUjf0V1hvtG/fvunTp9vZ2d2/f19TU5N2nPcQHBx8/Pjxly9frl27lnYWhNSNiq6wxGKxg4NDRkbGhg0b/P39acdpqsuXLw8ZMsTAwCAjI8PCwoJ2HITUjYoedNfS0iIrlPDw8JKSEtpxmkQqlS5YsAAAQkNDsa0QUgQVLSwAGDVqlJeXV0VFxdKlS2lnaZKtW7empKR06dKF1BZCqNmp6C4h8fDhQ0dHR5lMlpSU5OjoSDvO25SXl1tbW5eUlBw7dmzMmDG04yCknlR3hQUAdnZ2c+bMYXe1VNmPP/5YUlLi7u6ObYWQ4qj0CgvkVi4xMTGNroqnOtiV4N27dx0cHGjHQUhtqfQKCwCEQuHy5csBIDg4WCQS0Y7zZgEBARKJZNasWdhWCCmUqq+wAEAqlfbp0yclJSUiIiI0NJR2nMZOnz7t7e0tFAozMzPbtGlDOw5C6owDhQUAV65c8fDwUMHzm8Rica9evTIzM6Oiovz8/GjHQUjNqfouIUEOZldXV4eEhNDO8hfR0dGZmZnkwwHaWRBSf9xYYQHA06dP7e3t6+vrExIS+vXrRzsOAEBRUZG1tXVlZeXZs2e9vLxox0FI/XFjhQUA5IRMhmHmzp0rk8loxwEACAsLq6ysJCe40s6CUIvAmRUWAFRXV9vY2OTn5+/du3fq1Kl0w9y7d8/FxUUgEKSkpNjY2NANg1ALwZkVFgAYGBj89NNPALBw4cKqqiq6Yfz9/aVS6fz58ym21erVqxcvXiw/kpycPHjw4PLyclqREFIoLhUWAEybNq1fv36FhYWRkZEUYxw6dCg+Pt7MzGzJkiUUYzx8+DAlJUV+pKKiIi4uTiwW04qEkEJxrLB4PF5UVBSPx1u7dm1WVhaVDHV1dWRdExER0apVKyoZEGqZOFZYAODq6jp58uT6+npapzhERkY+f/7cyclpxowZVAIg1GJx6aA7Ky8vz9bWtrq6+vz580OHDlXm1C9evLC1ta2pqYmNjXVzc1Pm1K+bPn16fHz86NGj2ZEXL17ExMQUFhaam5tTDIaQgnBvhQUAlpaWixYtAoAFCxY0NDQoc+qFCxfW1NT4+PhQbysW769ox0FIgTi5wgIAkUhkb2//9OnTLVu2zJ49WzmTJiQkDBgwQEdHJz09vXPnzsqZ9C2mT59eXFx85swZdiQ2Ntbd3R1XWEhdcXKFBQA6Ojrkg8KwsLCysjIlzCiTyfz8/BiGWbhwoSq0FUItkIreNacpxo0bN3jw4NjY2IULFwYFBSl6umPHjiUmJlpaWgYHByt6LoTQG3G4sABgw4YNzs7OMTExO3bsUMJ0AoFg+fLl+vr6SpgLIfQ6bhdWWlqaTCZjGEYJp5sXFBRUVVVlZmYqeqKmi4qKavS1yv79++fm5pqamtKKhJBCcfWgOwDU1tba2dnl5OTs2rXL19dX0dPdvXvXxcVFQ0PjwYMH1tbWip7uvcyfPz81NXXTpk09evSgnQUhBeLqQXcAWLVqVU5OTp8+faZNm6aE6fr06TN9+nSxWLxw4UIlTPdekpKSrly5UlFRQTsIQorF1cLKzc1dv349j8eLjo7m85X0LlatWmVkZHTy5Mlz584pZ0aEkDyuHsMKDAysra2dPHnywIED2cHBgwffv3+/eSfS0NAoLi4mfzY3Nw8JCQkJCQkICEhOTtbU1GzeuRBCb8fJwrp+/XpMTIyuri652gyrqqqq2XeLBAKB/GZAQMDOnTvT09O3bt06b9685p0LIfR23Css9gTOkJCQjh07yv8oLi6u2b+p0+jLLlpaWpGRkV988cXSpUsnTpyIt8lBSJm4V1jbt29PSkrq0KFDYGBgox8ZGhoqIcDo0aOHDRt27ty58PDwTZs2KWFGhBDBsYPuVVVVy5YtA4B169bp6enRirF+/XoNDY0tW7Y8ePCAVgaEWiCOFVZ4eHhhYeGAAQPGjRtHMYa9vf2sWbOkUqm/vz/FGAi1NFwqrKysrF9++YXP55OLjtINs2LFChMTk8uXL588eZJuEoRaDi4Vlp+fX319/cyZM/v27Us7CwiFQrJzGhAQUF9fTzsOQi0CZwrr4sWLZ86cMTIyCg8Pp53lP+bMmdOrV68nT55ER0fTzoJQi8CNwmpoaCBHi5YtW9a2bVvacf5DIBBERUUBwMqVKwsKCmjHQUj9caOwNm3alJaWZmVlNXfuXNpZ/sLDw8Pb2/vVq1d07/eFUAvBgcIqKytbuXIlAERFRWlra9OO09j69eu1tbV37959+/Zt2lkQUnMcKKzQ0NCysjJPT8+RI0fSzvIG3bp18/Pzk8lk/v7+3L1WD0KcoOqFlZaWtmPHDg0NDXK0SDUtWbKkXbt2CQkJhw4dop0FIXWm6oVFbuQ1b948Vb40naGhIdlpJTcBox0HIbWl0oUVExNz4cKF1q1bq/4hbV9fXxcXlxcvXqxZs4Z2FoTUluoWFnsz+oiICBMTE9px3oHP50dHR/N4vMjIyGfPntGOg5B6Ut3CWrNmTVZWVo8ePWbOnEk7S5P0799/4sSJdXV1ixcvpp0FIfWkooWVl5f3888/A8CGDRs0NDhzDZzIyEh9ff3Dhw/Hx8fTzoKQGlLRwgoJCamurh47duzQoUNpZ3kP7du3J7dZ9ff3l0qltOMgpG5UsbBu3ry5f/9+bW3t1atX087y3hYuXNipU6d79+7t2rWLdhaE1M3bCsvW1nbbtm3yI8uXLx88eLBCAzEMQ87ADAoKsrKyUuhciqCrq0t6NiwsrLKyknac5jF48ODly5fLj2zbts3W1pZWHtRiva2wysvLRSKR/Ehtba2i/xLu3bv31q1bbdu2VcHb/zXRxIkTBw0aVFRURE7OUgOVlZW1tbXyIyKRqLy8nFYe1GKp1i5hdXV1aGgoAERGRhoZGdGO889FRUUJBIKNGzeq1K3tEeI61SqsVatW5efnOzs7T548mXaWD9K7d29fX1+xWBwUFEQ7C0Lqg/eW7+uam5sbGxu3b9+eHcnOzhYKhdeuXTMwMFBEGn19/dra2hs3bri6upIRqVR68eLFYcOGKWK65hUXF+fi4sLeGuPly5fdunVjGKbRzhTnVFdXDxw4sLy8vFu3buzgixcvKioqXr58STEYaoHecYqTi4uLp6cnu3n06NH8/HwFR/ofmUw2aNCgGzduxMbGurm5KW3ef+DFixcjR45s3bp1cnJy69atacdpfj169Bg/fjy7efHixQsXLlDMg1oo5u+ZmZlFR0fLjyxatMjJyektT/lAYWFhAODs7CyVSskI+XDK0dGxoaFBcfN+uC+//BIAJkyYwI589dVXAODt7a2E2T/++GMAuHbtmoJe38nJadGiRfIj0dHRZmZmCpoOob+jWsewQkNDO3TokJSUtH//fjISHBzcuXPn+/fv79ixg262t0hISDh48KCOjg45Ox8A7t27t3v3bi0tLfwuNELNSLUKS09Pj71OS1VVFQCwLbBkyZKKigrK+d6EvXQf6VYy6O/vL5PJ/Pz8rK2tqaZDSK28rbCEQqGOjo78iJ6eXqtWrRQaaOrUqQMGDHj58iW7WpkwYYKbm1txcfGKFSsUOvU/s2fPntu3b1taWi5atIiMHDx4MD4+3szMjOzhqoFWrVo1us+2jo6OUCiklQe1XLT3Sd/gzp07fD5fS0srMzOTjNy7d08gEGhqaj569IhutkaqqqratWsHAPv37ycjtbW1nTp1AoDt27crLYaij2EhpCJUa5eQcHZ2njJlilgsZq/T4uTk9PXXX0skkoCAALrZGomIiCgoKOjfvz856A4AP//88/Pnz3v37j1jxgy62RBSQ7Qb880KCwvJme7nz58nI0VFRcbGxgBw5swZutlY2dnZOjo6PB7v1q1bZCQ3N1dfXx8A4uLilJkEV1iohVDFFRYAmJubk+8Skmu6A4CpqSm5UPL8+fPFYjHlfAAAEBgYKBKJpk+f/tFHH5GR4ODgmpoa8l1CutkQUk+0G/NviUQicrWGX3/9lYyIxWIbGxsAWL9+Pd1sDMNcunQJAAwMDPLy8sjI9evXeTyerq7us2fPlBwGV1iohVDRFRYAsNfDWrJkSWlpKQBoamquW7cOAH788Ue6XwqRSqX+/v4AEBYWZmFhAXInN5DrYVHMhpA6o92Y70CuOOrn58eODB8+HABmz55NMdXmzZsBoGvXrnV1dWRk+/btANC+ffvq6mrl58EVFmohVL2wUlNTNTQ0NDQ0Hjx4QEYePnyoqanJ5/Pv3LlDJVJZWVmbNm0A4MSJE2SEPbnh4MGDVCJhYaEWQnV3CQly15yGhoYFCxaQEVtb27lz51K8NfyyZctKSko8PDxGjx5NRlasWEFObvDx8VF+HoRaENqN+W6lpaXkvoSnT58mI+Xl5aampgBw9OhRJYdJT0/X1NQUCAT3798nI1lZWdra2nw+//bt20oOw8IVFmohVH2FBQDsnZ/9/f3r6+sBwNjYmFzFISAgQMlXm1qwYIFEIpk9e7aDgwM7Ul9fP2PGDBcXF2UmQaglot2YTSKRSHr27AkAa9euJSMNDQ2Ojo4AsHLlSqXFOHnyJAAIhcLi4mIycvHiRQAwNDTMz89XWozX4QoLtRDcKCyGYcjl4gwNDQsKCsjI5cuXAUBPT+/58+dKCFBfX08uvbBx40YyIpFIevXqBQCRkZFKCPAWWFioheDALiHh6ek5cuTIV69eLV26lIy4u7uPHTu2traW7DAqWlRUVGZmpp2d3ezZs8nIr7/++uDBg27dus2fP18JARBCnFlhMQzz+PFjcng7MTGRjDx58oR8m+/q1asKnfrly5fkujpnz54lI+xHASdPnlTo1E2BKyzUQnBmhQUAVlZW8+bNIxfGYxgGALp06RIQEMAwDLlBvOKEhIRUVlZ6e3t7eXmRkR9++KG0tHTIkCHe3t4KnRoh9D+0G/P9VFVVtW3bFgAOHz5MRl69euXt7Z2QkKC4Se/evUuuz5WRkUFG0tLSyOmsKSkpipu36XCFhVoILq2wAMDQ0JCc0BAUFEROaDAwMDh58iR7WzBFeP16x+QaEt999x056I4QUg6OFRYAfPXVV7179y4uLr558yYAJCQkREVFKW661693fOLEifPnzwuFwmXLliluXoTQ695xX0IVJBAIdu/ebWho2KVLFwAoLy/PyclR3HR37tzh8XgRERHkoLtYLCbXbl+xYgU56I4QUhrurbAAwMHBgbTV2bNn9+zZEx8fP3DgwGXLlpEb7QBAQ0OD/F0/P8S6detu3bpFbjJINh8/fmxvbz9r1qxmeX2EUNNxsrCIyMjIUaNG6enpzZkzZ+zYsTExMZMmTQKAmpqaysrKgoKCyspKkUj04RO5uLjw+XwAePnyJblE14YNGzQ0uLc4RYjruPq37unTp2FhYWFhYeQYPAB8/fXXNTU1ALBly5aMjIwnT54EBwcPGzZs7NixzTXp4sWLq6qqRo8e/emnnzbXayKEmo6rhXXq1Ckejyd/Ex0jIyNy34qgoCCJROLp6blt27ZmnPHu3bt79+7V0tKKjIxsxpdtFs7Oztra2uQmHQipMa4WVlZWloWFxd/9FRUIBPPmzSN/vnTp0ty5cz98xoKCAplMtmDBgu7du3/4qzWL8vJymUxmYmKyceNGMlJfX19cXGxhYUH2YRFSM1wtLLFYTG6o9UZ8Pp896P7q1auMjIxmmVQgEKjUref9/f2Li4vPnDnDjiQkJLi7uxcWFpqbm1MMhpCCcLWwzM3Nc3Nzm/JIT0/Phw8ffviMx48fDwsLW7p0qY+Pz1u6EiGkOFwtrEGDBq1YseLs2bPknhRvYWBgYGtr++EzLl68+OTJk7dv346MjAwPD//wF0QIvS+uHunw8PBwdXX9/vvvk5KSyMijR4/u3LmjuBn5fH5UVBSPx1uzZs2zZ88UNxFC6O9wtbD4fP6pU6dsbW379u0rFArNzMycnJzIRf4Up3///pMmTaqrqyMnu6uCS5cumcph74uBkFriMTRuPPOBZDIZ+ylYQUFBVlaWkZFR165dDQ0NFT11Xl6ejY1NTU1NbGysm5uboqd7u+nTp2dnZ7MfEQJAUlLSt99+iwfdkbri5DGsGTNmCASC1atXm5mZtWvXjtwTUDksLS0XLly4bNkyf3//O3fuCAQCpU39RkZGRn369GE32S8nIaSWuLdLePPmzX379h08eJCc1658wcHBnTt3Tk5O3rlzJ5UACLVYHCsshmHI5UaDgoLI95+VT1dXl3yjcMmSJRUVFVQyINQycayw9u7de/v2bUtLS7qHvX18fNzc3IqKilauXEkxhp2dHXt7RMLY2NjNzU1LS4tWJIQUiksH3aurq21sbPLz8/ft2zdlyhS6YZKTk/v27cvn8x88eGBjY0M3DEItBJdWWD/99FN+fr6rq+vkyZNpZwEnJ6evvvpKIpEEBgbSzoJQS8GZFdaTJ0969OhRX1+fkJDQr18/2nEAAIqKiqytrSsrK8+cOfPOE+4RQh+OMyusoKAgkUg0bdo0FWkrADAzMyP3cA0ICJBIJLTjIKT+uLHCunLlioeHh4GBQUZGhoWFBe04/yMWix0cHDIyMjZs2ODv7087DkJqjgMrLKlUSrogNDRUpdoKALS0tNauXQsA4eHhJSUltOMgpOY4UFhbt25NSUnp0qXLggULaGd5g1GjRnl5eVVUVCxdupR2FoTUnKrvEpaXl1tbW5eUlBw7dmzMmDG047zZw4cPHR0dZTJZUlKSo6Mj7TgIqS1VX2H9+OOPJSUl7u7uKttWAGBnZzdnzhypVKqaa0CE1IZKr7DYlcvdu3cbndKtatiVYExMTDPepwchJE+lV1jkdIFZs2apeFsBgFAoJDccCw4ObpabISKEXqe6K6zTp097e3sLhcLMzMw2bdrQjvNuUqm0T58+KSkpERERoaGhtOMgpIZUtLDEYnGvXr0yMzOjoqL8/Pxox2kqlT1fDCH1oKK7hIcOHcrMzCQHs2lneQ/kw4Hq6ur169fTzoKQGlLRK45OnTpVIBBYWFhoamrSzvJ+1qxZ4+rqyqFVIUIcQn+FVVVVNWPGjEb3Oo2KihKJRO7u7rRS/WNdu3Z1cHAICQmRH6ypqZkxY0Z6ejqtVAipB/qFVVdXt3v37oKCAvnBCxcuxMfH04r0gVJTUw8fPiw/Ul9fv3v37ry8PFqREFIP9AsLIYSaCAsLIcQZqnLQ/cSJEw8ePGA3nz9/bmpqSjHPB6qpqdm0aRO7WVtbSzEMQmpDVQorKSnp+fPn7GZpaSnFMB9OJBJdunSJ3cTL+yHULFSlsFauXDl48GB2c8SIEfSyNAMTE5N//etf7GZZWZmJiQnFPAipBzyGhRDiDCwshBBnYGEhhDiD/pefJRJJQkKCo6Njq1at2MHU1FQtLS1ra2uKwf6xvLy8Fy9eyN/dp6Gh4caNGw4ODsbGxhSDIcR19AsLIYSaCHcJEUKcgYWFEOIMLCyEEGdgYSGEOAMLCyHEGVhYCCHOwMJCCHEGFhZCiDOwsBBCnIGFhRDiDCwshBBnYGEhhDgDCwshxBlYWAghzsDCQghxBhYWQogzsLAQQpyBhYUQ4gwsLIQQZ2BhIYQ4AwsLIcQZWFgIIc7AwkIIcQYWFkKIM7CwEEKc0WyFtXfv3tTU1OZ6NbWXn5//9OlT2ikQ4ph3FxbDMBUVFe982JIlS+Li4pojkqLU19fX1taSP6elpXl7e7Obyjd79uyjR4++77MKCgq+//77jz/+2MvLa+/evex4bW3t6tWrPT093d3dFy9e/Mb/X/v37x8+fHj//v1nz56dm5sr/6M//vjDx8enX79+3t7eR44cIYM5OTl+fn4DBw4cMWLEr7/+KpVK2cfHxsZ++eWX27Zte9/8CH2gdxdWYWFhhw4dlBBF0X799df58+eTP+vp6dnZ2fH5dPaIq6urL1y4MHr06Pd6Vmlpqaur6+XLl318fHr16vX111+vX78eAKRS6aeffrpv375x48ZNmjTpyJEjXl5e8v0CANHR0dOmTbO1tfX19b1169aAAQPKysrIj3766afPP/9cKBTOnTvXzc1NIpEAQG5ubt++fbOysr799tsBAwYEBweHhIQAQHJysrOz85gxY86dO3fjxo3m+XUg1HTMu9y+fdvAwOD18bq6OvnNDh06bN68+Z2v9voTCbFYXF9f38QHNyKVSmtqahoNVldXNxoJDAz8+uuv/+5FZDKZSCR6449evXr1zgzyYWpra9nN2tpaqVTa6DGHDh1ycHBo+msSa9as0dDQyMvLI5uhoaFCobC+vv7Vq1dLliwpLi4m4xcvXgSApKQk9okikcjY2NjPz49sFhcX6+nprVy5kmGYrKwsDQ2N9evXN5orKysrPDxcJpORzbCwsFatWjEMU1BQcPHiRbFYPGrUqOnTp7/vW0DoA72jsL755htDQ0MejycUCoVCYVpamkwmW7FihYWFBQCYmpoGBgZKJBJGrrCsra3/7//+jzz91atXQqHw0qVLDMPU1NT4+voaGxvzeDwbGxsy6OvrGxoa6uPjo6mpqaGhMWHCBPJqUqk0LCzM3NwcACwtLXft2vXGeE+fPvX09NTT0wOAjz76KD09XSwWT5o0ydDQEAAMDQ3DwsLII01MTLS1tbW1tYVCoaur6/Xr1w0MDCorKxmGyc/PHzVqlIGBgUAgsLe3//PPPxmGuXr1qrW19a5du9q1awcAnTt3vn379lt+UUuWLJk1a9acOXPIr2vkyJEPHz4cPHgwAOjo6CxdulT+wT4+PsuWLWMYJjk5WSindevWbynoWbNm2draspvXr18HgPT09Nd/JwBw7tw5duTmzZsAIJ//iy++8PT0ZBgmMjJSX1//nf8q7Ny5k8/nyxc6Fhai4h2FVV1d/csvv+jr65eVlZWVlTU0NBw+fFhbW/vUqVP19fWxsbHGxsZRUVGMXGGZm5tv2rSJPL2qqgoA/v3vfzMM8+2333bu3DktLa2+vn7WrFkdO3YUi8Xjx4/X09Pbt2+fWCy+d++elpbW4cOHGYaJjo42MDCIjY2VSCQbNmzQ1tbOz89vlE0mkw0cOHDgwIE5OTkVFRWhoaGxsbEMwxw/fvzFixcMw5w/f57P55PBsrKyIUOGTJkypaysrLKykhxuq6ioYBhm5MiRffv2ffr0aXV1dVhYmJ6eafMdIQAAIABJREFUXm5u7pUrVwDAx8cnLy+vtrZ2xIgRgwYNessvKjAwUCAQbN68WSQSpaen6+nptW/f/ty5c1Kp9MCBAzwej20WkUhkZGR0//59hmEaGhrILzY/P9/KymrOnDkkT4+/CgkJYRgmMjJST0+voKCAvM7p06cB4Pz5842SHDlyhM/nsw9jGCYmJgYASkpK2JGAgADSfdOmTevZs2dUVJSLi4ulpeXEiRPZFZy87777rkePHvIjWFiIinfvEu7atUt+l3Do0KFTpkxhNxcuXGhvb880obCMjY2XLFmSnZ2dnZ194cIFAEhMTBw/fvz48ePZV7O3tydLjwEDBvj4+JAHZ2RkaGtr7969u1Gw9PR0ALh58+YbY9fX15eVlbVt23bjxo1kxMvLi90lZAsrPz9f/q99Q0ODpaXl6tWrSWEVFRWR8c2bN5uamr7ltxQYGOjq6spufvTRR/Pnzyd/FovFAHD8+HGyeerUqS5dujR6+vz58+3s7MiObXp6+t2/evbsGcMwZWVl3bt3b9++/YwZMzw8PDp16gQAp06dkn+dmpoae3v7r776Sn5w165dACC/o/rDDz9YWFgwDDNmzBgAmDp16qlTp06dOmVvb9+7d292T5BIS0sj/6jID2JhISo03veY19OnTwcOHMhu2trabtq06Z3PKi8vr6io2LFjx4EDB8hI165dyYdZ8ke+tbS0GhoayCyPHj1KTEwk45aWlq9/ovfs2TMAsLGxaTS+efPmqKiovLw8XV3dysrKurq6t78dAOjevTvZFAgEVlZWT5486devHwDweDw2GDka/Rbsg8nj2U1NTU0ej8c+/cSJE+PHj5d/4vnz57dt23bjxg2yb2tnZ/fG1xcKhXfu3Pn999/z8vI8PT3btm07ZMiQtm3bsg8Qi8UTJ07k8XiRkZHyTyR7tWVlZZaWlmSkpKSE7NS3adPGxcWF/cBRS0vLy8srNTW1V69eZCQ3N9fb2/uLL76YPHny298+Qkrw3oXVpk2b8vJydrOsrKxNmzbvfJaRkZGWlta6desmTZokP/53H423adPms88+W7ly5Vte08TEhAQwNjZmB//444+goKBTp04NHTqUx+N17dr1nW8HAMrLyzt37vxe7+ifkUqlp0+fJntzRHFxsa+v74oVK3r37k1GxowZ8/z5c/lnjRo1Kjw8HACMjIy+++47Mrhy5UpDQ0O2WQoLC318fEpKSi5evEh+MyzyS0hMTGQLKykpqVu3bgDQoUOHEydOSKVSgUAAANra2gAgEonIw27dujV+/PiPP/549+7d8nWMEC3v/lzfyMhIJBKxCxx3d/fjx4+TfT2RSPT7778PGTJE/vFmZmbs3zf2zCyBQODm5rZnzx724/a3nwPl4eFx5MiR6urqtzy4Z8+e5ubm27dvZ0ekUumDBw8sLS0//fRTHo+Xm5srf0aSoaFhaWlpoxfp2rVr586dyU4TANy+fTs1NbXRO5JXV1dXWVn5luRvFxsbq62tTZZvxMyZM7t37x4QEMCOLFu27Je/mjZtGvsGyR/u378fHR09c+ZMHR0dALh+/bqzs7ORkdGNGzfIegoAGhoaioqKGhoaunfv3rdv3zVr1pDF5r///e/ExMQvv/wSAEaOHFlSUrJnzx4AkMlkmzdvbtOmDSnBvXv3enh4fPnllwcOHNDQeO9/2BBSiHfuNJaUlJibm/fu3XvIkCGPHz+uqKjo2bNnx44dJ02a1L179y5duuTm5jJyx7DIMfJJkyaRA9VGRkbkGFZaWpqZmVnPnj2nTJnyySef2NraymSy8ePH+/j4sHM5OTmRz/VKSkrs7Ow6deo0efLkTz/91MTEpKys7PVsMTEx2traAwcOnDx5so2Nzf79+5OTk7W1tT/77LOpU6fa29t369bt559/Jg8+cuSIhobGiBEjJk2aJH/Q/cyZM7q6ugMHDhw3bpy+vj45zkWOYbHnCmzbts3Y2JhhmLCwMHL0p5HAwMD+/fuzmwMHDmRPI2AYhsfjkQ8T5s6dO3fuXHb8xIkTAODk5OT5X5mZmX/3P6KystLCwsLd3b1v375aWlpffPEFOeaVnJysqanJ5/P79Onj/F9bt25NSkoCgISEBPIYMzMzCwuLjz/+WFNTc+bMmeyBqtDQUD6f7+zs3L59e319ffIh6S+//AIARkZGznLIqRJeXl7Ozs6tWrUyMTFxdnb+6aef/i4wQs2OxzDMO0utuLj43LlzhoaGQ4cO1dPTk0gk8fHx2dnZnTp1+uSTT8iRlzNnztjY2JAdjWvXriUnJ3fq1Gn48OGXLl1ydHQkh1oqKyuvXbuWm5vbsWNHDw8PHR2dhIQEHo/n6upKJrpw4UK7du169uwJAGKxmMzSpk0bDw8PoVD4xmyFhYW3b9+uqKjo0aOHs7MzAGRmZp45c6Z169YjRox4/vy5gYEBe5zr3r17ycnJtra23bt3j42NHT16NFk7FBYWXr9+vaqqysnJieyaFRcXx8bGent7k72kJ0+epKSkjB49OjU1de7cua+f03///v3S0lIPDw+yeeXKFaFQ6OTkRDaPHj3q6uravn37Tp067dq1i13BPXnyhNQKy9PT8+/eKQCkpaXdunWLYZg+ffqwu5BFRUWv57G3t7e0tLx48aKHh0fr1q0BoKKi4t///ndFRUXv3r3ll3gAkJKSkpCQoKen9+mnn5JTSdLS0shnGvIGDx5samr6xx9/yB8W7NatW58+ff4uMELNq0mFheTNmzdv8+bN/+CJEokkJSXF0dER97AQ+mewsBBCnIGXl0EIcQYWFkKIM7CwEEKcgYWFEOIMLCyEEGdgYSGEOAMLCyHEGVhYCCHOwMJCCHEGFhZCiDOwsBBCnIGFhRDiDCwshBBnYGEhhDgDCwshxBlYWAghzsDCQghxBhYWQogzsLAQQpyBhYUQ4gwsLIQQZ2BhIYQ4AwsLIcQZWFgIIc7AwkIIcQYWFkKIM7CwEEKcgYWFEOIMLCzU4rx8+fL69euNBuPj40tKSqjk+XApKSlZWVnyI0VFRdeuXaOVR3GwsFCL8+effw4bNkx+hGEYNze3K1eu0Ir0gfz9/deuXSs/cu7cuSFDhtDKozhYWAghzsDCQghxhgbtAAjR8erVK9oRmpNEIpF/RyKRiGIYxcHCQi1RTU2NkZER7RTNaefOnTt37pQf0dLSohVGcXCXELVE+vr6ZX9FO9GHmjFjhvzb+e2332gnUghcYaEWSigUsn9mGIZikmahpaUl/4709PQohlEcXGG9w61bt3JycuRHcnJybt26RSsPQi0ZFtY7TJ48ed++ffIj+/btmzx5Mq08CLVkuEuIWhxra+upU6fKj/B4PF9f3y5dutCK9IG8vLzatm0rP2JlZTV9+nRaeRQHCwu1OAMHDhw4cGCjwY0bN65bt87KysrY2JhKqn/s2LFjPXv2HDFihPxg//79+/fvTyuS4mBhvVt9fX1lZaX8JsUwSEG+/vrro0ePVlZWbtiwgXaW91BZWTlnzpyioqLLly+7u7vTjqNwPDX4fEShrKyssrOzGw1269at0XdNEdelpaU5OTkBwL1793r27Ek7TlMFBgauX79+wIABV69e5fF4tOMoHB50f7cffvihUs4PP/xAOxFqfj169Jg5c2ZDQ8OCBQtoZ2mqrKysX375hc/nR0VFtYS2AiysptDW1jaSo62tTTsRUoiIiIjWrVtfvHjxzz//pJ2lSfz9/evr67/++uu+ffvSzqIkWFgI/Ufr1q2XLFkC/y0C2nHegRSroaHh8uXLaWdRHiwshP7n+++/79GjR1ZW1ubNm2lneZuGhgZ/f38AWLZsWaMTGtQbFtY7TJgwoXfv3vIjvXv3njBhAq08SKE0NDSioqIAIDw8vLCwkHacv7Vp06a0tDQrK6t58+bRzqJU+ClhU8XHxwPAoEGDaAdBCjdq1Kg///zzm2++2bZtG+0sb1BWVta9e/eysrI//vhj5MiRtOMoFRZWU5FPYfDX1RJkZWX17NlTIpHcunVLBY9nf/fdd7/99punp+eFCxdoZ1E23CVEqDErK6u5c+fKZDJ/f39V+ycqLS1t+/btGhoa3DrBtblgYSH0BuRg9vXr148ePUo7y18sWLCgoaFh3rz/Z++8A6I42j/+XKF3ECkKCkiRIgqCInbFWIgd8yYRYxLFaCIWjJVIsCRERTGxRKNRLPG1G4wmCiYaekekd2kC0uvBlf39MW/2tzkQEO5u72A+f3GzZb673H5v5plnZ76QoexWEYK7hL0FdwkHG2fPnl23bp2RkVFWVpaUTC91+/bt5cuXa2tr5+Tk6Ojo0C2HBnALC4PpmjVr1jg6OpaUlAQGBtKtBQCgvb19586dAHDw4MHB6VaAW1i9B7ewBiGRkZFTpkxRVFTMysoyNjamV8zBgwd9fX1tbGxSUlLY7EE6bQFuYWEwb8TV1XX58uVtbW27d++mV0lFRcWhQ4cA4NixY4PWrQC3sHoPbmENTkpKSqysrNra2p49ezZlyhS6ZKxatery5cvLli27desWXRqkAdzCwmC6w8jIyMfHhyCIzZs3CwQCWjQkJiZevXpVQUEhICCAFgHSAzYsDKYHdu3aZWxsnJSUdOnSJcnXThAESgrz8fEZNWqU5AVIFbhL2Ftwl3Awc+XKFU9PTz09vZycHAmvwHrp0qWPPvqIlqpFQktLS3t7u7a2NlkiEAiqq6u1tbX7EIzDLSwMpmc+/PDDyZMnV1ZWfvvtt5Kst7m5edeuXQBw6NAhWXQrAAgICJg2bRq1pKioSE9PLyUlpQ9nw4aFwfQMg8E4fvw4k8k8evRobm6uxOr99ttvy8vLHR0dV65cKbFKpRlsWBhMr3BwcFi1alVHR8f27dslU2NhYeHRo0cZDEZQUBCTiR9VALxqDgbTewICAu7cuXPv3r3z58+7urqKuzofHx8Oh+Pp6dl5UbJBCzYsDKa36Onpbdiw4ejRo2vWrJFAddra2goKChKOmomDrKysYcOGkR/5fH6fT4UNC4N5CwoLCzs6OnR0dIYMGSLWigiCKC0tbW9vz8/Ppz7tsoixsfGVK1fIj+Xl5cuXL+/bqbBhYTC9JSoq6saNG0pKSomJiSNGjBB3dfv27fPz89u0aVNCQgKLxRJ3deJDWVmZugx1QUFBn0+FI3kYTK8g5/Pbvn27BNwKAL788suRI0empKT8/PPPEqhOJsCGhcH0igsXLsTHxw8fPvzLL7+UTI1KSkrfffcdAPj6+tbX10umUikHdwkxmJ5pampCK34fOnRIRUUFFVZUVIwePVrkdc2fP//q1avo7xUrVpw6derZs2cHDhw4cuSIyOuSAMbGxmPHjqWWKCoquri4qKqq9uV0BKZ34Ns1mEGtKhcXF4FAQBaWlZX1+3HugoULF1KrTk5OZrFYcnJyWVlZEr/u/lJcXBwaGirCE+J3CXsLfpdw0JKfn29jY8PlcmNiYpycnMhygiDE0VOTl5cnG3EILy+vn376acGCBb/99pvIqxMrH3zwwbVr144cOeLj4yOaM4rQ/Lqnpqbm+PHjNTU11MLr16+Hh4dLTEN/kPDt6g/h4eHXr1+nlnR58zG95N133wWATz/9lC4BlZWVmpqaAPDw4UO6NPSByMhIBoOhpKRUVFQkqnNK7glMS0sDgLS0NGqhk5MTmmxI+pEhw/Lx8XFycqKWdHnzMb0hLCwMANTU1MrLy2mUgQJYVlZWHR0dNMroPXw+H7VG/fz8RHhaPEqIwbwRHo+3ZcsWAPD19TUwMKBRycaNGy0tLbOysk6ePEmjjN4jpkFVbFgYzBs5derUixcvzMzMNm3aRK8SeXl51Mjy9/d//fo1vWJ6pMtBVZEg6bSGpKSk2tpa8mNzc7OEBfQNgtIlRNF3Kae5uTk8PJz8WFRURJ8WWaW2tnbfvn0AcPToUQUFBbrlgLu7+7x5837//fe9e/eePn2abjndsX///levXrm4uPznP/8R8alF2L3sHhRGMTQ0HEFBXl5e+mNY8fHxkyZNUlRUVFJScnR0jIiIoFtRD/j4+MjLy1Pvs6GhIeAY1luyYcMGAJg1axbdQv6fzMxMOTk5FouVkpJCt5Y3kpeXp6CgwGQy4+LiRH5yHHTvjrKyMk9PT9SkGjJkCHrflcFgeHp6lpWV0a3ujeCge/9JT09ns9ksFis1NZVuLf8CdU5nzJhBt5A3ItZBVamIYREE8ddff9Gt4l90dHQcP37cysrq8uXLcnJy3t7e+fn5L1++9PPzU1BQuHz5srm5+ddff83hcOhW+i/++usvAmeKiYItW7bweLwNGzbY2dnRreVf+Pn5DRky5K+//rp9+zbdWrrgyZMn9+/fV1NT279/v1gqEIcLdkk3LayLFy8CwKxZs6Tk1ywkJMTU1BTdH3d39/z8fOrW4uJiT09PtHX48OHBwcHU7Ge6yMrKWrBgAQAEBwfjFlY/uXPnDgBoaWlVV1fTraULTp06BQAmJiZtbW10a/kXXC7X1tYWAA4dOiSmKqTCsC5cuKClpQUAqC1TW1srMVVCZGRkvPPOO8iMRo8e/fvvv79pz7/++sve3h7tOX36dBpjCrW1td7e3nJycugZu3DhAjas/tDe3m5ubg4AJ06coFtL1/B4PPTdO3DgAN1a/sXx48cBwMzMjMPhiKkKacl0r6mp8fb2Rsv+aGtrBwUFcblciWkjBaBZh5AAHo9H3aGgoEDoED6fHxwcPHToUABgMpmenp6VlZUSlPxGATjTvT+gGT6tra0l/A18K/78808AUFZWLi4uplvL/6ipqdHR0QGAX3/9VXy1SFfqdmZm5ty5c1GzxcrKSjIvInR0dJw5cwYF1NlstpeX1+vXr6k7JCUlTZ06VVtbu8sHvq6ubseOHWjYW1NTMyAgQHw/L1T+/PPPMWPGoHs1Y8YMaR42kiEqKirQalqPHj2iW0sPLF26FABWrVpFt5D/IZlBVekyLIRQCCkvL098dYWGhqJeN7rXL168oG6trKxcu3YtWrBk6NChUVFRbzpPdna2u7s7Oo+FhcX9+/fFp5kaRDMyMgoODhZfXYON1atXA8DixYvpFtIzBQUFioqKDAZDGt7GRYOqbDZb3GFoaTQsgiDa29uDgoLQbx0KbDU0NIi2ipycHA8PD/TYm5ub37hxg7q1o6MjKChIQ0ODFFBfX9/jOUNDQ21sbNA5Z8+eLfKYUXNzs5+fn6KiIgCoqKj4+flJW9hVpklMTGQymfLy8jk5OXRr6RW7d+8GAEdHRz6fT6+SOXPmAIC3t7e4K5JSw0KUl5d7eXmhBo6BgcGZM2dE8o9pampC2QkAoKqq6ufnJ9SJ64/vdHa6urq6/msWCAQ3btwwNjYGAAaD4eHh8fLly/6fFkMiEAjQalo7d+6kW0tvaWpqQinB9Lay0aCqtra2BAZVpdqwEAkJCeQacI6Ojv1pAKMotZ6eHhmlrqiooO6QnZ2NkgP62bOrrq7uPoT/VsTFxU2aNAmpGj9+fGRkZJ9PhXkTaFkXPT09kbflxUpwcDC9sslB1ZMnT0qgOhkwLOKf9gWa+R+1L/oww05MTMyECRPQYz9hwoSYmBjqVhQ7l5eXF2HsHEXrUY1jx459+vTp256hrKyMbGMaGhqKqo2JEaK1tRW1Xi9cuEC3lrdDIBCgb/WePXtoEZCdnW1ubm5rayuZQVXZMCxES0uLn5+fkpISGtD18/NrbW3tzYElJSXkGzadUz3FnZ0QEhJiYmJCjiF0To/oEhTFU1NTAwB5eXlvb+/GxkYRqsJQQVMLODg4yOLvQXR0NIPBUFBQyM3NpUVAe3s7+lbzeLz29nax1iVLhoXo3n2EEPK4HTt2NDU1UXeQTP5na2trQEBA791HyOOEUu0HKsnJyVpaWkJtZ1dX12+++Uas9RYXFysrKzMYjL///lusFYkPNGq8bNkyCdRVV1e3ZcuWkSNHKikpGRkZ+fj4NDc3o01hYWG+vr5irV32DAvx9OlTcimOadOmJScnC+1A7UWix17oSeicHCDuN2yor1K/qX8nlGr/xx9/iFWSVBEfHw8AQu5sa2sr7mcADRZ/+OGHYq1FrLx69QoNqT9+/FisFbW1tY0bN27EiBE///xzXFzctWvXzMzMDh8+TBBETEzMiRMnPvnkk5iYGJEMNHWJrBoW0W0EPSEhAY34oHa+UJweNbtQcgDqWkoyOSAuLo5cBdfJyYmMoPeYaj/gocWwIiIi0Lzjsj7qeuDAAQBAi2WIr5YffviBwWA8f/6cLCG7LIGBgZ999pmbm1tgYGAv4x59QIYNC0FNNFdVVfXx8fn000+pmRDUx15KkgOQDCMjIyRj2bJlfn5+aJUBOTm5zqn2gwTJGxafzx8/fjwA7Nu3T0xVSAwOhzNq1CgAOH36tPhqmTdv3tSpU9+0FXcJe0tmZua8efNQhAgAFBQUduzYIRQnQvPwkckBtM/D19jYSFotkj1v3rzMzEx6VdEIMqxJkybNpKCiouLr6/vf//4XxIOioqK+vj519KampkZoBFk6EQgEQi/n37x5EwBQxFbksFgsgiBGjx7dzURX1dXV4s65HSArP6MXD8+ePbtu3Tptbe24uDgzMzNya3l5ub+//7lz5wQCgaGhoZ+f35o1a1ArjEbU1NQCAgLWrl3r7OxcW1t75swZLy8veiVJA4sXL9bV1SU/5uTkSLL2nJycSZMmoWT3Pi5NLCl++eWXlStXenh43LhxQ5L1djNFuI6ODnr/WYyI1Q4lTGZmJgBYWlqSJZ2TA6QwLdDS0hIABnPbCkFjl9Df3x+VkPnuu3btElOlIqGlpQVFNi5evIhK2traRo4cCQA//vij+Op1c3ObPXu2+M7fIwPcsFJSUlAYe9myZeILBL4VAoGgurqaOucXNiwELUH3zot9JiQkSP8bhb6+vvDvxDE0w6e4g+6HDx9ms9linY+gewa4YREE8e233/755590SeoMWjRIU1OTLMGGhaArrWHFihUA8MEHH5Alq1atAoClS5eKtd4+QyaOkcPfpaWlqAMr7rSGhoYGU1NTe3v7sLCw+vr64uLi06dPZ2RkiLVSKgPfsKQNbFhvQnoSR6V8Vqzly5cDwMqVK8mSlStXAsDy5cslUHtJScmyZcvQYBGLxZLwy63YsCQNNiwpZO/evQAwbtw4sod18OBBkMp5R8PDwxkMhrKyMpmRg17NUVRUlGTQg8PhVFZWkjdHfJmiQkjFqjkYDL3s3LlzxIgRycnJaPIDANi2bZu5uXlGRsZPP/1ErzYqAoFg8+bNBEHs2rULBd0Jgti0aRNBENu2bSNf55IACgoKQ4cOZbPZlZWVCxYsmDx5Mo/Hk0TFkvFFyYBbWJg+c/XqVQDQ09MjZ2pE62hJZpqnXvLjjz8CgJGRUUtLCypBK04NGzZM6CVZiUFOL/PDDz9IoDpsWJIGG5Z0IhAIpkyZAgA7duwgC93c3AAANWFop6GhQV9fHwDI2XHJCfwuXbpEo7C7d+8CgJaWlgTe0MCGJWmwYUkt5BTJ2dnZqCQtLQ1NVS402T8tbNmyBQBcXV3Jt/R37doFABMnTqR9ZUz0xv4XX3wh7oqwYUkabFjSzMcffwwAixYtIkvWr18P4l8Mpkdyc3Pl5eWZTGZCQgIqyc/PR4tQSMOLRGgRChaLNUgXoegb2LAw/aSiogLNx09O7EMutyfWlZB6BL0qu27dOrJkyZIlAPDRRx/RJ+pffP755wAwc+ZMsdaCDUvSYMOScgICAgDA2tq6o6MDlQQFBYGYFzTunsePHwOAurr6q1evUAlaSFVVVbWsrIwWSZ2pra1Fzn7v3j3x1YINS9Jgw5JyOg97cblctHglmqlOwnR0dKBvSGBgICrh8XhoDd2DBw9KXk83fP/99wBgamo6EJaqlwDYsDAiofOwV2hoKACoqamVl5dLWExgYCAAjBo1inSBkydPAoCJiYm0rUrJ4/Hs7OwAICAgQExVYMOSNNiwZILOw15oZe81a9ZIUkZVVRWa2fHBgweopLa2dsiQIQBw+/ZtSSrpJU+ePBGrs2PDkjTYsGSC9PR0OTk56rBXXl6egoICk8mMj4+XmAw0RZqbmxtZ4u3tDQAzZsyQmIa3ZeHChQDwySefiOPk2LAkDTYsWaHzsJePjw8ATJo0STJ5T2hyJDabTa49npGRgWyUOqu6tEE6e2xsrMhPjg1L0mDDkhU6D3s1NjaiXPP//ve/EhAwffp0ANiyZQtZMnfuXABYv369BGrvD9u3bwcAFxcXkTs7NixJgw1Lhug87HX27FkAGD58OLkYn5hAEx9ra2vX1NSgkpCQEIm9AdNPGhsbDQwMAODq1auiPTM2LEmDDUuG6DzsRc6q/PXXX4uv3s7zHbe3t1tYWABAUFCQ+OoVIefPn0dvZYvW2bFhSRpsWLJF52GvzrMqi5zO8x0fPnwYAEaPHk2ms0o5fD7fyckJAPz8/ER4WmxYkgYblszRedir86zKIoSc7zg0NBSVVFZWoheGhNb1knKioqKQsxcWForqnNiwJA02LJmj87BX51mVRUjn+Y7XrFkDAO7u7iKvS9y8//77AHDkyBFRnRDPOIrB9ICZmdmmTZvI2T4BwMjIaNu2bSgnS7R1tbW1paenKyoqHjp0CJUkJydfuHBBXl7+yJEjoq1LAnz33XehoaEoHUQkYMPCYHrG19fXwMAgOjr62rVrqGT79u3Jyclbt24VbUVKSkrx8fHh4eHkfMebN2/m8/ne3t6oJS5bGBkZFRYWenp6UgvLy8snTZqUlZXVhxNiw8JgekZNTe3AgQMAsH379paWFgBQUVFBA4giBy1Fg/6+fv3633//PXToULQQoSxSXFyckpJCLeFwONHR0c3NzX04GzYsDKZXrF692snJqaysDA3YSYC2tradO3cCwMGDB1HQHYMNC4PpFUwm8/jx4wwG49ChQ0VFRRK9WattAAAgAElEQVSoEVU0duxYNA8qBgDYdAvAYGQGFxeXFStWXL9+ffz48WjKBPFBEERpaSkAHD9+nMViibUucVNeXo5ezEQ0Njb2+VQD37Da29vRKrUYTP8xMTGRl5evqampqakRd13a2tp8Pt/MzEzcFYkbFoulpqZGfhQIBH0+1QA3LIFAMHXqVEtLy0OHDqHXVmlHTk5u7ty51P8fRlaorKw8depUR0fHuXPnXF1dxV3dtm3bHjx4sHPnzsuXL4u7LrGip6eHJp5GFBQUoAUW+4KoErqkgc6Jo3FxcfLy8gCgrq5+6NCh9vZ2GuW9CZw4Kit89NFHALBkyRLJVEemp4aHh0umRnHg6+tra2tLLcnPzweAvk0rNgCD7gRBkH87OTmlp6d7eHg0NjZu377dxsbm5s2bNGrrEqpgjNSSmJh4+fJleXn57777TjI1GhkZobllNm/e3J9u1EBi4BhWWVnZnj17tLS0SktLv/76aw6Hg8pHjRp148aNJ0+e2NnZ5eXlrVixYtasWS9evKBXLYLL5R4/frysrExbW/uLL76QzNgTpg+QruHj44OWqJAMu3fvNjY2Rl4psUqlGhG0+eimtbXV399fWVkZAOTk5NB1mZmZ3b17l7obl8s9c+aMrq4uALDZbC8vr6qqKro0EwRx9+5dMp6KZCsrK/v7+7e2ttKoCtMlly5dAgA9Pb2GhobBU7VIaG5uJqf0QvD5/MrKSnIiirdC5g0rJCSEfInB3d29oKDgzz//RIsgAcCMGTOEJpOtra319vZms9kAoKWlFRQU1Lcb1x8yMzPRupgAYGVl9fDhw5KSEk9PTwaDAQDDhg0LDg6mffFxDElLS4uxsTEAXLx4UfK1CwSCyZMnA8CuXbskX7u0IcOGlZSUNHXqVPTYjxs37tmzZ+QmPp8fHByMGlNMJtPT07OyspJ6bGfLkIzm7u0yNjZ24sSJSJWzs3N0dLRkVGG6B70W4+DgwOfzaRGQkJDAZDLl5eVzcnJoESA9yKRhVVdXe3t7o2w6HR2doKAgHo/Xebfa2todO3agUUItLa2AgAChUcKQkBCyU+bu7p6Xlyc+zb3skCKr1dPTI62WXOwXQwtSMlS3atUqAFi6dCmNGqQBGTOsjo6OoKAg9F6VnJyct7d3fX1994dkZWXNnz8fuZKlpSW5vhv1hOrq6uQJxREpQCF/pGHmzJnkylFvorm52c/PD+W7qqio+Pn50bVIOmb58uUAsHLlSnplVFRUoG/po0eP6FVCL7JkWKGhodbW1uixnz17Nrn2UR+OTU9Pp24tLy/38vJCTTYDA4MzZ8502WTrA7m5uR4eHqheNF7Z+2NzcnL6fCxGJISHhzMYDGVl5ZcvX9KthTh48CAAWFtbSz7qKj3IhmFlZ2cvWLAAPboWFha//fZbH07SY+ssISEBRTdRwKKfXYDOraS+LSweFhZma2uLVM2aNavH1hlGVPD5fEdHRwDYv38/3VoIgiDa29tRRsWpU6fo1kIb0m5YdXV1ZBxKU1Ozcxzqbek+/iUQCG7cuDFixAgysNWHhQYEAkFwcDB6E4jBYPQ/DoXiX+htWxT/kv6FngYA6PURIyOjlpYWurX8j9u3bwOAtrZ2dXU13VroQXoNC4Wfhw4d+qaRvv6QmJg4ZcoUsjElNDN3c3Ozr6+vkpISahzt27ev9y4pNNIXFRUlKs01NTXkCKO2tjYtCRmDh4aGBvSTI209cTc3NwDYtGkT3ULoQUoNi5pLNX369JSUFHHUEhISglZ/Q40pobU9yNyocePG9WY8u7S0VAK5VJmZmWj5X5SQIVvLqMgQW7ZsAQBXV1dpS4hLS0tjs9lsNvvFixd0a6EBqTOs4uJicgZoIyOj4OBgsVbX2toaEBCAVlVSUlLasWNHU1MTdYenT5/28i3NSZMmAYCysrKfn5+4OxEhISGmpqak1ebn54u1usFGbm6uvLw8k8lMSEigW0sXrF+/HgU06RZCA1JkWChKraioSD72fYtS9wGRNI6ePn363nvvSWw4qb29nUzIkJeXF1NCxuAE5cF4eXnRLaRrampqdHR0AOD+/ft0a5E0kjOsgoICJyengoICauHq1auPHz+OQt3o7QcGg+Hh4UHLKPKbEs15PN65c+fmzJljZ2c3ZcqUo0ePkqvvPn/+fPfu3ZKXSoISMphMJpmQwefzjx8/vnr1aupuXd58TJc8fvwYANTV1aU5ZffYsWMAYGZmNtgS9CRnWGlpaQAglDzl5OTk4+Pj7e2NbGLChAkxMTESk9QZPp9/7tw5MtH8119/JQjiP//5j4qKyrZt265evRoQEKCvr79z506CIGpra588ebJmzZrq6mp6Z9qKiYmZMGECuofe3t4+Pj5OTk7UHbq8+ZjOcLlcGxsbAAgMDKRbS3dwuVyU7HL48GG6tUgUqTCs9PR0Y2Nj1DqQmJ5uQJ3TUaNGNTc3h4SEAMDt27fJraWlpWhCBR8fn+XLl9vZ2a1fvz4uLo4+vQTxT0KGqalpamoqNqw+ExgYiNJ0pb/lEhoaCgBqamrl5eV0a5EcUmFYBEFI4Qg9ajR9/PHH5ubmbwppJSQkfPHFF5LV1R3oNmLD6htVVVWampoAIPT+ltTi7u4OAGvWrKFbiOSQ9Jzu/v7+Wlpa5MeioiI04wJKL5IqULZqbm6utbU1isd3xtjYmHx7Rhogb2NRUdG6devI8rq6OpoUyRJfffVVfX397NmzyZdPpZygoKDQ0NCff/553bp15NqrAxtJ24S2tjZ1fSRyvj2phcfjoQzSLtHV1UUTMEgbcnJyVGFvMlwMyfPnz8+dO8dms4OCgujW0lvMzMy++OKLwMDATZs2RUREDIb/sqQNa+PGjSioiUAjMtKMvr5+cXEx3SremmHDhqGl1RHp6elnzpyhUY/0c/DgQT6fv3nzZur3U/r56quvLl++HBUV9fTp0xkzZtAtR+xIXUdM2pg6der27dsLCgrIRE3MgOT8+fPW1tabN2+mW8jboaGhcerUKSUlpcHgVjCQFqEQEx9//LGent5HH32Ul5eHSsLDw8m/MbJIREQEShan4u3t7e7ujoLussWyZcvS0tLQ1O8k0dHRXl5edEkSH9iwekBTUzMsLIzL5Zqbmw8ZMkRVVXXRokWpqal068L0nZycHKFFaAiCuHjxYmFhIV2S+skff/wRFRVFLcnLywsODqZLj/iQXJfQysqqpqYGTUdFEhYWJv1xdysrq5iYmJcvX5aXl2tra6PFyukW1R379+/ncrnUki5vPgYjc0jOsFgslra2tlAhehVOJhgxYgQ5T5aUo6SkJDSy2eXNx2BkDhx0xwxGuFzuDz/8QLcKUZKWlka9ovj4eBrFiA9sWJjBCJ/Pf/LkCd0qRElZWRn1ikpKSmgUIz6wYWEGI4qKivfu3SM/EgSBZryQXd555x00pzPi8uXLa9asoVGPmJDtfxIGgxlUYMPCYDAyAzYsDAYjMzAIgqBbAwYjUSorK/Py8lxdXamFf//9t7W1NfXNfBkiNTVVWVl51KhRZElVVVVOTg65zuaAARsWBoORGXCXEIPByAzYsDAYjMyADQuDwcgM2LAwGIzMgA0Lg8HIDNiwMBiMzIANC4PByAzYsDAYjMyADQuDwcgM2LAwGIzMgA0Lg8HIDNiwMBiMzIANC4PByAzYsDAYjMyADQuDwcgM2LAwGIzMgA0Lg8HIDNiwMBiMzIANC4PByAzYsDAYjMyADQuDwcgM2LAwGIzMgA0Lg8HIDNiwMBiMzMAWx0kJgkhLSysoKGCxWGPHjh0+fDh1K5/PT0xMLC0t1dXVHT9+vJKSEgAkJCTo6uqOGDGCumdBQUFDQ8O4cePQUSkpKdStqqqqlpaW4tDfDf7+/kpKStu3b3/bA6urq1++fNm53NbWNi8vj8PhCJVraWmZmpoKFb5+/TouLo4giPHjx+vr61M3EQSB7qq+vr6Dg4O8vDx1a0FBQWZmpqKiop2d3dChQ4VO29jYGBcX19zcPHLkyLFjx77tpUmS0tLS1NTUjo4OU1PTMWPGoMLExMTOe+rr67NYrJcvXzo6OrLZ//897+joSE5ONjExGTp0aEFBQV1dndCBioqKNjY24ruEznz33XccDsfPz69vhxMEER8fX1JSYmxs7OjoyGQKt0JSU1M1NTWNjY3fdHhiYmJRUdGwYcOcnZ1ZLBa5qbi4+PXr19SdLS0tVVVVhc6Qnp7O4XB0dHRGjhxJFtbW1iYlJXG5XGtra6Hnul8QoiY6Opr6/2YwGB9++GFrayva+ujRI3TjFBQUAGDEiBEcDocgCGVl5c8//1zoVKtWrdLT00N/d37aFy1aJHLx3dPR0aGlpXX16tU+HHvu3Lku739+fn6Xtrt8+XKhMwQGBsrJybHZbDk5ORaLtW/fPnJTVlaWvb09ACD3HzFiRFRUFKn5vffeYzAY+vr6mpqaioqKhw4dIg8UCAT+/v6Kiorkf2TdunV9uDoJUFFR4e7uTr1FTk5Oubm5BEF0fkQBYNeuXYcPHwaAqqoq6nkKCwsB4NSpUwRBLFu2rPOBVlZWkrwuPp9vYGBw5syZvh2em5uL/vUIe3v7kpIS8swhISGurq4AMGXKlC4PLysrc3BwAAD0HbC0tMzOzia3vv/++0I3JzMzU+gM4eHhTCaTxWJ99NFHqEQgEHz99deKioosFktOTo7JZH722Wc8Hq9vFyiEiA0rMzNTRUXFzMzs0aNHXC6Xw+Fcu3ZNX1//zz//JAgiKSlJXl5+1qxZL1684PF4TU1NSUlJ6MAeDSsmJgYAHj16VPsPzc3NohXfI7///ruCgkJ9fX0fjuVwOLX/ZvHixWZmZjwer6GhgVqelJTEZDLRE0USGhoKAB4eHk1NTa2trZ9//jkA3L17lyAI1Nx49913y8vLCYLIycmxsLAwNjZGB6KH9tatWwRB8Hi8TZs2MRiM2NhYtPXgwYMA4OvrW1ZWRhDEy5cvi4qK+nGHxEVbW5udnZ2SktLZs2ebmpoEAkFUVJSdnd3BgwcJghC6sXfv3gWA0NDQHg2rubmZemB5ebmOjs6GDRskeWnogX/16lUfjuXz+XZ2drq6uuHh4VwuNywsbMiQIdOmTUNb33vvPX19fS8vL0tLyzcZ1syZM5WVlR89ekQQRFJSkoGBgZ2dHWku06dPnz9/PvUW8fl86uEcDsfa2nr+/PkjR44kDev8+fNMJjMoKIjD4bS3t+/Zs4e84f1HxIbl4eGhoKCQk5NDLWxra0N/LFiwQE1Nrbq6uvOBPRrWnTt3AKCbx+nVq1ebN29GD21vKCsrq6urIwgiLy8vPDy8srISldfX10dGRqKfbiG8vLzmz5+P/i4sLMynUFBQ0Mt6ESUlJXJycidOnOi8adOmTdra2kJ27O7urqqq2tLSgj52dHTo6uqSX824uLiGhgZy57179wIAegZWrFihoaFBbkpNTQUAVG9DQ4OysvK8efPeSjktnD59GgB+/vlnaiH5vRJiwYIFdnZ2AoGgR8MS4qeffmIymdR/fV1d3ebNmwsLC3up89WrVzU1NaiW8PBw0oaampoiIyOzs7MFAoHQIVu3bp06dSr6++XLl/n/pvP+VNCveFBQEFnyzTffAEB6ejpBENXV1chfZs6c2aVhoRjLV199RZacOnUKAB4/fow+WlhYdG/fe/bsUVZWLiwspBpWQ0PDw4cPyX14PJ6mpuZ7773XzXl6jygNi8fjqaiokI+0EBwOR05O7uOPP+5ya4+GdfLkSQaDgfqPXZKWlgYAqampvVQ7derUjz76aO7cuaiTxWazz549e+LECSUlJdSxmj9/PpfLJffn8/n6+vo//fQT+qipqUltKisqKvayXsTWrVu1tLSampqEyhsaGtTV1anfIYSuru7SpUupJatXr1ZSUury5HPnztXV1e3o6CAIYtu2bQwGA7XFCIIIDg4GgL///pv45zfg3r17b6WcFubPn6+mpoauqHuysrKYTOalS5eIf1qXvTQsgUBgbW29ZMkSaiEKRERGRvZS54IFC957773FixezWCx5eXkWi3Xs2LGff/5ZVVUVfammT58u5LOmpqbHjh1DfwtFe5lMZjdfeIIgUFvyt99+I0siIyMB4Pr169Td3mRYZ8+eBYDExESypLy8HAD279+PPqqqqpJ/dyY1NVVOTi4wMJAgCKphdWbEiBGzZ8/u5kJ6jyhHCUtLS1taWiwsLLrcmpuby+Vyhw0b9uWXX9ra2urp6bm7u2dkZJA7pKenn/03ubm55NZXr16xWKx58+Zpa2vr6+t//PHHlZWV/RR86dKladOmNTY2NjU1zZkz54svvrh161ZaWlpra+u1a9cePnx48+ZNcueIiIjXr18vXLgQfSwsLESN5GfPnsnJyaF276effmrZCdTeodLY2Hj+/Pn169d3jl+ePn26vb19w4YN1MKOjo7q6mqhyKWxsXFbW1ttbS1ZEh4efvLkSXd39/j4+MuXL8vJyQHA1q1bTU1Nly5dunDhwhMnTvj4+Ozfv3/KlCkAgG6+QCDw8PAYMWKEsbHx5s2bm5ub+3dTxUJ2draJiQm6ou45cuSIvr7+e++9R5ZcvnyZ+qW6du1alwc+fPgwIyPDx8enn1KvX78+ZsyYhoaG5ubmJUuWbN++/dy5cwkJCa2trffv33/69OmlS5fInZOSkgoKChYtWoQ+pqWloS9VbGysoqLil19+qaCgsHHjxs5fqm3btgGAubk5AISHh5MnbGxsBIDS0tLeSC0rKwMAajBeX19fTk4OlTc3Nzc3N9+5c8fExERDQ8PZ2fnWrVvkngKBYN26daNHj964cWP3tZSWlpaUlKBIWf8R5ShhS0sLAAwZMqTLrQ0NDQAQEBCwaNGijRs3dnR0HDlyZNq0aS9evEADXomJiQUFBdRDampqyEd6wYIFzc3NkydP1tLSSkxMPHjwYFxcXFJSUktLS0hICACgH4dff/0VjRnNmTPH0NCwe8Gurq47d+5Efy9btuzhw4cnTpxAY3MeHh6enp5UP7179+6UKVPIITbUwmpvb9+4caOzs/OuXbsAYO3ateSXj4Q6dII4e/Zsa2vr+vXrhcq5XO7JkydXrlwpNAKIuq5qamrUQnV1dXSLtLW1UcmNGzeePHlSUFAwfvx4AwMDcrfx48e3tLSUlJRs3LhRU1OTvAT0H/nkk09Wr1797rvvZmRkHDt2LDc398GDB93fN8nT0tLSm5Gmqqqqq1ev7t27lzpIeuzYMWpUns/nd3lsYGCgk5MTClE3NTXdvn0bANDvwcOHD3NycgBgxowZPcqwt7f39/dHf3t4eNy6devo0aNoXMXd3V1dXV3oS+Xo6GhiYoI+amhoAACPx/P29ra2tt63bx8ArFq1ys3NTagW1BazsbFZsmTJkSNHKioqLCwsUlJS/vjjDwBobW3t6VYBAKARUvRFQjAYDHV1dXTVbDb7q6++0tHRsbW1bWxs/OGHHzw8PG7evLl8+XIACAoKio2NjYyM7PFX5Ouvv1ZRUdm8eXNvJPWMSNppiJKSEgD44osvutyKoifUsa3o6GgAQINWPXYJhbh48SIA3L59Ozs7e+LEiRMnTkRjJWPGjEEfY2Jiulc7derUGTNmkB9/+eUX+PcgiIqKyrZt28iPJiYmx48fFzrJpk2bNDQ0eh/jIAiio6PD2Ni4y/ZzcHAwg8FIS0sTKudyuSwWa+PGjdTC3bt3A0BjY6PQztXV1TNmzNDR0UE2t2LFCj09vdLSUoIgXrx4sWTJEgD4/vvvCYI4cOAAADx//pw8Ftk3dZxISrCwsLC2tu5xt7179yorK5NB0t53CVNSUhgMxo0bN9DH0tJS9C1C7QJbW1v08cmTJ90LWLBgwfjx48mP6Kc0Pj6eLNHX16eOw9rY2Bw4cEDoJCgw1Hk8rks4HM6BAweQvM2bN9+/fx8ATp48Sd3nTV3C/fv3wz+xTgSPx+v8TSMrGjFihLOzM0EQhYWFqqqq1N3e1CVEwcc+j4F2RpQtrGHDhmlpaVF/QIS2AgCPxyNLUIJVcXFxH+pydnYGgMLCwqVLlyLjS09Pt7W1vXLlip2dXR9O2D0JCQlFRUWLFy+mFj5+/Pj777+/fPky2Yb69ddfO1+Ora3tjBkzyI83btwoLi7u8gfn2LFjc+fO7ZwExGaz9fT0hJqfhYWF6urqQs0uANDR0dmyZcvChQufPn06c+bMmzdvbt68Gd18W1vb27dv29raXrx4cePGjW/6j7x8+fJN/Xq6sLGxefToUVtbG4oEdUlbW9upU6c+/fRTHR2dtz3/oUOHRowYgdwcAIYNG4a+VMXFxSNGjDhz5sykSZP6LP5N5ObmpqenL126lFoYEREREBBw8uRJKysrVPLw4cP8/HyhYy0tLefMmQMACgoKe/bsQREJADh//jwA9PIRQF+AwsJCskVfUlLC5/NRuRAKCgr29vbotuzevbu5uTksLGz8+PFoa3l5+W+//ebs7BwXF0ceEhgY+OWXX37zzTdeXl690dMbRGlYDAZj6dKlFy9eTExMdHR0FNqqra1tbGz8+PFjssGMBinI9nD31NXVaWpqMhgM9DE9PR266m2Jibt37zo5OVF7+9XV1atXr16+fPmHH35IFsbExHROYhQIBFTDOnr0qJubW+f8zLCwsJSUlCNHjnQpYOrUqffu3aurq9PS0gKAtra2Bw8eTJs2DW3Ny8szMzMjb057ezv6g81ms1gs8iMAMBgMFoslEAgAALVJHz16RMYX3uo/IkmWL19+9+7d06dPb9269U37BAcH19XVbdq06W1PXlZWdvPmzcOHD1PzSyXArVu3LCwsRo8eTZY0NDR4enrOmTOH+oQnJCREREQIHdvS0oIMiwpBEKdOnTI0NHRxcemNgKlTpzIYjJs3b5L7o6At+b2qra0lAw58Pj8zMxM9cbNmzRJKQ83LyzMwMJg1axb62NzcvHbt2jt37pw6deqzzz7rjZjeIqqmGqK0tHTIkCF6enqXLl2qqKh4/fp1WFjY2rVr0WAHaqLv2LEjLy8vMjJy9OjRWlpaqEXafZewra3N0tJyyZIl0dHRlZWVv/76q6Ghobm5OXUMJSMjQ05OTqg/9dNPP125cqVLqW/VJbSysvr222+phy9cuNDAwIAMvdfW1vYmNe7JkycA8Mcff3TeNHfuXDQYT5ZkZ2fv27cPjbLHx8ez2ezp06fn5uYWFBQsX76cyWSGh4cTBNHQ0KCjo7NkyZKcnJzW1tbo6GhLS0sdHR2U6DBz5kwlJaW7d+/yeDwOh/Pdd98BQEBAAKpiypQpGhoa165dKy4uvnjxopKS0ty5c3u8CsnD4/GmTp3KZrP9/f0LCgrq6+sTExN37NhBjnAJBILRo0cvW7aMelQvu4Tbtm1TV1en5oWQFBcXy8nJRUdHUwsvXboklGBB8lZdQicnpz179lAPf//993V0dLKzs8kvFXWcukuSk5NjYmLQKxAffPABg8H45Zdf0Kbm5uaEhISEhAQnJ6dx48YlJCSg23X+/PmzZ8+ifVasWMFms8+fP19dXf3rr79qaGiQD8WpU6f09PTOnTtXUlKSlZW1atUqACBPLgS1S5idnW1jYyMvLx8UFJTwD2TGZT8RfaZ7VlbWzJkzyV97ZNjFxcUEQfD5fB8fHzJKZ2FhQX4Veoxh3bt3j+ynMBgMNze33qQ4jh49+k0pc703LNSay8rKol5jZ+vPyMjoUc/8+fNtbW07J9e8ePGCwWCgwXiSe/fuAcCDBw/Qx+vXr5MDGlpaWsHBweSeoaGh1Pd4LC0tyRDeq1evli1bxmAwUH68goLCl19+Sab/lZeXkz+nDAZj4cKFXWbJSQONjY1r1qxB6fjk9yc0NBRtRfeKzO9H9MawGhsbNTQ0tm/f3nslEyZMGDduXJebem9YJSUlDAYjISGB3NTl0B56E6sbqO2X4cOHU1/DiIqKEjobi8UiCMLJycne3h7t09DQsGjRIvJpnT17NpmQWF1dvXLlSnL4QldXl7S5zlANC0XlhVBWVu7+QnoJgyCIzmfvP1VVVfn5+UpKSsbGxmSrEtHY2JiTk6OmpmZhYUHeqbKyMhUVFaHkptraWg6HQx3sKygoqKmpMTIyEhpHexNxcXGBgYHXr1/vvKm8vJzBYJCjac3NzVVVVUZGRqSfoiCRjo7OgQMHrl+//uLFC/JYLpeLRhioUI99E4WFhWpqap0HUhsbG6urq42Njam9Eg6H8/r1a11dXfTaBKoXWaqVlRX10QUAgiAyMzMrKyv19fWpvQxEdXU1ykK0tbXtHPYqKSmpqKgYPnw4eTeklpaWlqysrI6OjpEjR+rr65Pfn5qamsbGRqHObFNTU319/bBhw4RGCcvLy7W1tVVUVACAw+GUl5fr6+srKyv3UkNmZqaPj8/Dhw87b6qoqKDGgFpbWysqKoYNG0b+s16+fKmiojJkyJDjx48fO3assLCQvAQej9c5AEo99k1UVlYWFxdraGiYm5tTGwro0oR2NjU1RQ6up6dHlV1SUmJgYCCUCAYATU1Nubm58vLyVlZW3XSZi4uLlZSUdHV1kR6UMECFwWCIJNQgLsOSEoqLi3/88UeU/ttn0N1H328Mpq6ubu/evT/88EN/TtLa2ioQCDon4mG6Z4AbFgaDGUjg+bAwGIzMgA0Lg8HIDNiwMBiMzIANC4PByAzYsDAYjMyADQuDwcgM2LAwGIzMgA0Lg8HIDNiwMBiMzIANC4PByAzYsDAYjMyADQuDwcgM2LAwGIzMgA0Lg8HIDNiwMBiMzIANC4PByAzYsDAYjMyADQuDwcgM2LAwGIzMgA0Lg8HIDNiwMBiMzIANC4PByAzYsDAYjMyADQuDwcgM2LAwGIzMgA0Lg8HIDNiwMBiMzIANC4PByAzYsDAYjMyADQuDwcgM2LAwGIzMgA0LgxGGy+U2NjYKFYaiGsUAACAASURBVDY2NnK5XFr09IEBcAldgg0LgxHm6tWr+vr6QoUaGhp37tyhRU8fuHPnjoaGhlChvr7+1atXadEjKrBhYTAYmQEbFgaDkRmwYWEwGJmBTbcADEYa4XA4ZmZmdKvoL0KXwOFw6FIiKrBhYTBdIC8vf/78eWrJjBkz6BLTZ4QuYe7cuXQpERXYsDCYLmAymdOnT6dbRX8RugQmU+ZDQDJ/ARgMZvCADQuDwcgM2LAwGGF0dHTGjRsnVOjg4KClpUWLnj6gpaXl4OAgVDhu3DgdHR1a9IgKBkEQdGvAYGSAkpKSurq6MWPG0C2kV6SmpmppaRkZGdEtRMTgFhYG0zOhoaGjRo3y8vKiW0hv8fLyGjVqVGhoKN1CRAw2LAymZ1xdXTU1NWNjY588eUK3lp4JCwuLjY1VU1NzcXGhW4uIwYaFwfSMsrLypk2bAODgwYN0a+kZJNLHx0dVVZVuLSIGx7AwmF7R2Ng4cuTIurq68PDwyZMn0y3njcTExLi4uGhoaBQVFWlqatItR8TgFhYG0yvU1dU///xzAPj222/p1tId+/btAwBvb++B51aAW1gYTO+pqakZOXJkc3NzQkKCo6Mj3XK6ICUlxcHBQVlZubCwUFdXl245oge3sDCY3qKjo7Nu3ToACAgIoFtL1xw4cIAgiPXr1w9ItwLcwsJg3oqKigpTU1MOh5Oammpra0u3nH+RmZlpa2srJydXUFBgaGhItxyxgFtYGMxboK+vv3r1aoIgDh06RLcWYb755huBQPDpp58OVLcC3MLCYN6W4uJic3NzPp+flZU1atQouuX8j4KCAktLSwaDkZOTM3LkSLrliAvcwuoL2dnZeXl51JK6urro6Gjs/oMBY2PjDz74gM/nHzlyhG4t/893333H4/FWrlw5gN0KcAurbyxatEhVVZW6AMm9e/eWLFnS3t4uLy9PozCMZMjLy7OysmIymXl5ecbGxnTLgdLS0lGjRvF4vPT0dEtLS7rliBHcwsJg3ppRo0YtW7aMy+UeO3aMbi0AAEeOHGlvb1++fPnAdivAhoXB9I3du3czGIyzZ89WVVXRq6S6uvr8+fMMBmP79u30KpEA2LD6iEAgaKfA4/HoVoSRKPb29u7u7q2trUFBQfQqCQwMbG5ufvfddztPgDXwwDGsvrBo0aKQkJDO5TiGNaiIi4ubMGGCurp6UVERXXP7NTQ0jBw5sr6+PjIyctKkSbRokCS4hdVHli1bVknh4sWLdCvCSBpnZ+fZs2c3NjaePHmSLg3ff/99fX29m5vbYHArwIbVZxQUFIZS0NDQoFsRhgb27NkDAEFBQU1NTZKvvaWl5YcffiBlDAawYWEwfWf69OmTJ0+uqak5e/as5Gs/ffr069evJ06cOG3aNMnXTgvYsDCYfrFr1y4AOHLkSFtbmyTrbW9vR0kVe/fulWS99IINqy+g31VqiZGR0YcffshiseiShKGL+fPnjx8/vqKi4sKFC5Ks99y5c+Xl5WPHjh0A6zn3HjxK2F+4XG5ycjKLxZLOCZIwEuD27dvLly83MjLKy8uTzDAxl8u1sLAoKiq6ffv20qVLJVCjlIBbWP3l+vXrEyZM2L9/P91CMLSxdOlSW1vbkpKSX375RTI1XrlypaioaPTo0YsXL5ZMjVICNqz+ghYmiY6OplsIhjbILPODBw/y+XxxV8fn87/77jsA2L17N5M5uB5h3CUUAfr6+pWVlQUFBSYmJnRrwdADj8czMzMrLi62tbXV1tYWa121tbVpaWnGxsb5+flsNlusdUkbg+tqxYSzs/P9+/ejo6OxYQ1a2traCIIYOnRoWlqaBKobOnQoQRBtbW1qamoSqE56wIYlAlxcXO7fvx8TE/PBBx/QrQVDAwRBfPLJJyUlJebm5hcuXFBRURFrdRwOZ8uWLZmZmStXrrx79+7g6hUSmH7z559/AoCTkxPdQjD04O/vDwBaWlq5ubmSqbGwsHDIkCEAsG/fPsnUKCXgGJYIaGlp0dTUZDAY9fX1ysrKdMvBSJTHjx/Pnz+fIIj79+/Pnz9fYvWGhobOmzePIIhff/3V3d1dYvXSCzYs0TBu3LiUlBQpXxMYI3Jyc3OdnZ3r6+u/+eYblPKO+PbbbxsaGkRenYaGBrWWb775Zs+ePWpqarGxsaNHjxZ5ddIIvQ28AcNnn30GAIcPH6ZbCEZyNDU1oZW+Fi9eLBAIqJvEtG6NoaEhtRaBQLBixQoAsLKyamhokOzV0wMOuouGiRMn/vjjjzgba/BAEMSnn36alpZmZWUVHBzMYDCoW3fv3i2O+RuExgQZDMb58+czMjLS0tI++uijO3fuCMkYgNDtmAOE7OxsADAwMKBbCEZCHDhwAADU1NQyMjLoVZKTk6OpqQkABw8epFeJBJAuwwoPD7969Sq1pLa29ujRo69fv6ZLUi8RCARo1Obly5d0a8GIncePH7NYLCaTef/+fbq1EARBPHr0COl58OAB3VrEi3RlcNy/fz8wMJBaUllZuXXr1vLycrok9RIGg+Hs7Az4HZ1BQFFR0fvvv8/n8/39/aVkeG7OnDl+fn4CgWDlypVCK2YOMKTLsGSaiRMnAkBMTAzdQjBipKWlZeHChTU1NYsWLZKqeT59fX2XL19eV1e3cOHCxsZGuuWIC2xYIgO9BY0NawBDEMSnn3764sULS0vLzoF2emEwGBcuXLCxscnMzFy9ejUxQNOVpM6wmpubn1KIi4ujW1FvmTBhAovFSk5O5nA44qulsLDQzc2tpKSEWvj555+fO3dOfJViEIcOHbp+/bqamtqdO3ekcBZ/VVVVJOzu3buHDx+mW45YkLq0hqKiok8++YT8yOVyaRTzVqipqVlbW7948SI5ORm1tsRBU1NTWFhYS0sLtTAmJkZVVVVMNWIQYWFhe/bsQQ0Za2truuV0jYWFxeXLlxcvXrxr1y47O7t58+bRrUjESF0Ly9bWtoBCaGgo3YreAhzGEi3JyclC6yqXlJRkZGRIXsnLly9RoN3Pz2/ZsmWSF9B73n333a+++kogEHz44Yf5+fmSF5CRkSHUA6iqqkpOThbJyaXOsN5ER0eH9HfLkWHhgUJRMXv27Nu3b1NLjh8/vnr1agnLaGtrW7p0aXV1NfICCdfeB5Cr1tXVLV26VKgxLgFWr159/Phxasnt27dnz54tkpNLXZfwTezcuTM+Pv7s2bPS/M6UxOLuR44coc4SV1ZWJu4aBzOffPJJUlIS6m3JxFwuqN+amZmZmpq6atWqW7duSdX4QH+QgbsPAC0tLdevX4+IiHBwcDh48KDUBrasrKy0tLRKSkpKS0tFeNrW1tbw8PDDhw/fuHEDlXA4nDYKAoFAhNVhqBw5cuS///0vGc+mW05vIUcG7ty5c/ToUbrliA6aE1f/TVRU1PXr16kldXV1P/zwQ3V1dV1dnZeXF/qhsLOzi46Opktk97zzzjsAcPPmzX6ep6ysLCQkZMeOHa6urgoKCuifNW/evOfPnwNAZmYmdWcHB4ft27f3s0YpRFtb+8SJE1wKW7duleS8Y2FhYWw2m8Fg9P8fSgv37t1jMBgsFuv333+XWKVOTk5bt26l/tdOnDihra0tkpNLl2H1yLNnz6ysrACAyWR6eXk1NjbSrUgYPz8/APDx8XnbA5ubm//6669vvvlm4cKFQ4cOpf6osNnssWPHbtiw4ebNm4PNsDr/xCLD4nA44q69qKhIV1cXAL766itx1yU+fH19AUBbWzs/P1/cdaF/ipOTU+f/2iA1LIIgWltb/fz80OpvhoaGd+7coVvRv/jjjz8AwNXVtTc7l5WV3bhxw9vb29XVVWg9Ow0NjdmzZ/v5+YWEhNTV1ZGHDDbDCggIKKfw2WefOTk5dXR0oCQSLy+v4ODgtLQ0kVfd1taGFpqcM2cOj8cT+fklBp/PR+8P2dvbt7S0iPz81K6AhoZGe3u7k5PTZ599Rv2vBQQEiMqwZCboTqKkpPT1118vXbp07dq1cXFxS5cu9fDwOHHihFCrhC4mTJjAZDITExM7Ojo6r6nZ3NyckpKSmJgYGRn59OnT169fk5vYbLa1tfXkyZNdXV0dHR2tra0HTKC0P6irqxsYGJAf0XTpOTk5HA4nIyMjIyPj7NmzADBs2LBJ/zBu3Dg5Obl+1rt+/frExERzc/Pr16/L9ILeTCbzl19+mTBhwvPnz9euXXv16tV+nhCtHBz1D9QBHzk5udzcXABQUVGh/tfU1dX7Wen/IxLbowU+n3/mzBmUMKmpqXnmzBmhSdToAmUVxsbGoo/5+fnBwcGoGSX0IOnr67u7u/v5+YWGhvby16+jo6OgoAAleZCUlZXV1taK/kroRltb+9SpU9QSHx8f1CXs6OhISEgICgry8PBA82RQHxtHR0dvb+8bN270bZ4PFKVWVVV98eKFaK6EbjIzM5FrHDt2rA+HNzQ0hIaG+vn5zZ49W2gScHV1ddQVIL/DTk5OQiGRU6dODd4uoRCFhYUozg0AU6dOzcrKolsRsXLlSgCYN2/evHnztLS0qP9deXn5CRMmbNq06dq1a0VFRXQrlXa6MSwhyF8FR0dHoZapqampp6dnUFBQQkICn8/vsdLw8HA5OTkGgyE0/iPr3L17l8FgsNnsP//8szf7U2+pUDJH97cUG1bP3LhxA8VHlZSU/Pz82tvbJSxA6IGhLvRkYGBANqNaW1slLEymWbt2bWhoKLXkypUrvr6+3R9FbQ4oKSl13xwQ4uXLlyi2sHv3blFeiXSA5oPX0dEpKCjovJXaaEVPU5eN1qqqqu5r8fX1vXLlCrUkNDR07dq1IrmEAWJYBEHU1taSeQ9jxowhe2Rioqam5sGDB3v37p0zZ45Qeg7KQlBXV79x40ZJSYlYZWC6h8vlpqWlnTlzxtPTc+TIkdR/EwoaorB9YWEhQRBtbW1ohMvNzU2mA+1vgs/no3V9xo4di/z61atXnbNnqPGKgICA8PBwCYzJ9pKBtmrOs2fPvLy8cnJy2Gz2hg0bDh48KKq3gvl8flZWFoqXR0REZGVlUdM1DQwMHB0dUcjcwcHB0NCwoaGhrKxMTIsRYPpGUVFRZGRkdHR0REREWloan88nN40cOZLNZufl5ZmZmcXHxwv15QcMdXV1Tk5O+fn5o0aN4vF4RUVF5CYWi2Vrazt58mQXFxdXV1chf5cSBpphAUBbW5u/v/+RI0f4fL6Jicnp06fJINfb0tDQEB8fHxERgXyqrq6O3CQnJzdmzBg0ojd16lSh/66bm1tYWNidO3eWLFnSn2vBiA80Yot+fqKiomprazU0NJhM5rNnz+zs7OhWJ0YyMzNdXFwIgmhsbFRVVbW3t0c/tJMnT5YBm6a5hSc2kpOTx48fj67Rw8Ojx443gsfjpaWlBQcHe3l5dU4sQNGo3jSS0SuyAzI3akDC4/GeP3+O8lTJ1Zvb2trCw8MjIiLo1dZ/IiIiwsPD29ra0MecnBwA0NTUfP78ucz1fAesYREEweVyg4KCUPxbS0vrzJkzXe5WUVEREhLi5+fn7u6OVh8hUVFRcXV1RbHGioqK3lf94MEDAJg6daqILgUjCRYvXgwAwcHB6OOtW7cAwM3NjV5V/QfNlHD79m308eLFiwCwZMkSelX1jYFsWIj8/Hw3NzdkQNOnT8/JyaEGYrtsRnl4eAQFBYWHh/d5tLGmpobBYCgpKQklTGGkmUOHDgHAunXr0MeKigoAUFNTk7lmCBUej4cysMrLy1GJl5cXyOyivwPfsAiCEAgEP//8M2rwq6ioCA11q6mpzZo1y9fX97fffquurhZVpZaWlgCQkJAgqhNixE1kZCQA2NrakiUmJiYAkJKSQqOqfoJmzjM1NSVLbGxsACAqKopGVX1G9l7N6QMMBuPjjz+eP3/+Z599FhMTU1FRYWpqiuLlkydPHjt2rDjevZg4cWJ2dnZMTAx6JQ0j/Tg6OioqKqanp9fV1aHw86RJkwoLC6Oiouzt7elW10eioqIAYNKkSehjfX19ZmamgoKCg4MDrbr6iGzMhyUS9PT0Lly4UFVVpaiomJmZeenSpU2bNjk6OorpTTE8+6jMgR5jgiBiY2NRCXrO0TMvowgZVnR0tEAgGD9+vFDWlawwiAwLADQ1NS0sLDgcTmpqqrjrwqt+ySKurq5AcSj0EXUVZRQkHl0I/HNp5EeZY3AZFkhwnQhbW1t1dfX8/PzKykpx14URFaglQjqUnZ2dhoZGYWGhjE5CXV5eXlRUpK6ujuJW8M+lkQ0umWOQGhbZU0OzBRkaGnZ0dIi2IhaLhaJXZP8CI/2gJzk2NpbH4wEAk8l0dnYGmW0po/bUxIkTUdyDx+PFx8fDP0+BLDLoDEuop8ZisQoLC1+9eiWqZYi6qQsj/QwdOnTUqFEtLS1k0ECmw1hCAaznz583Nzebm5vr6enRqqvvDDrDQj21goIClGUD4rQVvEyhLCLkUAPJsIQ+yiKDzrCYTCZ6ZYfsqYnPVlxcXBgMRlxcHOpfYGQCIYdC/anExMTW1lZadb01bW1tycnJLBYL9WoBG5aMItSkQh/FkX8wZMgQMzOzlpaWtLQ0kZ8cIyaERgbV1dVtbW25XG5iYiKtut6a+Pj4jo4ONG6ASoRGDGWRwWhYQk0qa2trTU3Nly9flpeXi7sujPRjY2OjpaVVXFxMLi4po71CofZUWVlZSUmJpqamNC9F3COD0bBQTy0+Ph711BgMBpq2TRzDeTh9VOZgMBgTJkwA2Q9jCRlWREQEALi4uMjE4tVvQoal9xkdHR00EvTixQtUIr5eIR4olEWEHIrMJiVkZ/I4giDQt04oZVSmA1gwOA0LOvXUxNdxGzNmjIqKSm5ubnV1tchPjhETQmEsExMTAwOD6upqNJOUTJCdnf369Wt9fX1yaskBEMCCQW5YZJMKdRITEhJEnj7KZrMdHR2pr6dhpJ8JEyaw2eyUlJTm5mZUInO9QiR18uTJ6GNLS8vz58/ZbHaXyzLLEIPUsIR6augdw7a2NnG8Y4h7hTKHiorKmDFjeDxeQkICKpFRwyI7gCi3xt7eXlRLHNDFIDWsMWPGqKqq5uXlkWsv4/RRDBVZTx8deCmjiEFqWOhFP2pPTXy2Qr6eRl2jBSPlCDmUo6OjsrJyZmZmbW0trbp6RV1dXXZ2tpKS0rhx41AJNiyZR2Lpo0OHDjUxMWlqasrIyBD5yTFighwZRIu5oZVECYKQiQyVyMhIgUDg5OQkLy8PXY0Yyi6D17CEmlTkO4bimA0GZ2PJHMbGxsOHD6+rq8vKykIlMtQrFGpPZWRk1NbWDhs2zMjIiFZdImDwGhZqUsXFxaGeWud3DEUIDmPJIrIbxuoygEWOGMo0g9ewhg4dampq2tTUlJ6ejkrE1yucPn36Bx98QC7eg5EJOhsWg8GIjY3lcrm06uoBLpcbHx/PYDDISa8GTAALBrNhgTjTR/l8PjViNWbMmKtXr06ZMuXp06exsbHt7e3kJoIg/vrrr/7XiBE5QrOPDhkyxNzcvK2t7fnz57Tq6oGUlJTW1lYLCwtdXV1UIuuzjFLBhvWvuDv1HcO3paGhISws7Ouvv3733Xd1dXVtbW1ramrQpsrKyrlz5xoZGS1ZsmTatGmGhoY3b95EmwQCwd69e0VxNRgRM27cOFVV1dzcXDL3RSameBfKaK+urs7Ly1NRUZHdhX+oDGrDEuoD6ujooNlgyHcMu4fH4yUlJZ08edLT09Pc3FxTU9PNzc3f3/+3336rq6szNTVFE4ELBIJ33323oKAgJSWlrq6usbFxz549aKbaixcv+vv7FxcX+/n5PX78WGwXiukLbDZ7/Pjx1JFBmQhjCXUAIyMjCYJwdnaWk5OjVZdoGBTrEr4Je3t7ZWXl7Ozs2tpatMyqi4tLXl5eTEwMmcAiREVFRXx8fGJiYmJiYnh4eENDA7lJRUVl7NixaK3DadOmDR06FJWHhobGx8f/8ccf6CdOXl5+69ataNOsWbOcnZ0fPnz4/vvv6+joiPdqMW/PpEmTnj59GhUVtXDhQvjHBdC0B1ILsteBlzKKGNSGJScn5+DgEBERERsbO2/ePACYOHHi5cuXY2Ji1q9fj/bh8XjZ2dmRkZERERGJiYmZmZnUV/YNDAwmT56M1mR1dnZGaS9CREZGqqmpvfPOO503GRkZCQQCZWVlKysr8Vwipl8INalGjx49cuRIS0vLlpYWFRUVWqV1TUtLi42NDZvNJr9R2LAGFC4uLhERETExMciwUCcxPDz8/v37iYmJkZGRkZGRbW1t5P6qqqr29vaoGTV9+nQyrtkl9fX16urqVVVVw4cPf9M+TCbz77//Ft0FYUTJpEmTmEwmmrpTXl6ewWAUFhbSLao7VFRU/vjjD/JjR0dHYmIidcRQ1hnshiUUd7ezs1NRUSkqKkJdAMRbrWtfUFCA2mKRkZHJycmpqakKCgpNTU1ivQqMmNDS0rKyssrIyEhKSpLFZz4xMbGtrc3GxgZFPAYAg92wyBd0BAIBk8lks9nZ2dmbN29uamqaOHHixIkTJ0yYoKWl1c0ZamtrY/4hNja2sbGR3KSoqJifn29pafnq1SsyTIaRLRwcHDIyMi5evCiLhnXx4kUAcHBwoFuI6CAGPcbGxgCQlpbWy/15PF5aWlpwcLCXl5e1tbXQhLMGBgbu7u4BAQHh4eFtbW0EQZSWlsrLy2/fvl2cF4ERC8nJyfr6+gYGBgAwduzY4OBgPp9Pt6ieEQgEISEhaKLnYcOG6erqxsbG0i1KNGDDIt577z0AOHfuXDf71NfXh4aG+vn5ubu7CzW40Gux3t7ewcHBhYWFXR5+/PhxBoPx4Ycfnjt37vLly2vXrvX39xfLxWBER3BwsJKSEgCYmZmRwUo7O7tffvmFx+PRra5reDzeL7/8Ymdnh9Tq6uqamZkBgJKSUnBwMN3qRAA2LOLYsWMAsGbNGmqhUDOKwWAINaM8PDyCgoLCw8M5HE5vanny5MkHH3zg7Ow8Y8aMDRs2JCYmiudqMCKAy+Xu2LED/a+9vLza29s5HM6ZM2fIl4dNTEyCgoJQC1pK6OjoCA4OtrS0RAr19PQCAgJaWlqErqWjo4Nupf0CGxbx7NkzABgyZEhZWVlISAhqRmlqalIdSkVFxdXV1dvb+8aNG5WVlXRLxoiR169fz5w5EwAUFBTOnj1L3SRkCsbGxkFBQS0tLXRJRbS3twcHB48aNaobM7106RJqLU6ePPnVq1d0Se0/2LCINw3hWVhYrFq16tSpU8nJyVLbBcCIlqSkpBEjRgCAoaFhdHR0l/vw+fyQkBAykq2rq+vn51dfXy9hqQRBNDU1BQUFGRoaIiU2NjbBwcFcLrfLnRMTE1G4dtiwYTExMRKWKiqwYREEQaAkBhaLRTajqqqq6BaFkTSXL19GzRBXV9fy8vLud0aBbXIVeHV19R07dtTU1EhGakNDQ0BAADnubG9vHxwc3OPPalVV1YwZM1Dj8aeffpKMVNGCDet/pKSktLe3060CQw+dg1a9PzY8PHzWrFnoWFVVVW9v77KyMvFJraqq8vPzI0MWrq6uISEhAoGgl4f350qlAWxYmMEOtd3R/WBxN4SHh7u7u6PBGQUFBS8vr+LiYtHqrKio2LFjh7KyMtWq+naqK1eu9L4tKVVgw8IMakQb2UlOTvb09ESpeXJycp6enllZWf0XWVhY6O3traioCAAMBsPd3b3/UpOSktAaq91E66QQbFiYwQuZaSXasbMXL154enqy2WwAYDKZ7u7u/cli2bRpEzoVi8V6//33U1NTRaXz9evXqDOr8H/s3XdcFNfaB/CzjaVKrwpIERWuCogGRdEoGFSw93aVGGNiRL2JN8arIZYkaixoookaC9hBJSIRxcQC0gQFFJBepS9lqdvn/ePczDt3QSAI7A4+3z/8uGfOzDyzLD/OmZnd5XJPnjzZU5vtVRBY4F3UB3cn5efn+/n5cblccljU9nbzurq64ODgQ4cOBQYGUqdmpaWlt2/fxv//9ttv8WANf1JIz6LdKS0ILPDOKS0txe8hVVVVPXPmTK/uq6ioyM/PD4/j8DmjP/74Ay+6efOmtra2kZGRh4fH0KFD1dXVL1++jBclJSV99tln+P8NDQ1FRUW9WuSlS5fwqbHRo0f39r7eEgQWeLfExMTg9wYOGjSoz95hV15e/sUXX5BfEx8REZGbm6umprZ27VrytqlLly49fvyYIAhfX19PT88hQ4YsWrQoOjq6bypMTk62srLCt5U9fPiwb3baDRBY4B1y8uRJ/CGL7u7uFRUVfbx3fPOUi4uLWCzevn27trZ2XV1duz2pI6w+w+PxPDw8EEJsNnvfvn19vPcugsAC7wSBQLB27VrleUvdtGnTpk6d+qalGRkZ+/fvJx++fv26T4oiJBIJeUprxYoVLS0tfbPfroPAAv3f69ev8adZqaqqnjt3TtHlEARBvPfee8uWLetKz5SUFAaD0Zdvvbhy5Qo+peXs7FxYWNhn++2Kd/pbc8C7ICYmxsXFJT4+3tzcPCoqavXq1YquCCGENDU1eTxeV3qOGjUqMzOz4w/j7llLliyJjY21srJ6/vy5i4vLgwcP+mzXnYLAAv3BhQsXZs6cSW3h8/nOzs6PHz+eM2dORUWFh4dHcnLymDFjFFWhnBEjRqSmpgoEgq50trOz6+165IwaNSoxMdHDw4PH4y1evPjx48fOzs7U74hCCM2cOfPChQt9XBgEFugPKisr5b5NUiKR4I/ZOHv27NatW+/evatUX6T2z3/+s7q6+tChQ2QLQRBisViBJcnR19e/e/fu1q1bz549Sz6Z1A4vX76srKzs46re9c90B/2ej4+Pj4+PoquQ5+jo+MMPP2zdujUyMtLV1bWlpSUyMnLTpk2ffvqpokv7fywW68CBAwihP//8U9G1/BeMsABQjH/9618pKSmTJ0+uq6vTF1ZTPQAAIABJREFU0NDYtWvXhx9+qOiilB2MsEA/UVtbS/2FFwqFCiymi0aMGEF+/rry27RpE36nEVZbW9v3NUBggX6CxWJRv7CW+vW3oEeYmZmR7zFCCHX8BZ29BAIL9BPa2tq7du0iH9bU1Pzwww8KrKf/+fLLL6kXLs6dO9f3NcA5LAAAbUBgAQBoAwILAEAbDIIgFF0DAG9LJBIJhUItLS2yhSCIhoYGTU1NhZwb7mekUmlTU9OAAQOo3yjc2NjI5XLxp1/0GQgsAABtwJQQAEAbEFgAANqAwAIA0AYEFgCANiCwAAC0AYEFAKANCCwAAG1AYAEAaAMCCwBAGxBYAADagMACANAGBBYAgDYgsAAAtAGBBQCgDQgsAABtQGABAGgDAgsAQBsQWAAA2oDAAgDQBgQWAIA2ILAAALQBgQUAoA0ILAAAbUBgAQBoAwILAEAbEFgAANqAwAIA0Abrm2++6fGNtra2JiQkJCQkVFZWGhsbczictn1yc3MLCgoaGxsNDAwQQiUlJZmZmYMGDaL2aW5uTk5OVldXV1NTwy1VVVXR0dG5ublcLldbW7vHK+9URUXF3LlzJ0yYoKur243V8VGXUxgYGLBYLLJDamqqSCR606ERBPHs2bPY2Fg+n29mZsZk/s/fm+rq6piYmJycnLZPTmNjY2xsbFpaGovF0tPToy6SSqXx8fFPnz4VCoUmJiYMBqMbx9UHSkpKnjx5kpGRIRaLjY2NceOzZ8/K2yAIoqWlJT093djYmPrcikSipKQkDoejqalJNtbW1kZFRaWnp8tkMkNDw74+KoT8/PzKysqcnZ27t7pUKo2NjU1MTBSJRCYmJnJLm5qaHj16lJaWxmaz5X7uVAKBIDo6OiUlRSaTGRkZvWlHycnJ5eXlHA5HQ0ODuqiwsPDJkye5ublqamoDBgxou25eXl5BQUFDQwP+ZX8rRE87dOgQtegBAwb8+uuvcn3y8vI0NDRYLJabmxtu+fLLLxFCMpmM2i0xMREhFBwcTBCETCbbsWMHl8vlcDhsNpvFYn3yySdy/fvAiRMnzMzMpFJp91YfN24c9clnMBjNzc0EQUil0rCwMDc3N4SQu7t7u+uWlpbil7WqqipCaOjQoVlZWXiRRCLZtm0bl8tlsVj4ydm8eTNZ5E8//aSlpcVgMLhcLkJo0aJFeKcEQaSkpAwZMoSsx83Njcfjde/Qek95efmMGTOoz9t7772Xl5dHEIRcZGNfffXV4cOHEUI4vEjFxcUIoR9//BE/FIvFmzdvZrPZCCH8zPj7+/fxofF4PDab/fDhw+6tnpSUZG1tTR74pEmT6urqyKWhoaHa2toMBgO/YFauXCkWi9tu5PHjx/gPAO42ffr0pqamtt0OHTqE0/+nn34iG6urq2fOnIkQYjKZKioqTCbz999/l1uxqKhIS0uLxWKNHTu2e4dJ1cOBdfDgQYTQwoULs7OzCYKoqKjYtGmTg4OD3FMwbdq0ESNGTJo0qeuB9fPPP2tqaoaGhkqlUqFQiAeGQUFBPVt/pzw9PTds2NDt1a2srD7++OPav5Avr0WLFpmYmKxbt87Ozu5NgfX++++rq6tHRkYSBPH8+XNTU9MRI0ZIJBKCII4dO8Zms3/55ReRSCQQCDZv3owQCgwMJAgiIiICIbRz586mpiaxWPzjjz8ihHbs2EEQhEAgsLCwsLS0TE5OFolEv/32m6am5vz587t9dL2hpaXFwcFBXV399OnTjY2NMpnsyZMnDg4O+/fvJwii9n+FhoYihO7fv9+VwPLz82OxWIcOHaqqqiIIIisrq6Kioo+P7syZMwYGBu3mSKeam5vNzMxsbGxevHghFApDQkLU1dWXLVuGlxYWFqqpqY0ePbqiokIikRw9ehQhtHv3brmN1NXVGRgY2Nra5uXlyWSyK1eusNns9evXy3UrLCzU1NTctGkTNbAkEomrq6uurm5oaCj+0cTFxbU9Fh8fHwcHh6lTpypdYPH5fC0tLTc3N7kBSGtrK/XhuXPnmExmbGysh4dH1wOrqakpLi6Ouk0Gg/HZZ59R+1+5cuWXX37pYrUCgQD/kFpbW+Pi4p49e4Z/+QmCyMrKiouLq6+vl1ulrq5ORUXljz/+IAiioaEh73/V1NR0vEeZTKaqqrpv3762i3g8Hn7S3n///XYDKzk5GSH09ddfky3Hjx9HCOH8qquru3fvHrlIKBRyuVxfX1+CIFpaWm7dukXdlJ2d3cSJEwmCuH37NkLo0qVL5KItW7YwmcyysrKOD6Qv/fTTT23/Msm9okgzZ84cMWKETCbrNLCKi4uZTObq1as72HVqaurmzZvJV0WnioqKGhsbCYLIyMh48uQJ+deoqqoqJiamqKio7Sre3t5r164lCEImk8m9nNrtT3X9+nWE0PXr18mWTz/9lM1m4zHyV199hRBKS0sjl06cONHIyEjucPAfMPwqwpYsWcLlcvl8PrXbtGnThg4dip9AMrBCQkIQQidPnuygyIsXLzIYjIcPH06fPl3pAuu3334j/7C/SXV1tYGBwaeffkoQxN8KLDlRUVEIoePHj1Mb16xZ4+np2cVq8cZ/+uknAwMDfI5s2LBhaWlpkyZNwrNODQ2NGzduUFc5f/68vr4+/hty5swZuZnI9u3bO94jj8frdFT4psA6efIkQuj58+dkS2lpKUJoz5497W7HwMBgzpw57S4aN26cvb09QRCnTp1CCCUkJJCL8E/wzz//7PhA+tIHH3ygra3dlTFIZmYmk8nET2+ngfXzzz8jhKh/AtvCiSAUCrtYqpWV1ZYtW8aOHauiosJisdTV1cPCwnbs2MFms/ELDGcTqbGxUVVVFc+hBAKB3MvJwsKi493hrElJSSFbrl27hhB68uQJQRBTpkyxs7Oj9j906BBCKCcnh9q4YsUKbW1taopduXIFIfT48WOy5dy5cwwG48GDB5WVldTAWrVqFZfL7eD54fF4RkZGH330EUEQPRVYPXmVMCsrCyFEPSfS1oYNG9hs9rffftvu0tOnT5+iwCN8qurq6osXL/7nP/+ZO3fu4sWLP/zww7es+ccff7xz505LS0tiYmJubu6YMWMWLFjQ1NTE5/NHjx69ceNGaufQ0NBZs2bhsx7Lly8nZyLLly/X09P75JNPsrOzh7anoKAAIVReXo4QOnHihLm5uba29qRJkx4+fNjFOnE8WVhYkC2mpqYcDge3y8nNzeXxeO2ex21sbExLSxs9ejT66ycVHR1NLm1oaEAIvX79uotV9YGsrCxra2v8nHfs4MGDJiYmixcvJlsuXrxIfTldvnyZXJSRkYEQamxs9PHxGTRokLW19c6dO4VC4VtWe/z48Y8++qipqam2tnb48OELFy589epVSUlJS0vL/v37f/3115iYGLJzeHg4h8OZMmUKQojL5ZIvp99++43BYOzYsQMhNG/evLYvpyNHjqDOfnylpaXUVwtCyNzcHP31QiKVlpYOHDiQemlCrhuPx9u6deuHH374/vvvyx1sRkaGjY1NaGiou7u7kZHRqFGjzp49S+2wadMmmUz23Xffde/JbFfnr4Oua25uRgh1cKnl999/Dw4Ovnbtmo6OTrsd5IJMJBLJdXj9+vXhw4fLysqEQqGjoyO+/hgdHZ2Xl4cQys3Nra2tPX/+PEJIV1d39uzZndb8/fffjxkzBiHk4uJiZ2dnYWHx2WefIYRUVFTmzp27ZcuW2tpafHmlpaXl/v37V69exStyuVx8pjYiIuLy5ctXrlwZNGhQY2PjDz/80HYv+MqLmZnZ1q1bbWxs7OzsKisrDxw4MG3atKioKLkz8e2qq6tDCFGvZjAYDC0trdra2radd+7cqaen9+mnn7Zd9MMPP7S2tuLxrLu7u7u7+/bt23NzcwcNGvT06dM///wTH2mn9fSZ5ubmjv8EYlVVVZcuXfr6669VVFTIxqNHj1LPykulUvL/fD6fwWCsWLFizZo1ixYtevr06XfffVdWVnbmzJmCgoLHjx8jhJ49e4YQunDhAv59XrBgAfXyYrvmz5+/du1ahBCHw/H29n727Nm5c+e0tLQQQsuXL//yyy/T09PxpRWEUGhoqI+PDz7VjRDC1535fP6mTZtmzZr10UcfIYQ2b95cX18vtxc7OzuEkIeHh6ur6xdffPHq1StTU9P4+Hj89w//+Orq6uzt7alr4QvHNTU11Ma6ujpc3pu64TO233//fduDxWdFdu3atXz58rVr116/fv3DDz+UyWT4GYiIiLh06dLFixd74MogRU8GFj7UiooKW1vbtksbGhrWr1//wQcfLFq06E1bKCwspF5WT0pKwmlCcnJyev78OULo6tWry5cvZzAYX3755YMHD+7evYsQysvLE4lEePZkbW3dlcCi/ulWV1en/qnBryRyrH7nzh0mk+nh4UFdvaqqas2aNWvWrMF/2LW0tGbNmvWmfenp6R04cIB86OnpOXjw4CNHjnQlsPCfgdraWvKKvlQq5fP5ba9kHzp06Nq1a0FBQfr6+nKLQkNDv/vuux07djg4OCCEmEzmnTt3vvvuu8jIyLS0NDc3t8WLF+PRYqf19JkBAwZUVFR02u348eMMBgP/kpMSExOpz09JSQk56MCXz1JTU3GHlStXNjU1BQUF/fDDD7m5ufglhP8YnD59Gr8mvby8Og0s6h08eBpIvqLww9bWVvxQKBRGRETIDUkQQp988olAIMAFIITc3d3ftC8WixUZGfntt9/+8ccf6urqEydOXLBgwZo1a/CPz9DQEP+RI+EMknvBGBoaFhUVvakbHmEEBQW1GzoDBgyws7NLTk7Gf7mXL18+cuTII0eOrF27trm5ecOGDZMnT162bNmb6u+engws/GuQkZExYcKEtksPHjz4+vVrFRUVFxcX3JKTkyOTyVxcXMLCwv7uvpYsWfL999/fuHHjyy+/9Pf39/f3Rwj5+vq+fv06MjLy7Y6jfaGhoTNmzCDvCEMIEQTh6+uroaEREBCAW2pqaqjzDtLKlSvbDir19fVtbGzwbLFTAwcORAgVFBSQgVVcXCyVSnE7Wc+333779ddfBwQErFixQm4LFy5c+PDDDz/55BPqnXcaGhrffvstObDdv38/QmjEiBFdKalvODg4PHjwQCAQkCORtlpbW0+cOPHhhx+2zeg3GThwoEwmk8lkZIuzs/P58+dLS0s9PT09PT0RQjdu3FiwYEFUVBR11NZT7t27J5FIpk+fTm0MCgq6evVqeHg4+VO+du1aVVWV3LouLi74j5yWlta+ffvI9l27dqG/fnwDBw7Ep2hIhYWF6K8XEmngwIGxsbH4Kk3bbn5+fgwGIyAgAF9klEgkCKEDBw4kJSWdO3du4MCBKSkp5IosFmvUqFH4Ss7hw4fxC5sccOTm5kokEhcXlxs3blhaWnbnKUMI9WxgTZo0ycDA4Pjx46tXr277M3Z2dsYzEVJNTY1YLPbw8OjgtUgSi8WlpaWDBw8mW4RCYW+8kt609zt37uAztaSjR4/eu3cvOjqaHFQ3NjbiH5icuXPn6ujoyGSyhoYGMrmampoKCwvx70an3N3dGQxGSEiIq6srbsHXaCZNmoQf8vn81atX37179+zZs6tXr6auKxKJPv/88xMnTnzzzTf4zMibjvHkyZMODg7Dhw/vSkl9Y8GCBWFhYadOnfLz83tTn8DAwLq6OnzRvYtGjRqFELp3796aNWtwS0pKCpvNlrt1ufeEhoZ+8MEH1DswCwoKNm7cuGXLFupNZ1FRUTk5OXLrampqth2VC4XCX3/91dnZGd+Z5e7uHhkZmZCQ8N577+EO169ft7Kykjux5e7ufv78+YiIiDlz5pDdBgwY4OTkhBBasWIF9bxeS0tLamrq0KFDcQyNGjUqLCzs1atX+AUjk8lSU1OtrKzwIrlf9rq6utbWVg8PD3V19b//bFG8/Xl7qsDAQAaDMXny5OjoaD6fX1BQcP78+QMHDrTb+W9dJfT399fV1Q0ODm5oaKisrNy2bRtCCN+MQ/roo49mzJhBbcnLy9u3bx++KUwO3nhYWBjZ4uLiMnPmTPIhjqfS0lKCIH7//Xe5a70vXrxQVVX94osvyHOl+JJ2B7788ksbG5tr166Vl5enpKRMnz6dzWZHRUURBNHY2JiUlJSUlOTi4uLk5JSUlPTs2TOCIH799ddTp07h1RcuXMhms8+ePcvj8W7duqWtrT1lyhS86OXLl3Z2dqqqqj///HPSX/D1o9evX48bN47JZPr7+ydR4AtD8fHxz58/r66ujo2N9fb2ZrFYd+/e7fgo+phEInFzc+NwOHv27MnPz6+vr09KSvr3v/9NXh2TyWTDhw+Xu32s06uEYrHY3t7exMQkLCyspKTk2LFjLBZL7i6HmzdvcjgckUhEbTxw4EDbeyMxKyurVatWkQ/x2Ie8RxdPtQICAvDeDQwMqNfTxWLx+PHj7ezsysvLyVdUp/dFx8TEpKSkVFVVPXnyxMvLi81mP3jwAC+qqqrS09OztbV9/vx5WVnZ1q1b0V+3IIhEot27d+NbGVpaWgYPHmxsbBwVFVVVVXXgwAEGg/GmG2jlrhIWFRWpq6u7uLjExcUVFBSsX78eIfSm+4qU8bYG7PLly9QUV1dX37RpU7s9/1ZgNTY2rlmzhjzlpKKismXLlk7vkblz5w5C6Lfffmu76G8F1tq1a729vamrr1u3Ti765bKyrYKCAhwKuL+FhQVZGPXiEcbhcHBJjo6OuA+fz589ezZ5js/Dw6OyshIvkptZYEZGRgRBvGlggu8Smj9/PtliY2Nz+/btjg9BIfh8vq+vL3U0PXToUPLeC3wrRmxsLHWVrtw4mpOTg6+WIoRYLBY+jdVpMRwOZ82aNe0u6npg3b9/n8PhUG/cw6f55XR6Z5+3tzfZ2c7OLiIigro0NjbWxsYGL1VVVSVv4mtsbEQIbdmyBT9MT0/H402EEJvN/vTTT9/0ayUXWARBREZGknNMDQ2NN91kQ/RcYDEIgmj3Bf02CILIzs7m8XiGhoYWFhZvmvHh15OZmRlCiM/nNzQ04EuqJLFYXFFRQd4nhRCqqanJzMxkMBgODg5deS9hS0vLhg0b1q9fTw6MSUKhsLS01MTEhByjlpaWslgs8qxkQ0MDj8fD820zM7Pvv//e19eXXL26uhr/4Enq6uptT4G3VVdXl5eXp6mpaWdnR17DEggEZWVl1G4MBsPKygrfhE2e0UAIVVRUlJSUmJqaUicvFRUVbS/tsVgsS0vLmpoaPp/ftozBgwfjvb9+/bq8vFxPT498cSun5ubmV69eSSQSS0tL6nsea2pqGhoa8EyE1NTUVFdXN3DgQLmrhGVlZbq6utRz5/n5+TU1NVZWVl28mHX58uW0tLR2L9UXFxerqqqS78Wrr6+vra21srLCpcpkssLCQn19fW1t7Q0bNuTm5t67d49ct7W1Fd/1QkX+jDpQUlKCf0fkngGMIIisrKzm5mY7OzvyxAVBEK9fv9bS0qKeV83JyeHz+ba2tm+6go8QkkqlRUVFBgYG1KvVUqk0MzNTJBINGTKkg4sSFRUVcqdcu6dXAkupbN68eceOHW9zbVUmk+Gb+LtyNxDo3x48eFBYWEj909UNjY2N+M7Snqrq3dH/AwsA0G/A52EBAGgDAgsAQBsQWAAA2oDAAgDQBgQWAIA2ILAAALQBgQUAoA0ILAAAbUBgAQBoAwILAEAbEFgAANqAwAIA0AYEFgCANiCwAAC0AYEFAKANCCwAAG1AYAEAaAMCCwBAGxBYAADagMACANAGBBYAgDYgsAAAtAGBBQCgDQgsAABtQGABAGgDAgsAQBsQWAAA2oDAAkB5icXi+Pj4xsZGamNmZmZ+fr6iSlIsCCwAlBePxxs3blxKSgq1cfPmzXv37lVUSYoFgQUAoA0ILAAAbbAVXQAAoBMSiUQkEpEPCYJQYDGKBYEFgLKbMmWKXMuaNWsUUonCQWABoOxu3br13nvvkQ+XLl2qwGIUCwILAGWnq6trbGxMPlRRUVFgMYoFJ90BALQBgQUAoA2YEgKgvNTU1JYtW2ZkZERtnDJliq6urqJKUizGu3yJFADlV1RU9PLlS09PTy6Xq+haFA+mhAAotcDAQB8fny1btii6EKUAgQWAUrt+/TpCaM6cOYouRCnAlBAA5ZWTk2NnZ6ejo1NZWfku381AghEWAMoLD69mz54NaYVBYAGgvG7cuIEQmj9/vqILURYwJQRASRUWFlpbW2tqalZVVamqqiq6HKUAIywAlNTNmzcJgvD29oa0IkFgAaCkYD7YFkwJAVBGFRUVAwcOVFVVraqq0tDQUHQ5ygJGWAAoo+vXr8tkMi8vL0grKggsAJQRzAfbBVNCAJQOj8czNTVlsVhVVVUDBgxQdDlKBEZYoD8oKSlxcnLKysqiNvr6+h44cEBRJb2N0NBQiUTi6ekJaSUHPl4G9AcCgSAlJaWlpYXamJ2drampqaiS3gbMB98ERlgAKJf6+vqHDx9yOJxZs2YpuhalA4EFgHK5deuWSCR6//339fT0FF2L0oEpIeg/du3aRf0lz8nJcXZ2VmA93QPzwQ5AYIH+w8TExMTEhHxIx4/obGpqun//PpPJhPlguyCwQP/x8ccfOzk5kQ//+OMPBRbTPeHh4QKBYNKkSdTkBSQ4hwX6PxrdbAjzwY5BYIF+Li8vz9HRMS4uTtGFdK6lpSUiIoLBYMAHIr8JBBbo5/bu3fvixYvJkycfOnRIyYdad+/ebW5udnV1NTc3V3QtSgrOYYH+wMbGhs/ny90mGhkZyWKxmEympaXlnj17vvjii4iIiKCgIDMzM0XV2TGYD3YK3ksI3gn3799ftWpVRUWFoaHh+fPnZ8yYoeiK5AmFQmNjYz6fn5eXZ21trehylBRMCcE7wdPTMzU1dfr06dXV1d7e3ps2bRKJRIou6n/cv3+fz+c7OztDWnUAAgu8K4yMjH7//feAgAAOh3Ps2LHx48fn5OQouqj/FxISgmA+2BkILPAOYTAYmzZtiomJsbW1ffbs2ejRo0+dOqXYkmpqaoKCgnx8fEJDQzkczqRJkxRbj5KDc1jgXdTY2Pjpp59evHgRIbRw4cJTp07p6Oj0ZQElJSU3b968ceNGTEyMTCZDCLFYLKlU6uXldefOHQaD0ZfF0AkBwLsqMDAQX1i0tLSMiYnpgz0WFhYGBAS4ubmRkaSqqurt7X3y5Mn09HRjY2OEEL79ArQLAgu80/Lz811dXRFCbDbb399fKpX2xl7y8vLkckpNTc3b2zswMJDP55Pd8NiKw+HEx8f3Rhn9AAQWeNeJxWJ/f38mk4kQmjJlSmlpaU9tOS0tzd/ff/To0eSERl1dHedUY2Nju6v4+fkhhGxtbRsaGnqqjP4EAgsAgiCI+/fvm5qaIoQMDQ3Dw8PfZlM4p4YNG0bmlJ6e3sqVK8PCwgQCQcfrCgQC/P7t1atXv00N/RUEFgD/VVlZiW8oZTAYfn5+nYYLlVQqTUpK8vf3t7W1JXPKwMAA55RIJGq7ikQiiY6O9vPzmzRpErU9OztbS0sLIXTx4sW3PKL+BwILgP8nk8kCAgJUVFQQQs7OzllZWR33J0OH+nYfc3PzdevWhYWFicXitqsIBILw8HBfX199fX1ylfT0dGqf06dPI4Q0NTU7LeBdA4EFgLzExMQhQ4bgU+MBAQFtO5A5Rf3UKktLSz8/v+joaJlM1naV1tbWsLCwlStXamtrk6tYW1vjVdr2X7p0KULIxcVFKBT2/BHSFgQWAO1oaGhYuXIljpUFCxbU1tYSf4XOunXrDA0N24ZOuznV0tKCcwrP8jB7e3t/f3+5UZWc+vp6KysrhNC2bdt66yBpCAILgDcKCgrCQWNubu7l5UX9NAhHR8fdu3e/KXTq6uqCg4NXrlxJ/aJ5nFNdn+UlJCRwOBwmkxkZGdlzx0RvEFgAdKSgoGDs2LHkF5ri0MnMzGy3c01NTWBgoLe3Nz4LhhBiMplubm779u3Lzc3txt737NmDEDI2Ni4vL3+74+gn4K05AHQiLy/P1tZWT08vOTnZwsKibQcej3fnzp2QkJB79+6JxWKEEIvFcnV1Xbhw4aJFi/DdEt0jk8mmTZv2559/wlt2MAgsADpRXFxsaWlpbm5eXFws1x4aGhoeHv7o0SOJRIIoObVkyRL8Ppu3V1pa6ujoyOPxjhw5snnz5h7ZJn1BYAHQibaBVVtb+8EHHyQlJeGH6urqXl5e8+fP9/b2JiePPejOnTt4mhkXF0f9WqB3EHy8DAB/m56eXmNjI/k+m4qKihs3bixbtqw30gohNGPGjA0bNgiFwkWLFjU2NvbGLugCRlgAdKLdKWFmZubgwYNVVVX7pgahUOjq6pqSkuLr63vmzJm+2akSghEWAN0xbNiwPksrhBCXy7106ZK6uvrZs2cvX77cZ/tVNhBYANCDvb39kSNHEEKffvppQUGBostRDAgsAGhj3bp1S5Ys4fP5ixcvxvdPvGsgsACgk59//nnw4MGJiYnffPONomtRAAgsAOhER0fn2rVrHA5n3759f/zxh6LL6WsQWADQzNixY3fu3MlgMNLS0hRdS1+D2xoA6MSb7nRXIKlUmpKSQv3w5XYJBIK+vJTZB2CEBQD9sFgsMq3++OMPDw8PPT09TU3NCRMm3L9/n+zm4+PT3Nz89rv76quv8Gexkl6+fKmnp5efn//2G/9bILAAoLGbN296eXmZm5tfvXr17t2748aNW7FiRV1dXXl5eUJCQkNDQ1JS0suXL99yL83NzQ0NDdQWiURSV1cnlUrfcst/F7uP9wcA6ClSqXTz5s1eXl7nzp3DLRMmTPD399fU1ExMTIyJiamvr4+Lixs4cOCIESMUW2pPgcACgK7S0tJKSkpOnjxJbcSfMjhmzJgxY8ZERERs3LiR+iGCdAeBBQBdFRUVIYSo39Mj57vvvsMn3YVCYbfR0F4nAAAgAElEQVTPvkdERCCE0tLSpk6dSjY2NTV1b2tvCQILALrCl/g7+FS/MWPG9NS+jIyMyA+5RwgVFxc/ffq0pzbedRBYANDVoEGDEEKFhYUdDLIwLpf7Njcw3blzx8jIaPXq1WRLcnKyv79/tzfYbXCVEAC6GjlypLGx8dmzZxVdSN+BwAKArjgczt69e69evbpz587s7Ozm5ub4+Pgff/xR0XX1IggsAGhs7dq1586du3LlytChQzU1Nb28vPA3j/XsXjQ0NOQ+TJXNZuvq6rJYrJ7dUafgrTkAdEI535pTWVlpZmZGttTX1xMEoaurq8Cq+gCMsACgn++++27EiBG///472aKjo9Pv0wrBVUIAaOfp06d79uyRSqVcLlfRtfQ1GGEBQCf19fX440a3bdvm4eGh6HL6GgQWAHTyySefFBYWjhkzBj5xFACg1E6dOnX16lVNTc1Lly5xOBxFl6MAEFgA0ENGRsaWLVsQQidPnhwyZIiiy1EMCCwAuiMzM1MgEPTZ7oRC4fLly1taWnx9fZctW9Zn+1U2EFgAdMfs2bP19fV9fHyCgoL64Ovjv/jii5SUFFtb24CAgN7elzKDwALgb6utrR0wYEBLS0t4ePg///lPExOT+fPnX758We5jOXvKnTt3jh8/zuVyg4ODtbS0emMXdAF3ugPQiTfd6V5cXBwaGhoeHv7o0SOJRIIQYrFYrq6uCxcuXLJkibGxcY/svbS01NHRkcfjHTlyZPPmzT2yTfqCwAKgE3l5eba2tnp6esnJyRYWFm078Hi8O3fuhISE3Lt3D38hM5lcixYtMjU17fauZTLZtGnT/vzzTy8vrzt37nTw0VfvCgIA8GYFBQVjx44l3/prb2/v7++fmZnZbueamprAwEBvb28VFRXcn8lkurm57du3Lzc3txt737NnD0LI2Ni4vLz87Y6jn4DAAuCNgoKC8Dkjc3NzLy8v/HHpmKOj4+7du/FHI7RVV1cXHBy8cuVK6uep47DLysrq4t4TEhI4HA6TyYyMjOy5Y6I3CCwA2tHQ0EB+IvCCBQtqa2sJgmhtbQ0LC1u3bp2hoSEZQ9bW1n5+ftHR0TKZrO12WlpawsLCVq5cST1ZjpPrTWGH1dfXW1lZIYS2bdvWWwdJQxBYAMhLTEzEHzqspqYWEBDQtoNEIomOjvbz8zMxMSFjyNLSsoPkwmG3cuVKbW3ttmHXtv/SpUsRQi4uLkKhsOePkLYgsAD4fzKZLCAgAJ+BcnZ27nT6RiYX9aOpzM3N161bFxYWJhaL264iEAjCw8N9fX319fXJVeRGW6dPn0YIaWpqdn3++I6AwALgvyorK6dPn44QYjAYfn5+AoGg6+tKpdKkpCR/f3/q90EYGBisXLkyLCxMJBK1XUUsFt+/f3/9+vUTJ06ktmdnZ+P548WLF9/2kPodCCwACIIg7t+/j+8/MDQ0DA8Pf5tNpaWl+fv7Dxs2jEwuPT09nFydhqBAIHByckIIrV69+m1q6K8gsMC7TiQS+fv7M5lMhNDUqVNLS0t7ass4uUaPHk0ml7q6ure3d2BgYGNjY7ur+Pn5IYRsbW0bGhp6qoz+BAILvNPy8/NdXV0RQmw229/fXyqV9sZe8vLyAgIC3NzcyDs/1dTUcHLx+XyyG741lMPhxMfH90YZ/QAEFnh3BQYG4lurBg8eHBMT0wd7LCwslEsuVVVVb2/vkydPpqen43fzHDp0qA8qoSl4aw54FzU0NGzYsOHixYsIoYULF546dUpHR6cvCygpKbl58+aNGzdiYmJkMhlCiMViSaVSeAtOxyCwwDsnMTFx2bJlubm5WlpaBw8eXLdunQKLqamp+f3330NCQh4/fiwQCB4+fOjm5qbAepQcfLwMeIcQBHH06NEJEybk5uaOHj362bNnik0rhJC+vv6qVatu3749b948sVj86NEjxdaj5CCwwLuiqqpqxowZmzdvFovFfn5+sbGxSvVBwwsXLkQI3bhxQ9GFKDWYEoJ3wv3791etWlVRUWFoaHj+/PkZM2YouiJ5YrHY2Ni4rq4uNzfXxsZG0eUoKRhhgf5AJpM1NDTgs9eklpYWoVAoFAq3bdvm5eVVUVHh4eGRmpqqhGmFEOJwOLiw0NBQRdeivCCwQH+Ql5enra2dmppKbZw2bdrWrVvXr1+/f/9+Npt98ODByMjIt/k4vd42f/58BLPCDkFggX5ux44dI0eOfPTo0eeff67ktwt4eXlpaGgkJCTIfRYzIEFggX7OxsYmJSVl3Lhxii6kc2pqajNmzCAI4rffflN0LUoKAgv0f0o+sKKCWWHH2IouAIAeM3v2bPLD1BFCpaWlzs7OCqynG2bOnKmmpvbkyZPy8nJlPt2mKBBYoP/YuXMn9eOo8Ccf0Iumpqanp2dYWFhYWNjHH3+s6HKUDgQW6D9cXFzwh0lh1A8jppH58+eHhYXduHEDAqstOIcFgHKZNWuWiorKw4cPeTyeomtROhBYACgXHR2dKVOmSCSS27dvK7oWpQOBBfoDVVVVR0dHdXV1aqOdnd2gQYMUVdLbgGuFbwLvJQRA6fB4PFNTUxaLVVlZSdMzcb0ERlgAKB0DA4OJEycKhcLw8HBF16JcILAAUEYwK2wXTAkBUEYVFRUDBw7kcrnV1dUaGhqKLkdZwAgLAGVkYmIybty41tbWiIgIRdeiRCCwAFBSMCtsC6aEACipkpISS0tLDQ2NqqoqNTU1RZejFGCEBYCSMjc3Hz16dFNT0/379xVdi7KAwAJAecGsUA5MCQFQXrm5uUOGDNHR0amsrKR+cs47C0ZYACgvW1vbkSNH1tfXP3z4UNG1KAUILACUGp4V3rp1S9GFKAWYEgKg1IqKil6+fOnp6cnlchVdi+LBCAsA5VVfX799+/YhQ4ZQ0+rAgQOnT59WYFUKBIEFgPJqbW29fPlyVVUVtfHBgwdxcXGKKkmxILAAALQBgQUAoA34EgoAlN3Vq1cTEhLIh4WFhWZmZgqsR4EgsABQdq9evaquriYf8vl8BRajWBBYACi7Xbt2TZw4kXzo5eWlwGIUC85hAQBoAwILAEAbEFgAANqAt+YAoLzEYvGzZ88cHBy0tLTIxszMTBUVFWtrawUWpigQWAAA2oApIQCANiCwAAC0AYEFAKANCCwAAG1AYAEAaAMCCwBAGxBYAADagMACANAGBBYAgDYgsAAAtAGBBQCgDQgsAABtQGABAGgDAgsAQBsQWAAA2oDAAgDQBgQWAIA2ILAAALQBgQUAoA0ILAAAbUBgAQBoAwILAEAbEFgAANpgK7oAALqEIIgXL14UFhay2WwnJyczMzPcLhAI0tPTqT11dXWtra35fH5mZqa9vT31K0gRQklJSYaGhpaWlnLbLyoq4vF4XC73H//4R68eSLuWLFmyfPlyHx+fbm+Bz+c/ffq0ubnZyspq1KhRuLG1tTUjI4PaTU9Pz8rKqu3qPB4vISFBJpO5uLiYmppSFxEEkZycXFxcbGxs7OzszOVyqUsLCgpevXqloqIyYsQIY2Njuc02NTU9ffqUz+dbWlo6OTkxGIxuH+D/VwOAkouKiho6dCj5omUymb6+vgKBgCCI+Ph4uZf0J598QhDEnTt3EEIPHz6U25S6uvqGDRvkGquqqgwMDFgslq2tbZ8c0P9ITU1FCOXm5nZvdalU+p///EdFRQUhhNNk06ZNeNGTJ0/knpzPPvus7RaOHj2qoqLCYrE4HA6Lxfr666/JRTk5OU5OTgghNTU1hJC5uXlUVBReJBaLV6xYwWAwjI2NdXV1uVzunj17qJvdt2+furo6WdWqVau6d4BUEFhA2aWmpqqqqg4dOvTBgwcSiaS1tTUoKMjExCQmJoYgiNDQUIRQampq7V9aWlqIvxlYy5Yts7CwmD17tkICy9/f39HRsdur79y5k8Fg7N69u7y8nCCI/Pz8kpISvOj69esIobS0NLknh+rRo0cMBmPevHmNjY2tra2bNm1CCAUHBxMEIRaL7ezspk+fXlpaShBEbm7u8OHDTU1NpVIpQRDHjh1DCF26dIkgCKlU+u9//xsh9PjxY7zZw4cPI4S2bt36+vVrgiBKSkry8/O7fYwkCCyg7Ly9vdXV1QsLC6mNra2t+D8//fQTg8HAoy2qrgcW7nnr1q3ly5e3DawnT5785z//6Xq1+fn5LS0tUqk0JSUlNja2ubkZt79+/TomJqasrKztKiNHjty1axdBECKRKO9/4aToQE1NDZfLnTt3brtLjx49ymQyRSJRB1uYM2eOurp6Y2MjfiiRSExMTMaPH48fJiUl1dXVkZ337NmDECoqKiIIYtWqVaqqquSirKwshNDBgwcJgmhpadHW1p48eXLHxXcDnHQHSk0oFEZGRk6fPl3urJOqqir+T3l5ub6+vtyJla5rbm7esGHD/PnzZ82a1W6H1NTUEydOdH2DQ4cO3b9//z/+8Q9XV1c3N7dBgwY9efJk3bp1lpaWU6dOHTRokL+/P7V/bm7uixcv5s2bhxAqKCiw+V9Lly7teHf37t0TCoUff/xxu0vLy8sNDQ05HE4HW3j69KmHh4empiZ+yGKxfHx8EhMTZTIZQmj06NE6Ojpk58TERD09PXyuysLCQiAQBAcH40UpKSkIoZEjRyKEoqKi+Hz+unXrOi6+GyCwgFIrKCgQiUR2dnZv6lBRUSEWi93c3HR0dAYNGrRx40Y+n08uDQ8PP/W/JBIJdfVt27bxeLyAgIAerDkgIGDPnj3Nzc0VFRXa2toeHh4sFqu6urq5uXnjxo179+4tKCggO9+8eXPIkCH4TL+NjQ05d/vxxx8ZDMb27dsRQmPHjh3aRkhICEIIn1MXiUTz5s2zsLCwtLT84osvWlpa8MbLy8uFQuH48eO1tbXNzc03bdrU0NBALVUikVRWVsr9MTA3NxeLxdXV1WRLTEzMiRMnZs+eHR0dHRgYiP88bNy4cdiwYUuWLJk5c+ZPP/20cePGHTt2eHp6klWxWKwlS5YMHjzY3Nx8w4YN1J9Lt8FVQqDUmpubEUIGBgZv6rBo0SIdHZ0JEyZoamrGxMTs27cvJSUlKioKL7148aLc4EssFpP/T0hI+Pnnn48cOTJo0CC5zWZkZDx9+hQhFB8fLxKJzp8/j9tXrlzJYrE6rnndunXz589HCBkZGU2dOvXGjRsnTpzAF8iWLFly9OjRV69ekZfqQkNDcWeEEIvF0tXVRQiVlJR8/fXXmzZt+uCDDxBCu3fvFolEcntxdHRECOEUWL169erVq+fMmfPixYtjx44VFBTcuHEDIbR06VJDQ8MJEyZoaGg8efJk3759qampjx49IjfS0NAglUrlLqRqa2sjhGpqasirftevX793715+fr6Tk9PAgQNxo5aW1pgxY2pqaioqKjZu3KilpUX2x1WtXbt2zZo1u3btys7OPnz48KtXrx48eNDxU9e5Hp9kAtCDsrOzEUJbt27tYv/vv/8eIRQTE9PpOSyhUOjg4ODi4iKRSPAi6jmsq1evurq6urq6WllZsdls178IhcKOC+BwONu3bycfbty4UU9Pj3yI5003btzAD1+/fs1gMBISEqhbkEqlkyZNcnBwaHuCvK0dO3YghLKyssiWzZs3MxgMuVN+2N69exFC1N1JpVIOh4Ovq5LwpLWmpkZu9ZqaGk9PTx0dHR6PRxDEqlWr9PX1CwoKCILIyMhYtGgRQujAgQPEX2fc4+PjyXV37dqFEEpJSen0iDoGIyyg1KysrNTV1V+9etXF/mPHjkUIFRQU6Onpddzz1KlT6enp5ubm7733Hm4pKChobm52cXE5d+7c4sWLFy9ejBA6ceLEjh074uLi3uIg3ig0NNTMzGzMmDHUxr1798bHxz99+hTfSYAQOn36tEAgkFt3ypQpDg4OeLxDnec6OTkRBFFcXNz2XjPyycH/QQgxmUxTU9P8/Hxqt4KCAnV19bZPoJ6e3ueff+7l5fXnn3/Onj370qVL69atGzx4MEJo+PDh165dy8nJOX/+/NatW9utCiFUVFRE3iPWPRBYQKmx2ew5c+aEhISkp6c7ODi07VBbW0v91cI3kQ4ePFjuZE1bw4YN+/LLL6ktt2/fLi8v9/DwwHOiPoDng9TbKZOSkvbu3Xvw4EF89hq7e/duY2Oj3Lq2trYODg749//evXv29va4PSUlhcFg4Bx505ND3Y67u3twcDCPx8PzboFAcPv2bXd3d7w0Ly/PysqKyfzvyW6hUIj/w2Qy2Ww2+RBjs9k4WHHx9+7dc3NzI6tCCLV7z+rf85YjNAB6W0FBga6u7sCBAy9fvlxZWVldXX3v3r1169aJxWIej2dqaurr6/vs2bOKiorLly/r6Oi4urrKZLK/dR8W1u5tDb/88ouxsTG1paWlZd++feQNR3K6PiXk8XhsNptaYUNDg42NzcSJE2tqavCpd+otBe2SyWRjx47V09MLDg4uKSn59ddfuVzunDlzCIKoqqoyNjZeu3bt8+fPKyoqLl68qK2t7ebmJpPJsrOzd+/enZ2dTRBEcnIyh8OZOHFidnZ2QUHB4sWLmUwmrqqpqcnIyMjHxycrK6ulpSUhIcHe3l5HR6e2tpYgiBkzZnC53ODgYLFYLBQKjxw5ghD65ptvcGHTpk3T1NQMCgoqLi6+fPmyhobGpEmTOj6WroDAAjSQlpZG/s1HCDEYjKlTp+L7JM+fP29ubo7bWSzWvHnzqqqqiL954yjWbmC1hS+fUVOJquuBdebMGQMDA7FYTC4NDAyUG08MGDCg03pKSkrIgQyTyZw/fz4Zc2fOnCGvJ7BYrAULFlRXVxMEERYWhhAKCwvD3a5fv25oaIi7aWtrnz17ltz4gwcPhgwZQtZja2uL79clCKKqqgqnG4fDYbPZKioqmzZtIk8IVlVV4SuG+Oc1ffr0ysrKTo+lUwyCIN52kAZAn6ioqMjPz9fQ0LC0tKTeHEQQRE5ODp/Pt7a21tfXx40CgaC6utrIyEjuKmFpaamGhgZ1dVJVVZVQKCTj702kUumxY8fYbPbGjRvbLi0oKNDW1iYnYjwer6mpiZyFiUSi169fGxsba2ho+Pj4mJiYnD59mly3sbGRejMBQojJZMrN4N6kqKioqqrKwsJC7g19BEFkZ2fjsRtZFX5yDA0NydvZxGJxZmamVCodNmwY2UhuITMzs6KiwtjYePjw4XLvB6ypqcnLy5NIJA4ODm2n0qWlpWVlZQMHDiTf+/mWILAA+NsuXbqkp6c3ffr0t9kIn8/ncrly6QA6BoEFAKANuNMdAEAbEFgAANqAwAIA0AYEFgCANiCwAAC0AYEFAKANCCwAAG1AYAEAaAMCCwBAGxBYAADagMACANAGBBYAgDYgsAAAtAGBBQCgDQgsAABtQGABAGgDAgsAQBsQWAAA2oDAAgDQBgQWAIA2ILAAALQBgQUAoA0ILAAAbUBgAQBoAwILAEAbEFgAANqAwAIA0AYEFgCANiCwAAC0AYEFAKANCCwAAG1AYAEAaAMCCwBAGxBYAADagMACANAGBBYAgDYgsAAAtAGBBQCgDQgsAABtQGABAGgDAgsAQBsQWAAA2oDAAgDQBgQWAIA2ILAAALQBgQUAoA0ILAAAbUBgAQBoAwILAEAbEFgAANqAwAIA0AYEFgCANiCwAAC0AYEFAKANCCwAAG1AYAHQAzZu3Lhu3TpqS3R0tIWFRUNDg6JK6pfYii4AgP6Ax+MJBAJqS2tra0lJiUwmU1RJ/RKMsAAAtAGBBQCgDZgSAtAz4uPjZ8+eTT6srq5WYDH9FQQWAD3DyMjI09OTfJiZmRkXF6fAevolCCwAeoa1tfVnn31GPoyMjDx+/LgC6+mX4BwWAIA2ILAAALQBgQVAD2Cz2RwOh9rCZDI5HA6DwVBUSf0SgyAIRdcAAABdAiMsAHrS+PHjbWxsKisrFV1I/wRXCQHoSXl5eVVVVTAT7CUwwgKgJ0kkEoQQmw1DgV4BgQVATxKLxQgCq9dAYAHQk/AIS+6KIegpEFgA9CSYEvYquK0BgJ7EZDIJgpDJZHDevTfACAuAHiOVSgmCYLFYkFa9BAILgB4D88HeBoEFQI+BwOptEFgA9BgIrN4GgQVAj4GbsHobBBYAPQZuwuptEFgA9BiYEvY2CCwAegwEVm+DwAKgx0Bg9TYILAB6DARWb4PAAqDHQGD1NggsAHoM3NbQ2yCwAOgxdL+toby8fOjQoampqdTG1atX+/v7K6okOfCnAIAeQ/cpoVgszs7Obm1tpTaWlJRwuVxFlSQHRlgA9Bi6B5byg8ACoMdAYPU2eGYB6DH9I7C+/vprfX198mF6erqtra0C66Gi9zMLgFKhdWAJhUL8Hzs7OwsLC7I9KSlJQRW1g5bPLADKiY63NZSUlNy8eTMkJGTIkCG7du1CCK1YscLV1ZXscO/ePcVVJ49OzywASo5GtzWUl5eHhIRcvXo1Pj4ef7FDaWmpTCZTdF2dgMACoMfgERaTqbzXsurr68PCwkJCQu7evYvjVU1NberUqatWrZo9e3ZFRYWiC+wEBBYA3SQWi0tKStLT0zMyMvLz89PT0589e6ampnbz5k0HB4fRf3FyctLQ0FBsqa2trX/88ceFCxdu3bolEokQQlwu18vLa+HChfPmzdPU1FRseV0HX/MF+rNr165VV1d/9tlnZEthYeGhQ4d2796tq6v7tzbV0NCQlZWVkZGRmZmZmZmJQwoPUqgYDPnfKTabPXToUCcnJ2dnZycnJycnJ21t7W4f0d8iFAojIyNDQkJCQ0ObmpoQQiwWy9XVdeHChcuXLzcwMGi7ikQikTsHh+eJSjJshMAC/dnHH3+cm5v7559/ki3x8fHjxo0rKiqiXghrq66uDg+aMjIy8L+FhYVtT/GYmpo6ODjY29s7ODhYW1uPHDly8uTJr169Onz4sIaGBh5zJSUlkRfgyLXI8ZeLi4upqWkPHjJCSCqVxsXFXbhw4dq1a3w+HyHEZDLHjRu3cOHCxYsXm5iY9Ozu+hJMCQFAZWVlZDDl5+e/fPmysrJSro+KisqgQYNwNuF/hw8frq6uLtdt0aJFu3btSktLO3PmDG7B73d59pfk5OTy8vLw8PDw8HDcQVdX197enowwe3v77n2toUwmi42NDQkJuXbtGlm/vb39woULV61aZW1t3Y1tKhsYYYH+rIMRVmhoaFxcXFZWVmZmpkAgkFtRV1d32LBh9vb2w4YNGz58+PDhwwcPHtyVaVFWVtawYcN0dHQqKirafQueVCotKirCg69nz57Fx8fzeDxqhwEDBowYMYLMr2HDhrFYrI53mp6eHhISEhQUVFBQgFtwTi1dunTo0KGd1kwjMMIC/Vx5efnZs2fJh/n5+fg/t27devjwIf4/HuNQJ3dWVlbdG+YMHTrU0dExJSXl3r17s2bNatuBxWJZW1tbW1v7+PjglrKysmcU5eXlMTExMTExeKmKioqtre1oCjU1NbwoIyMjODj4ypUr2dnZuMXCwmLOnDkLFy6cMGFCN4pXfjDCAv3Zxx9/fP36dWdnZ7KFz+cnJiYWFRUlJyfX19fb29sPHTp0wIABPbjT/fv3b9u2benSpZcvX+7G6mVlZckU5KAJ43A4//jHP8zMzIqLi1++fIkbzczMFi5cuGTJkvfee697OUsXEFigP+v2Sfe3UVxcPHjwYDU1tcrKyre/Y6ChoeHFixfk+CsrK0sqlaqqqgoEAl1dXW9v74ULF06fPp1et9d32ztxkAD0JQsLi3HjxsXGxoaHhy9ZsuQttzZgwIAJEyaQU7wTJ05s2LBBIpEcPnz4s88+o8Vd9T1IKe6tAKCfwTl19erVnt3sw4cPt2zZghA6duzYli1b3rW0QhBYAPSGxYsXs9nsiIiI2trabqxeWFj47bffyp2uSU9Pnzdvnkgk2r59+yeffNJDldINAUD/lZaW9vTpU2pLfX39nTt3Wltbe3vXU6dORQidPXv2765YW1s7fPhwhNCBAwfIxrKyMnzSbdGiRVKptEcrpRMILAB6xenTpxFC06ZN+1triUQinHQODg51dXW4sbGx0cnJCSE0YcKEPohaZQZXCQHoFXV1daamphKJpLS01NjYuCurEASxevXqoKAgU1PT+Ph4PKSSSqXz5s0LCwuzsbGJi4szNDTs5cKVGpzDAqBX6OrqTps2TSqVXr9+vYurfPPNN0FBQZqamr///jt518WmTZvCwsL09fUjIiLe8bRCEFgA9J6/da3wypUre/bsYbFYly5dwhNAhNAPP/xw/PhxVVXVsLCwIUOG9GKtdKHoOSkA/VZTU5OGhgaDwSgsLOy456NHj/AbD3/66SeyMSQkhMlkMhiMS5cu9XKltAEjLAB6i4aGxsyZMwmCCAkJ6aBbRkbG3LlzhULhv//97w0bNuDGxMTEf/7znzKZ7MCBA8uWLeuTeulA0YkJQH928+ZNhJCzs/ObOpSXl1taWiKEFixYQN6vkJ+fb2RkhBD66KOP+qpSeoCrhAD0IqFQaGJiUl9fn5WVZWdnJ7e0tbX1/fffT0hIGDNmzKNHj/Cna9XW1o4fPz4rK2v69OlhYWHvyJsEuwimhAD0Ii6XO2fOHNTeqXeZTLZs2bKEhARra+vw8HCcViKRaMGCBVlZWU5OTsHBwZBWciCwAOhd+FrhlStX5No3b97822+/6evr37lzB08ACYL48MMPHz58OHDgwLCwMBp9N0TfUfScFIB+TiwW4xtHU1JSyMZDhw4hhFRUVB48eEA2fvXVVwghLS0tak9ABSMsAHoXm82eP38+oswKy8vLd+7cyWAwgoKC3n//fdx45syZ77//nsPhXL9+fdSoUQorV7nBSXcAel10dLS7u7uFhUVhYSH+RNAnT548f/7cz88Pd3j48KGXl5dIJPr555/Xr1+v0GKVGgQWAL2OIAgrK6uioqLY2Nhx48bJLU1PT58wYUJ9fYPCQZQAAA6ASURBVP2OHTv27NmjkArpAqaEAPQ6BoOxYMEC1N61wvLyci8vr/r6+mXLlu3evVsR1dEJXDQFoC8sXbo0NjaW+nUYmJ6enru7e0lJydmzZ/v390f0CJgSAtCneDxecXGxrq6ulZUVbpHJZNXV1eTn9oEOwJQQgD6Sn5///vvvGxkZjR8/3traetSoUampqQghJpNZVVUVEBCg6AJpAAILgL7Q2Ng4derU5ubmlJSUlpaW8vJyR0fHR48eIYR++eWXCxcuvHz58vDhw+np6YquVKnBOSwA+kJgYGBJSUlERMSwYcMQQiYmJoGBgXjRmDFjtLS0cnJyxo8fj295B28CgQVAX3j8+LGTkxNOKzmjR49WUVGJiopydXXt+8LoBU66A9AX3N3dDQwM8KfNtCWTyUQikaqqah9XRTtwDguAvqCiotLS0vKmpUwmE9KqKyCwAOgLtra2WVlZMKF5SxBYAPSFuXPnFhYWdv0bdEC7WN98842iawCg/7O1tc3Jydm/f39LS0tzc3NaWtrRo0dFIpG9vb2iS6MTOOkOQB+RSqW//vprcHBwUVGRoaHhqFGj/Pz8ILD+FggsAABtwDksAABtQGABAGgDAgsAQBsQWAAA2oDAAgDQBgQWAIA2ILAAALQBgQUAoA0ILAAAbUBgAQBoAwILAEAbEFgAANqAwAIA0AYEFgCANiCwAAC0AYEFAKANCCwAAG1AYAEAaAMCCwBAGxBYAADagMACANAGBBYAgDYgsAAAtAGBBQCgDQgsAABtQGABAGgDAgsAQBsQWAAA2oDAAgDQBgQWAIA2ILAAALQBgQUAoA0ILAAAbUBgAQBoAwILAEAbEFgAANqAwAIA0AYEFgCANiCwAAC0AYEFAKANCCwAAG1AYAEAaAMCCwBAGxBYAADagMACANAGBBYAgDYgsAAAtAGBBQCgDQgsAABtQGABAGgDAgsAQBtsRRcAQFdVVlYmJye3tLRYWlo6OzszGAxyUXFx8YsXL9TU1EaMGGFkZIQb09PTmUzm8OHDqRspLy8vLi4ePXo0m/3fF39OTs6rV6+0tbVHjRqlo6PTZ4dDunv37unTp69fv049or8lPT09JyfHwMDA0dFRU1OTuqi4uDglJYXL5Y4bN27AgAFv2kJhYeGLFy/a7SYSiRITE3k8npWV1YgRI6hFymSyZ8+elZWVDRo0aOTIkRwOh7piZmZmZmamtra2q6urmppa9w5NHgGA0uPz+UuXLqX+qtjb2ycnJxME0dra6uvry2QyVVVVGQyGqqrq999/j9caO3bspEmT5DZ14MABhFB1dTVBEPX19XPmzEEI4V+nAQMGnDlzpm+PjCAIYtGiRcuWLeveuhUVFVOmTCEPwcDA4ObNm3iRRCJZv349k/nfWZSWltbVq1fbbkEqlX788ccIIS6Xy2QyNTQ0Ll26RC69ffu2iYkJQkhVVRUhNHHixNLSUrwoMTFxyJAh5CJ7e/sXL17gRY2NjXPnziV/WMbGxo8fP+7eAcqBwALKTiqVTpo0ic1mHzx4sLa2liCI5OTk8ePHb9y4kSCIf/3rXwMHDoyOjiYIorGx0dfXFyEUGxtLdCGwFi1aNHz48NTUVIIgampqfHx82Gx2Xl5eXx6dQCDQ0tIKCQnp3uqTJ08eM2ZMTk4OQRBlZWUTJ05UV1fHz9K+ffsQQnv27BEIBMXFxdOmTVNRUcE9qQICAhBC27dvF4lENTU106dP53A4GRkZBEHk5OSoqKisWLGiurpaJpOFh4dzOJz58+cTBMHn8w0NDadMmVJYWEgQRGJior6+/siRI/E2P/roIxaLde7cOYlEkp6e7ujoaGBgUF9f390n6f9BYAFlFxoaihAix02YQCDA/6mursaJg718+RIhdPToUaILgVVUVJSdnU0uunv3LkLo+vXr1P579uy5f/9+F0utq6vDA5Dq6uro6Ghy4xKJJCkpKTk5mSybdOvWLTU1taamJoIgKisr8/5Xc3Nzx3vMysoqLi4mHwYGBiKEcHwPGTLExcWFXFRYWMhkMrdt20ZdXSaTDR48eNSoUWRLcXExk8ncsGEDLvvWrVsikYhcOnv2bAMDA/z/+/fv19TUkIu++OILhFBtba1IJFJVVV28eDG56OHDhwih06dPd3wsXQEn3YGyu337NoPBwNMWEpfLxf8xMDAYOXIk2f706VOEkNx5qzexsLDAkxpyXQaDIbfumTNn8Da74tSpU+7u7t98842Zmdm0adPs7OwWLFiQkJBga2s7ceJEJyenYcOGZWVlUVcJDQ394IMPNDQ0EEKff/65zf+KjY3teI92dnbm5ubkw8TERBUVFRsbG4RQeXm5ra0tucjS0tLS0jItLY26elVVVWFhIZ4XY+bm5qNHj05ISEAIsVisWbNmUc9MGRgY1NXVyWQyhJCHh4eenh65SF9fHyFUW1tbV1cnEAhwDZibmxuLxZLbdffASXeg7LKysgwNDXV1dTvoU1BQEBUV9fz587Nnz37++eeenp64vby8/NSpU9Se+FeRKiMjIy4uLiEh4fLlywcOHLC3t3+bavPy8pKTkwsLC83MzI4cOfKvf/0rMTHx9OnT06ZNKyoqcnZ23rNnz8WLF3FniUQSHh5+6NAh/PCXX345duwYQkgoFE6aNMnQ0HDy5MkXLlzYu3ev3F6MjY2joqLIh8nJyYmJidHR0b/99tvPP/9samqKELKzs0tISBAKhTjc6+rqWCxWaWkpdTv4oYWFBbXR3Nw8Li6u7aERBBEfH+/o6EieF6OKj4//v/bNN6SpLo7jv7vllLkZbklsodf1ZxhOxF60lbYisj9i+sKNwBTqRUS+CLQSInphYVpmL56KWkSYeyVhRk9RjFGD/rBCsrkWzTJ3y7ZlMre5O7fmvM+LQ5fL5qPzked5Es7n1c7v/M65v3vAr+f+zu9IJBKSJAmCkEgkz58/Z7u8Xq9QKEx49D8DCxbmd4em6RUrVsztMzg4eOnSpdHRUZFIpFKpWDtFUa2trVzPYDCYMPbFixeXL1+mKGrlypXshuvOnTs0TQNAKBR68+ZNV1cXAKxfv16tVs8b8O3bt9FpY21tbVNTU0NDw86dOwGAJMnS0lKHw8F6WiyWQCBQWVmJmpmZmWir1djY6Ha7Hz58uGzZsrKyso6OjoRHoDw3i8lkMhqNLpcrPz9foVAg46lTp3Q6nVarraqq8nq9d+/enZiY4G7HAGBiYgIAxGIx15iVleXz+ZLfq6enx+FwoC/0BF6/fv3gwYO2tjZ09nry5MkTJ07s2rVr27Ztnz9/7uvri0QiaD0Xy+K/KjGYfxWtViuRSFLxnJ6ePnfuHPzKQ82bw+ISiUSOHj3K4/FQwn7v3r0ajUaj0aSnp+fm5qLfFy9enDuA8+fPAwBKSDEMg8Sxo6ODddi3b19BQQHbRFqWMInJZCIIwmg0pvLKXEKhUF1dnUAgcDqdyPLo0aOKiori4mK9Xm+xWJRKpUaj4Q6x2WwAYDAYuMaqqiqSJBMm7+/vz8rK0uv1yc+lKIokSbVaHY1GWWN3d/f27dtLSkrq6+sHBgYEAsH+/fsX+kbJYMHC/O4cOXIEALxebyrO8Xg8MzMTVQksSLAYhhkfHweA5uZmrjE/P7+1tTXFUBckWPF4XC6XX7t2jTvDjx8/ZDKZTqdjLTab7Y8kbt26NWsA79+/B4BZhTUUCqWlpR06dCj5lRMy8UVFRZs3b+ZaLBZLdnb27t27uZKEcDgcCoWiuLiYm4CfNar29va/c0gdnHTH/O7odDoAYBM9Cfj9/rGxMbYZi8VmZmYYhkllZo/HMzk5yTaj0SgApDh28VitVq/XW11dzTU2NDTw+XyDwcBaRkZG/kzCZDKh3i9fvqCwEXO8wo0bN2KxmF6v5xqlUmlhYWFvby/KowOA0+m02+1bt25FTYZhOjs7d+zYUV1d3dfXJxAIuMN7enrUavW6deuePHnCTcAncPXqVR6PV1NTk8KqzMfiNQ+D+bepqakhCOLYsWNOpzMQCAwODra0tJjNZoZhamtrSZI0m800TVMUVV9fDwCoeHLeHZZWq1WpVFarNRwODw0N7dmzh8fjWa1Wrr9SqUzYGjx9+rS9vT25QIFZ4A7r+PHjZWVl3OEGg4EgiHv37vl+MTU1NceyxOPxwsLCTZs22Wy2cDhst9tLS0sFAgEqp5iamurt7fV4PB8/frxy5YpQKKyoqEADnz17dubMmUAgwDCM0WgEgIMHD3779s1ut2/cuFEsFqPijGAwiATuwIED/RxCoVAsFmtsbASA8vLyV69esV3j4+MMw3i93sePH3///v3du3ctLS18Ph8VzS0eLFiYJUAkEmlqahIKhew/2ry8PFRs6Xa7Kysr2SJ4kUjU2dmJRs0rWENDQ1u2bGHnlEql3d3d8wbT3NwMAOivPYEFCdaaNWvYUBHcGgvEhQsX5g5mYGBgw4YNrL9MJrt//z7qMplMKIUPABkZGYcPH2arus6ePQsAFEWhZltbG7u2eXl5FosF2a9fvz7rLufly5dms3nWrq6uLoZhbt68yRZDiMXi06dPT09Pz7uwqUAw/9UGGINZJJFI5MOHDzRNkyQpk8n4fD7b5Xa7h4eH09PTi4qK2GtrY2NjBEHk5ORwJ5mcnPT7/atWrWLP5l0uF0VRIpEo+TbcrPh8vvLy8v7+/uSrf36/3+fzKRQK1DUzM+NyuaRS6fLly9mQotFobm7u27dvS0pKhoeHV69ezQ7/+vVrLBbjTiiRSFK53vjp06fR0dHs7GyVSsVdFpqmUeH+2rVrWfECgGAwGAgE5HI560zTtNPpzMjIKCgoYFcmGAyiJFcCcrmcYRiPx5PclZOTg84c/X7/yMhIWlqaUqlM+JBcDFiwMJgFU1dXx9ZS/TN+/vwZDof/l7vWSxosWBgMZsmATwkxGMySAQsWBoNZMmDBwmAwSwYsWBgMZsnwF7crdKeNOayQAAAA6npUWHRyZGtpdFBLTCByZGtpdCAyMDIyLjA5LjUAAHicnY89DoJAEIXf/rD+AFJgtDVGiT21gYrKQ2xJYecFvAY0VtpZWdkAB8AraDiBV3D5i1saJ3l538y+mWTf2fUJVTbaokpOpyMRC6mcMyE3yhkXMm6c/AIE9RL+dhMEhMaUMsl4TLkhDRFTQSQGwBAYgY7BTHALhg0xwZSoNUGEwRmdZ/WJ7lNwfN8N0yRZ182j3AVK5463VXTJa06Te97zo7SK2+m11OaBlm/Y9w+h6r2W3RAoco37fFBFXtHf/PK+UG8rbR5q+YZnH6hOSbB51EWNAAABOHpUWHRNT0wgcmRraXQgMjAyMi4wOS41AAB4nIWTUW6DMAyG3zmFL7DIdhIgjwWqbZoK0tbtDnvf/TW7iNpMXUhiKQmfbOe3aUDH+/T2/QP3wVPTAGBllVLgKyJicwHdwHB+fp1hvJ6G7WZcPufrB1DWhTr37Om6XLYbghE4qD8ULuDfzcaxcBj69fapAsYbiHkFKXApGPsHYBJQvqdjMivJgQ+TbHcuKx47n2SF6+EF4vbqSuAi3F1FySD/BxJ6sgaSgCY4h1x67NpHJAtp8lTRqGgM3eGDKO2c1nxmn2gFPM/TrvPWXhyWebJe1MnWckksWmMlNWsfndl6RA7QWicksc7qncTYyqqBequeHour0S0TXwuS0EROchKPxE5YkvAUnX4kCVByMpGkQNnL4R+v5+0nln3zC9FLwoSEkWbaAAAAr3pUWHRTTUlMRVMgcmRraXQgMjAyMi4wOS41AAB4nF2NvQ6DMAyEX6UjSMGy86MmMHaBrTtiqDJFKgIVRh6+IUCLWe78+eRzW3eefNbWXX7oI3mS05qi3pasUHAXKKpCgkxOoI2IKp1Dve+jGGfRigoBzymCZaFdKySo1dSf4oHZpjSkEtbxq9je8+9HmIvXPPTPzzCWCGFq+vEdfJiBSsXRcLQcHUe6dJG8sGa8fAEMDVwcMhRiRwAAAD56VFh0cmRraXRQS0wxIHJka2l0IDIwMjIuMDkuNQAAeJx7v2/tPQYg4GWAACYGBGhg5BYB0eJcQIIRLiwGALY6BCA0qptYAAAAZ3pUWHRNT0wxIHJka2l0IDIwMjIuMDkuNQAAeJzjUgCBIBfvzBIFODBy4eJSUDDAgywtLRXCjA0MDLh8FUAMBSdXd08/BecQRyeYiLN/qF9IMFA1FKKqdAzx94WJuPq5YPBhJgHZXACo8SAZMk4wIAAAACF6VFh0U01JTEVTMSByZGtpdCAyMDIyLjA5LjUAAHicAwAAAAABx7wIvgAAAPN6VFh0cmRraXRQS0wyIHJka2l0IDIwMjIuMDkuNQAAeJydjzsOglAQRe/78Pzgp8Bo+2KU0FMbqKxchKWFnRtwG9BYaWFiZWUDLEC2oHEFbsEBQV8snWRyz8zcmWSeyekGii7ewSn7VW6Z0ktSKZT2SIVUelUqDY4ErKRP6xcYii38rTYYGPc4F3TN49LSlvK4YhoNoAm0wNsQNmQHVheqhwGjNcWUJQUfJcWJ6iv0fd8J4yiaFkV+XQSU+4pnj/khLTiOLmnN+bWTnXf3sdEPDH/Jvr8JqXbf7IRAlhpc+4PH3M3qm19eZzSbGP3Q8Jc8fAFyVkbTSTzeigAAAUl6VFh0TU9MMiByZGtpdCAyMDIyLjA5LjUAAHichZNdbsMgDMffcwpfYMg2kISHPOSjaqetidRlvcPed3/NbkQhU0sBS0B+YGP/U4G2y/Tx8wv3xlNVAWBhhBDgahGxOoNOYDgc32cY136IO+PyPa9fQF4Hat+z/bqc4w7BCGz0PhTO4P9J5Fg4NO22+1YA7Q1Ev4FkOAS07QPQCSjf3XMSxtOxI7j0U8dw7T87F896PcuGX4Zd75wUomnysAtcCyewMQ8Fx0G4e14lAv8MJMzJEkgCphKw8aHFpn5EspApPUXUKmpN8/JB5HaXlu70eaAF8DBPOy1u6hyWeUrq1M5JhNptkhqJuSQoFvNJIyRWJyWwWJPqTWKcyqqO2lQ9XYasRrdI8lqoa6Is5STOibPEqnuyWf5IAiCXpUlDIJ+nI3+8ruNvLfPqD1Yyxq9nJNJHAAAAuHpUWHRTTUlMRVMyIHJka2l0IDIwMjIuMDkuNQAAeJxdjb0OgzAMhF+lI6jBsvPTJiCmLHTrjqhUdYpUBKKMPHxJMoQw2HeffLb7brDU2qLvhjL2trfX4ciWogltr8tWIGjGQRmNmjUIqBgBNwYlayoCeUQOPEUD4a4C7kFDuMrTVX45Tf3X41D7ExyEF5FoX1DReVOyF9U39l6n8blMc43gfo9x/rqPW4FqkaPK0eRI/MSnbZIZb3+MWVkOse4GOgAAAD56VFh0cmRraXRQS0wzIHJka2l0IDIwMjIuMDkuNQAAeJx7v2/tPQYg4GWAACYGBGhg5BYB0eJcQIIRLiwGALY6BCA34cg0AAAAZ3pUWHRNT0wzIHJka2l0IDIwMjIuMDkuNQAAeJzjUgCBIBfvzBIFODBy4eJSUDDAgywtLRXCjA0MDLh8FUAMBSdXd08/BecQRyeYiLN/qF9IMFA1FKKqdAzx94WJuPq5YPBhJgHZXACo8SAZ2XG9GgAAACF6VFh0U01JTEVTMyByZGtpdCAyMDIyLjA5LjUAAHicAwAAAAABGqQ+PAAAAMt6VFh0cmRraXRQS0w0IHJka2l0IDIwMjIuMDkuNQAAeJx7v2/tPQYg4GWAACYg5obiBkY2BS0gzcjEzKaQAWQwszASw2Bk0AAZRZDmZmDUYGJkUmBi1mBiZlFgYdVgYmVQYGRjYGJnYOZgYOFkYOViEGEEKmVjYGVhZmIU7wNpg7qUgbvv8Q7VXS8e7QdxHrot27/rRROcLR77xQ7EvnbDYImb+Fx7qLg9TBzERqhXO4AwR+0ATP3xwjlLF3frOUDFHRDmqDnA1IsBAOPVOfNVvWdOAAABG3pUWHRNT0w0IHJka2l0IDIwMjIuMDkuNQAAeJyNkk2OgzAMhfecwhdoZDtAyKILfqp2NFOQZmjvMPu5v2q3Cg6jFjXBUmJ9fnL8KEDX9/D5+wfL4qEoAHDjizHC1SNicQY9QHc4fozQz22XMv10GecfINIPda/Zdp7OKUPQAzq8L9iRC4FlW0rUTsc9wbX92vtUxFIkLMeIvtET8r+qRPoVia5Uff8ELBVc0lLBL8BKwHcE65zbajHACXbsqthgqJ+OIJHNitzoMSq4pNmFVyChkO8oipEZuNXkYRxWBj8s76ZxMMtZw8zUhDfH5AKl+UISlU2fJWobMmnYKFUq2LxIpBqbikrF7O0kWpS/8a5G+VPyxvWe/nM5FzfQEpxDS3JEYwAAAKN6VFh0U01JTEVTNCByZGtpdCAyMDIyLjA5LjUAAHicZUy7DsIgFP0VxzbCzeWKAjWdWOrmThiME4lNm9qxHy+1khSZzvu4zlvROnv0tnKdr9sNkhARDkvFCc5Go2ZcgFKkTuwaGRmDcrWQvhbu4jItL1IHQf6c1IkJRWe93FECtVFeLvn/tGaPeejv0zA2COF968dXeIYZRCNzecmlzqXIx8sH9h1LQOP92YAAAADnelRYdHJka2l0UEtMNSByZGtpdCAyMDIyLjA5LjUAAHice79v7T0GIOBlgAAmIOaD4gZGNgUtIM3IzMyWoAFkMLOwJWSAaUZiGIwMIE0MJNPcDIwKjEwZTEzMCcwsGUwsrAmsbBlMbIwJDOwMDBwMTJwMzFwMLNwMrDwMbLwMIoxAPWyMbKwszEzim0D6oV5h4Lu9TdZhe+5tVRAn73aZvarnpCUg9vbcaLuHbsv2g9hAof0wtqon0wGLpVyqSOL2SOrB7NvbfB1g6qFse5j5D93UDsDMQbCTDuTdNlNFEndAUg9miwEAuM1C/12Mx04AAAE/elRYdE1PTDUgcmRraXQgMjAyMi4wOS41AAB4nI2TzW7DIAyA73kKv8CQbUgChx7yU7XT1kTa2r7D7nt/zU6UmUgRGwYJyGcb/6QCHR/j29c3/A4eqwoACzOlBE+PiNUNdAP9+fI6wXDv+u1mmB/T/RMo6ESVPdvd59t2QzAAu9AEjg2gw2VkGxiulxPBs3s/+U2HRQddWnVeDpQ20C8g0wqS45TQxwMwCKjfY93Kk0tkrSQ79AtZ8N3sTBYstvkjC1yEK/j/BJNysMARCmh5ZFeniG1zRJKQFnURZUW9q/9MEPmd0ZLNkD+0AJ6ncddca7v18zRau6mwdZI4Bm/9EnRZV6jUVno5QGMFDrJaK2OQxVYtdRStJnpMWepJPFGeYRIDRFkeSbwRZ+ki8Uc+ywqJRwp59Hmset5+S9lXPwgRvD6Wz68nAAAAuHpUWHRTTUlMRVM1IHJka2l0IDIwMjIuMDkuNQAAeJxljr0OgzAMhF+lI6jBsvNDExi70K07ylAxIRWBKCMP34RClJTF+u58PrltbEdd1jY2D/N+tRtGJrl5WbNCgBLqRgxZXXDAwARce/ZgDMpo7UAZjZrVCJwk12WUQjDlz4pSu+V6OUjHxqPYjk10ezhR2d5/rg/t4dPzo0cmZ69lHJ7zOFUI/ecxTO++6xegSqRSpZLoT6fx9QuKkVg5MLkcywAAAMJ6VFh0cmRraXRQS0w2IHJka2l0IDIwMjIuMDkuNQAAeJx7v2/tPQYg4GWAACYgZofiBkY2BS0gzcjEzKagAZJkYVPIANLMLECZBCCDhYmRASTBwIhOczMwajAxMmkwMTEzMIN0MjCzMjCzMYgwgrQxMDMxiseB1EGtZWBXik+wnz5v8X4QZ/80sf1bOc6C2b+zMvcr5fHsA7GfdvHan39kZwdiv3fnPvC8VNsexF56K8vOK/wymG2kwOjwoYcJzBYDACDoIT/6U8LLAAABFXpUWHRNT0w2IHJka2l0IDIwMjIuMDkuNQAAeJx9UUtuxCAM3ecUvkCQbYKBxSzyGc1U7SRSm84duu/9VTsjSqaKamPJ4PfAfjRg9j69fn3Dr/HUNAD4z8o5w90jYnMDS2A4X15mGNd+KCfj8jmvHxDV0fwZ2a/LrZwQjIAuRekCQ0uOY+KoLIebKXm8Xk4E9/7t5AuJldSiCymxT8YSpMRpxypI/0BmopiyZeQj+XyA7LZGQuCMpAkl6YgPcAGu0LKjKCxB6yI5ytHTokB0zNkHHdNJINpu/ouLimOHFENG60D1FX+AO8/Tk3IPLYdlnqqWbFFVMvdVCtLo6rxkUceyaqjNW1Vqj7aN+1b2D9u+fL/mzQ9IWnHeFjtQnQAAALR6VFh0U01JTEVTNiByZGtpdCAyMDIyLjA5LjUAAHicVYyxDoNADEN/pSOoIbrkSC4BMbHQrTtiqDohtQK1jHx8j24Mluwn2+Mw9dT13dhfsynGYSqzLntRMVJSThBQ1ZMatFVAJ0rmkB3FRNH/UMw4GlSEGsgitAEtaS18IE7GdiAR9kD5jkxr4gMxexTIMyGCljFQEs8NCe4aoYTHtrzvn2VtAs7f23t9zc95Q2rkHPUU9x/caTQbzSa0YAAAAOl6VFh0cmRraXRQS0w3IHJka2l0IDIwMjIuMDkuNQAAeJx7v2/tPQYg4GWAACYoG4QbGNkUVgFpRmYmICsDyGJmIY3ByKABMpRompuBUYGRSYOJiVmBmUWDiYVVgZVNg4mNQYGRnYGJg4GZk4GFi4GVm4GNh0GEEaiBnYGRiZmFlU18GUg31AsMvMZhJkufcv/dD+Lk/Fljv2TvSjD76Nbr9koTuO0gyhzsZ/Ytt4ey98PYQDX7YWqAevfD9Db0KDps3SlwAMTeXuTpULb2A1iNo99m+yZXLQcoez+MDVRzAKYGqPcATK8YAMapPgEP3BX3AAABUHpUWHRNT0w3IHJka2l0IDIwMjIuMDkuNQAAeJyNk9tugzAMQN/5Cv8AkS+5kIc+QKnaaSuVuq7/sPf9v2ZT0aQS2khiKZhjG19owNZ1fP/+gefisWkA8I+Tc4a7IGJzBrvAcDi+TbC/9cOi2V++ptsnkNhB269sf7ucFw3BHlp0OC9oyeUUMwd4qtTd6bgjuPbjjuHef+x4sWW1JSeBfBAzFY5kFk/TBZQZjF1gMc8kkTOvcF45dCnMWvWHGSWvcOHx0f+D0cAtkdMD3JBLBydgF9gzErTslBMJK2BWUBz5FDnpa58Qk6xwhAqS84gdR3UdI/q8CpKC7SaSjdwUXIzclM9hGl8m5zFLw2UayyzZrsbDtpQhIBVfes0qobSUVGJpHKuk0h4yKT3QMNCVSpvnXBWU1DXVhTPnRFV9SN0TV2WYA0idbJ2aPS+/mN6bX/PnspPKk2qpAAAAx3pUWHRTTUlMRVM3IHJka2l0IDIwMjIuMDkuNQAAeJxtjjsLg0AQhP9KSiV7yz7u4SmpbEyXXgyEVEJESSz98VFSHZdm2W9mh52+G1q+tEXfDeVv/oO+PQ982gpBJ1bACIpnVWgY1bF1YPZllw7BV04UCFm9RIFGkW3wh2IDUdhDhMHBHqBI9khYokpB0HuyERqT+iY/yJ+Y/IvJupmsPh1mDD4qlHDnmgUe6zzd3vNSE46f67S8xue4IteaoksxpBhTZE54+wKqG1sKXB2qRAAAAD56VFh0cmRraXRQS0w4IHJka2l0IDIwMjIuMDkuNQAAeJx7v2/tPQYg4GWAACYGBGhg5BYB0eJcQIIRLiwGALY6BCA4In9eAAAAZ3pUWHRNT0w4IHJka2l0IDIwMjIuMDkuNQAAeJzjUgCBIBfvzBIFODBy4eJSUDDAgywtLRXCjA0MDLh8FUAMBSdXd08/BecQRyeYiLN/qF9IMFA1FKKqdAzx94WJuPq5YPBhJgHZXACo8SAZXc3O1wAAACF6VFh0U01JTEVTOCByZGtpdCAyMDIyLjA5LjUAAHicAwAAAAABa7LFdQAAAL16VFh0cmRraXRQS0w5IHJka2l0IDIwMjIuMDkuNQAAeJx7v2/tPQYg4GWAACYg5oLiBkY2BS0gzcjMzKaQAWQwszDiYTAyaIBMIEhzMzAqMDJpMDExKzCzaDCxMCgwsDIwsjEwsTMwczCwcDKIMAKVAYWYmFnEm0A6oG5j4DIIXmwP41Q+PGl3LmQ2mP9NsWU/A4MDMns/khowe8ZKQweY3ohZ0fYTv2uA+Um7+Q9cunXBHom9H0nNARBbDAC7NS0FkvIP7QAAASJ6VFh0TU9MOSByZGtpdCAyMDIyLjA5LjUAAHicfZJJbsMwDEX3PgUvIEGk5kUWHoKkaGMDrZM7dN/7o6QLVXKRmpIAWnj8FEl3IPY+vX5+wa/R1HUA5mDnnOFhjTHdDcSB4Xx5mWFc+6HcjMt9Xj8Ajext7dl+XW7lBmEE1BR9jgGMNps1DozXywnh0b+dbIkhjjHaZkc5STBaT76JKZxlTqE2liiJePR/xAvodqA6IH2bWh3kDnAF0vHfugoXmTM6+ZjIcUBwBvEZl5hTpMn5hMRFB4shpidg3oHqgOQ8TW51kPw8T7uh/YxxWOapjlEW1QnJsnUQyMfVdhMfX3uKcmrnRCrUBrEuxNoHkUq1WmSp3JS0ae1e3r5Tvsuvyn73DdNtkOfnNISDAAAAt3pUWHRTTUlMRVM5IHJka2l0IDIwMjIuMDkuNQAAeJxljrEOgzAMRH+lI6iOFTsJSYiYstCtO2KoOiEVgSgjH9+0iEiok+/Zd/J1bR+piUXX9mUXr/1P7NhESuOyFYKRtXEEhJWiykEQhFIxe5BoDQSJymv2LhmYlFHfjTPWsQbGSksiCOlkTbJICIz2kDkp/qMiZ/M7sf/LhcTRqITHOo33ZZpricP7Ns6v4TmsSLU6oz2jP+H2ATy8Qj0vkwl8AAAAP3pUWHRyZGtpdFBLTDEwIHJka2l0IDIwMjIuMDkuNQAAeJx7v2/tPQYg4GWAACYGBGhg5BYB0eJcQIIRLiwGALY6BCD+9ZJcAAAAaHpUWHRNT0wxMCByZGtpdCAyMDIyLjA5LjUAAHic41IAgSAX78wSBTgwcuHiUlAwwIMsLS0VwowNDAy4fBVADAUnV3dPPwXnEEcnmIizf6hfSDBQNRSiqnQM8feFibj6uWDwYSYB2VwAqPEgGc4P9xYAAAAielRYdFNNSUxFUzEwIHJka2l0IDIwMjIuMDkuNQAAeJwDAAAAAAFdJFaDAAAAr3pUWHRyZGtpdFBLTDExIHJka2l0IDIwMjIuMDkuNQAAeJx7v2/tPQYg4GWAACYgZoPiBkY2BS0gzcjEzKaQAWQwswBFEoAMFiZGBg2QckZ0mpuBkYOJkQlkDiMzAxMLAxMrgwgjSC/QGPEgkBKoTQxsTrmz9x6r3bAfxFkgn2GvmFq9D8TOfiWw3+2LnC2IPeeQiMOr3io7EJubnflAcqMXWM3FrVz7zT8esQexxQDP0h1LovHUFQAAAQR6VFh0TU9MMTEgcmRraXQgMjAyMi4wOS41AAB4nH1RS24DIQzdcwpfYJCxAcMii/lESdVmRkomuUP2vb+KG1Em0qgGS9h+zz8MqFynz+c3/AlNxgDgPzfnDA9GRHMBfcBwPH3MMK79UD3jcp/XG8RyUM87sl+XS/U4GKFDixJSJuicZUmJExTXrxT2eD4dHDz6rwNXFhUW2oxRmJVOPgTkDakC+ZU+xIgiGueUUHaAHs5AlsmX+qAJfUy0gwsF15FFL4xBU7ssEvIOMiqylPYusYCzgVN0bgd4nKe3lbyWNCzz1JZEqm16dXCb0am2STTqW8MaDa0rNeO29raS2vUjy9v8AIqTZ/qVqqO3AAAAq3pUWHRTTUlMRVMxMSByZGtpdCAyMDIyLjA5LjUAAHicVYu9DoMwDIRfpSOoxnJiJ3ZAnVjo1h0xVJ2QikCUkYdvSieG0/3ovr4bWnfr22u2ou+GMuuyFx7ZCxsQepFoHhrCRFGZofptIRBDkyNpsOShcshqJscWYiTVzBKbkWa48kiiB+uSakj/nzhjBYeBLToo4bnN02Odl5pw/Nyn5T2+xg1dLecaTnX/AvLiMJNYRDJVAAAAAElFTkSuQmCC",
"text/plain": [
""
]
},
"execution_count": 30,
"metadata": {},
"output_type": "execute_result"
}
],
"source": [
"# Create mass spectrometry fragmentation hierarchy\n",
"toluene = NonBinTree(\"Cc1ccccc1\", \"toluene\")\n",
"toluene_cation = toluene.add_node(\"CC1=C[CH+]=CC=C1\", \"toluene cation\")\n",
"C6H5_cation = toluene_cation.add_node(\"[C+]1=CC=CC=C1\", \"C6H5+\")\n",
"C4H3_cation = C6H5_cation.add_node(\"[C+]1=C=CC1\", \"C4H3+\")\n",
"C7H7_hex_ring_cation = toluene_cation.add_node(\"[CH2+]c1ccccc1\", \"C7H7+\")\n",
"C7H7_hept_ring_cation = C7H7_hex_ring_cation.add_node(\"[C+]1C=CC=CC=C1\", \"C7H6+\")\n",
"C5H5_cation = C7H7_hept_ring_cation.add_node(\"[CH+]1C=CC=C1\", \"C5H4+\")\n",
"C3H3_cation = C5H5_cation.add_node(\"[C+]1=CC1\", \"C3H3+\")\n",
"\n",
"# Draw tree\n",
"mass_spec_frag_tree(toluene, ndigits=4, addHs=True)"
]
}
],
"metadata": {
"kernelspec": {
"display_name": "Python 3",
"language": "python",
"name": "python3"
},
"language_info": {
"codemirror_mode": {
"name": "ipython",
"version": 3
},
"file_extension": ".py",
"mimetype": "text/x-python",
"name": "python",
"nbconvert_exporter": "python",
"pygments_lexer": "ipython3",
"version": "3.11.3"
},
"orig_nbformat": 4,
"vscode": {
"interpreter": {
"hash": "f8b9e48fa26c0cee807577a4309d1f208b4f08c0094fff1e9a87a3043a77ce60"
}
}
},
"nbformat": 4,
"nbformat_minor": 2
}