--- title: "Presenting Regression Analyses in R" author: "Kevin Donovan" date: "`r format(Sys.time(), '%B %d, %Y')`" output: slidy_presentation --- ```{r setup, include=FALSE, echo=FALSE} knitr::opts_chunk$set(echo=FALSE, message = FALSE, warning = FALSE, fig.width = 8, fig.height = 4) library(tidyverse) library(shiny) library(rmarkdown) library(broom) library(gtsummary) library(flextable) library(ggpubr) library(nlme) library(lme4) library(broom.mixed) library(GGally) library(corrplot) library(ggcorrplot) ``` ```{r} brain_data <- read_csv("../Data/IBIS_brain_data_ex.csv") ``` # Introduction - We have discussed how to do regression analyses - Presenting analyses to communicate results just as important - Maximizes the impact of your work - We will use packages we have discussed before: `ggplot`, `gtsummary`, etc. - As well as new ones: `GGally`, `corrplot`, etc.
missing
Tidyverse
# Correlation analyses - Correlation analyses often presented using boring tables ```{r} brain_data_v24 <- brain_data %>% select(names(brain_data)[grepl("V24", names(brain_data))]) %>% select(EACSF_V24:RightAmygdala_V24 ) cor(x=brain_data_v24, method="pearson", use="pairwise.complete.obs") ``` # Correlation analyses - Instead, let's use visualizations! ```{r fig.width = 7, fig.height = 6} brain_data_v24 <- brain_data %>% select(names(brain_data)[grepl("V24", names(brain_data))]) %>% select(EACSF_V24:RightAmygdala_V24 ) p.mat <- cor_pmat(brain_data_v24) ggcorrplot(cor(x=brain_data_v24, method="pearson", use="pairwise.complete.obs"), hc.order = TRUE, type = "lower", lab = TRUE, outline.col = "white", p.mat = p.mat) corrplot(cor(x=brain_data_v24, method="pearson", use="pairwise.complete.obs")) ``` # Correlation analyses - Can also add in visualizations which look at distributions too ```{r fig.width = 10, fig.height = 8} brain_data_v24 <- brain_data %>% select(c(names(brain_data)[grepl("V24", names(brain_data))], "RiskGroup")) %>% select(EACSF_V24:RightAmygdala_V24, RiskGroup) ggpairs(brain_data_v24, columns = names(brain_data_v24)[!grepl("RiskGroup", names(brain_data_v24))], ggplot2::aes(colour=RiskGroup, alpha=0.25)) + theme(axis.text.x = element_text(angle = 90, vjust = 0.5, hjust=1)) ``` # Summary statistics - Can create easily formatted summary stats tables **in code** ```{r fig.width = 10, fig.height = 8} tbl_summary(data=brain_data_v24, by=RiskGroup, missing_text = "Missing", statistic = list(all_continuous() ~ "{mean} ({sd})")) %>% add_p(list(all_continuous() ~ "aov", all_categorical() ~ "chisq")) %>% add_n() %>% as_flex_table() %>% bold(bold = TRUE, part = "header") %>% autofit() ``` # Regression summaries - Let's model 24 month MSEL expressive language scores as Amygdala volume and ASD diagnosis at 24 months - Common way to look at results: `summary` ```{r} lm_fit <- lm(V24_MSEL_EL_ae~RiskGroup+RightAmygdala_V24+ RiskGroup*RightAmygdala_V24, data=brain_data) summary(lm_fit) ``` - Not very eye catching # Regression summaries: tables - Let's start with improved tables containing this same information - Remade table: `tbl_regression` - Can also be used with generalized linear models ```{r} tbl_regression(lm_fit, pvalue_fun = ~style_pvalue(.x, digits = 3), estimate_fun = ~style_number(.x, digits = 3)) %>% as_flex_table() %>% autofit() ``` # Regression summaries: tables - Can create from scratch using `broom` and `flex_table` packages - Can also be used with mixed models using `broom.mixed` ```{r} summary(lm_fit) tidy(lm_fit) ``` # Regression summaries: visuals - Tables tell detailed info, but visuals may make more impact - Ex. group-specific lines of best fit ```{r} lm_fit_data <- model.frame(lm_fit) lm_fit_data$pred_y <- predict(lm_fit, newdata = lm_fit_data) ggplot(data=lm_fit_data, mapping=aes(x=RightAmygdala_V24, y=V24_MSEL_EL_ae, color=RiskGroup))+ geom_point()+ geom_line(mapping=aes(y=pred_y), size=1.5)+ theme_bw() ``` # Regression summaries: visuals - Least square means (LS means) are a common way of presenting results in interpretable manner - Can be computed for cross-sectional regression and mixed models - How are they computed? $$ \begin{align} &MSEL = \beta_0+\beta_1Amyg+\beta_2HRneg+\beta_3LRneg+\beta_4HRneg*Amyg+\beta_5LRneg*Amyg=\epsilon \\ &LSM(HRneg)=\beta_0+\beta_2+\beta_1x+\beta_4x \text{ where x is fixed value, e.g. mean Amygfala} \\ &LSM(LRneg)=\beta_0+\beta_3+\beta_1x+\beta_5x\\ &LSM(HRASD)=\beta_0+\beta_1x \end{align} $$ - **Comparing group means** controlling for other covariates in model - **Note**: not the best metric when interaction terms are included # Regression summaries: visuals - LS means can be computed using `lsmeans` function - Can then plot using `ggplot`
missing
Tidyverse
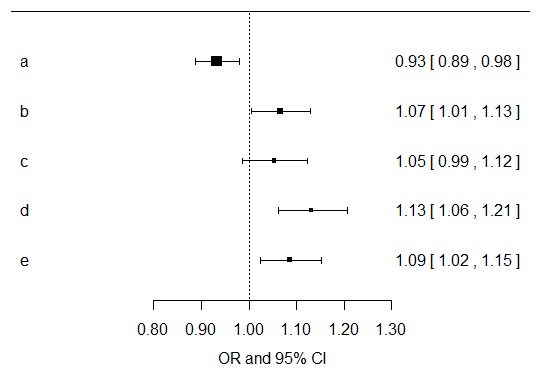
# Regression summaries: visuals - Forest plots are one way of visualizing ``beta'' estimates and confidence intervals - Very useful when you don't have interaction terms and have many main effects
missing