SPPARKS Website - SPPARKS Documentation - SPPARKS Commands

pair_style lj command

Syntax:

pair_style lj Ntypes cutoff 

Examples:

pair_style lj 1 2.5
pair_style lj 3 3.0 

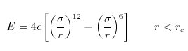
Description:

The lj/cut style computes the standard 12/6 Lennard-Jones potential, given by

Rc is the cutoff.

The following coefficients must be defined for each pair of particle types via the pair_coeff command, or by mixing as described below:

Note that sigma is defined in the LJ formula as the zero-crossing distance for the potential, not as the energy minimum at 2^(1/6) sigma.

The last coefficients is optional. If not specified, the global LJ cutoff specified in the pair_style command is used.


Mixing info:

For atom type pairs I,J and I != J, the epsilon and sigma coefficients and cutoff distance for all of the lj/cut pair styles can be mixed. The style of mixing is geometric, which means that

epsilon_ij = sqrt(epsilon_i * epsilon_j)
sigma_ij = sqrt(sigma_i * sigma_j) 

Restrictions: none

Related commands: none

Default: none