Last updated: 2019-06-13
Checks: 6 0
Knit directory: apaQTL/analysis/
This reproducible R Markdown analysis was created with workflowr (version 1.3.0). The Checks tab describes the reproducibility checks that were applied when the results were created. The Past versions tab lists the development history.
Great! Since the R Markdown file has been committed to the Git repository, you know the exact version of the code that produced these results.
Great job! The global environment was empty. Objects defined in the global environment can affect the analysis in your R Markdown file in unknown ways. For reproduciblity it’s best to always run the code in an empty environment.
The command set.seed(20190411) was run prior to running the code in the R Markdown file. Setting a seed ensures that any results that rely on randomness, e.g. subsampling or permutations, are reproducible.
Great job! Recording the operating system, R version, and package versions is critical for reproducibility.
Nice! There were no cached chunks for this analysis, so you can be confident that you successfully produced the results during this run.
Great! You are using Git for version control. Tracking code development and connecting the code version to the results is critical for reproducibility. The version displayed above was the version of the Git repository at the time these results were generated.
Note that you need to be careful to ensure that all relevant files for the analysis have been committed to Git prior to generating the results (you can use wflow_publish or wflow_git_commit). workflowr only checks the R Markdown file, but you know if there are other scripts or data files that it depends on. Below is the status of the Git repository when the results were generated:
Ignored files:
Ignored: .DS_Store
Ignored: .Rhistory
Ignored: .Rproj.user/
Ignored: data/.DS_Store
Ignored: output/.DS_Store
Untracked files:
Untracked: .Rprofile
Untracked: ._.DS_Store
Untracked: .gitignore
Untracked: _workflowr.yml
Untracked: analysis/._PASdescriptiveplots.Rmd
Untracked: analysis/._cuttoffPercUsage.Rmd
Untracked: analysis/QTLexampleplots.Rmd
Untracked: analysis/cuttoffPercUsage.Rmd
Untracked: analysis/eQTLoverlap.Rmd
Untracked: analysis/oldstuffNotNeeded.Rmd
Untracked: apaQTL.Rproj
Untracked: code/.NascentRNAdtPlotFirstintronicPAS.sh.swp
Untracked: code/._ApaQTL_nominalNonnorm.sh
Untracked: code/._BothFracDTPlotGeneRegions_normalized.sh
Untracked: code/._FC_NucintornUpandDown.sh
Untracked: code/._FC_UTR.sh
Untracked: code/._FC_intornUpandDownsteamPAS.sh
Untracked: code/._FC_newPeaks_olddata.sh
Untracked: code/._HMMpermuteTotal.py
Untracked: code/._HmmPermute.py
Untracked: code/._LC_samplegroups.py
Untracked: code/._NascentRNAdtPlot.sh
Untracked: code/._NascentRNAdtPlot3UTRPAS.sh
Untracked: code/._NascentRNAdtPlotExcludeFirstintronicPAS.sh
Untracked: code/._NascentRNAdtPlotNucPAS.sh
Untracked: code/._NascentRNAdtPlotTotPAS.sh
Untracked: code/._NascentRNAdtPlotintronicPAS.sh
Untracked: code/._NascnetRNAdtPlotPAS.sh
Untracked: code/._NetSeq_fourthintronDT.sh
Untracked: code/._QTL2bed.py
Untracked: code/._QTL2bed_withstrand.py
Untracked: code/._SnakefilePAS
Untracked: code/._SnakefilefiltPAS
Untracked: code/._TESplots100bp.sh
Untracked: code/._TESplots150bp.sh
Untracked: code/._TESplots200bp.sh
Untracked: code/._Untitled
Untracked: code/._ZipandTabPheno.sh
Untracked: code/._aAPAqtl_nominal39ind.sh
Untracked: code/._apaQTLCorrectPvalMakeQQ.R
Untracked: code/._apaQTL_Nominal.sh
Untracked: code/._apaQTL_permuted.sh
Untracked: code/._assignNucIntonpeak2intronlocs.sh
Untracked: code/._assignTotIntronpeak2intronlocs.sh
Untracked: code/._bam2BW_5primemost.sh
Untracked: code/._bed2saf.py
Untracked: code/._bothFracDTplot1stintron.sh
Untracked: code/._bothFracDTplot4thintron.sh
Untracked: code/._bothFrac_FC.sh
Untracked: code/._callPeaksYL.py
Untracked: code/._chooseAnno2SAF.py
Untracked: code/._chooseSignalSite
Untracked: code/._chooseSignalSite.py
Untracked: code/._cluster.json
Untracked: code/._clusterPAS.json
Untracked: code/._clusterfiltPAS.json
Untracked: code/._codingdms2bed.py
Untracked: code/._config.yaml
Untracked: code/._config2.yaml
Untracked: code/._configOLD.yaml
Untracked: code/._convertNominal2SNPLOC.py
Untracked: code/._convertNumeric.py
Untracked: code/._correctNomeqtl.R
Untracked: code/._dag.pdf
Untracked: code/._eQTLgenestestedapa.py
Untracked: code/._encodeRNADTplots.sh
Untracked: code/._extractGenotypes.py
Untracked: code/._extractseqfromqtlfastq.py
Untracked: code/._fc2leafphen.py
Untracked: code/._filter5perc.R
Untracked: code/._filter5percPheno.py
Untracked: code/._filterpeaks.py
Untracked: code/._finalPASbed2SAF.py
Untracked: code/._fix4su304corr.py
Untracked: code/._fix4su604corr.py
Untracked: code/._fix4sukalisto.py
Untracked: code/._fixExandUnexeQTL
Untracked: code/._fixExandUnexeQTL.py
Untracked: code/._fixFChead.py
Untracked: code/._fixFChead_bothfrac.py
Untracked: code/._fixH3k12ac.py
Untracked: code/._fixRNAhead4corr.py
Untracked: code/._fixRNAkalisto.py
Untracked: code/._fixgroupedtranscript.py
Untracked: code/._fixhead_netseqfc.py
Untracked: code/._getAPAfromanyeQTL.py
Untracked: code/._getApapval4eqtl.py
Untracked: code/._getApapval4eqtl_unexp.py
Untracked: code/._getDownstreamIntronNuclear.py
Untracked: code/._getIntronDownstreamPAS.py
Untracked: code/._getIntronUpstreamPAS.py
Untracked: code/._getQTLalleles.py
Untracked: code/._getQTLfastq.sh
Untracked: code/._getUpstreamIntronNuclear.py
Untracked: code/._grouptranscripts.py
Untracked: code/._keep5perMAF.py
Untracked: code/._keepSNP_vcf.sh
Untracked: code/._make5percPeakbed.py
Untracked: code/._makeFileID.py
Untracked: code/._makePheno.py
Untracked: code/._makeSAFbothfrac5perc.py
Untracked: code/._makeSNP2rsidfile.py
Untracked: code/._makeeQTLempirical_unexp.py
Untracked: code/._makeeQTLempiricaldist.py
Untracked: code/._makegencondeTSSfile.py
Untracked: code/._mergeAllBam.sh
Untracked: code/._mergeBW_norm.sh
Untracked: code/._mergeBamNascent.sh
Untracked: code/._mergeByFracBam.sh
Untracked: code/._mergePeaks.sh
Untracked: code/._mnase1stintron.sh
Untracked: code/._mnaseDT_fourthintron.sh
Untracked: code/._namePeaks.py
Untracked: code/._netseqDTplot1stIntron.sh
Untracked: code/._netseqFC.sh
Untracked: code/._peak2PAS.py
Untracked: code/._peakFC.sh
Untracked: code/._pheno2countonly.R
Untracked: code/._processYRIgen.py
Untracked: code/._qtlRegionseq.sh
Untracked: code/._qtlsPvalOppFrac.py
Untracked: code/._quantassign2parsedpeak.py
Untracked: code/._removeXfromHmm.py
Untracked: code/._removeloc_pheno.py
Untracked: code/._runCorrectNomEqtl.sh
Untracked: code/._runHMMpermuteAPAqtls.sh
Untracked: code/._runHMMpermuteeQTLS.sh
Untracked: code/._runMakeEmpiricaleQTL_unexp.sh
Untracked: code/._runMakeeQTLempirical.sh
Untracked: code/._run_getApaPval4eqtl.sh
Untracked: code/._run_getapafromeQTL.py
Untracked: code/._run_getapafromeQTL.sh
Untracked: code/._run_getapapval4eqtl_unexp.sh
Untracked: code/._run_leafcutterDiffIso.sh
Untracked: code/._run_sepUsagephen.sh
Untracked: code/._run_sepgenobychrom.sh
Untracked: code/._selectNominalPvalues.py
Untracked: code/._sepUsagePhen.py
Untracked: code/._sepgenobychrom.py
Untracked: code/._snakemakePAS.batch
Untracked: code/._snakemakefiltPAS.batch
Untracked: code/._submit-snakemakePAS.sh
Untracked: code/._submit-snakemakefiltPAS.sh
Untracked: code/._subsetApanoteGene.py
Untracked: code/._subsetUnexplainedeQTLs.py
Untracked: code/._subset_diffisopheno.py
Untracked: code/._subsetpermAPAwithGenelist.py
Untracked: code/._subtrachfiveprimeUTR.sh
Untracked: code/._subtractExons.sh
Untracked: code/._subtractfiveprimeUTR.sh
Untracked: code/._tabixSNPS.sh
Untracked: code/._utrdms2saf.py
Untracked: code/.snakemake/
Untracked: code/APAqtl_nominal.err
Untracked: code/APAqtl_nominal.out
Untracked: code/APAqtl_nominal_39.err
Untracked: code/APAqtl_nominal_39.out
Untracked: code/APAqtl_nominal_nonNorm.err
Untracked: code/APAqtl_nominal_nonNorm.out
Untracked: code/APAqtl_permuted.err
Untracked: code/APAqtl_permuted.out
Untracked: code/ApaQTL_nominalNonnorm.sh
Untracked: code/BothFracDTPlot1stintron.err
Untracked: code/BothFracDTPlot1stintron.out
Untracked: code/BothFracDTPlot4stintron.err
Untracked: code/BothFracDTPlot4stintron.out
Untracked: code/BothFracDTPlotGeneRegions.err
Untracked: code/BothFracDTPlotGeneRegions.out
Untracked: code/BothFracDTPlotGeneRegions_norm.err
Untracked: code/BothFracDTPlotGeneRegions_norm.out
Untracked: code/BothFracDTPlotGeneRegions_normalized.sh
Untracked: code/DistPAS2Sig.py
Untracked: code/EncodeRNADTPlotGeneRegions.err
Untracked: code/EncodeRNADTPlotGeneRegions.out
Untracked: code/FC_NucintornUpandDown.sh
Untracked: code/FC_NucintronPASupandDown.err
Untracked: code/FC_NucintronPASupandDown.out
Untracked: code/FC_UTR.err
Untracked: code/FC_UTR.out
Untracked: code/FC_UTR.sh
Untracked: code/FC_intornUpandDownsteamPAS.sh
Untracked: code/FC_intronPASupandDown.err
Untracked: code/FC_intronPASupandDown.out
Untracked: code/FC_newPAS_olddata.err
Untracked: code/FC_newPAS_olddata.out
Untracked: code/FC_newPeaks_olddata.sh
Untracked: code/HMMpermuteTotal.py
Untracked: code/HmmPermute.p
Untracked: code/HmmPermute.py
Untracked: code/LC_samplegroups.py
Untracked: code/NascentDTPlotGeneRegions.err
Untracked: code/NascentDTPlotGeneRegions.out
Untracked: code/NascentDTPlotPAS.err
Untracked: code/NascentDTPlotPAS.out
Untracked: code/NascentDTPlotPAS_3utr.err
Untracked: code/NascentDTPlotPAS_3utr.out
Untracked: code/NascentDTPlotPAS_firstintron.err
Untracked: code/NascentDTPlotPAS_firstintron.out
Untracked: code/NascentDTPlotPAS_intron.err
Untracked: code/NascentDTPlotPAS_intron.out
Untracked: code/NascentDTPlotPAS_nuc.err
Untracked: code/NascentDTPlotPAS_nuc.out
Untracked: code/NascentDTPlotPAS_tot.err
Untracked: code/NascentDTPlotPAS_tot.out
Untracked: code/NascentRNAdtPlot.sh
Untracked: code/NascentRNAdtPlot3UTRPAS.sh
Untracked: code/NascentRNAdtPlotExcludeFirstintronicPAS.sh
Untracked: code/NascentRNAdtPlotFirstintronicPAS.sh
Untracked: code/NascentRNAdtPlotNucPAS.sh
Untracked: code/NascentRNAdtPlotTotPAS.sh
Untracked: code/NascentRNAdtPlotintronicPAS.sh
Untracked: code/NascnetRNAdtPlotPAS.sh
Untracked: code/NetSeq_fourthintronDT.sh
Untracked: code/QTL2bed.py
Untracked: code/QTL2bed_withstrand.py
Untracked: code/README.md
Untracked: code/Rplots.pdf
Untracked: code/TESplots100bp.err
Untracked: code/TESplots100bp.out
Untracked: code/TESplots100bp.sh
Untracked: code/TESplots150bp.err
Untracked: code/TESplots150bp.out
Untracked: code/TESplots150bp.sh
Untracked: code/TESplots200bp.err
Untracked: code/TESplots200bp.out
Untracked: code/TESplots200bp.sh
Untracked: code/Untitled
Untracked: code/Upstream100Bases_general.py
Untracked: code/ZipandTabPheno.sh
Untracked: code/aAPAqtl_nominal39ind.sh
Untracked: code/apaQTLCorrectPvalMakeQQ_4pc.R
Untracked: code/apaQTL_Nominal_4pc.sh
Untracked: code/apaQTL_permuted.4pc.sh
Untracked: code/apafacetboxplots.R
Untracked: code/apaqtlfacetboxplots.R
Untracked: code/assignNucIntonpeak2intronlocs.sh
Untracked: code/assignPeak2Intronicregion.err
Untracked: code/assignPeak2Intronicregion.out
Untracked: code/assignTotIntronpeak2intronlocs.sh
Untracked: code/assigntotPeak2Intronicregion.err
Untracked: code/assigntotPeak2Intronicregion.out
Untracked: code/bam2BW_5primemost.sh
Untracked: code/bam2bw.err
Untracked: code/bam2bw.out
Untracked: code/bam2bw_5primemost.err
Untracked: code/bam2bw_5primemost.out
Untracked: code/bothFracDTplot1stintron.sh
Untracked: code/bothFracDTplot4thintron.sh
Untracked: code/bothFrac_FC.err
Untracked: code/bothFrac_FC.out
Untracked: code/bothFrac_FC.sh
Untracked: code/codingdms2bed.py
Untracked: code/convertNominal2SNPLOC.py
Untracked: code/correctNomeqtl.R
Untracked: code/dag.pdf
Untracked: code/dagPAS.pdf
Untracked: code/dagfiltPAS.pdf
Untracked: code/eQTLgenestestedapa.py
Untracked: code/encodeRNADTplots.sh
Untracked: code/extractGenotypes.py
Untracked: code/extractseqfromqtlfastq.py
Untracked: code/fc2leafphen.py
Untracked: code/finalPASbed2SAF.py
Untracked: code/findbuginpeaks.R
Untracked: code/fix4su304corr.py
Untracked: code/fix4su604corr.py
Untracked: code/fix4sukalisto.py
Untracked: code/fixExandUnexeQTL
Untracked: code/fixExandUnexeQTL.py
Untracked: code/fixFChead_bothfrac.py
Untracked: code/fixFChead_summary.py
Untracked: code/fixH3k12ac.py
Untracked: code/fixRNAhead4corr.py
Untracked: code/fixRNAkalisto.py
Untracked: code/fixgroupedtranscript.py
Untracked: code/fixhead_netseqfc.py
Untracked: code/genotypesYRI.gen.proc.keep.vcf.log
Untracked: code/genotypesYRI.gen.proc.keep.vcf.recode.vcf
Untracked: code/get100upPAS.py
Untracked: code/getAPAfromanyeQTL.py
Untracked: code/getApapval4eqtl.py
Untracked: code/getApapval4eqtl_unexp.py
Untracked: code/getDownstreamIntronNuclear.py
Untracked: code/getIntronDownstreamPAS.py
Untracked: code/getIntronUpstreamPAS.py
Untracked: code/getQTLalleles.py
Untracked: code/getQTLfastq.sh
Untracked: code/getSeq100up.sh
Untracked: code/getUpstreamIntronNuclear.py
Untracked: code/getseq100up.err
Untracked: code/getseq100up.out
Untracked: code/grouptranscripts.err
Untracked: code/grouptranscripts.out
Untracked: code/grouptranscripts.py
Untracked: code/keep5perMAF.py
Untracked: code/keepSNP_vcf.sh
Untracked: code/log/
Untracked: code/makeSAFbothfrac5perc.py
Untracked: code/makeSNP2rsidfile.py
Untracked: code/makeeQTLempirical_unexp.py
Untracked: code/makeeQTLempiricaldist.py
Untracked: code/makegencondeTSSfile.py
Untracked: code/mergeBW_norm.sh
Untracked: code/mergeBWnorm.err
Untracked: code/mergeBWnorm.out
Untracked: code/mergeBamNacent.err
Untracked: code/mergeBamNacent.out
Untracked: code/mergeBamNascent.sh
Untracked: code/mnase1stintron.sh
Untracked: code/mnaseDTPlot1stintron.err
Untracked: code/mnaseDTPlot1stintron.out
Untracked: code/mnaseDTPlot4thintron.err
Untracked: code/mnaseDTPlot4thintron.out
Untracked: code/mnaseDT_fourthintron.sh
Untracked: code/netDTPlot4thintron.out
Untracked: code/netseqDTplot1stIntron.sh
Untracked: code/netseqFC.err
Untracked: code/netseqFC.out
Untracked: code/netseqFC.sh
Untracked: code/neyDTPlot4thintron.err
Untracked: code/processYRIgen.py
Untracked: code/qtlFacetBoxplots.err
Untracked: code/qtlFacetBoxplots.out
Untracked: code/qtlRegionseq.sh
Untracked: code/qtlsPvalOppFrac.py
Untracked: code/removeXfromHmm.py
Untracked: code/removeloc_pheno.py
Untracked: code/runCorrectNomEqtl.sh
Untracked: code/runCorrectNomeqtl.err
Untracked: code/runCorrectNomeqtl.out
Untracked: code/runHMMpermute.err
Untracked: code/runHMMpermute.out
Untracked: code/runHMMpermuteAPAqtls.sh
Untracked: code/runHMMpermuteeQTLS.sh
Untracked: code/runHMMpermuteeQTLs.err
Untracked: code/runHMMpermuteeQTLs.out
Untracked: code/runMakeEmpiricaleQTL_unexp.sh
Untracked: code/runMakeEmpiricaleQTLs.err
Untracked: code/runMakeEmpiricaleQTLs.out
Untracked: code/runMakeEmpiricaleQTLsunex.err
Untracked: code/runMakeEmpiricaleQTLsunex.out
Untracked: code/runMakeeQTLempirical.sh
Untracked: code/run_DistPAS2Sig.err
Untracked: code/run_DistPAS2Sig.out
Untracked: code/run_distPAS2Sig.sh
Untracked: code/run_getAPAfromanyeQTL.err
Untracked: code/run_getAPAfromanyeQTL.out
Untracked: code/run_getApaPval4eQTLs.err
Untracked: code/run_getApaPval4eQTLs.out
Untracked: code/run_getApaPval4eQTLsunexplained.err
Untracked: code/run_getApaPval4eQTLsunexplained.out
Untracked: code/run_getApaPval4eqtl.sh
Untracked: code/run_getapafromeQTL.sh
Untracked: code/run_getapapval4eqtl_unexp.sh
Untracked: code/run_leafcutterDiffIso.sh
Untracked: code/run_leafcutter_ds.err
Untracked: code/run_leafcutter_ds.out
Untracked: code/run_qtlFacetBoxplots.sh
Untracked: code/run_sepUsagephen.sh
Untracked: code/run_sepgenobychrom.err
Untracked: code/run_sepgenobychrom.out
Untracked: code/run_sepgenobychrom.sh
Untracked: code/run_sepusage.err
Untracked: code/run_sepusage.out
Untracked: code/selectNominalPvalues.py
Untracked: code/sepUsagePhen.py
Untracked: code/sepgenobychrom.py
Untracked: code/seqQTLfastq.err
Untracked: code/seqQTLfastq.out
Untracked: code/seqQTLregion.err
Untracked: code/seqQTLregion.out
Untracked: code/snakePASlog.out
Untracked: code/snakefiltPASlog.out
Untracked: code/subsetApanoteGene.py
Untracked: code/subsetUnexplainedeQTLs.py
Untracked: code/subset_diffisopheno.py
Untracked: code/subsetpermAPAwithGenelist.py
Untracked: code/subtract5UTR.err
Untracked: code/subtract5UTR.out
Untracked: code/subtractExons.err
Untracked: code/subtractExons.out
Untracked: code/subtractExons.sh
Untracked: code/subtractfiveprimeUTR.sh
Untracked: code/tabixSNPS.sh
Untracked: code/tabixSNPs.err
Untracked: code/tabixSNPs.out
Untracked: code/transcriptdm2bed.py
Untracked: code/utrdms2saf.py
Untracked: code/vcf_keepsnps.err
Untracked: code/vcf_keepsnps.out
Untracked: code/zipandtabPhen.err
Untracked: code/zipandtabPhen.out
Untracked: data/._.DS_Store
Untracked: data/ApaByEgene/
Untracked: data/CompareOldandNew/
Untracked: data/DTmatrix/
Untracked: data/DiffIso/
Untracked: data/EncodeRNA/
Untracked: data/ExampleQTLPlots/
Untracked: data/GeuvadisRNA/
Untracked: data/HMMqtls/
Untracked: data/Li_eQTLs/
Untracked: data/NascentRNA/
Untracked: data/PAS/
Untracked: data/QTLGenotypes/
Untracked: data/QTLoverlap/
Untracked: data/QTLoverlap_nonNorm/
Untracked: data/README.md
Untracked: data/RNAseq/
Untracked: data/Reads2UTR/
Untracked: data/SignalSiteFiles/
Untracked: data/ThirtyNineIndQtl_nominal/
Untracked: data/apaQTLNominal/
Untracked: data/apaQTLNominal_4pc/
Untracked: data/apaQTLPermuted/
Untracked: data/apaQTLPermuted_4pc/
Untracked: data/apaQTLs/
Untracked: data/assignedPeaks/
Untracked: data/bam/
Untracked: data/bam_clean/
Untracked: data/bam_waspfilt/
Untracked: data/bed_10up/
Untracked: data/bed_clean/
Untracked: data/bed_clean_sort/
Untracked: data/bed_waspfilter/
Untracked: data/bedsort_waspfilter/
Untracked: data/bothFrac_FC/
Untracked: data/bw_norm/
Untracked: data/eQTLs/
Untracked: data/exampleQTLs/
Untracked: data/fastq/
Untracked: data/filterPeaks/
Untracked: data/fourSU/
Untracked: data/h3k27ac/
Untracked: data/highdiffsiggenes.txt
Untracked: data/inclusivePeaks/
Untracked: data/inclusivePeaks_FC/
Untracked: data/intronRNAratio/
Untracked: data/intron_analysis/
Untracked: data/mergedBG/
Untracked: data/mergedBW_byfrac/
Untracked: data/mergedBW_norm/
Untracked: data/mergedBam/
Untracked: data/mergedbyFracBam/
Untracked: data/motifdistrupt/
Untracked: data/netseq/
Untracked: data/nonNorm_pheno/
Untracked: data/nuc_10up/
Untracked: data/nuc_10upclean/
Untracked: data/overlapeQTL_try2/
Untracked: data/overlapeQTLs/
Untracked: data/peakCoverage/
Untracked: data/peaks_5perc/
Untracked: data/phenotype/
Untracked: data/phenotype_5perc/
Untracked: data/sigDiffGenes.txt
Untracked: data/sort/
Untracked: data/sort_clean/
Untracked: data/sort_waspfilter/
Untracked: nohup.out
Untracked: output/._.DS_Store
Untracked: output/._meanCorrelationPhenotypes.svg
Untracked: output/dtPlots/
Untracked: output/fastqc/
Untracked: output/meanCorrelationPhenotypes.svg
Unstaged changes:
Modified: analysis/Readdistagainstfeatures.Rmd
Modified: analysis/index.Rmd
Modified: analysis/motifDisruption.Rmd
Modified: analysis/nascenttranscription.Rmd
Modified: analysis/nucintronicanalysis.Rmd
Modified: analysis/overlapapaqtlsandeqtls.Rmd
Modified: analysis/rna_netseq_h3k12ac.Rmd
Modified: code/BothFracDTPlotGeneRegions.sh
Modified: code/Snakefile
Deleted: code/Upstream10Bases_general.py
Modified: code/apaQTLCorrectPvalMakeQQ.R
Modified: code/apaQTL_Nominal.sh
Modified: code/apaQTL_permuted.sh
Modified: code/apaQTLsnake.err
Modified: code/bam2bw.sh
Modified: code/bed2saf.py
Modified: code/cluster.json
Modified: code/clusterfiltPAS.json
Modified: code/config.yaml
Modified: code/environment.yaml
Modified: code/makePheno.py
Deleted: code/test.txt
Note that any generated files, e.g. HTML, png, CSS, etc., are not included in this status report because it is ok for generated content to have uncommitted changes.
These are the previous versions of the R Markdown and HTML files. If you’ve configured a remote Git repository (see ?wflow_git_remote), click on the hyperlinks in the table below to view them.
| File | Version | Author | Date | Message |
|---|---|---|---|---|
| html | 6aa908e | brimittleman | 2019-06-12 | Build site. |
| Rmd | 16b1696 | brimittleman | 2019-06-12 | new genos |
| html | 38a75ec | brimittleman | 2019-06-04 | Build site. |
| html | 946ab10 | brimittleman | 2019-05-31 | Build site. |
| Rmd | e790bfa | brimittleman | 2019-05-31 | add all res by tot apa |
| html | d30d453 | brimittleman | 2019-05-30 | Build site. |
| Rmd | 1321989 | brimittleman | 2019-05-30 | add chromhmm analysis |
library(tidyverse)
── Attaching packages ─────────────────────────────────────────────────────────────── tidyverse 1.2.1 ──
✔ ggplot2 3.1.1 ✔ purrr 0.3.2
✔ tibble 2.1.1 ✔ dplyr 0.8.0.1
✔ tidyr 0.8.3 ✔ stringr 1.3.1
✔ readr 1.3.1 ✔ forcats 0.3.0
── Conflicts ────────────────────────────────────────────────────────────────── tidyverse_conflicts() ──
✖ dplyr::filter() masks stats::filter()
✖ dplyr::lag() masks stats::lag()
library(workflowr)
This is workflowr version 1.3.0
Run ?workflowr for help getting started
library(reshape2)
Attaching package: 'reshape2'
The following object is masked from 'package:tidyr':
smiths
The goal of this analysis is to see if there is a difference in the QTL chrom hmm locations between the total and nuclear set. I will resample with replacement the number of times for then number of QTLs I have. Then I will count how many QTLs are in each chromHMM region. I will plot these values and include error bars.
I want one script that will do the replacement, mapping to chromHMM, and append to a final dataframe. This dataframe will have a row for each category and a column for each sample. I can do this using a dictionary with the category as the keys and a list of values representing the number of snps in each catgory.
I will use pybedtools to overlap the snps with the ChromHMM categories.
The categories are in: /project2/gilad/briana/genome_anotation_data/GM12878.chromHMM.sort.bed
First I need to make bedfiles for each of the QTL lists.
python QTL2bed.py Total
python QTL2bed.py Nuclear
mkdir ../data/HMMqtls
sbatch runHMMpermuteAPAqtls.sh
chromHmm=read.table("../data/HMMqtls/chromHMM_regions.txt", col.names = c("HMMcat", "HMMname"), stringsAsFactors = F)
nucQTLs=read.table("../data/apaQTLs/Nuclear_apaQTLs4pc_5fdr.bed", header = T)
totQTLs=read.table("../data/apaQTLs/Total_apaQTLs4pc_5fdr.bed", header = T)
TotalRes=read.table("../data/HMMqtls/TotalAPAqtls.HMM1000times.txt", stringsAsFactors = F, col.names =c("HMMcat", seq(1,1000)))
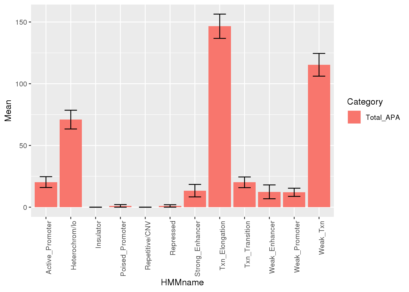
TotalResM=melt(TotalRes, id.vars="HMMcat") %>%inner_join(chromHmm, by="HMMcat") %>% group_by(HMMname) %>% summarise(Mean=mean(value), SD=sd(value)) %>% mutate(Category="Total_APA")
TotalResMProp=melt(TotalRes, id.vars="HMMcat") %>%inner_join(chromHmm, by="HMMcat") %>% mutate(nQTL= nrow(totQTLs), propQTL=value/nQTL)%>% group_by(HMMname) %>% summarise(Mean=mean(propQTL), SD=sd(propQTL)) %>% mutate(Category="Total_APA")
ggplot(TotalResM, aes(x=HMMname, y=Mean, fill=Category)) + geom_bar(stat="identity")+ geom_errorbar(aes(ymin=Mean-SD, ymax=Mean+SD),width=.5) + theme(axis.text.x=element_text(angle=90, hjust=1))

ggplot(TotalResMProp, aes(x=HMMname, y=Mean, fill=Category)) + geom_bar(stat="identity")+ geom_errorbar(aes(ymin=Mean-SD, ymax=Mean+SD),width=.5) + theme(axis.text.x=element_text(angle=90, hjust=1))

NuclearRes=read.table("../data/HMMqtls/NuclearAPAqtls.HMM1000times.txt", stringsAsFactors = F, col.names =c("HMMcat", seq(1,1000)))
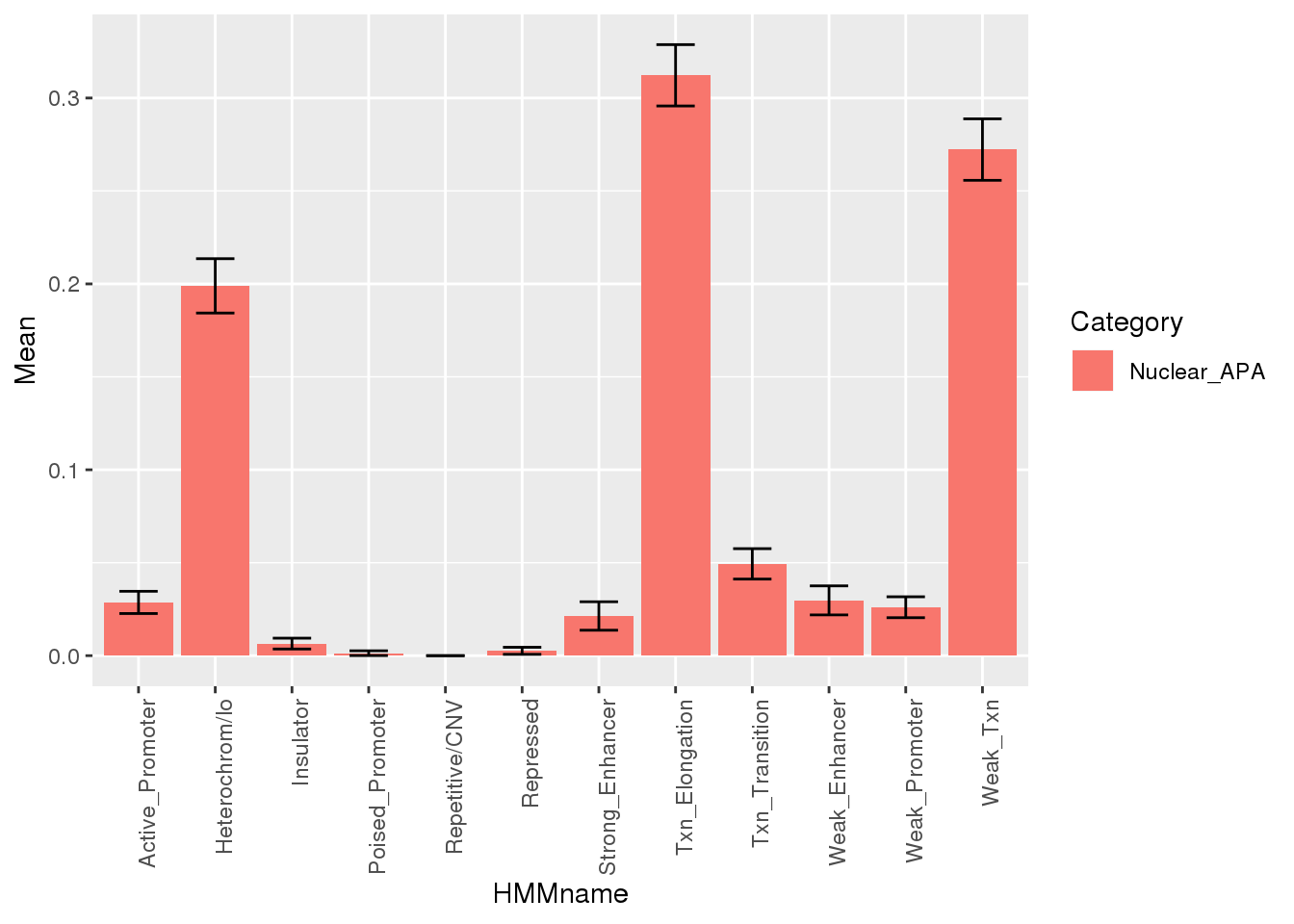
NuclearResM=melt(NuclearRes, id.vars="HMMcat") %>%inner_join(chromHmm, by="HMMcat") %>% group_by(HMMname) %>% summarise(Mean=mean(value), SD=sd(value)) %>% mutate(Category="Nuclear_APA")
NuclearResMProp=melt(NuclearRes, id.vars="HMMcat") %>%inner_join(chromHmm, by="HMMcat") %>% mutate(nQTL= nrow(nucQTLs), propQTL=value/nQTL)%>% group_by(HMMname) %>% summarise(Mean=mean(propQTL), SD=sd(propQTL)) %>% mutate(Category="Nuclear_APA")
ggplot(NuclearResM, aes(x=HMMname, y=Mean, fill=Category)) + geom_bar(stat="identity")+ geom_errorbar(aes(ymin=Mean-SD, ymax=Mean+SD),width=.5) + theme(axis.text.x=element_text(angle=90, hjust=1))

ggplot(NuclearResMProp, aes(x=HMMname, y=Mean, fill=Category)) + geom_bar(stat="identity")+ geom_errorbar(aes(ymin=Mean-SD, ymax=Mean+SD),width=.5) + theme(axis.text.x=element_text(angle=90, hjust=1))

Next run this for eQTLs as well
Run for explained and unexplained eQTLs:
explained=read.table("../data/Li_eQTLs/explained_FDR10.SNPs.noChr.txt", col.names = c("SNPchr", "SNPend")) %>% mutate(SNPstart=as.integer(SNPend)-1, gene="NA", score=".", strand="+") %>% dplyr::select(SNPchr, SNPstart, SNPend, gene, score, strand)
write.table(explained, file="../data/Li_eQTLs/explained_FDR10.SNPs.noChr.bed", col.names = T,row.names = F, quote = F, sep="\t")
unexplained=read.table("../data/Li_eQTLs/unexplained_FDR10.SNPs.noChr.txt", col.names = c("SNPchr", "SNPend")) %>% mutate(SNPstart=as.integer(SNPend)-1, gene="NA", score=".", strand="+") %>% dplyr::select(SNPchr, SNPstart, SNPend, gene, score, strand)
write.table(unexplained, file="../data/Li_eQTLs/unexplained_FDR10.SNPs.noChr.bed", col.names = T,row.names = F, quote = F, sep="\t")
sbatch runHMMpermuteeQTLS.sh
Explained Res
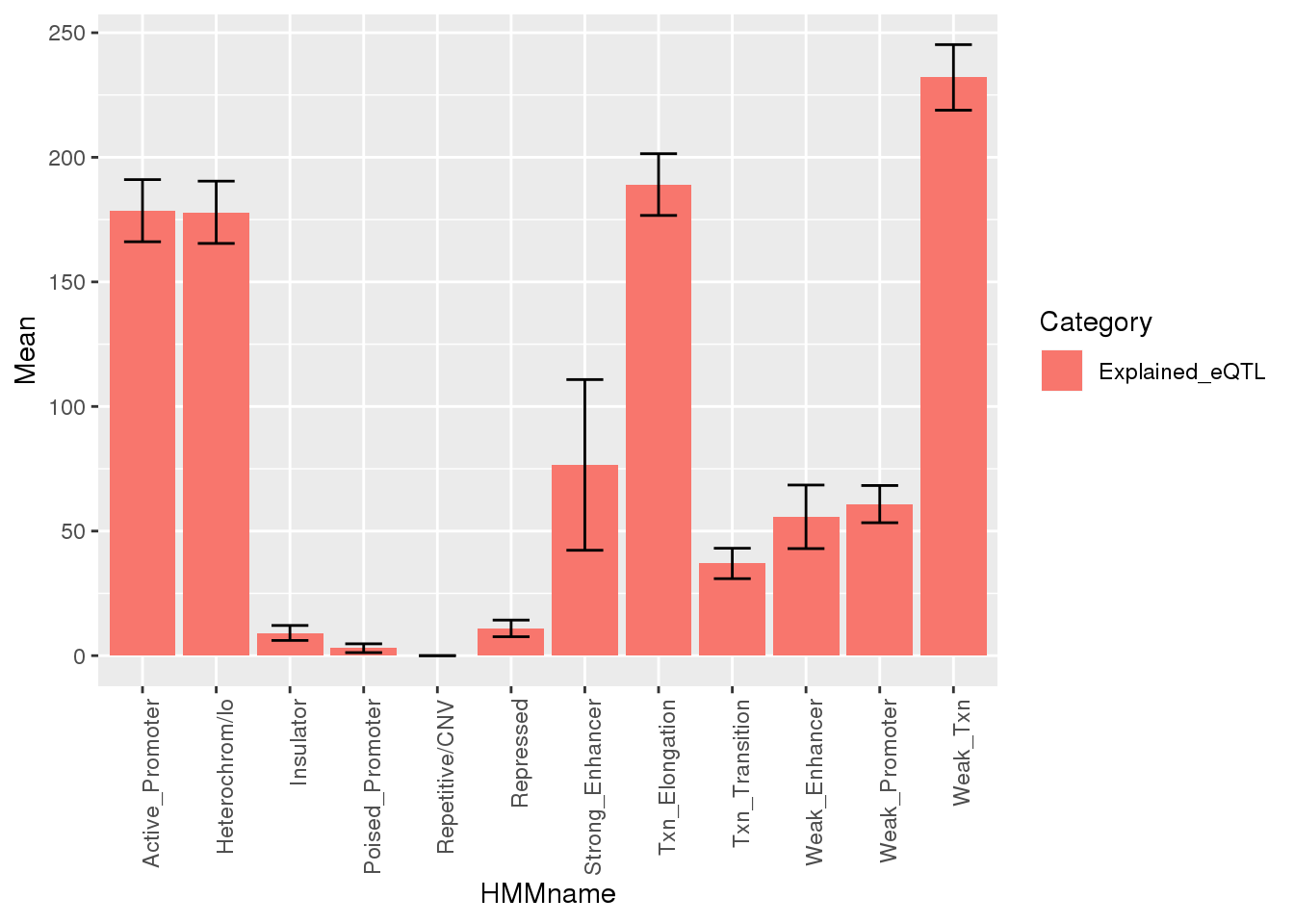
explainedRes=read.table("../data/HMMqtls/explainedQTLs.HMM1000times.txt", stringsAsFactors = F, col.names =c("HMMcat", seq(1,1000)))
explainedResM=melt(explainedRes, id.vars="HMMcat") %>% inner_join(chromHmm, by="HMMcat") %>% group_by(HMMname) %>% summarise(Mean=mean(value), SD=sd(value)) %>% mutate(Category="Explained_eQTL")
explainedResMProp=melt(explainedRes, id.vars="HMMcat") %>%inner_join(chromHmm, by="HMMcat") %>% mutate(nQTL= nrow(explained), propQTL=value/nQTL)%>% group_by(HMMname) %>% summarise(Mean=mean(propQTL), SD=sd(propQTL)) %>% mutate(Category="Explained_eQTL")
ggplot(explainedResM, aes(x=HMMname, y=Mean, fill=Category)) + geom_bar(stat="identity")+ geom_errorbar(aes(ymin=Mean-SD, ymax=Mean+SD),width=.5) + theme(axis.text.x=element_text(angle=90, hjust=1))

Unexplained Res
unexplainedRes=read.table("../data/HMMqtls/unexplainedeQTLs.HMM1000times.txt", stringsAsFactors = F, col.names =c("HMMcat", seq(1,1000)))
unexplainedResM=melt(unexplainedRes, id.vars="HMMcat") %>%inner_join(chromHmm, by="HMMcat") %>% group_by(HMMname) %>% summarise(Mean=mean(value), SD=sd(value)) %>% mutate(Category="Unexplained_eQTL")
unexplainedResMProp=melt(unexplainedRes, id.vars="HMMcat") %>%inner_join(chromHmm, by="HMMcat") %>% mutate(nQTL= nrow(unexplained), propQTL=value/nQTL)%>% group_by(HMMname) %>% summarise(Mean=mean(propQTL), SD=sd(propQTL)) %>% mutate(Category="Unexplained_eQTL")
ggplot(unexplainedResM, aes(x=HMMname, y=Mean, fill=Category)) + geom_bar(stat="identity")+ geom_errorbar(aes(ymin=Mean-SD, ymax=Mean+SD),width=.5) + theme(axis.text.x=element_text(angle=90, hjust=1))

AllQTLs=as.data.frame(rbind(NuclearResM,TotalResM,explainedResM,unexplainedResM))
AllQTLsProp=as.data.frame(rbind(NuclearResMProp,TotalResMProp,explainedResMProp,unexplainedResMProp))
ggplot(AllQTLs, aes(x=HMMname, y=Mean, fill=Category)) + geom_bar(stat="identity", position="dodge")+ geom_errorbar(aes(ymin=Mean-SD, ymax=Mean+SD),width=.5, position = position_dodge(0.75)) + theme(axis.text.x=element_text(angle=90, hjust=1))+labs(y="Number of QTLs", x="ChromHMM Category", title="ChromHMM locations for all QTLs")

ggplot(AllQTLsProp, aes(x=HMMname, y=Mean, fill=Category)) + geom_bar(stat="identity", position="dodge")+ geom_errorbar(aes(ymin=Mean-SD, ymax=Mean+SD),width=.5, position = position_dodge(0.75)) + theme(axis.text.x=element_text(angle=90, hjust=1))+labs(y="Proportion of QTLs", x="ChromHMM Category", title="ChromHMM locations for all QTLs")

Plot the 95% confidence interval:
unexplainedResMPropQuant=melt(unexplainedRes, id.vars="HMMcat") %>%inner_join(chromHmm, by="HMMcat") %>% mutate(nQTL= nrow(unexplained), propQTL=value/nQTL)%>% group_by(HMMname) %>% summarise(list(enframe(quantile(propQTL, probs=c(0.25,0.5,0.75))))) %>% unnest() %>% spread(name, value)%>% mutate(category="UnexplainedeQTL")
colnames(unexplainedResMPropQuant)=c("HMMname", "twentyfive", "fifty", "seventyfive", "category")
explainedResMPropQuant=melt(explainedRes, id.vars="HMMcat") %>%inner_join(chromHmm, by="HMMcat") %>% mutate(nQTL= nrow(explained), propQTL=value/nQTL)%>% group_by(HMMname) %>% summarise(list(enframe(quantile(propQTL, probs=c(0.25,0.5,0.75))))) %>% unnest() %>% spread(name, value)%>% mutate(category="ExplainedeQTL")
colnames(explainedResMPropQuant)=c("HMMname", "twentyfive", "fifty", "seventyfive", "category")
NuclearResMPropQuant=melt(NuclearRes, id.vars="HMMcat") %>%inner_join(chromHmm, by="HMMcat") %>% mutate(nQTL= nrow(nucQTLs), propQTL=value/nQTL)%>% group_by(HMMname) %>% summarise(list(enframe(quantile(propQTL, probs=c(0.25,0.5,0.75))))) %>% unnest() %>% spread(name, value)%>% mutate(category="NuclearApa")
colnames(NuclearResMPropQuant)=c("HMMname", "twentyfive", "fifty", "seventyfive", "category")
TotalResMPropQuant=melt(TotalRes, id.vars="HMMcat") %>%inner_join(chromHmm, by="HMMcat") %>% mutate(nQTL= nrow(totQTLs), propQTL=value/nQTL)%>% group_by(HMMname) %>% summarise(list(enframe(quantile(propQTL, probs=c(0.25,0.5,0.75))))) %>% unnest() %>% spread(name, value) %>% mutate(category="TotalApa")
colnames(TotalResMPropQuant)=c("HMMname", "twentyfive", "fifty", "seventyfive", "category")
AllQTLsProp95=as.data.frame(rbind(NuclearResMPropQuant,TotalResMPropQuant,unexplainedResMPropQuant,explainedResMPropQuant))
ggplot(AllQTLsProp95, aes(x=HMMname, y=fifty, fill=category)) + geom_bar(stat="identity", position="dodge")+ geom_errorbar(aes(ymin=twentyfive, ymax=seventyfive),width=.5, position = position_dodge(0.75)) + theme(axis.text.x=element_text(angle=90, hjust=1))+labs(y="Proportion of QTLs", x="ChromHMM Category", title="ChromHMM locations for all QTLs")

Plot only the total and nuclear:
APAqtlsProp95=as.data.frame(rbind(NuclearResMPropQuant,TotalResMPropQuant))
ggplot(APAqtlsProp95, aes(x=HMMname, y=fifty, fill=category)) + geom_bar(stat="identity", position="dodge")+ geom_errorbar(aes(ymin=twentyfive, ymax=seventyfive),width=.5, position = position_dodge(0.75)) + theme(axis.text.x=element_text(angle=90, hjust=1))+labs(y="Proportion of QTLs", x="ChromHMM Category", title="ChromHMM locations for apaQTLs") +scale_fill_manual(values=c("deepskyblue3","darkviolet"))

sessionInfo()
R version 3.5.1 (2018-07-02)
Platform: x86_64-pc-linux-gnu (64-bit)
Running under: Scientific Linux 7.4 (Nitrogen)
Matrix products: default
BLAS/LAPACK: /software/openblas-0.2.19-el7-x86_64/lib/libopenblas_haswellp-r0.2.19.so
locale:
[1] LC_CTYPE=en_US.UTF-8 LC_NUMERIC=C
[3] LC_TIME=en_US.UTF-8 LC_COLLATE=en_US.UTF-8
[5] LC_MONETARY=en_US.UTF-8 LC_MESSAGES=en_US.UTF-8
[7] LC_PAPER=en_US.UTF-8 LC_NAME=C
[9] LC_ADDRESS=C LC_TELEPHONE=C
[11] LC_MEASUREMENT=en_US.UTF-8 LC_IDENTIFICATION=C
attached base packages:
[1] stats graphics grDevices utils datasets methods base
other attached packages:
[1] reshape2_1.4.3 workflowr_1.3.0 forcats_0.3.0 stringr_1.3.1
[5] dplyr_0.8.0.1 purrr_0.3.2 readr_1.3.1 tidyr_0.8.3
[9] tibble_2.1.1 ggplot2_3.1.1 tidyverse_1.2.1
loaded via a namespace (and not attached):
[1] Rcpp_1.0.0 cellranger_1.1.0 pillar_1.3.1 compiler_3.5.1
[5] git2r_0.25.2 plyr_1.8.4 tools_3.5.1 digest_0.6.18
[9] lubridate_1.7.4 jsonlite_1.6 evaluate_0.12 nlme_3.1-137
[13] gtable_0.2.0 lattice_0.20-38 pkgconfig_2.0.2 rlang_0.3.1
[17] cli_1.0.1 rstudioapi_0.10 yaml_2.2.0 haven_1.1.2
[21] withr_2.1.2 xml2_1.2.0 httr_1.3.1 knitr_1.20
[25] hms_0.4.2 generics_0.0.2 fs_1.2.6 rprojroot_1.3-2
[29] grid_3.5.1 tidyselect_0.2.5 glue_1.3.0 R6_2.3.0
[33] readxl_1.1.0 rmarkdown_1.10 modelr_0.1.2 magrittr_1.5
[37] whisker_0.3-2 backports_1.1.2 scales_1.0.0 htmltools_0.3.6
[41] rvest_0.3.2 assertthat_0.2.0 colorspace_1.3-2 labeling_0.3
[45] stringi_1.2.4 lazyeval_0.2.1 munsell_0.5.0 broom_0.5.1
[49] crayon_1.3.4