Last updated: 2022-02-21

Checks: 6 1

Knit directory: cTWAS_analysis/

This reproducible R Markdown analysis was created with workflowr (version 1.6.2). The Checks tab describes the reproducibility checks that were applied when the results were created. The Past versions tab lists the development history.


Great! Since the R Markdown file has been committed to the Git repository, you know the exact version of the code that produced these results.

Great job! The global environment was empty. Objects defined in the global environment can affect the analysis in your R Markdown file in unknown ways. For reproduciblity it’s best to always run the code in an empty environment.

The command set.seed(20211220) was run prior to running the code in the R Markdown file. Setting a seed ensures that any results that rely on randomness, e.g. subsampling or permutations, are reproducible.

Great job! Recording the operating system, R version, and package versions is critical for reproducibility.

Nice! There were no cached chunks for this analysis, so you can be confident that you successfully produced the results during this run.

Using absolute paths to the files within your workflowr project makes it difficult for you and others to run your code on a different machine. Change the absolute path(s) below to the suggested relative path(s) to make your code more reproducible.

absolute relative
/project2/xinhe/shengqian/cTWAS/cTWAS_analysis/data/ data
/project2/xinhe/shengqian/cTWAS/cTWAS_analysis/code/ctwas_config.R code/ctwas_config.R

Great! You are using Git for version control. Tracking code development and connecting the code version to the results is critical for reproducibility.

The results in this page were generated with repository version bbf6737. See the Past versions tab to see a history of the changes made to the R Markdown and HTML files.

Note that you need to be careful to ensure that all relevant files for the analysis have been committed to Git prior to generating the results (you can use wflow_publish or wflow_git_commit). workflowr only checks the R Markdown file, but you know if there are other scripts or data files that it depends on. Below is the status of the Git repository when the results were generated:


Ignored files:
    Ignored:    .ipynb_checkpoints/

Untracked files:
    Untracked:  Rplot.png
    Untracked:  analysis/Glucose_Adipose_Subcutaneous.Rmd
    Untracked:  analysis/Glucose_Adipose_Visceral_Omentum.Rmd
    Untracked:  analysis/Splicing_Test.Rmd
    Untracked:  code/.ipynb_checkpoints/
    Untracked:  code/AF_out/
    Untracked:  code/BMI_S_out/
    Untracked:  code/BMI_out/
    Untracked:  code/Glucose_out/
    Untracked:  code/LDL_S_out/
    Untracked:  code/T2D_out/
    Untracked:  code/ctwas_config.R
    Untracked:  code/mapping.R
    Untracked:  code/out/
    Untracked:  code/run_AF_analysis.sbatch
    Untracked:  code/run_AF_analysis.sh
    Untracked:  code/run_AF_ctwas_rss_LDR.R
    Untracked:  code/run_BMI_analysis.sbatch
    Untracked:  code/run_BMI_analysis.sh
    Untracked:  code/run_BMI_analysis_S.sbatch
    Untracked:  code/run_BMI_analysis_S.sh
    Untracked:  code/run_BMI_ctwas_rss_LDR.R
    Untracked:  code/run_BMI_ctwas_rss_LDR_S.R
    Untracked:  code/run_Glucose_analysis.sbatch
    Untracked:  code/run_Glucose_analysis.sh
    Untracked:  code/run_Glucose_ctwas_rss_LDR.R
    Untracked:  code/run_LDL_analysis_S.sbatch
    Untracked:  code/run_LDL_analysis_S.sh
    Untracked:  code/run_LDL_ctwas_rss_LDR_S.R
    Untracked:  code/run_T2D_analysis.sbatch
    Untracked:  code/run_T2D_analysis.sh
    Untracked:  code/run_T2D_ctwas_rss_LDR.R
    Untracked:  data/.ipynb_checkpoints/
    Untracked:  data/AF/
    Untracked:  data/BMI/
    Untracked:  data/BMI_S/
    Untracked:  data/Glucose/
    Untracked:  data/LDL_S/
    Untracked:  data/T2D/
    Untracked:  data/TEST/
    Untracked:  data/UKBB/
    Untracked:  data/UKBB_SNPs_Info.text
    Untracked:  data/gene_OMIM.txt
    Untracked:  data/gene_pip_0.8.txt
    Untracked:  data/mashr_Heart_Atrial_Appendage.db
    Untracked:  data/mashr_sqtl/
    Untracked:  data/summary_known_genes_annotations.xlsx
    Untracked:  data/untitled.txt

Note that any generated files, e.g. HTML, png, CSS, etc., are not included in this status report because it is ok for generated content to have uncommitted changes.


These are the previous versions of the repository in which changes were made to the R Markdown (analysis/BMI_Brain_Cerebellum.Rmd) and HTML (docs/BMI_Brain_Cerebellum.html) files. If you’ve configured a remote Git repository (see ?wflow_git_remote), click on the hyperlinks in the table below to view the files as they were in that past version.

File Version Author Date Message
Rmd bbf6737 sq-96 2022-02-21 update
html 91f38fa sq-96 2022-02-13 Build site.
Rmd eb13ecf sq-96 2022-02-13 update
html e6bc169 sq-96 2022-02-13 Build site.
Rmd 87fee8b sq-96 2022-02-13 update

Weight QC

#number of imputed weights
nrow(qclist_all)
[1] 11531
#number of imputed weights by chromosome
table(qclist_all$chr)

   1    2    3    4    5    6    7    8    9   10   11   12   13   14   15   16 
1121  807  665  420  560  646  573  430  448  462  693  623  228  380  382  542 
  17   18   19   20   21   22 
 704  176  906  343  127  295 
#number of imputed weights without missing variants
sum(qclist_all$nmiss==0)
[1] 8840
#proportion of imputed weights without missing variants
mean(qclist_all$nmiss==0)
[1] 0.7666

Check convergence of parameters

Version Author Date
e6bc169 sq-96 2022-02-13
#estimated group prior
estimated_group_prior <- group_prior_rec[,ncol(group_prior_rec)]
names(estimated_group_prior) <- c("gene", "snp")
estimated_group_prior["snp"] <- estimated_group_prior["snp"]*thin #adjust parameter to account for thin argument
print(estimated_group_prior)
     gene       snp 
0.0114612 0.0002791 
#estimated group prior variance
estimated_group_prior_var <- group_prior_var_rec[,ncol(group_prior_var_rec)]
names(estimated_group_prior_var) <- c("gene", "snp")
print(estimated_group_prior_var)
 gene   snp 
17.34 17.71 
#report sample size
print(sample_size)
[1] 336107
#report group size
group_size <- c(nrow(ctwas_gene_res), n_snps)
print(group_size)
[1]   11531 7535010
#estimated group PVE
estimated_group_pve <- estimated_group_prior_var*estimated_group_prior*group_size/sample_size #check PVE calculation
names(estimated_group_pve) <- c("gene", "snp")
print(estimated_group_pve)
    gene      snp 
0.006817 0.110820 
#compare sum(PIP*mu2/sample_size) with above PVE calculation
c(sum(ctwas_gene_res$PVE),sum(ctwas_snp_res$PVE))
[1]  0.08778 17.62682

Genes with highest PIPs

           genename region_tag susie_pip     mu2       PVE      z num_eqtl
3434          CCND2       12_4    0.9754   28.48 8.266e-05 -5.120        1
983          PIK3C3      18_23    0.9392   51.84 1.449e-04  6.828        2
8986        C1QTNF4      11_29    0.9284 1287.45 3.556e-03 11.152        2
507           KCNH2       7_93    0.9260   43.04 1.186e-04  6.515        2
4444          TRAF3      14_54    0.9110   60.27 1.634e-04 -8.170        1
12533          ETV5      3_114    0.9061   94.53 2.549e-04  9.862        1
5033          DCAF7      17_37    0.9007   28.31 7.587e-05  5.437        1
1797       PPP1R16B      20_23    0.9001   21.05 5.638e-05 -4.129        1
8020          CASP7      10_71    0.8958   24.20 6.450e-05  4.584        1
9598         ZBTB41       1_98    0.8825 1744.49 4.580e-03  4.618        1
6041           ECE2      3_113    0.8424   29.53 7.402e-05 -5.315        1
13701  RP11-823E8.3      12_54    0.7583  102.48 2.312e-04 -6.438        1
10915       ZKSCAN5       7_61    0.7330   52.16 1.138e-04  7.133        1
7609       SERPINI1      3_103    0.7283   21.23 4.600e-05 -4.173        2
3223          EDEM3       1_92    0.7278   28.50 6.171e-05  5.238        1
13885      PRICKLE4       6_32    0.7231   23.69 5.097e-05 -4.797        1
12931 RP11-218E20.3      14_20    0.7194   21.32 4.563e-05 -3.497        2
13700         NOL12      22_15    0.7137   28.48 6.046e-05 -4.159        1
6995         DYRK1A      21_18    0.7102   21.12 4.462e-05 -4.006        1
11862         TEX40      11_36    0.7099   30.73 6.492e-05 -5.495        1

Genes with largest effect sizes

          genename region_tag susie_pip   mu2       PVE      z num_eqtl
135           NADK        1_1 0.000e+00 34223 0.000e+00  4.859        2
9678         STX19       3_59 0.000e+00 31351 0.000e+00 -5.060        1
10427         GSAP       7_49 3.331e-16 31262 3.098e-17  5.260        1
2201        PIK3R2      19_14 0.000e+00 28047 0.000e+00  5.621        1
12651 CTD-3074O7.2      11_37 6.961e-08 26961 5.584e-09 -4.561        2
12665 RP11-757G1.6      11_38 2.704e-01 24015 1.932e-02  4.314        2
5499         MFAP1      15_16 0.000e+00 23944 0.000e+00  4.303        1
11029       MRPL21      11_38 1.278e-03 23927 9.101e-05  4.379        1
4902          HEY2       6_84 0.000e+00 23615 0.000e+00  3.066        1
756          MAPK6      15_21 7.398e-03 23519 5.176e-04 -4.662        1
8147          LEO1      15_21 5.343e-04 23367 3.714e-05  4.647        1
13664    LINC02019       3_35 1.112e-07 22719 7.513e-09 -4.362        2
4212         TMOD2      15_21 0.000e+00 22290 0.000e+00  4.403        1
5505        LYSMD2      15_21 0.000e+00 22290 0.000e+00  4.403        1
1379         WDR76      15_16 0.000e+00 21871 0.000e+00  4.420        2
11904       CKMT1A      15_16 0.000e+00 21445 0.000e+00  4.130        1
3034          CISH       3_35 0.000e+00 20422 0.000e+00 -3.799        1
10708         DPYD       1_60 0.000e+00 19375 0.000e+00 -2.963        2
3033         HEMK1       3_35 0.000e+00 19267 0.000e+00 -4.682        1
13533    U91328.19       6_20 0.000e+00 18947 0.000e+00 -5.327        2

Genes with highest PVE

          genename region_tag susie_pip      mu2       PVE       z num_eqtl
12665 RP11-757G1.6      11_38  0.270376 24015.26 0.0193187   4.314        2
6352         CELF1      11_29  0.300033 13975.32 0.0124754  -3.558        1
2658        PTPMT1      11_29  0.300033 13975.32 0.0124754  -3.558        1
276           CPS1      2_124  0.529443  4711.27 0.0074213  -3.535        1
6638         PANK1      10_57  0.320041  6099.70 0.0058081  -3.857        1
9598        ZBTB41       1_98  0.882510  1744.49 0.0045805   4.618        1
8986       C1QTNF4      11_29  0.928384  1287.45 0.0035562  11.152        2
756          MAPK6      15_21  0.007398 23518.62 0.0005176  -4.662        1
10898        AFAP1        4_9  0.244594   587.90 0.0004278   4.142        2
12533         ETV5      3_114  0.906113    94.53 0.0002549   9.862        1
11901        VPS52       6_28  0.677229   124.40 0.0002507   1.606        1
11712       NDUFS3      11_29  0.059984  1353.72 0.0002416 -10.874        1
13701 RP11-823E8.3      12_54  0.758347   102.48 0.0002312  -6.438        1
4444         TRAF3      14_54  0.911008    60.27 0.0001634  -8.170        1
983         PIK3C3      18_23  0.939184    51.84 0.0001449   6.828        2
507          KCNH2       7_93  0.926029    43.04 0.0001186   6.515        2
9411         NUPR1      16_23  0.606521    63.68 0.0001149 -10.468        2
10915      ZKSCAN5       7_61  0.732954    52.16 0.0001138   7.133        1
5638       C18orf8      18_12  0.596521    56.76 0.0001007   7.506        2
13896       DHRS11      17_22  0.545531    61.62 0.0001000  -8.128        1

Genes with largest z scores

      genename region_tag susie_pip     mu2       PVE       z num_eqtl
34        RBM6       3_35 1.402e-03  914.63 3.816e-06  12.536        1
9289    KCTD13      16_24 1.258e-01  109.37 4.093e-05 -11.491        1
7735     MST1R       3_35 1.838e-10  233.55 1.277e-13 -11.458        2
8986   C1QTNF4      11_29 9.284e-01 1287.45 3.556e-03  11.152        2
7729    RNF123       3_35 1.686e-11  829.60 4.161e-14 -10.957        1
1860     MAPK3      16_24 2.536e-02   97.55 7.360e-06  10.880        1
11712   NDUFS3      11_29 5.998e-02 1353.72 2.416e-04 -10.874        1
9411     NUPR1      16_23 6.065e-01   63.68 1.149e-04 -10.468        2
12230   NPIPB7      16_23 5.871e-02   62.12 1.085e-05  10.429        1
8623    INO80E      16_24 4.239e-02   86.81 1.095e-05  10.393        2
10945 C6orf106       6_28 4.877e-05  118.65 1.722e-08 -10.264        1
640   UHRF1BP1       6_28 1.556e-05   97.69 4.523e-09  10.203        2
12533     ETV5      3_114 9.061e-01   94.53 2.549e-04   9.862        1
1952     BCKDK      16_24 1.729e-02   67.73 3.484e-06  -9.556        2
7733     CAMKV       3_35 0.000e+00 1461.86 0.000e+00  -9.545        2
2608     MTCH2      11_29 3.575e-14  508.58 5.409e-17  -9.514        1
10920  FAM180B      11_29 1.743e-14  504.82 2.618e-17  -9.432        1
1953      KAT8      16_24 1.836e-02   63.60 3.473e-06  -9.181        2
8987     NEGR1       1_46 6.023e-01   44.67 8.005e-05  -8.928        1
10248    APOBR      16_23 9.618e-03   41.38 1.184e-06  -8.735        1

Comparing z scores and PIPs

[1] 0.0235
      genename region_tag susie_pip     mu2       PVE       z num_eqtl
34        RBM6       3_35 1.402e-03  914.63 3.816e-06  12.536        1
9289    KCTD13      16_24 1.258e-01  109.37 4.093e-05 -11.491        1
7735     MST1R       3_35 1.838e-10  233.55 1.277e-13 -11.458        2
8986   C1QTNF4      11_29 9.284e-01 1287.45 3.556e-03  11.152        2
7729    RNF123       3_35 1.686e-11  829.60 4.161e-14 -10.957        1
1860     MAPK3      16_24 2.536e-02   97.55 7.360e-06  10.880        1
11712   NDUFS3      11_29 5.998e-02 1353.72 2.416e-04 -10.874        1
9411     NUPR1      16_23 6.065e-01   63.68 1.149e-04 -10.468        2
12230   NPIPB7      16_23 5.871e-02   62.12 1.085e-05  10.429        1
8623    INO80E      16_24 4.239e-02   86.81 1.095e-05  10.393        2
10945 C6orf106       6_28 4.877e-05  118.65 1.722e-08 -10.264        1
640   UHRF1BP1       6_28 1.556e-05   97.69 4.523e-09  10.203        2
12533     ETV5      3_114 9.061e-01   94.53 2.549e-04   9.862        1
1952     BCKDK      16_24 1.729e-02   67.73 3.484e-06  -9.556        2
7733     CAMKV       3_35 0.000e+00 1461.86 0.000e+00  -9.545        2
2608     MTCH2      11_29 3.575e-14  508.58 5.409e-17  -9.514        1
10920  FAM180B      11_29 1.743e-14  504.82 2.618e-17  -9.432        1
1953      KAT8      16_24 1.836e-02   63.60 3.473e-06  -9.181        2
8987     NEGR1       1_46 6.023e-01   44.67 8.005e-05  -8.928        1
10248    APOBR      16_23 9.618e-03   41.38 1.184e-06  -8.735        1

GO enrichment analysis for genes with PIP>0.5

#number of genes for gene set enrichment
length(genes)
[1] 52
Uploading data to Enrichr... Done.
  Querying GO_Biological_Process_2021... Done.
  Querying GO_Cellular_Component_2021... Done.
  Querying GO_Molecular_Function_2021... Done.
Parsing results... Done.
[1] "GO_Biological_Process_2021"

[1] Term             Overlap          Adjusted.P.value Genes           
<0 rows> (or 0-length row.names)
[1] "GO_Cellular_Component_2021"

[1] Term             Overlap          Adjusted.P.value Genes           
<0 rows> (or 0-length row.names)
[1] "GO_Molecular_Function_2021"

[1] Term             Overlap          Adjusted.P.value Genes           
<0 rows> (or 0-length row.names)

DisGeNET enrichment analysis for genes with PIP>0.5

                                                                         Description
83                                 Carbamoyl-Phosphate Synthase I Deficiency Disease
107                        Familial encephalopathy with neuroserpin inclusion bodies
119                                         MENTAL RETARDATION, AUTOSOMAL DOMINANT 7
121 ENCEPHALOPATHY, ACUTE, INFECTION-INDUCED (HERPES-SPECIFIC), SUSCEPTIBILITY TO, 5
122                                        MENTAL RETARDATION, AUTOSOMAL DOMINANT 17
125                              PULMONARY HYPERTENSION, NEONATAL, SUSCEPTIBILITY TO
128               MEGALENCEPHALY-POLYMICROGYRIA-POLYDACTYLY-HYDROCEPHALUS SYNDROME 3
129                Hyperammonemia Due to Carbamoyl Phosphate Synthetase 1 Deficiency
130                                        Carbamoyl Phosphate Synthase 1 Deficiency
43                                             Persistent Fetal Circulation Syndrome
        FDR Ratio BgRatio
83  0.03247  1/21  1/9703
107 0.03247  1/21  1/9703
119 0.03247  1/21  1/9703
121 0.03247  1/21  1/9703
122 0.03247  1/21  1/9703
125 0.03247  1/21  1/9703
128 0.03247  1/21  1/9703
129 0.03247  1/21  1/9703
130 0.03247  1/21  1/9703
43  0.05307  1/21  2/9703

WebGestalt enrichment analysis for genes with PIP>0.5

Loading the functional categories...
Loading the ID list...
Loading the reference list...
Performing the enrichment analysis...
Warning in oraEnrichment(interestGeneList, referenceGeneList, geneSet, minNum =
minNum, : No significant gene set is identified based on FDR 0.05!
NULL

PIP Manhattan Plot

Warning: ggrepel: 13 unlabeled data points (too many overlaps). Consider
increasing max.overlaps

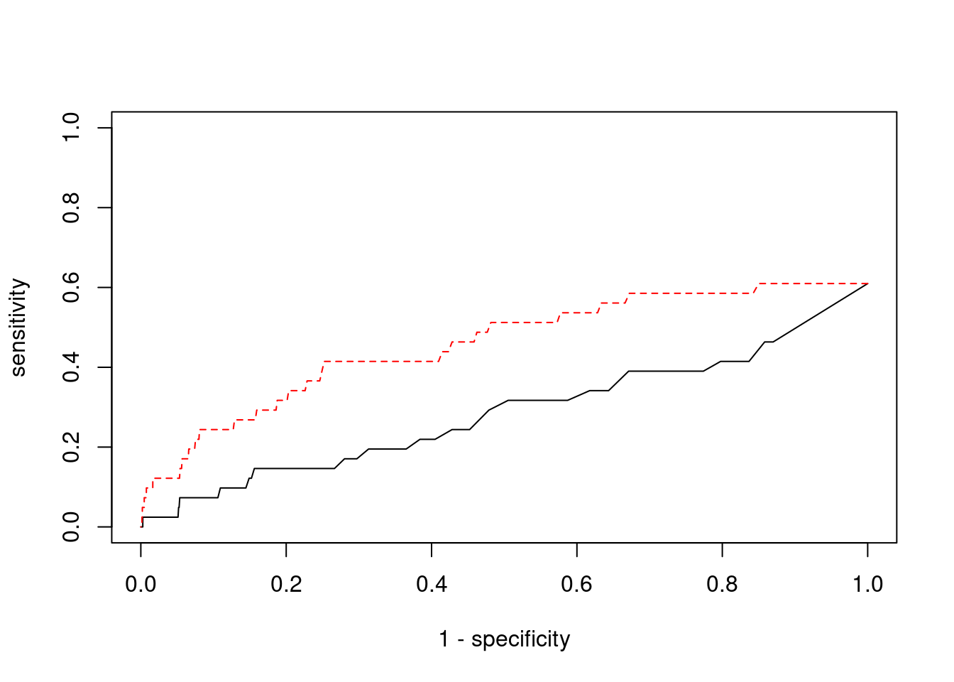
Sensitivity, specificity and precision for silver standard genes

#number of genes in known annotations
print(length(known_annotations))
[1] 41
#number of genes in known annotations with imputed expression
print(sum(known_annotations %in% ctwas_gene_res$genename))
[1] 25
#significance threshold for TWAS
print(sig_thresh)
[1] 4.595
#number of ctwas genes
length(ctwas_genes)
[1] 11
#number of TWAS genes
length(twas_genes)
[1] 271
#show novel genes (ctwas genes with not in TWAS genes)
ctwas_gene_res[ctwas_gene_res$genename %in% novel_genes,report_cols]
     genename region_tag susie_pip   mu2       PVE      z num_eqtl
8020    CASP7      10_71    0.8958 24.20 6.450e-05  4.584        1
1797 PPP1R16B      20_23    0.9001 21.05 5.638e-05 -4.129        1
#sensitivity / recall
print(sensitivity)
ctwas  TWAS 
0.000 0.122 
#specificity
print(specificity)
 ctwas   TWAS 
0.9990 0.9769 
#precision / PPV
print(precision)
  ctwas    TWAS 
0.00000 0.01845 


sessionInfo()
R version 3.6.1 (2019-07-05)
Platform: x86_64-pc-linux-gnu (64-bit)
Running under: Scientific Linux 7.4 (Nitrogen)

Matrix products: default
BLAS/LAPACK: /software/openblas-0.2.19-el7-x86_64/lib/libopenblas_haswellp-r0.2.19.so

locale:
 [1] LC_CTYPE=en_US.UTF-8       LC_NUMERIC=C              
 [3] LC_TIME=en_US.UTF-8        LC_COLLATE=en_US.UTF-8    
 [5] LC_MONETARY=en_US.UTF-8    LC_MESSAGES=en_US.UTF-8   
 [7] LC_PAPER=en_US.UTF-8       LC_NAME=C                 
 [9] LC_ADDRESS=C               LC_TELEPHONE=C            
[11] LC_MEASUREMENT=en_US.UTF-8 LC_IDENTIFICATION=C       

attached base packages:
[1] stats     graphics  grDevices utils     datasets  methods   base     

other attached packages:
 [1] readxl_1.3.1      forcats_0.5.1     stringr_1.4.0     dplyr_1.0.7      
 [5] purrr_0.3.4       readr_2.1.1       tidyr_1.1.4       tidyverse_1.3.1  
 [9] tibble_3.1.6      WebGestaltR_0.4.4 disgenet2r_0.99.2 enrichR_3.0      
[13] cowplot_1.0.0     ggplot2_3.3.5     workflowr_1.6.2  

loaded via a namespace (and not attached):
 [1] fs_1.5.2          lubridate_1.8.0   bit64_4.0.5       doParallel_1.0.16
 [5] httr_1.4.2        rprojroot_2.0.2   tools_3.6.1       backports_1.4.1  
 [9] doRNG_1.8.2       utf8_1.2.2        R6_2.5.1          vipor_0.4.5      
[13] DBI_1.1.1         colorspace_2.0-2  withr_2.4.3       ggrastr_1.0.1    
[17] tidyselect_1.1.1  bit_4.0.4         curl_4.3.2        compiler_3.6.1   
[21] git2r_0.26.1      cli_3.1.0         rvest_1.0.2       Cairo_1.5-12.2   
[25] xml2_1.3.3        labeling_0.4.2    scales_1.1.1      apcluster_1.4.8  
[29] digest_0.6.29     rmarkdown_2.11    svglite_1.2.2     pkgconfig_2.0.3  
[33] htmltools_0.5.2   dbplyr_2.1.1      fastmap_1.1.0     highr_0.9        
[37] rlang_0.4.12      rstudioapi_0.13   RSQLite_2.2.8     jquerylib_0.1.4  
[41] farver_2.1.0      generics_0.1.1    jsonlite_1.7.2    vroom_1.5.7      
[45] magrittr_2.0.1    Matrix_1.2-18     ggbeeswarm_0.6.0  Rcpp_1.0.7       
[49] munsell_0.5.0     fansi_0.5.0       gdtools_0.1.9     lifecycle_1.0.1  
[53] stringi_1.7.6     whisker_0.3-2     yaml_2.2.1        plyr_1.8.6       
[57] grid_3.6.1        blob_1.2.2        ggrepel_0.9.1     parallel_3.6.1   
[61] promises_1.0.1    crayon_1.4.2      lattice_0.20-38   haven_2.4.3      
[65] hms_1.1.1         knitr_1.36        pillar_1.6.4      igraph_1.2.10    
[69] rjson_0.2.20      rngtools_1.5.2    reshape2_1.4.4    codetools_0.2-16 
[73] reprex_2.0.1      glue_1.5.1        evaluate_0.14     data.table_1.14.2
[77] modelr_0.1.8      vctrs_0.3.8       tzdb_0.2.0        httpuv_1.5.1     
[81] foreach_1.5.1     cellranger_1.1.0  gtable_0.3.0      assertthat_0.2.1 
[85] cachem_1.0.6      xfun_0.29         broom_0.7.10      later_0.8.0      
[89] iterators_1.0.13  beeswarm_0.2.3    memoise_2.0.1     ellipsis_0.3.2