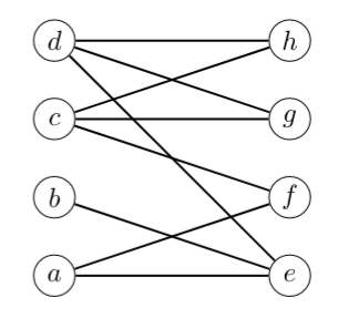
{ "cells": [ { "cell_type": "markdown", "metadata": {}, "source": [ "# PLNE des couplages dans un graphe biparti\n", "\n", "Trouvons un couplage de taille maximum dans le graphe biparti suivant, à l'aide d'un PLNE :\n", "
" ] }, { "cell_type": "code", "execution_count": 35, "metadata": {}, "outputs": [], "source": [ "import mip\n", "\n", "m = mip.Model()\n", "V = \"abcdefgh\"\n", "E = [(\"d\", \"h\"), (\"d\", \"g\"), (\"d\", \"f\"), (\"d\", \"e\"), (\"c\", \"h\"), (\"c\", \"g\"),\n", " (\"c\", \"f\"), (\"b\", \"e\"), (\"a\", \"f\"), (\"a\", \"e\")]\n", "x = {e: m.add_var(name=f\"x_{e[0]}{e[1]}\") for e in E}\n", "m.objective = mip.maximize(mip.xsum(x[e] for e in E))" ] }, { "cell_type": "code", "execution_count": 38, "metadata": {}, "outputs": [], "source": [ "for v in V:\n", " Ev = [e for e in E if v in e] # liste des arêtes contenant v\n", " m += mip.xsum(x[e] for e in Ev) <= 1" ] }, { "cell_type": "code", "execution_count": 39, "metadata": {}, "outputs": [ { "data": { "text/plain": [ "" ] }, "execution_count": 39, "metadata": {}, "output_type": "execute_result" } ], "source": [ "m.optimize(max_seconds=300)" ] }, { "cell_type": "code", "execution_count": 40, "metadata": {}, "outputs": [ { "data": { "text/plain": [ "4.0" ] }, "execution_count": 40, "metadata": {}, "output_type": "execute_result" } ], "source": [ "m.objective_value" ] }, { "cell_type": "code", "execution_count": 41, "metadata": {}, "outputs": [ { "name": "stdout", "output_type": "stream", "text": [ "d -- g\n", "c -- h\n", "b -- e\n", "a -- f\n" ] } ], "source": [ "for e in E:\n", " if x[e].x > 0:\n", " print(f\"{e[0]} -- {e[1]}\")" ] }, { "cell_type": "code", "execution_count": 42, "metadata": {}, "outputs": [ { "name": "stdout", "output_type": "stream", "text": [ "constr(0): +1.0 x_af +1.0 x_ae <= 1.0\n", "1.0\n", "constr(1): +1.0 x_be <= 1.0\n", "1.0\n", "constr(2): +1.0 x_ch +1.0 x_cg +1.0 x_cf <= 1.0\n", "1.0\n", "constr(3): +1.0 x_dh +1.0 x_dg +1.0 x_df +1.0 x_de <= 1.0\n", "1.0\n", "constr(4): +1.0 x_de +1.0 x_be +1.0 x_ae <= 1.0\n", "-0.0\n", "constr(5): +1.0 x_df +1.0 x_cf +1.0 x_af <= 1.0\n", "-0.0\n", "constr(6): +1.0 x_dg +1.0 x_cg <= 1.0\n", "-0.0\n", "constr(7): +1.0 x_dh +1.0 x_ch <= 1.0\n", "-0.0\n" ] } ], "source": [ "for c in m.constrs: # valeurs des variables duales\n", " print(c)\n", " print(c.pi)" ] } ], "metadata": { "interpreter": { "hash": "31f2aee4e71d21fbe5cf8b01ff0e069b9275f58929596ceb00d14d90e3e16cd6" }, "kernelspec": { "display_name": "Python 3.9.2 64-bit", "name": "python3" }, "language_info": { "codemirror_mode": { "name": "ipython", "version": 3 }, "file_extension": ".py", "mimetype": "text/x-python", "name": "python", "nbconvert_exporter": "python", "pygments_lexer": "ipython3", "version": "3.8.10" }, "orig_nbformat": 4 }, "nbformat": 4, "nbformat_minor": 2 }