{
"cells": [
{
"cell_type": "markdown",
"metadata": {
"nbsphinx": "hidden"
},
"source": [
"# Quantization of Signals\n",
"\n",
"*This jupyter notebook is part of a [collection of notebooks](../index.ipynb) on various topics of Digital Signal Processing. Please direct questions and suggestions to [Sascha.Spors@uni-rostock.de](mailto:Sascha.Spors@uni-rostock.de).*"
]
},
{
"cell_type": "markdown",
"metadata": {},
"source": [
"## Spectral Shaping of the Quantization Noise\n",
"\n",
"The quantized signal $x_Q[k]$ can be expressed by the continuous amplitude signal $x[k]$ and the quantization error $e[k]$ as\n",
"\n",
"\\begin{equation}\n",
"x_Q[k] = \\mathcal{Q} \\{ x[k] \\} = x[k] + e[k]\n",
"\\end{equation}\n",
"\n",
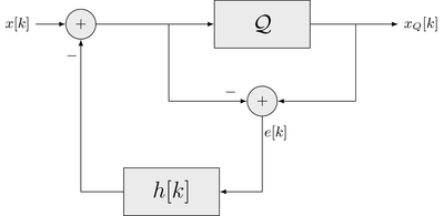
"According to the [introduced model](linear_uniform_quantization_error.ipynb#Model-for-the-Quantization-Error), the quantization noise can be modeled as uniformly distributed white noise. Hence, the noise is distributed over the entire frequency range. The basic concept of [noise shaping](https://en.wikipedia.org/wiki/Noise_shaping) is a feedback of the quantization error to the input of the quantizer. This way the spectral characteristics of the quantization noise can be modified, i.e. spectrally shaped. Introducing a generic filter $h[k]$ into the feedback loop yields the following structure\n",
"\n",
"\n",
"\n",
"The quantized signal can be deduced from the block diagram above as\n",
"\n",
"\\begin{equation}\n",
"x_Q[k] = \\mathcal{Q} \\{ x[k] - e[k] * h[k] \\} = x[k] + e[k] - e[k] * h[k]\n",
"\\end{equation}\n",
"\n",
"where the additive noise model from above has been introduced and it has been assumed that the impulse response $h[k]$ is normalized such that the magnitude of $e[k] * h[k]$ is below the quantization step $Q$. The overall quantization error is then\n",
"\n",
"\\begin{equation}\n",
"e_H[k] = x_Q[k] - x[k] = e[k] * (\\delta[k] - h[k])\n",
"\\end{equation}\n",
"\n",
"The power spectral density (PSD) of the quantization error with noise shaping is calculated to\n",
"\n",
"\\begin{equation}\n",
"\\Phi_{e_H e_H}(\\mathrm{e}^{\\,\\mathrm{j}\\,\\Omega}) = \\Phi_{ee}(\\mathrm{e}^{\\,\\mathrm{j}\\,\\Omega}) \\cdot \\left| 1 - H(\\mathrm{e}^{\\,\\mathrm{j}\\,\\Omega}) \\right|^2\n",
"\\end{equation}\n",
"\n",
"Hence the PSD $\\Phi_{ee}(\\mathrm{e}^{\\,\\mathrm{j}\\,\\Omega})$ of the quantizer without noise shaping is weighted by $| 1 - H(\\mathrm{e}^{\\,\\mathrm{j}\\,\\Omega}) |^2$. Noise shaping allows a spectral modification of the quantization error. The desired shaping depends on the application scenario. For some applications, high-frequency noise is less disturbing as low-frequency noise."
]
},
{
"cell_type": "markdown",
"metadata": {},
"source": [
"### Example - First-Order Noise Shaping\n",
"\n",
"If the feedback of the error signal is delayed by one sample we get with $h[k] = \\delta[k-1]$\n",
"\n",
"\\begin{equation}\n",
"\\Phi_{e_H e_H}(\\mathrm{e}^{\\,\\mathrm{j}\\,\\Omega}) = \\Phi_{ee}(\\mathrm{e}^{\\,\\mathrm{j}\\,\\Omega}) \\cdot \\left| 1 - \\mathrm{e}^{\\,-\\mathrm{j}\\,\\Omega} \\right|^2\n",
"\\end{equation}\n",
"\n",
"For linear uniform quantization $\\Phi_{ee}(\\mathrm{e}^{\\,\\mathrm{j}\\,\\Omega}) = \\sigma_e^2$ is constant. Hence, the spectral shaping constitutes a high-pass characteristic of first order. The following simulation evaluates the noise shaping quantizer of first order."
]
},
{
"cell_type": "code",
"execution_count": 1,
"metadata": {},
"outputs": [
{
"name": "stdout",
"output_type": "stream",
"text": [
"SNR = 45.2 dB\n"
]
},
{
"data": {
"application/pdf": "JVBERi0xLjQKJazcIKu6CjEgMCBvYmoKPDwgL1BhZ2VzIDIgMCBSIC9UeXBlIC9DYXRhbG9nID4+CmVuZG9iago4IDAgb2JqCjw8IC9FeHRHU3RhdGUgNCAwIFIgL0ZvbnQgMyAwIFIgL1BhdHRlcm4gNSAwIFIKL1Byb2NTZXQgWyAvUERGIC9UZXh0IC9JbWFnZUIgL0ltYWdlQyAvSW1hZ2VJIF0gL1NoYWRpbmcgNiAwIFIKL1hPYmplY3QgNyAwIFIgPj4KZW5kb2JqCjEwIDAgb2JqCjw8IC9Bbm5vdHMgWyBdIC9Db250ZW50cyA5IDAgUgovR3JvdXAgPDwgL0NTIC9EZXZpY2VSR0IgL1MgL1RyYW5zcGFyZW5jeSAvVHlwZSAvR3JvdXAgPj4KL01lZGlhQm94IFsgMCAwIDYxMy4zMDYyNSAzMzcuMDY4NzUgXSAvUGFyZW50IDIgMCBSIC9SZXNvdXJjZXMgOCAwIFIKL1R5cGUgL1BhZ2UgPj4KZW5kb2JqCjkgMCBvYmoKPDwgL0ZpbHRlciAvRmxhdGVEZWNvZGUgL0xlbmd0aCAxMSAwIFIgPj4Kc3RyZWFtCnicvVpNcxs3Er3Pr8BRORBC46uBo11OvLWXTWLV7iUXRaFlqiwp+vC6Kr8+D5ghpmfED49TolSqIp8wje6Hfg00SFI3HalrZdQN/r4qUu/xd90ZvLvtIjntTLQB7z6Ld86xNjFxAGom7z513cfu/A1MPOGZ913nk6b+GdbBOwyCWRPn4GcJktc8oOPjAqyTPKiXpkNIyjJrqx7X6n/qTp2/scUTq/6NqBChTojR6JgN5Wg4ebh4/m79/83V+tf3b9XV005/dzrRfeh+UQ/bGQw4FDOARSBHjHlttrbeYhG+dm8v1PlPpMioi4+dN5qCIwy0VuegLv7ozow2P6iLG/XjRZ37VQggF3UmzyZJryW6kITjBg8TQTbpHCkkZ31wEzbCq7NhbdBsHcUonZfoQjaOGzzMhiXWzMZ48tlEwQadIDdKsMjJWUZLdCEbxw0eZgPlSAd4mjO7Ep5g4/VzwxvUQ29MchN9C3RpuThq8AgbOWiXYg6cE5Fgw54gN3y2mnwKnibOC3QpG0cNHimgyWvKGBitjX7CxuvnRkgG08Wcs3ReogvZOG7wMBuBnTbGJfaeiQUbbsyNBzxm1MpgemfdwErWllPZhq5uYbErw+CaKSNNe6FjPwDzrd6tby7/++XD5d3T6j+36+tL9e6++6X8vlrmfesR47u3bK/jC1u7anNAGM5hXetp6FQ7djMaEwrFPP4GLoxfGGvxS1v74o+o3TL+E9ThrdGcURrm8TdwYfzCWItf2toXf6nBY/yn2JWbUbJZ5xcEjOhCBqS5RsHE2j4OyGJyScIJk4CiGQrrhISGLiVBmBtJkNb2khBwwh1JOMke3LzOtKMUjuhSEoS5kQRpbS8JiWU5PMXW24xabHIv6+GILiRBmmskTKztI8FSkjXRnTITbHA7iuKILiVBmBtJkNb2kuCzLIzupJmQ3I7COKJLSRDmRhKktb0k4LwmCqM/ZSaMJ87bPZcty85Hwtx4QJLW9p6QyMjC6MdMeOjK2XNVjpSQDKqHD0Ni9YdP1jlGzvXRFapPdr2N85+s4mL/bF1Mdb7cU0VfXcI49AtejPQ617H/qmOdhrXMMdSaNh/7vVbReviMHr1PDc0p11d17JaMs9/OBg+wei4ylbDM1t4wpp866kjRh+Two+CxrSfyiY83dSASJ7Ib/r+ajhzn/WHPvGfn9R9Ur56G+dTcSD+drSNXRnsfI9WhaoVmPM796gPY0TawNs5Y7qun29E9fLnblBF9/7Cr6TB9Er188udPG/GU4e1jeNXfVRIln3JUdfEPNy7ziVHGcuyfhzinTtiJjd8/bx6+rFdPm+vbf9gEIdWrzMniUJGi5dCB+Dj8IDzNJqRkXbBZ/fpeTSuA0CxEFb11pQKEYW5g0VkGNZ+7hK6wLrVDkMl7V3RMBnPVHPHYuXJwtqLEOtXV9lFzTiFV1EHgVZUB+2KgbFJB8YbrVWY5N8FjtKtAGQFV7mLEMjC7AuK80JcS9toHg5YWqDVhaG5LkYWUfDFQ9l5f3cWZO5qEhSho8b26SwahMbpjW+DAcKhqnEJJWlvDsJiGq8NEWScyLlbT2WpbPSZnIYZgcrHtTNaxukwBZRE/NhbYcjstOtRiS/1o7weOoV3toJDCsYs0kEyJEGIItvjnOA8sUwaziWGkwDkONFuyhQPjixFUloHnQgJipGrbOxqItujfMxFeFxg52zONDEH2es5UYPA+7F0Y4FMyxtUr9+1Ngg2gBKNqGgRDA9u2POcMJFBgFOqe7jKayflUKEH5GOi2iDdSDrZMGXBS6OkuRrxnF6oRpoHuskEag2pZ/EZKD3Qj43VMIWQ/+aSAApIksSEad6/vVRckrn1OxmH5AkNfJvh+V00HJSXuHISkUFdzzbuJpIh6ioWkLBguEcwlBS+4GphIymQyYaKokOquVIkRioIrJqFSTCWF5EQpz2EqKRzKExTFU0lBAJkHVEjKYkU48lxSOM5lpkBTSVlsislETjNJoWIYOGenkvJ1tY1LM0mNvZZQFIM4winCziSFuRnqSTNJYWdC2e9nHCVlQHg2rlYTISmkNGxj15tJCirKZhCJkFQq++gAC0mVxczOhJmkIEBOsQYpJYUTdDLgaiqpiDMz9BqmigLBIQautVUoikslT1yLq1QU8puH9RWKQiV1wYRq5OCZ+B9sV2wHDXXlhpB9KaPGT/5zSFvyPmerLXEF06QlsFFZEmzCkmDTlQSbriTYZCXBpioBjqKS4KgpATZJSbAJSoJNThJsYhLgKCUJNiFJsOlIgk1FEmwakmBTkABH/UiwqUeCTTsSbMqRYNONAEfVSLBpRoJNMhJsgpFgk4sEm1gE+A0Xi0UGY9P0/R8v77jDPtC5LbkFX9YTmhLP0AxSjeq6dXW27+pKL9Z3Q85uy3XpJ37+8E7df1QPXy7vnjd/XT5v7u/U+vHx/nHb8Z2/cYWy9hUE0NZ/AQHrtC1JEZrsO5BbKMzoEIYTRMOL8gil3JaaKHCL7aqNRr3LvuypE9Rvx151AneGGwMTOGvDXD6KExMWtB8svBvBqzGUESzJiZ3KZmKBBicGDhMJjEeLrpHjRxIE2oIdpxG87OL2qnyt4m13tPNQ39h5dOVTMG6+4xBY1o9nyCzBxnuGybVBav5mZG6fWuun583t5fP6D4Uk26ZTdXvHcU4dPs41P22KZXvuc413oEv9xXbqeds9nz1/Wt8/rp83V7t9nuyLC3bM0X2civpv6EjvG7jU+Yhz0Pbaokr56/m9urvfPK3V06fLPzd31+32qvsb8FWPsQplbmRzdHJlYW0KZW5kb2JqCjExIDAgb2JqCjIwOTEKZW5kb2JqCjE2IDAgb2JqCjw8IC9GaWx0ZXIgL0ZsYXRlRGVjb2RlIC9MZW5ndGggODggPj4Kc3RyZWFtCnicPY25EcAwCARzqqAEgXikfjyO5P5Tn/ATADvs3Fy6cmNNrFTHTD6EJGbhRRqjaJFKY+sN5Pg9FBqv/cKwo/N2Nqyuo6FbgmTaR8htV73rr1t03skLG84KZW5kc3RyZWFtCmVuZG9iagoxNyAwIG9iago8PCAvRmlsdGVyIC9GbGF0ZURlY29kZSAvTGVuZ3RoIDMyNyA+PgpzdHJlYW0KeJw9kkuOxDAIRPc5BRdoyfz8OU9Gs+q5/7YfdnoWUaEARVG4a0qT6PJSlxwq2Zv86BVTxc3k74mGxDRxN9DBKfe1owj+BLgOZu4M0UqJQb11icrykbHz19fTlwfvy9thsFF6lphXn5KxBgvydHTxAebc2u5/le8rk44svUpPRe9LvViWqA8x+2L1KdzG5hvbejCeTPFrNlGrmVPW2iK6DNRFSjex1QtQ7VGB41xHbxVtAxCBO0EHlQm1amzBSEi0RdYvzGlC98T/7QG6X9rEdeyD2LSNZ3xFGkPQ3bhHWcPMMep8anPD2tPZJuuU4kwu17I4Vgk0SstYakvwrHpdFGODGWilEM3RamxlaHbo62V4P8gMbzuKsailSs+eN6fgXH3s1xR68DyLHcGbnNgt6OeQrEIGLTZh6ixdr/A55339fgAqPX1GCmVuZHN0cmVhbQplbmRvYmoKMTggMCBvYmoKPDwgL0ZpbHRlciAvRmxhdGVEZWNvZGUgL0xlbmd0aCAxNTIgPj4Kc3RyZWFtCnicPU/LEUMhCLxbxTbAjCCC1vMyOZn+rwFNPLGyuB/xgQpiFpBUh7jDreLFhbWjq+NTpB20CouD5gaWvxKxgryB69bpGD1mm3iK58YYOmOGsHDMkQxZ2sUz7rYvRY4NgrthVqHpKZY+5HphGwdSerO0XaGmcC6mImOGcdtpn1sl0o7TL0r9mq4ivcPUkrWLxp99fwG89zZnCmVuZHN0cmVhbQplbmRvYmoKMTkgMCBvYmoKPDwgL0JCb3ggWyAtMTAxNiAtMzUxIDE2NjAgMTA2OCBdIC9GaWx0ZXIgL0ZsYXRlRGVjb2RlIC9MZW5ndGggMjE4Ci9TdWJ0eXBlIC9Gb3JtIC9UeXBlIC9YT2JqZWN0ID4+CnN0cmVhbQp4nDVQO44FIQzrOYUvsBL5AucZaat992/XCW8KFBOc2GaYL/hKfIaeizQCHhuqCud5huyEbYekwSwgIdBl9WLkzQVxZTebIbJ7xrAnlJdUaK4qzzDxAkaNLbAjpB/2XbMXeMxe6Fx0JXw5RWllTZrQZlxbbtJG7Wv8jUKVFARvn5FxGv2N9JotFC4vSirORCxa8kCQfVWLUxFiMq4Y+YKsBzs0SrYe/LCv7FdlYM4VEmkCnea13/N27rr13V+h+q8YxljT4fzhZ+ikYX6Grmjjb5Rn/P4Dpj9PswplbmRzdHJlYW0KZW5kb2JqCjE0IDAgb2JqCjw8IC9CYXNlRm9udCAvRGVqYVZ1U2Fucy1PYmxpcXVlIC9DaGFyUHJvY3MgMTUgMCBSCi9FbmNvZGluZyA8PCAvRGlmZmVyZW5jZXMgWyA3MiAvSCAxMDEgL2UgMTA2IC9qIF0gL1R5cGUgL0VuY29kaW5nID4+Ci9GaXJzdENoYXIgMCAvRm9udEJCb3ggWyAtMTAxNiAtMzUxIDE2NjAgMTA2OCBdIC9Gb250RGVzY3JpcHRvciAxMyAwIFIKL0ZvbnRNYXRyaXggWyAwLjAwMSAwIDAgMC4wMDEgMCAwIF0gL0xhc3RDaGFyIDI1NSAvTmFtZSAvRGVqYVZ1U2Fucy1PYmxpcXVlCi9TdWJ0eXBlIC9UeXBlMyAvVHlwZSAvRm9udCAvV2lkdGhzIDEyIDAgUiA+PgplbmRvYmoKMTMgMCBvYmoKPDwgL0FzY2VudCA5MjkgL0NhcEhlaWdodCAwIC9EZXNjZW50IC0yMzYgL0ZsYWdzIDk2Ci9Gb250QkJveCBbIC0xMDE2IC0zNTEgMTY2MCAxMDY4IF0gL0ZvbnROYW1lIC9EZWphVnVTYW5zLU9ibGlxdWUKL0l0YWxpY0FuZ2xlIDAgL01heFdpZHRoIDEzNTAgL1N0ZW1WIDAgL1R5cGUgL0ZvbnREZXNjcmlwdG9yIC9YSGVpZ2h0IDAgPj4KZW5kb2JqCjEyIDAgb2JqClsgNjAwIDYwMCA2MDAgNjAwIDYwMCA2MDAgNjAwIDYwMCA2MDAgNjAwIDYwMCA2MDAgNjAwIDYwMCA2MDAgNjAwIDYwMCA2MDAKNjAwIDYwMCA2MDAgNjAwIDYwMCA2MDAgNjAwIDYwMCA2MDAgNjAwIDYwMCA2MDAgNjAwIDYwMCAzMTggNDAxIDQ2MCA4MzggNjM2Cjk1MCA3ODAgMjc1IDM5MCAzOTAgNTAwIDgzOCAzMTggMzYxIDMxOCAzMzcgNjM2IDYzNiA2MzYgNjM2IDYzNiA2MzYgNjM2IDYzNgo2MzYgNjM2IDMzNyAzMzcgODM4IDgzOCA4MzggNTMxIDEwMDAgNjg0IDY4NiA2OTggNzcwIDYzMiA1NzUgNzc1IDc1MiAyOTUKMjk1IDY1NiA1NTcgODYzIDc0OCA3ODcgNjAzIDc4NyA2OTUgNjM1IDYxMSA3MzIgNjg0IDk4OSA2ODUgNjExIDY4NSAzOTAgMzM3CjM5MCA4MzggNTAwIDUwMCA2MTMgNjM1IDU1MCA2MzUgNjE1IDM1MiA2MzUgNjM0IDI3OCAyNzggNTc5IDI3OCA5NzQgNjM0IDYxMgo2MzUgNjM1IDQxMSA1MjEgMzkyIDYzNCA1OTIgODE4IDU5MiA1OTIgNTI1IDYzNiAzMzcgNjM2IDgzOCA2MDAgNjM2IDYwMCAzMTgKMzUyIDUxOCAxMDAwIDUwMCA1MDAgNTAwIDEzNTAgNjM1IDQwMCAxMDcwIDYwMCA2ODUgNjAwIDYwMCAzMTggMzE4IDUxOCA1MTgKNTkwIDUwMCAxMDAwIDUwMCAxMDAwIDUyMSA0MDAgMTAyOCA2MDAgNTI1IDYxMSAzMTggNDAxIDYzNiA2MzYgNjM2IDYzNiAzMzcKNTAwIDUwMCAxMDAwIDQ3MSA2MTcgODM4IDM2MSAxMDAwIDUwMCA1MDAgODM4IDQwMSA0MDEgNTAwIDYzNiA2MzYgMzE4IDUwMAo0MDEgNDcxIDYxNyA5NjkgOTY5IDk2OSA1MzEgNjg0IDY4NCA2ODQgNjg0IDY4NCA2ODQgOTc0IDY5OCA2MzIgNjMyIDYzMiA2MzIKMjk1IDI5NSAyOTUgMjk1IDc3NSA3NDggNzg3IDc4NyA3ODcgNzg3IDc4NyA4MzggNzg3IDczMiA3MzIgNzMyIDczMiA2MTEgNjA4CjYzMCA2MTMgNjEzIDYxMyA2MTMgNjEzIDYxMyA5OTUgNTUwIDYxNSA2MTUgNjE1IDYxNSAyNzggMjc4IDI3OCAyNzggNjEyIDYzNAo2MTIgNjEyIDYxMiA2MTIgNjEyIDgzOCA2MTIgNjM0IDYzNCA2MzQgNjM0IDU5MiA2MzUgNTkyIF0KZW5kb2JqCjE1IDAgb2JqCjw8IC9IIDE2IDAgUiAvZSAxNyAwIFIgL2ogMTggMCBSID4+CmVuZG9iagoyNCAwIG9iago8PCAvRmlsdGVyIC9GbGF0ZURlY29kZSAvTGVuZ3RoIDE2MCA+PgpzdHJlYW0KeJw9kEsSwyAMQ/ecQkfA+H+edLpK7r+tDZ1ssBiE9MB9YiKjFieCr8SHBqXDJPBsFYR7MNkRcoTkBE2GsoMkcQ0NBqXCpmOZ78mmddJKrLzRftl3NGaddIotRYd2If/n9SLco+Aa6xk8D2AxyNpKpeyZMFplpq7yqOi1H9PhPQ9Eq8Xl9Qau8NpHN6koKkvq/kR3NNj+kbf7Ht8fmWU4JAplbmRzdHJlYW0KZW5kb2JqCjI1IDAgb2JqCjw8IC9CQm94IFsgLTEwMjEgLTQ2MyAxNzk0IDEyMzMgXSAvRmlsdGVyIC9GbGF0ZURlY29kZSAvTGVuZ3RoIDIzNwovU3VidHlwZSAvRm9ybSAvVHlwZSAvWE9iamVjdCA+PgpzdHJlYW0KeJw9UbtxxTAM6z0FRuBH/Gied5cq2b8NKDkpeIApEQTkpyzRhZ9niOD7We7/yAOSrVBthCc0FZEN08DnSRFYbqQm3F7c54RslSP24lwgwhDtPAlppAsWOxkL3hc/j6seZqy5Yfy+M5p9VHTVUR28ew7jZk0/TpTd682sjlub+3TvrhOHa0gmn/cfnJRKp5csgzpLuLA2mhrW47woxljMOP4nqrBNsrajCsHSJUgq0IAYShLGgMUt/iInWg4L2psbaeudyU6qNIqGF6MM3qD1RjiKdJF8mGsrg7GpmDa++eQlN+j7Z7+fr18Da1rrCmVuZHN0cmVhbQplbmRvYmoKMjYgMCBvYmoKPDwgL0ZpbHRlciAvRmxhdGVEZWNvZGUgL0xlbmd0aCAxNjUgPj4Kc3RyZWFtCnicRY87EgMhDEN7TqEjgH/AeTaTir1/G8s7SRosjCU/ois69srDY2PKxmu0sSfCFu5SOg2nqYyviqdnXaDLYTJTb1zNXGCqsMhuTrH6GHyh8uzmhK9VnhjCl0wJDTCVO7mH9fpRnJZ8JLsLguqUjcrCMEfS90BMTZunhYH8jy95akFQmeaNa5aVR2sVUzRnmCpbC4L1gaA6pfoD0/9Mp70/3PQ9gAplbmRzdHJlYW0KZW5kb2JqCjI3IDAgb2JqCjw8IC9CQm94IFsgLTEwMjEgLTQ2MyAxNzk0IDEyMzMgXSAvRmlsdGVyIC9GbGF0ZURlY29kZSAvTGVuZ3RoIDIzOAovU3VidHlwZSAvRm9ybSAvVHlwZSAvWE9iamVjdCA+PgpzdHJlYW0KeJxFkE2ywzAIg/c+BUcwmB/7PJ15q/T+20okfV1kYAxI+jKWh0QeeQ877EwsUPFq5hJa8hq6VbyOaE5x211XOifs5hRumJ++MVVMqKJ7CVU1Q+ijcTD5Ol7DffXbe/ix3oplfRX51cmZrZxW7dS1vdkxDTeYjjd3XqqQgKokog8dX/+OV6eoIjZsN9xIMcHo4IuF3Q3jyahi1eW2ReNhgmmY9XpgjF9xEFLxC6CX7g2coQ9w2Rf413F6jTB0DLiBovjWeRQLkehRS9uS9c7AziqFG8zImzs0VYhBVVC1YT3g88GeP/xr/H0AqH5ggAplbmRzdHJlYW0KZW5kb2JqCjI4IDAgb2JqCjw8IC9GaWx0ZXIgL0ZsYXRlRGVjb2RlIC9MZW5ndGggMzM4ID4+CnN0cmVhbQp4nDVSS5JbQQjbv1PoAq5q/s15nJrV5P7bCOysoIEWEpAWOMjESwxRjXLFH3mC8TqBv+vlafw+3oXUgqci/cC1aRvvx5o1UbA0YinMPvb9KCHHU+PfEOi5SBNmZDJyIBmI+7U+f9abTDn8BqRpc/ooSXoQLdjdGnZ8WZBB0pMaluzkh3UtsLoITZgbayIZObUyNc/HnuEynhgjQdUsIEmfuE8VjEgzHjtnLXmQ4XiqFy9+vY3XMo+pl1UFMrYJ5mA7mQmnKCIQv6AkuYm7aOoojmbGmtuFhpIi9909nJz0ur+cRAVeCeEs1hKOGXrKMic7DUqgauUEmGG99oVxmjZKuFPT7V2xr99nJmHc5rCzUjINznFwL5vMESR73TFhEx6HmPfuEYzEvPldbBFcucy5JtOP/SjaSB8U1+dcTZmtKOEfquSJFdf4//zez88/kDd9sQplbmRzdHJlYW0KZW5kb2JqCjI5IDAgb2JqCjw8IC9GaWx0ZXIgL0ZsYXRlRGVjb2RlIC9MZW5ndGggMzA0ID4+CnN0cmVhbQp4nD2SO5LDMAxDe52CF8iM+JPk82Qnlff+7T4yyVaASYkAKC91mbKmPCBpJgn/0eHhYjvld9iezczAtUQvE8spz6ErxNxF+bKZjbqyOsWqwzCdW/SonIuGTZOa5ypLGbcLnsO1ieeWfcQPNzSoB3WNS8IN3dVoWQrNcHX/O71H2Xc1PBebVOrUF48XURXm+SFPoofpSuJ8PCghXHswRhYS5FPRQI6zXK3yXkL2DrcassJBaknnsyc82HV6Ty5uF80QD2S5VPhOUezt0DO+7EoJPRK24VjufTuasekamzjsfu9G1sqMrmghfshXJ+slYNxTJkUSZE62WG6L1Z7uoSimc4ZzGSDq2YqGUuZiV6t/DDtvLC/ZLMiUzAsyRqdNnjh4yH6NmvR5led4/QFs83M7CmVuZHN0cmVhbQplbmRvYmoKMzAgMCBvYmoKPDwgL0ZpbHRlciAvRmxhdGVEZWNvZGUgL0xlbmd0aCAyMzAgPj4Kc3RyZWFtCnicNVFJbsMwDLzrFfOBAOIuv8dBT+3/rx3SCWBgaEuczREbGxF4icHPQeTGW9aMmvibyV3xuzwVHgm3gidRBF6Ge9kJLm8Yl/04zHzwXlo5kxpPMiAX2fTwRMhgl0DowOwa1GGbaSf6hoTPjkg1G1lOX0vQS6sQKE/ZfqcLSrSt6s/tsy607WtPONntqSeVTyCeW7ICl41XTBZjGfRE5S7F9EGqs4WehPKifA6y+aghEl2inIEnBgejQDuw57afiVeFoHV1n7aNoRopHU//NjQ1SSLkEyWc2dK4W/j+nnv9/AOmVFOfCmVuZHN0cmVhbQplbmRvYmoKMzEgMCBvYmoKPDwgL0ZpbHRlciAvRmxhdGVEZWNvZGUgL0xlbmd0aCAyMjcgPj4Kc3RyZWFtCnicNU87sgMhDOs5hS6QGYxtYM+zmVQv92+fZLINEv5I8vRERyZe5sgIrNnxthYZiBn4FlPxrz3tw4TqPbiHCOXiQphhJJw167ibp+PFv13lM9bBuw2+YpYXBLYwk/WVxZnLdsFYGidxTrIbY9dEbGNd6+kU1hFMKAMhne0wJcgcFSl9sqOMOTpO5InnYqrFLr/vYX3BpjGiwhxXBU/QZFCWPe8moB0X9N/Vjd9JNIteAjKRYGGdJObOWU741WtHx1GLIjEnpBnkMhHSnK5iCqEJxTo7CioVBZfqc8rdPv9oXVtNCmVuZHN0cmVhbQplbmRvYmoKMzIgMCBvYmoKPDwgL0ZpbHRlciAvRmxhdGVEZWNvZGUgL0xlbmd0aCAyNDUgPj4Kc3RyZWFtCnicRVC7jUMxDOs9BRcIYP0se553SJXbvz1KRnCFIVo/kloSmIjASwyxlG/iR0ZBPQu/F4XiM8TPF4VBzoSkQJz1GRCZeIbaRm7odnDOvMMzjDkCF8VacKbTmfZc2OScBycQzm2U8YxCuklUFXFUn3FM8aqyz43XgaW1bLPTkewhjYRLSSUml35TKv+0KVsq6NpFE7BI5IGTTTThLD9DkmLMoJRR9zC1jvRxspFHddDJ2Zw5LZnZ7qftTHwPWCaZUeUpnecyPiep81xOfe6zHdHkoqVV+5z93pGW8iK126HV6VclUZmN1aeQuDz/jJ/x/gOOoFk+CmVuZHN0cmVhbQplbmRvYmoKMzMgMCBvYmoKPDwgL0ZpbHRlciAvRmxhdGVEZWNvZGUgL0xlbmd0aCAxMzMgPj4Kc3RyZWFtCnicTY9BEsMwCAPvfoWegLEB8550ekr+fy2QNu4F7YyAkYYwCDxiDOswJbx6++FVpEtwNo75JRlFPAhqC9wXVAVHY4qd+Njdoeyl4ukUTYvrEXPTtKR0N1Eqbb2dyPjAfZ/eH1W2JJ2CHlvqhC7RJPJFAnPYVDDP6sZLS4+n7dneH2Y+M9cKZW5kc3RyZWFtCmVuZG9iagozNCAwIG9iago8PCAvRmlsdGVyIC9GbGF0ZURlY29kZSAvTGVuZ3RoIDI0NyA+PgpzdHJlYW0KeJxNUbttRDEM698UXOAA62t5ngtSXfZvQ8kIkMIgoS8ppyUW9sZLDOEHWw++5JFVQ38ePzHsMyw9yeTUP+a5yVQUvhWqm5hQF2Lh/WgEvBZ0LyIrygffj2UMc8734KMQl2AmNGCsb0kmF9W8M2TCiaGOw0GbVBh3TRQsrhXNM8jtVjeyOrMgbHglE+LGAEQE2ReQzWCjjLGVkMVyHqgKkgVaYNfpG1GLgiuU1gl0otbEuszgq+f2djdDL/LgqLp4fQzrS7DC6KV7LHyuQh/M9Ew7d0kjvfCmExFmDwVSmZ2RlTo9Yn23QP+fZSv4+8nP8/0LFShcKgplbmRzdHJlYW0KZW5kb2JqCjM1IDAgb2JqCjw8IC9GaWx0ZXIgL0ZsYXRlRGVjb2RlIC9MZW5ndGggOTAgPj4Kc3RyZWFtCnicTY1BEsAgCAPvvCJPUETQ/3R60v9fq9QOvcBOAokWRYL0NWpLMO64MhVrUCmYlJfAVTBcC9ruosr+MklMnYbTe7cDg7LxcYPSSfv2cXoAq/16Bt0P0hwiWAplbmRzdHJlYW0KZW5kb2JqCjM2IDAgb2JqCjw8IC9GaWx0ZXIgL0ZsYXRlRGVjb2RlIC9MZW5ndGggMzM4ID4+CnN0cmVhbQp4nEVSS3LFMAjb5xRcIDPmZ+PzvE5X6f23lXA63Tz0DAgJMj1lSKbcNpZkhOQc8qVXZIjVkJ9GjkTEEN8pocCu8rm8lsRcyG6JSvGhHT+XpTcyza7QqrdHpzaLRjUrI+cgQ4R6VujM7lHbZMPrdiHpOlMWh3As/0MFspR1yimUBG1B39gj6G8WPBHcBrPmcrO5TG71v+5bC57XOluxbQdACZZz3mAGAMTDCdoAxNza3hYpKB9VuopJwq3yXCc7ULbQqnS8N4AZBxg5YMOSrQ7XaG8Awz4P9KJGxfYVoKgsIP7O2WbB3jHJSLAn5gZOPXE6xZFwSTjGAkCKreIUuvEd2OIvF66ImvAJdTplTbzCntrix0KTCO9ScQLwIhtuXR1FtWxP5wm0PyqSM2KkHsTRCZHUks4RFJcG9dAa+7iJGa+NxOaevt0/wjmf6/sXFriD4AplbmRzdHJlYW0KZW5kb2JqCjM3IDAgb2JqCjw8IC9GaWx0ZXIgL0ZsYXRlRGVjb2RlIC9MZW5ndGggMTYzID4+CnN0cmVhbQp4nEWQuXUEMQxDc1WBEniAOuoZP0ez/acLabzeQPp4hHiIPQnDcl3FhdENP962zDS8jjLcjfVlxviosUBO0AcYIhNXo0n17YozVOnh1WKuo6JcLzoiEsyS46tAI3w6ssdDW9uZfjqvf+wh7xP/KirnbmEBLqruQPlSH/HUj9lR6pqhjyorax5q2r8IuyKUtn1cTmWcunsHtMJnK1f7fQOo5zqACmVuZHN0cmVhbQplbmRvYmoKMzggMCBvYmoKPDwgL0ZpbHRlciAvRmxhdGVEZWNvZGUgL0xlbmd0aCA2OCA+PgpzdHJlYW0KeJwzMrdQMFCwNAEShhYmCuZmBgophlxAvqmJuUIuF0gMxMoBswyAtCWcgohbQjRBlIJYEKVmJmYQSTgDIpcGAMm0FeUKZW5kc3RyZWFtCmVuZG9iagozOSAwIG9iago8PCAvRmlsdGVyIC9GbGF0ZURlY29kZSAvTGVuZ3RoIDI1NSA+PgpzdHJlYW0KeJxFkUuSAyAIRPeegiOA/OQ8mZpVcv/tNJhMNnaXqP2ESiOmEiznFHkw/cjyzWS26bUcq52NAooiFMzkKvRYgdWdKeLMtUS19bEyctzpHYPiDeeunFSyuFHGOqo6FTim58r6qu78uCzKviOHMgVs1jkONnDltmGME6PNVneH+0SQp5Opo+J2kGz4g5PGvsrVFbhONvvqJRgHgn6hCUzyTaB1hkDj5il6cgn28XG780Cwt7wJpGwI5MgQjA5Bu06uf3Hr/N7/OsOd59oMV4538TtMa7vjLzHJirmARe4U1PM9F63rDB3vyZljctN9Q+dcsMvdQabP/B/r9w9QimaICmVuZHN0cmVhbQplbmRvYmoKNDAgMCBvYmoKPDwgL0ZpbHRlciAvRmxhdGVEZWNvZGUgL0xlbmd0aCAxNjEgPj4Kc3RyZWFtCnicRZBLEsMgDEP3nEJH8EcGfJ50ukrvv60hTbOAp7FABncnBKm1BRPRBS9tS7oLPlsJzsZ46DZuNRLkBHWAVqTjaJRSfbnFaZV08Wg2cysLrRMdZg56lKMZoBA6Fd7touRypu7O+Udw9V/1R7HunM3EwGTlDoRm9SnufJsdUV3dZH/SY27Wa38V9qqwtKyl5YTbzl0zoATuqRzt/QWpczqECmVuZHN0cmVhbQplbmRvYmoKNDEgMCBvYmoKPDwgL0ZpbHRlciAvRmxhdGVEZWNvZGUgL0xlbmd0aCAyMTQgPj4Kc3RyZWFtCnicPVC7EUMxCOs9BQvkznztN8/Lpcv+bSScpEI2QhKUmkzJlIc6ypKsKU8dPktih7yH5W5kNiUqRS+TsCX30ArxfYnmFPfd1ZazQzSXaDl+CzMqqhsd00s2mnAqE7qg3MMz+g1tdANWhx6xWyDQpGDXtiByxw8YDMGZE4siDEpNBv+tcvdS3O89HG+iiJR08K755fTLzy28Tj2ORLq9+YprcaY6CkRwRmryinRhxbLIQ6TVBDU9A2u1AK7eevk3aEd0GYDsE4njNKUcQ//WuMfrA4eKUvQKZW5kc3RyZWFtCmVuZG9iago0MiAwIG9iago8PCAvRmlsdGVyIC9GbGF0ZURlY29kZSAvTGVuZ3RoIDgwID4+CnN0cmVhbQp4nEWMuw3AMAhEe6ZgBH4mZp8olbN/GyBK3HBPunu4OhIyU95hhocEngwshlPxBpmjYDW4RlKNneyjsG5fdYHmelOr9fcHKk92dnE9zcsZ9AplbmRzdHJlYW0KZW5kb2JqCjQzIDAgb2JqCjw8IC9GaWx0ZXIgL0ZsYXRlRGVjb2RlIC9MZW5ndGggMjM2ID4+CnN0cmVhbQp4nE1QS25EIQzbc4pc4EkkIQHOQ9VV5/7bscNU7SqGGH9ID+myVR7rU2J1iezypU2XyjJ5FajlT9v/UQwCbv/QyEG0t4ydYuYS1sXCJDzlNCMbJ9csH487TxtmhcbEjeOdLhlgnxYBNVuVzYE5bTo3QLqQGreqs95kUAwi6kLNB5MunKfRl4g5nqhgSncmtZAbXD7VoQNxWr0KuWOLk2/EHFmhwGHQTHHWXwHWqMmyWcggSYYhzn2je5QKjajKeSsVwg+ToRH1htWgBpW5haKp5ZL8HdoCMAW2jHXpDEqBqgDB3yqnfb8BJI1dUwplbmRzdHJlYW0KZW5kb2JqCjQ0IDAgb2JqCjw8IC9GaWx0ZXIgL0ZsYXRlRGVjb2RlIC9MZW5ndGggMTQ3ID4+CnN0cmVhbQp4nD1PuQ0DMQzrPQUXOMB6LFvzXJDqsn8bykZSCCJA8ZFlR8cKXGICk445Ei9pP/hpGoFYBjVH9ISKYVjgbpICD4MsSleeLV4MkdpCXUj41hDerUxkojyvETtwJxejBz5UG1keekA7RBVZrknDWNVWXWqdsAIcss7CdT3MqgTl0SdrKR9QVEK9dP+fe9r7CwBvL+sKZW5kc3RyZWFtCmVuZG9iago0NSAwIG9iago8PCAvRmlsdGVyIC9GbGF0ZURlY29kZSAvTGVuZ3RoIDE0OSA+PgpzdHJlYW0KeJw1j0sOAyEMQ/c5hS8wUn6EcB6qrqb33zZhWgkJC9svwRaDkYxLTGDsmGPhJVRPrT4kI4+6STkQqVA3BE9oTAwzbNIl8Mp03zKeW7ycVuqCTkjk6aw2GqKMZl7D0VPOCpv+y9wkamVGmQMy61S3E7KyYAXmBbU89zPuqFzohIedyrDoTjGi3GZGGn7/2/T+AnsyMGMKZW5kc3RyZWFtCmVuZG9iago0NiAwIG9iago8PCAvRmlsdGVyIC9GbGF0ZURlY29kZSAvTGVuZ3RoIDQ5ID4+CnN0cmVhbQp4nDM2tFAwUDA0MAeSRoZAlpGJQoohF0gAxMzlggnmgFkGQBqiOAeuJocrDQDG6A0mCmVuZHN0cmVhbQplbmRvYmoKNDcgMCBvYmoKPDwgL0ZpbHRlciAvRmxhdGVEZWNvZGUgL0xlbmd0aCAyMzcgPj4Kc3RyZWFtCnicTVE5bgQxDOv9Cn1gAOu05z0bbDX5fxtS3gSpREMUScnlKVMy5bK5JCMka8qXDo0ttly+D0JTS0XB1L1FdclrmKasWyxd0POpLK/hGOB7dzfUP/SI2QKR0YJdYYEOkDu4YPg9eyZsUwsiUSXUDGCasMIcrkQMQQZjnRkGpQqDU/V3leOzDTsF1g5mU6RHUhOddIPmhbfeciGCrVO5qTfShNzZpxhiZeO+SpfjA+BgostEZMTmZTieDmFo8M40YIWzHsQEmdaR0ouZkTENN+nI1VeLis82GUue0f/2h/orn27/gxB8xvsHSVVcfgplbmRzdHJlYW0KZW5kb2JqCjQ4IDAgb2JqCjw8IC9GaWx0ZXIgL0ZsYXRlRGVjb2RlIC9MZW5ndGggMTU3ID4+CnN0cmVhbQp4nEWQuRFDMQhEc1VBCRKwCOqxx9F3/6kX+Uq0bwAth68lU6ofJyKm3Ndo9DB5Dp9NJVYs2Ca2kxpyGxZBSjGYeE4xq6O3oZmH1Ou4qKq4dWaV02nLysV/82hXM5M9wjXqJ/BN6PifPLSp6FugrwuUfUC1OJ1JUDF9r2KBo5x2fyKcGOA+GUeZKSNxYm4K7PcZAGa+V7jG4wXdATd5CmVuZHN0cmVhbQplbmRvYmoKNDkgMCBvYmoKPDwgL0ZpbHRlciAvRmxhdGVEZWNvZGUgL0xlbmd0aCAzMzIgPj4Kc3RyZWFtCnicLVI5jiQxDMv9Cn5gAOvy8Z4eTNT7/3RJVQUFqmzLPORyw0QlfiyQ21Fr4tdGZqDC8K+rzIXvSNvIOohryEVcyZbCZ0Qs5DHEPMSC79v4GR75rMzJswfGL9n3GVbsqQnLQsaLM7TDKo7DKsixYOsiqnt4U6TDqSTY44v/PsVzF4IWviNowC/556sjeL6kRdo9Ztu0Ww+WaUeVFJaD7WnOy+RL6yxXx+P5INneFTtCaleAojB3xnkujjJtZURrYWeDpMbF9ubYj6UEXejGZaQ4AvmZKsIDSprMbKIg/sjpIacyEKau6Uont1EVd+rJXLO5vJ1JMlv3RYrNFM7rwpn1d5gyq807eZYTpU5F+Bl7tgQNnePq2WuZhUa3OcErJXw2dnpy8r2aWQ/JqUhIFdO6Ck6jyBRL2Jb4moqa0tTL8N+X9xl//wEz4nwBCmVuZHN0cmVhbQplbmRvYmoKNTAgMCBvYmoKPDwgL0ZpbHRlciAvRmxhdGVEZWNvZGUgL0xlbmd0aCA1MiA+PgpzdHJlYW0KeJwzNjZXMABCXUsjBWMg29zIUiHFkMvI1ATMzOWCCeZwWRiDVeVwGUBpmKIcrjQA36oNrQplbmRzdHJlYW0KZW5kb2JqCjUxIDAgb2JqCjw8IC9GaWx0ZXIgL0ZsYXRlRGVjb2RlIC9MZW5ndGggMTcgPj4Kc3RyZWFtCnicMza0UDCAwxRDLgAalALsCmVuZHN0cmVhbQplbmRvYmoKNTIgMCBvYmoKPDwgL0ZpbHRlciAvRmxhdGVEZWNvZGUgL0xlbmd0aCAxMzEgPj4Kc3RyZWFtCnicRY/LDQQhDEPvVOES8hk+qYfVntj+r+swmkFC+EEiO/EwCKzz8jbQxfDRosM3/jbVq2OVLB+6elJWD+mQh7zyFVBpMFHEhVlMHUNhzpjKyJYytxvhtk2DrGyVVK2DdjwGD7anZasIfqltYeos8QzCVV64xw0/kEutd71Vvn9CUzCXCmVuZHN0cmVhbQplbmRvYmoKNTMgMCBvYmoKPDwgL0ZpbHRlciAvRmxhdGVEZWNvZGUgL0xlbmd0aCAzMzggPj4Kc3RyZWFtCnicNVI5rt1ADOt9Cl0ggHbNnOcFqX7u34aUXwpDtFaKmo4WlWn5ZSFVLZMuv+1JbYkb8vfJCokTklcl2qUMkVD5PIVUv2fLvL7WnBEgS5UKk5OSxyUL/gyX3i4c52NrP48jdz16YFWMhBIByxQTo2tZOrvDmo38PKYBP+IRcq5YtxxjFUgNunHaFe9D83nIGiBmmJaKCl1WiRZ+QfGgR61991hUWCDR7RxJcIyNUJGAdoHaSAw5sxa7qC/6WZSYCXTtiyLuosASScycYl06+g8+dCyovzbjy6+OSvpIK2tM2nejSWnMIpOul0VvN299PbhA8y7Kf17NIEFT1ihpfNCqnWMomhllhXccmgw0xxyHzBM8hzMSlPR9KH5fSya6KJE/Dg2hf18eo4ycBm8Bc9GftooDF/HZYa8cYIXSxZrkfUAqE3pg+v/X+Hn+/AMctoBUCmVuZHN0cmVhbQplbmRvYmoKNTQgMCBvYmoKPDwgL0ZpbHRlciAvRmxhdGVEZWNvZGUgL0xlbmd0aCAyNDggPj4Kc3RyZWFtCnicLVE5kgNBCMvnFXpCc9PvscuR9//pCsoBg4ZDIDotcVDGTxCWK97yyFW04e+ZGMF3waHfynUbFjkQFUjSGFRNqF28Hr0HdhxmAvOkNSyDGesDP2MKN3pxeEzG2e11GTUEe9drT2ZQMisXccnEBVN12MiZw0+mjAvtXM8NyLkR1mUYpJuVxoyEI00hUkih6iapM0GQBKOrUaONHMV+6csjnWFVI2oM+1xL29dzE84aNDsWqzw5pUdXnMvJxQsrB/28zcBFVBqrPBAScL/bQ/2c7OQ33tK5s8X0+F5zsrwwFVjx5rUbkE21+Dcv4vg94+v5/AOopVsWCmVuZHN0cmVhbQplbmRvYmoKNTUgMCBvYmoKPDwgL0ZpbHRlciAvRmxhdGVEZWNvZGUgL0xlbmd0aCAxNzEgPj4Kc3RyZWFtCnicTZBNDkIhEIP3nKIXMKHzA4/zaFzp/bd28PnigvRLIUOnwwMdR+JGR4bO6HiwyTEOvAsyJl6N85+M6ySOCeoVbcG6tDvuzSwxJywTI2BrlNybRxT44ZgLQYLs8sMXGESka5hvNZ91k35+u9Nd1KV199MjCpzIjlAMG3AF2NM9DtwSzu+aJr9UKRmbOJQPVBeRstkJhailYpdTVWiM4lY974te7fkBwfY7+wplbmRzdHJlYW0KZW5kb2JqCjU2IDAgb2JqCjw8IC9CQm94IFsgLTEwMjEgLTQ2MyAxNzk0IDEyMzMgXSAvRmlsdGVyIC9GbGF0ZURlY29kZSAvTGVuZ3RoIDcyCi9TdWJ0eXBlIC9Gb3JtIC9UeXBlIC9YT2JqZWN0ID4+CnN0cmVhbQp4nOPSNbIwVbAwMFDI5dI1MjQGM3O4dC2NFcwMzUAsQzNDGNPIxFLB3BjMNDY2h4maGJjCFUDNgqo1NYMYC2XmcKUBAJODFU4KZW5kc3RyZWFtCmVuZG9iago1NyAwIG9iago8PCAvRmlsdGVyIC9GbGF0ZURlY29kZSAvTGVuZ3RoIDg4ID4+CnN0cmVhbQp4nDWMuxHAMAhDe0/BCAaLj/fJpUr2b4Pt0ICkd/eCgzpB8rgbKZwubtlXehuPk54mALH0TEPt32BF1YtaFC1fbmPQYiq+P/okIJZ18l449JAS3h/FFx17CmVuZHN0cmVhbQplbmRvYmoKNTggMCBvYmoKPDwgL0ZpbHRlciAvRmxhdGVEZWNvZGUgL0xlbmd0aCA3NCA+PgpzdHJlYW0KeJw9jMENgDAMA/+dIiM0iU0yEOIF+39pCu3HPp1k0yhd4BVpQoSc2shJT1vunoSDgxSQsF9t6NW+Kkt7qiBqMv42fHfXC3ccF04KZW5kc3RyZWFtCmVuZG9iago1OSAwIG9iago8PCAvRmlsdGVyIC9GbGF0ZURlY29kZSAvTGVuZ3RoIDIxMCA+PgpzdHJlYW0KeJw1UMsNQzEIu2cKFqgUAoFknla9df9rbdA7YRH/QljIlAh5qcnOKelLPjpMD7Yuv7EiC611JezKmiCeK++hmbKx0djiYHAaJl6AFjdg6GmNGjV04YKmLpVCgcUl8Jl8dXvovk8ZeGoZcnYEEUPJYAlquhZNWLQ8n5BOAeL/fsPuLeShkvPKnhv5G5zt8DuzbuEnanYi0XIVMtSzNMcYCBNFHjx5RaZw4rPWd9U0EtRmC06WAa5OP4wOAGAiXlmA7K5EOUvSjqWfb7zH9w9AAFO0CmVuZHN0cmVhbQplbmRvYmoKMjIgMCBvYmoKPDwgL0Jhc2VGb250IC9EZWphVnVTYW5zIC9DaGFyUHJvY3MgMjMgMCBSCi9FbmNvZGluZyA8PAovRGlmZmVyZW5jZXMgWyAzMiAvc3BhY2UgNDAgL3BhcmVubGVmdCAvcGFyZW5yaWdodCA0NiAvcGVyaW9kIC9zbGFzaCAvemVybyAvb25lIC90d28KL3RocmVlIC9mb3VyIC9maXZlIDY4IC9EIDgwIC9QIDgzIC9TIDk3IC9hIDk5IC9jIC9kIC9lIC9mIC9nIC9oIC9pIDEwOSAvbQovbiAvbyAvcCAvcSAvciAvcyAvdCAvdSAxMTkgL3cgMTIyIC96IF0KL1R5cGUgL0VuY29kaW5nID4+Ci9GaXJzdENoYXIgMCAvRm9udEJCb3ggWyAtMTAyMSAtNDYzIDE3OTQgMTIzMyBdIC9Gb250RGVzY3JpcHRvciAyMSAwIFIKL0ZvbnRNYXRyaXggWyAwLjAwMSAwIDAgMC4wMDEgMCAwIF0gL0xhc3RDaGFyIDI1NSAvTmFtZSAvRGVqYVZ1U2FucwovU3VidHlwZSAvVHlwZTMgL1R5cGUgL0ZvbnQgL1dpZHRocyAyMCAwIFIgPj4KZW5kb2JqCjIxIDAgb2JqCjw8IC9Bc2NlbnQgOTI5IC9DYXBIZWlnaHQgMCAvRGVzY2VudCAtMjM2IC9GbGFncyAzMgovRm9udEJCb3ggWyAtMTAyMSAtNDYzIDE3OTQgMTIzMyBdIC9Gb250TmFtZSAvRGVqYVZ1U2FucyAvSXRhbGljQW5nbGUgMAovTWF4V2lkdGggMTM0MiAvU3RlbVYgMCAvVHlwZSAvRm9udERlc2NyaXB0b3IgL1hIZWlnaHQgMCA+PgplbmRvYmoKMjAgMCBvYmoKWyA2MDAgNjAwIDYwMCA2MDAgNjAwIDYwMCA2MDAgNjAwIDYwMCA2MDAgNjAwIDYwMCA2MDAgNjAwIDYwMCA2MDAgNjAwIDYwMAo2MDAgNjAwIDYwMCA2MDAgNjAwIDYwMCA2MDAgNjAwIDYwMCA2MDAgNjAwIDYwMCA2MDAgNjAwIDMxOCA0MDEgNDYwIDgzOCA2MzYKOTUwIDc4MCAyNzUgMzkwIDM5MCA1MDAgODM4IDMxOCAzNjEgMzE4IDMzNyA2MzYgNjM2IDYzNiA2MzYgNjM2IDYzNiA2MzYgNjM2CjYzNiA2MzYgMzM3IDMzNyA4MzggODM4IDgzOCA1MzEgMTAwMCA2ODQgNjg2IDY5OCA3NzAgNjMyIDU3NSA3NzUgNzUyIDI5NQoyOTUgNjU2IDU1NyA4NjMgNzQ4IDc4NyA2MDMgNzg3IDY5NSA2MzUgNjExIDczMiA2ODQgOTg5IDY4NSA2MTEgNjg1IDM5MCAzMzcKMzkwIDgzOCA1MDAgNTAwIDYxMyA2MzUgNTUwIDYzNSA2MTUgMzUyIDYzNSA2MzQgMjc4IDI3OCA1NzkgMjc4IDk3NCA2MzQgNjEyCjYzNSA2MzUgNDExIDUyMSAzOTIgNjM0IDU5MiA4MTggNTkyIDU5MiA1MjUgNjM2IDMzNyA2MzYgODM4IDYwMCA2MzYgNjAwIDMxOAozNTIgNTE4IDEwMDAgNTAwIDUwMCA1MDAgMTM0MiA2MzUgNDAwIDEwNzAgNjAwIDY4NSA2MDAgNjAwIDMxOCAzMTggNTE4IDUxOAo1OTAgNTAwIDEwMDAgNTAwIDEwMDAgNTIxIDQwMCAxMDIzIDYwMCA1MjUgNjExIDMxOCA0MDEgNjM2IDYzNiA2MzYgNjM2IDMzNwo1MDAgNTAwIDEwMDAgNDcxIDYxMiA4MzggMzYxIDEwMDAgNTAwIDUwMCA4MzggNDAxIDQwMSA1MDAgNjM2IDYzNiAzMTggNTAwCjQwMSA0NzEgNjEyIDk2OSA5NjkgOTY5IDUzMSA2ODQgNjg0IDY4NCA2ODQgNjg0IDY4NCA5NzQgNjk4IDYzMiA2MzIgNjMyIDYzMgoyOTUgMjk1IDI5NSAyOTUgNzc1IDc0OCA3ODcgNzg3IDc4NyA3ODcgNzg3IDgzOCA3ODcgNzMyIDczMiA3MzIgNzMyIDYxMSA2MDUKNjMwIDYxMyA2MTMgNjEzIDYxMyA2MTMgNjEzIDk4MiA1NTAgNjE1IDYxNSA2MTUgNjE1IDI3OCAyNzggMjc4IDI3OCA2MTIgNjM0CjYxMiA2MTIgNjEyIDYxMiA2MTIgODM4IDYxMiA2MzQgNjM0IDYzNCA2MzQgNTkyIDYzNSA1OTIgXQplbmRvYmoKMjMgMCBvYmoKPDwgL0QgMjQgMCBSIC9QIDI2IDAgUiAvUyAyOCAwIFIgL2EgMjkgMCBSIC9jIDMwIDAgUiAvZCAzMSAwIFIgL2UgMzIgMCBSCi9mIDMzIDAgUiAvZml2ZSAzNCAwIFIgL2ZvdXIgMzUgMCBSIC9nIDM2IDAgUiAvaCAzNyAwIFIgL2kgMzggMCBSIC9tIDM5IDAgUgovbiA0MCAwIFIgL28gNDEgMCBSIC9vbmUgNDIgMCBSIC9wIDQzIDAgUiAvcGFyZW5sZWZ0IDQ0IDAgUgovcGFyZW5yaWdodCA0NSAwIFIgL3BlcmlvZCA0NiAwIFIgL3EgNDcgMCBSIC9yIDQ4IDAgUiAvcyA0OSAwIFIKL3NsYXNoIDUwIDAgUiAvc3BhY2UgNTEgMCBSIC90IDUyIDAgUiAvdGhyZWUgNTMgMCBSIC90d28gNTQgMCBSIC91IDU1IDAgUgovdyA1NyAwIFIgL3ogNTggMCBSIC96ZXJvIDU5IDAgUiA+PgplbmRvYmoKMyAwIG9iago8PCAvRjEgMjIgMCBSIC9GMiAxNCAwIFIgPj4KZW5kb2JqCjQgMCBvYmoKPDwgL0ExIDw8IC9DQSAwIC9UeXBlIC9FeHRHU3RhdGUgL2NhIDEgPj4KL0EyIDw8IC9DQSAxIC9UeXBlIC9FeHRHU3RhdGUgL2NhIDEgPj4KL0EzIDw8IC9DQSAwLjggL1R5cGUgL0V4dEdTdGF0ZSAvY2EgMC44ID4+ID4+CmVuZG9iago1IDAgb2JqCjw8ID4+CmVuZG9iago2IDAgb2JqCjw8ID4+CmVuZG9iago3IDAgb2JqCjw8IC9GMS1EZWphVnVTYW5zLU9tZWdhIDI1IDAgUiAvRjEtRGVqYVZ1U2Fucy1QaGkgMjcgMCBSCi9GMS1EZWphVnVTYW5zLXVuaTAzMDIgNTYgMCBSIC9GMi1EZWphVnVTYW5zLU9ibGlxdWUtc2lnbWEgMTkgMCBSID4+CmVuZG9iagoyIDAgb2JqCjw8IC9Db3VudCAxIC9LaWRzIFsgMTAgMCBSIF0gL1R5cGUgL1BhZ2VzID4+CmVuZG9iago2MCAwIG9iago8PCAvQ3JlYXRpb25EYXRlIChEOjIwMjEwMTE4MTIyMjMwKzAyJzAwJykKL0NyZWF0b3IgKE1hdHBsb3RsaWIgdjMuMy4yLCBodHRwczovL21hdHBsb3RsaWIub3JnKQovUHJvZHVjZXIgKE1hdHBsb3RsaWIgcGRmIGJhY2tlbmQgdjMuMy4yKSA+PgplbmRvYmoKeHJlZgowIDYxCjAwMDAwMDAwMDAgNjU1MzUgZiAKMDAwMDAwMDAxNiAwMDAwMCBuIAowMDAwMDE3MjYxIDAwMDAwIG4gCjAwMDAwMTY4OTMgMDAwMDAgbiAKMDAwMDAxNjkzNiAwMDAwMCBuIAowMDAwMDE3MDc4IDAwMDAwIG4gCjAwMDAwMTcwOTkgMDAwMDAgbiAKMDAwMDAxNzEyMCAwMDAwMCBuIAowMDAwMDAwMDY1IDAwMDAwIG4gCjAwMDAwMDAzOTcgMDAwMDAgbiAKMDAwMDAwMDIwOCAwMDAwMCBuIAowMDAwMDAyNTYzIDAwMDAwIG4gCjAwMDAwMDQyNTggMDAwMDAgbiAKMDAwMDAwNDA1MCAwMDAwMCBuIAowMDAwMDAzNzIxIDAwMDAwIG4gCjAwMDAwMDUzMTEgMDAwMDAgbiAKMDAwMDAwMjU4NCAwMDAwMCBuIAowMDAwMDAyNzQ0IDAwMDAwIG4gCjAwMDAwMDMxNDQgMDAwMDAgbiAKMDAwMDAwMzM2OSAwMDAwMCBuIAowMDAwMDE1NDQxIDAwMDAwIG4gCjAwMDAwMTUyNDEgMDAwMDAgbiAKMDAwMDAxNDc2NiAwMDAwMCBuIAowMDAwMDE2NDk0IDAwMDAwIG4gCjAwMDAwMDUzNjMgMDAwMDAgbiAKMDAwMDAwNTU5NiAwMDAwMCBuIAowMDAwMDA1OTY3IDAwMDAwIG4gCjAwMDAwMDYyMDUgMDAwMDAgbiAKMDAwMDAwNjU3NyAwMDAwMCBuIAowMDAwMDA2OTg4IDAwMDAwIG4gCjAwMDAwMDczNjUgMDAwMDAgbiAKMDAwMDAwNzY2OCAwMDAwMCBuIAowMDAwMDA3OTY4IDAwMDAwIG4gCjAwMDAwMDgyODYgMDAwMDAgbiAKMDAwMDAwODQ5MiAwMDAwMCBuIAowMDAwMDA4ODEyIDAwMDAwIG4gCjAwMDAwMDg5NzQgMDAwMDAgbiAKMDAwMDAwOTM4NSAwMDAwMCBuIAowMDAwMDA5NjIxIDAwMDAwIG4gCjAwMDAwMDk3NjEgMDAwMDAgbiAKMDAwMDAxMDA4OSAwMDAwMCBuIAowMDAwMDEwMzIzIDAwMDAwIG4gCjAwMDAwMTA2MTAgMDAwMDAgbiAKMDAwMDAxMDc2MiAwMDAwMCBuIAowMDAwMDExMDcxIDAwMDAwIG4gCjAwMDAwMTEyOTEgMDAwMDAgbiAKMDAwMDAxMTUxMyAwMDAwMCBuIAowMDAwMDExNjM0IDAwMDAwIG4gCjAwMDAwMTE5NDQgMDAwMDAgbiAKMDAwMDAxMjE3NCAwMDAwMCBuIAowMDAwMDEyNTc5IDAwMDAwIG4gCjAwMDAwMTI3MDMgMDAwMDAgbiAKMDAwMDAxMjc5MiAwMDAwMCBuIAowMDAwMDEyOTk2IDAwMDAwIG4gCjAwMDAwMTM0MDcgMDAwMDAgbiAKMDAwMDAxMzcyOCAwMDAwMCBuIAowMDAwMDEzOTcyIDAwMDAwIG4gCjAwMDAwMTQxNzcgMDAwMDAgbiAKMDAwMDAxNDMzNyAwMDAwMCBuIAowMDAwMDE0NDgzIDAwMDAwIG4gCjAwMDAwMTczMjEgMDAwMDAgbiAKdHJhaWxlcgo8PCAvSW5mbyA2MCAwIFIgL1Jvb3QgMSAwIFIgL1NpemUgNjEgPj4Kc3RhcnR4cmVmCjE3NDc4CiUlRU9GCg==\n",
"image/svg+xml": [
"\n",
"\n",
"\n",
"\n"
],
"text/plain": [
""
]
},
"metadata": {},
"output_type": "display_data"
}
],
"source": [
"import numpy as np\n",
"import matplotlib.pyplot as plt\n",
"import scipy.signal as sig\n",
"\n",
"w = 8 # wordlength of the quantized signal\n",
"xmin = -1 # minimum of input signal\n",
"N = 32768 # number of samples\n",
"\n",
"\n",
"def uniform_midtread_quantizer_w_ns(x, Q):\n",
" \"\"\"Uniform mid-tread quantizer with noise shaping.\"\"\"\n",
" # limiter\n",
" x = np.copy(x)\n",
" idx = np.where(x <= -1)\n",
" x[idx] = -1\n",
" idx = np.where(x > 1 - Q)\n",
" x[idx] = 1 - Q\n",
" # linear uniform quantization with noise shaping\n",
" xQ = Q * np.floor(x / Q + 1 / 2)\n",
" e = xQ - x\n",
" xQ = xQ - np.concatenate(([0], e[0:-1]))\n",
"\n",
" return xQ[1:]\n",
"\n",
"\n",
"# quantization step\n",
"Q = 1 / (2 ** (w - 1))\n",
"# compute input signal\n",
"np.random.seed(5)\n",
"x = np.random.uniform(size=N, low=xmin, high=(-xmin - Q))\n",
"# quantize signal\n",
"xQ = uniform_midtread_quantizer_w_ns(x, Q)\n",
"e = xQ - x[1:]\n",
"# estimate PSD of error signal\n",
"nf, Pee = sig.welch(e, nperseg=64)\n",
"# estimate SNR\n",
"SNR = 10 * np.log10((np.var(x) / np.var(e)))\n",
"print(\"SNR = {:2.1f} dB\".format(SNR))\n",
"\n",
"\n",
"plt.figure(figsize=(10, 5))\n",
"Om = nf * 2 * np.pi\n",
"plt.plot(Om, Pee * 6 / Q**2, label=\"estimated PSD\")\n",
"plt.plot(Om, np.abs(1 - np.exp(-1j * Om)) ** 2, label=\"theoretic PSD\")\n",
"plt.plot(Om, np.ones(Om.shape), label=\"PSD w/o noise shaping\")\n",
"plt.title(\"PSD of quantization error\")\n",
"plt.xlabel(r\"$\\Omega$\")\n",
"plt.ylabel(r\"$\\hat{\\Phi}_{e_H e_H}(e^{j \\Omega}) / \\sigma_e^2$\")\n",
"plt.axis([0, np.pi, 0, 4.5])\n",
"plt.legend(loc=\"upper left\")\n",
"plt.grid()"
]
},
{
"cell_type": "markdown",
"metadata": {},
"source": [
"**Exercise**\n",
"\n",
"* The overall average SNR is lower than for the quantizer without noise shaping. Why?\n",
"\n",
"Solution: The average power per frequency is lower than without noise shaping for frequencies below $\\Omega \\approx \\pi$. However, this comes at the cost of a larger average power per frequency for frequencies above $\\Omega \\approx \\pi$. The average power of the quantization noise is given as the integral over the PSD of the quantization noise. It is larger for noise shaping and the resulting SNR is consequently lower. Noise shaping is nevertheless beneficial in applications where a lower quantization error in a limited frequency region is desired."
]
},
{
"cell_type": "markdown",
"metadata": {
"nbsphinx": "hidden"
},
"source": [
"**Copyright**\n",
"\n",
"This notebook is provided as [Open Educational Resource](https://en.wikipedia.org/wiki/Open_educational_resources). Feel free to use the notebook for your own purposes. The text is licensed under [Creative Commons Attribution 4.0](https://creativecommons.org/licenses/by/4.0/), the code of the IPython examples under the [MIT license](https://opensource.org/licenses/MIT). Please attribute the work as follows: *Sascha Spors, Digital Signal Processing - Lecture notes featuring computational examples*."
]
}
],
"metadata": {
"kernelspec": {
"display_name": "Python 3 (ipykernel)",
"language": "python",
"name": "python3"
},
"language_info": {
"codemirror_mode": {
"name": "ipython",
"version": 3
},
"file_extension": ".py",
"mimetype": "text/x-python",
"name": "python",
"nbconvert_exporter": "python",
"pygments_lexer": "ipython3",
"version": "3.9.16"
}
},
"nbformat": 4,
"nbformat_minor": 1
}