Last updated: 2022-03-14
Checks: 5 2
Knit directory: cTWAS_analysis/
This reproducible R Markdown analysis was created with workflowr (version 1.7.0). The Checks tab describes the reproducibility checks that were applied when the results were created. The Past versions tab lists the development history.
The R Markdown is untracked by Git. To know which version of the R Markdown file created these results, you’ll want to first commit it to the Git repo. If you’re still working on the analysis, you can ignore this warning. When you’re finished, you can run wflow_publish to commit the R Markdown file and build the HTML.
Great job! The global environment was empty. Objects defined in the global environment can affect the analysis in your R Markdown file in unknown ways. For reproduciblity it’s best to always run the code in an empty environment.
The command set.seed(20211220) was run prior to running the code in the R Markdown file. Setting a seed ensures that any results that rely on randomness, e.g. subsampling or permutations, are reproducible.
Great job! Recording the operating system, R version, and package versions is critical for reproducibility.
Nice! There were no cached chunks for this analysis, so you can be confident that you successfully produced the results during this run.
Using absolute paths to the files within your workflowr project makes it difficult for you and others to run your code on a different machine. Change the absolute path(s) below to the suggested relative path(s) to make your code more reproducible.
| absolute | relative |
|---|---|
| /project2/xinhe/shengqian/cTWAS/cTWAS_analysis/data/ | data |
| /project2/xinhe/shengqian/cTWAS/cTWAS_analysis/code/ctwas_config.R | code/ctwas_config.R |
Great! You are using Git for version control. Tracking code development and connecting the code version to the results is critical for reproducibility.
The results in this page were generated with repository version 4c71b11. See the Past versions tab to see a history of the changes made to the R Markdown and HTML files.
Note that you need to be careful to ensure that all relevant files for the analysis have been committed to Git prior to generating the results (you can use wflow_publish or wflow_git_commit). workflowr only checks the R Markdown file, but you know if there are other scripts or data files that it depends on. Below is the status of the Git repository when the results were generated:
Ignored files:
Ignored: .ipynb_checkpoints/
Ignored: analysis/figure/
Ignored: data/AF/
Untracked files:
Untracked: Rplot.png
Untracked: analysis/.ipynb_checkpoints/
Untracked: analysis/SCZ_2014_EUR_Brain_Amygdala.Rmd
Untracked: analysis/SCZ_2014_EUR_Brain_Anterior_cingulate_cortex_BA24.Rmd
Untracked: analysis/SCZ_2014_EUR_Brain_Caudate_basal_ganglia.Rmd
Untracked: analysis/SCZ_2014_EUR_Brain_Cerebellar_Hemisphere.Rmd
Untracked: analysis/SCZ_2014_EUR_Brain_Cerebellum.Rmd
Untracked: analysis/SCZ_2014_EUR_Brain_Cortex.Rmd
Untracked: analysis/SCZ_2014_EUR_Brain_Frontal_Cortex_BA9.Rmd
Untracked: analysis/SCZ_2014_EUR_Brain_Hippocampus.Rmd
Untracked: analysis/SCZ_2014_EUR_Brain_Hypothalamus.Rmd
Untracked: analysis/SCZ_2014_EUR_Brain_Nucleus_accumbens_basal_ganglia.Rmd
Untracked: analysis/SCZ_2014_EUR_Brain_Putamen_basal_ganglia.Rmd
Untracked: analysis/SCZ_2014_EUR_Brain_Spinal_cord_cervical_c-1.Rmd
Untracked: analysis/SCZ_2014_EUR_Brain_Substantia_nigra.Rmd
Untracked: analysis/SCZ_2020_Brain_Cortex.Rmd
Untracked: analysis/SCZ_2020_Brain_Frontal_Cortex_BA9.Rmd
Untracked: analysis/SCZ_2020_Brain_Hypothalamus.Rmd
Untracked: analysis/SCZ_2020_Brain_Putamen_basal_ganglia.Rmd
Untracked: analysis/SCZ_Cross_Tissue_Analysis.Rmd
Untracked: code/.ipynb_checkpoints/
Untracked: code/AF_out/
Untracked: code/Autism_out/
Untracked: code/BMI_S_out/
Untracked: code/BMI_out/
Untracked: code/Glucose_out/
Untracked: code/LDL_S_out/
Untracked: code/SCZ_2014_EUR_out/
Untracked: code/SCZ_2020_out/
Untracked: code/SCZ_S_out/
Untracked: code/SCZ_out/
Untracked: code/T2D_out/
Untracked: code/ctwas_config.R
Untracked: code/mapping.R
Untracked: code/out/
Untracked: code/run_AF_analysis.sbatch
Untracked: code/run_AF_analysis.sh
Untracked: code/run_AF_ctwas_rss_LDR.R
Untracked: code/run_Autism_analysis.sbatch
Untracked: code/run_Autism_analysis.sh
Untracked: code/run_Autism_ctwas_rss_LDR.R
Untracked: code/run_BMI_analysis.sbatch
Untracked: code/run_BMI_analysis.sh
Untracked: code/run_BMI_analysis_S.sbatch
Untracked: code/run_BMI_analysis_S.sh
Untracked: code/run_BMI_ctwas_rss_LDR.R
Untracked: code/run_BMI_ctwas_rss_LDR_S.R
Untracked: code/run_Glucose_analysis.sbatch
Untracked: code/run_Glucose_analysis.sh
Untracked: code/run_Glucose_ctwas_rss_LDR.R
Untracked: code/run_LDL_analysis_S.sbatch
Untracked: code/run_LDL_analysis_S.sh
Untracked: code/run_LDL_ctwas_rss_LDR_S.R
Untracked: code/run_SCZ_2014_EUR_analysis.sbatch
Untracked: code/run_SCZ_2014_EUR_analysis.sh
Untracked: code/run_SCZ_2014_EUR_ctwas_rss_LDR.R
Untracked: code/run_SCZ_2020_analysis.sbatch
Untracked: code/run_SCZ_2020_analysis.sh
Untracked: code/run_SCZ_2020_ctwas_rss_LDR.R
Untracked: code/run_SCZ_analysis.sbatch
Untracked: code/run_SCZ_analysis.sh
Untracked: code/run_SCZ_analysis_S.sbatch
Untracked: code/run_SCZ_analysis_S.sh
Untracked: code/run_SCZ_ctwas_rss_LDR.R
Untracked: code/run_SCZ_ctwas_rss_LDR_S.R
Untracked: code/run_T2D_analysis.sbatch
Untracked: code/run_T2D_analysis.sh
Untracked: code/run_T2D_ctwas_rss_LDR.R
Untracked: code/wflow_build.R
Untracked: code/wflow_build.sbatch
Untracked: data/.ipynb_checkpoints/
Untracked: data/BMI/
Untracked: data/PGC3_SCZ_wave3_public.v2.tsv
Untracked: data/SCZ/
Untracked: data/SCZ_2014_EUR/
Untracked: data/SCZ_2020/
Untracked: data/SCZ_S/
Untracked: data/T2D/
Untracked: data/UKBB/
Untracked: data/UKBB_SNPs_Info.text
Untracked: data/gene_OMIM.txt
Untracked: data/gene_pip_0.8.txt
Untracked: data/mashr_Heart_Atrial_Appendage.db
Untracked: data/mashr_sqtl/
Untracked: data/summary_known_genes_annotations.xlsx
Untracked: data/untitled.txt
Unstaged changes:
Modified: analysis/SCZ_Brain_Amygdala.Rmd
Modified: analysis/SCZ_Brain_Anterior_cingulate_cortex_BA24.Rmd
Modified: analysis/SCZ_Brain_Caudate_basal_ganglia.Rmd
Modified: analysis/SCZ_Brain_Cerebellar_Hemisphere.Rmd
Modified: analysis/SCZ_Brain_Cerebellum.Rmd
Modified: analysis/SCZ_Brain_Cortex.Rmd
Modified: analysis/SCZ_Brain_Frontal_Cortex_BA9.Rmd
Modified: analysis/SCZ_Brain_Hippocampus.Rmd
Modified: analysis/SCZ_Brain_Hypothalamus.Rmd
Modified: analysis/SCZ_Brain_Nucleus_accumbens_basal_ganglia.Rmd
Modified: analysis/SCZ_Brain_Putamen_basal_ganglia.Rmd
Modified: analysis/SCZ_Brain_Spinal_cord_cervical_c-1.Rmd
Modified: analysis/SCZ_Brain_Substantia_nigra.Rmd
Note that any generated files, e.g. HTML, png, CSS, etc., are not included in this status report because it is ok for generated content to have uncommitted changes.
There are no past versions. Publish this analysis with wflow_publish() to start tracking its development.
#number of imputed weights
nrow(qclist_all)
[1] 9924
#number of imputed weights by chromosome
table(qclist_all$chr)
1 2 3 4 5 6 7 8 9 10 11 12 13 14 15 16 17 18 19 20
978 708 563 386 486 590 469 358 376 379 592 578 217 311 325 437 581 153 766 299
21 22
116 256
#number of imputed weights without missing variants
sum(qclist_all$nmiss==0)
[1] 7824
#proportion of imputed weights without missing variants
mean(qclist_all$nmiss==0)
[1] 0.7884

#estimated group prior
estimated_group_prior <- group_prior_rec[,ncol(group_prior_rec)]
names(estimated_group_prior) <- c("gene", "snp")
estimated_group_prior["snp"] <- estimated_group_prior["snp"]*thin #adjust parameter to account for thin argument
print(estimated_group_prior)
gene snp
0.0049685 0.0002741
#estimated group prior variance
estimated_group_prior_var <- group_prior_var_rec[,ncol(group_prior_var_rec)]
names(estimated_group_prior_var) <- c("gene", "snp")
print(estimated_group_prior_var)
gene snp
12.644 8.111
#report sample size
print(sample_size)
[1] 77096
#report group size
group_size <- c(nrow(ctwas_gene_res), n_snps)
print(group_size)
[1] 9924 7352670
#estimated group PVE
estimated_group_pve <- estimated_group_prior_var*estimated_group_prior*group_size/sample_size #check PVE calculation
names(estimated_group_pve) <- c("gene", "snp")
print(estimated_group_pve)
gene snp
0.008087 0.212030
#compare sum(PIP*mu2/sample_size) with above PVE calculation
c(sum(ctwas_gene_res$PVE),sum(ctwas_snp_res$PVE))
[1] 0.03525 1.76138

genename region_tag susie_pip mu2 PVE z num_eqtl
10169 ZNF823 19_10 0.9579 30.33 0.0003769 5.485 1
11222 AC012074.2 2_15 0.8420 23.94 0.0002615 4.648 2
5798 ARFGAP2 11_29 0.7653 25.77 0.0002558 4.839 1
5997 TMEM56 1_58 0.7542 24.38 0.0002385 -4.357 1
2362 B3GAT1 11_84 0.6276 26.35 0.0002145 -4.621 2
3172 HSDL2 9_57 0.6099 27.04 0.0002139 -4.378 1
2406 MDK 11_28 0.5655 39.32 0.0002884 -6.344 1
10520 TCTN1 12_67 0.5139 24.23 0.0001615 4.673 1
9014 FAM83H 8_94 0.4727 25.19 0.0001544 4.308 2
3822 SPECC1 17_17 0.4581 31.53 0.0001873 4.357 2
3251 CYSTM1 5_83 0.4432 21.51 0.0001237 -3.750 1
677 PPP2R5B 11_36 0.4411 25.94 0.0001484 -4.610 1
6937 SERPINI1 3_103 0.4351 20.80 0.0001174 -4.030 1
2728 PDCD10 3_103 0.4351 20.80 0.0001174 -4.030 1
11888 RP11-220I1.5 9_28 0.4231 23.87 0.0001310 -4.442 1
454 TRAPPC3 1_22 0.4136 25.69 0.0001378 5.058 1
2983 MAP7D1 1_22 0.4136 25.69 0.0001378 5.058 1
377 CTNNA1 5_82 0.4065 24.74 0.0001304 4.946 1
11703 RP11-65M17.3 11_66 0.4043 23.18 0.0001216 4.340 1
9316 ACOT1 14_34 0.4036 30.20 0.0001581 4.148 2

genename region_tag susie_pip mu2 PVE z num_eqtl
11179 HIST1H2BN 6_21 1.281e-06 998.37 1.659e-08 10.77288 1
6279 MMP16 8_63 0.000e+00 527.12 0.000e+00 3.64776 1
10468 ABHD16A 6_27 3.563e-05 159.90 7.389e-08 8.93412 1
10465 MSH5 6_27 2.583e-05 158.53 5.311e-08 8.87309 1
2719 PCCB 3_84 0.000e+00 148.08 0.000e+00 -4.36131 1
11458 C4A 6_27 5.314e-07 145.82 1.005e-09 8.44500 1
11188 TRIM26 6_24 1.998e-15 137.32 3.559e-18 -5.53874 1
10707 DDAH2 6_27 1.151e-11 134.83 2.014e-14 7.66104 1
1315 ZNF184 6_21 0.000e+00 125.18 0.000e+00 1.10170 2
2033 MPP6 7_21 4.756e-03 113.19 6.982e-06 -3.30235 1
10473 APOM 6_27 9.090e-12 105.50 1.244e-14 7.02253 2
4693 IER3 6_24 4.070e-07 90.59 4.783e-10 7.63213 1
3563 HIST1H2BJ 6_21 0.000e+00 84.55 0.000e+00 0.02624 2
10444 RNF5 6_27 4.741e-14 83.06 5.108e-17 7.92121 1
9573 BTN3A2 6_20 8.678e-03 69.94 7.872e-06 9.17987 3
5592 PPP1R18 6_24 1.332e-15 68.21 1.179e-18 1.41699 2
10458 SLC44A4 6_27 1.993e-12 67.92 1.756e-15 6.41397 1
10443 AGER 6_27 5.118e-14 64.02 4.250e-17 -2.62745 1
10448 FKBPL 6_27 3.605e-12 59.03 2.760e-15 -4.22665 1
8984 HIST1H2BC 6_20 8.247e-03 52.71 5.638e-06 -7.97807 1
genename region_tag susie_pip mu2 PVE z num_eqtl
10169 ZNF823 19_10 0.9579 30.33 0.0003769 5.485 1
2406 MDK 11_28 0.5655 39.32 0.0002884 -6.344 1
11222 AC012074.2 2_15 0.8420 23.94 0.0002615 4.648 2
5798 ARFGAP2 11_29 0.7653 25.77 0.0002558 4.839 1
5997 TMEM56 1_58 0.7542 24.38 0.0002385 -4.357 1
2362 B3GAT1 11_84 0.6276 26.35 0.0002145 -4.621 2
3172 HSDL2 9_57 0.6099 27.04 0.0002139 -4.378 1
3822 SPECC1 17_17 0.4581 31.53 0.0001873 4.357 2
2782 LMAN2L 2_57 0.3026 42.92 0.0001684 -4.484 2
10520 TCTN1 12_67 0.5139 24.23 0.0001615 4.673 1
9316 ACOT1 14_34 0.4036 30.20 0.0001581 4.148 2
10971 LINC00390 13_17 0.2831 42.17 0.0001549 -3.799 1
9014 FAM83H 8_94 0.4727 25.19 0.0001544 4.308 2
677 PPP2R5B 11_36 0.4411 25.94 0.0001484 -4.610 1
10685 SIPA1 11_36 0.3694 30.57 0.0001465 3.824 1
9695 HIST1H1C 6_20 0.2654 41.65 0.0001434 4.329 2
454 TRAPPC3 1_22 0.4136 25.69 0.0001378 5.058 1
2983 MAP7D1 1_22 0.4136 25.69 0.0001378 5.058 1
437 MPHOSPH9 12_75 0.2358 43.39 0.0001327 6.650 1
11888 RP11-220I1.5 9_28 0.4231 23.87 0.0001310 -4.442 1
genename region_tag susie_pip mu2 PVE z num_eqtl
11179 HIST1H2BN 6_21 1.281e-06 998.37 1.659e-08 10.773 1
9573 BTN3A2 6_20 8.678e-03 69.94 7.872e-06 9.180 3
10468 ABHD16A 6_27 3.563e-05 159.90 7.389e-08 8.934 1
10465 MSH5 6_27 2.583e-05 158.53 5.311e-08 8.873 1
11458 C4A 6_27 5.314e-07 145.82 1.005e-09 8.445 1
8984 HIST1H2BC 6_20 8.247e-03 52.71 5.638e-06 -7.978 1
10444 RNF5 6_27 4.741e-14 83.06 5.108e-17 7.921 1
5778 CNNM2 10_66 1.121e-01 41.42 6.021e-05 -7.876 1
10707 DDAH2 6_27 1.151e-11 134.83 2.014e-14 7.661 1
4693 IER3 6_24 4.070e-07 90.59 4.783e-10 7.632 1
10473 APOM 6_27 9.090e-12 105.50 1.244e-14 7.023 2
11226 ZSCAN31 6_22 4.605e-03 35.18 2.101e-06 -6.706 2
437 MPHOSPH9 12_75 2.358e-01 43.39 1.327e-04 6.650 1
9777 DPYD 1_60 5.668e-03 39.51 2.904e-06 -6.455 1
10458 SLC44A4 6_27 1.993e-12 67.92 1.756e-15 6.414 1
2406 MDK 11_28 5.655e-01 39.32 2.884e-04 -6.344 1
10231 ZKSCAN8 6_22 2.107e-03 42.30 1.156e-06 6.135 1
8969 HARBI1 11_28 1.319e-01 35.67 6.100e-05 6.084 1
10486 CCHCR1 6_25 3.405e-03 27.92 1.233e-06 -5.868 3
3264 SNX19 11_81 3.857e-02 39.37 1.970e-05 5.837 3


[1] 0.006046
#number of genes for gene set enrichment
length(genes)
[1] 8
Uploading data to Enrichr... Done.
Querying GO_Biological_Process_2021... Done.
Querying GO_Cellular_Component_2021... Done.
Querying GO_Molecular_Function_2021... Done.
Parsing results... Done.
[1] "GO_Biological_Process_2021"

Term
1 positive regulation of neutrophil extravasation (GO:2000391)
2 regulation of inflammatory response to wounding (GO:0106014)
3 negative regulation of regulatory T cell differentiation (GO:0045590)
4 Golgi transport vesicle coating (GO:0048200)
5 negative regulation of cardiac muscle cell apoptotic process (GO:0010667)
6 leukocyte chemotaxis involved in inflammatory response (GO:0002232)
7 regulation of hepatocyte proliferation (GO:2000345)
8 regulation of neutrophil extravasation (GO:2000389)
9 COPI coating of Golgi vesicle (GO:0048205)
10 COPI-coated vesicle budding (GO:0035964)
11 protein localization to ciliary transition zone (GO:1904491)
12 regulation of bone remodeling (GO:0046850)
13 negative regulation of striated muscle cell apoptotic process (GO:0010664)
14 positive regulation of oligodendrocyte differentiation (GO:0048714)
15 adrenal gland development (GO:0030325)
16 chondroitin sulfate proteoglycan metabolic process (GO:0050654)
17 regulation of epithelial cell apoptotic process (GO:1904035)
18 regulation of cardiac muscle cell apoptotic process (GO:0010665)
19 aminoglycan metabolic process (GO:0006022)
20 positive regulation of cellular extravasation (GO:0002693)
21 positive regulation of keratinocyte proliferation (GO:0010838)
22 regulation of leukocyte cell-cell adhesion (GO:1903037)
23 positive regulation of neuron migration (GO:2001224)
24 positive regulation of vascular endothelial cell proliferation (GO:1905564)
25 regulation of leukocyte adhesion to vascular endothelial cell (GO:1904994)
26 negative regulation of T cell differentiation (GO:0045581)
27 positive regulation of macrophage chemotaxis (GO:0010759)
28 oogenesis (GO:0048477)
29 positive regulation of leukocyte adhesion to vascular endothelial cell (GO:1904996)
30 positive regulation of smooth muscle cell migration (GO:0014911)
31 regulation of cartilage development (GO:0061035)
32 positive regulation of glial cell differentiation (GO:0045687)
33 positive regulation of cartilage development (GO:0061036)
34 regulation of vascular endothelial cell proliferation (GO:1905562)
35 positive regulation of neutrophil chemotaxis (GO:0090023)
36 regulation of oligodendrocyte differentiation (GO:0048713)
37 positive regulation of macrophage migration (GO:1905523)
38 regulation of leukocyte chemotaxis (GO:0002688)
39 regulation of granulocyte chemotaxis (GO:0071622)
40 regulation of tissue remodeling (GO:0034103)
41 positive regulation of lymphocyte differentiation (GO:0045621)
42 negative regulation of response to wounding (GO:1903035)
43 positive regulation of neural precursor cell proliferation (GO:2000179)
44 positive regulation of neutrophil migration (GO:1902624)
45 positive regulation of granulocyte chemotaxis (GO:0071624)
46 regulation of macrophage chemotaxis (GO:0010758)
47 regulation of mononuclear cell migration (GO:0071675)
48 regulation of neural precursor cell proliferation (GO:2000177)
49 positive regulation of morphogenesis of an epithelium (GO:1905332)
50 lymphocyte activation involved in immune response (GO:0002285)
51 negative regulation of ossification (GO:0030279)
52 regulation of keratinocyte proliferation (GO:0010837)
53 endocrine system development (GO:0035270)
54 regulation of neutrophil chemotaxis (GO:0090022)
55 regulation of regulatory T cell differentiation (GO:0045589)
56 regulation of chondrocyte differentiation (GO:0032330)
57 glial cell development (GO:0021782)
58 chondroitin sulfate proteoglycan biosynthetic process (GO:0050650)
59 regulation of neuron migration (GO:2001222)
60 T cell activation involved in immune response (GO:0002286)
61 positive regulation of response to wounding (GO:1903036)
62 positive regulation of leukocyte migration (GO:0002687)
63 proteoglycan biosynthetic process (GO:0030166)
64 positive regulation of leukocyte cell-cell adhesion (GO:1903039)
65 positive regulation of interleukin-12 production (GO:0032735)
66 female gamete generation (GO:0007292)
67 protein localization to cilium (GO:0061512)
68 regulation of ossification (GO:0030278)
69 positive regulation of substrate adhesion-dependent cell spreading (GO:1900026)
70 regulation of actin cytoskeleton reorganization (GO:2000249)
71 negative regulation of epithelial cell apoptotic process (GO:1904036)
72 regulation of T cell differentiation (GO:0045580)
73 positive regulation of epithelial to mesenchymal transition (GO:0010718)
74 positive regulation of T cell differentiation (GO:0045582)
75 positive regulation of chemotaxis (GO:0050921)
76 positive regulation of cell-cell adhesion (GO:0022409)
77 positive regulation of cell morphogenesis involved in differentiation (GO:0010770)
78 regulation of substrate adhesion-dependent cell spreading (GO:1900024)
79 regulation of interleukin-12 production (GO:0032655)
80 glycosaminoglycan metabolic process (GO:0030203)
81 positive regulation of leukocyte chemotaxis (GO:0002690)
82 Notch signaling pathway (GO:0007219)
83 positive regulation of cell-substrate adhesion (GO:0010811)
84 negative regulation of neuron apoptotic process (GO:0043524)
85 gland development (GO:0048732)
86 negative regulation of cell adhesion (GO:0007162)
87 positive regulation of T cell activation (GO:0050870)
88 regulation of epithelial to mesenchymal transition (GO:0010717)
89 positive regulation of endothelial cell proliferation (GO:0001938)
90 positive regulation of cell adhesion (GO:0045785)
91 retrograde vesicle-mediated transport, Golgi to endoplasmic reticulum (GO:0006890)
Overlap Adjusted.P.value Genes
1 1/5 0.02399 MDK
2 1/5 0.02399 MDK
3 1/5 0.02399 MDK
4 1/6 0.02399 ARFGAP2
5 1/6 0.02399 MDK
6 1/6 0.02399 MDK
7 1/6 0.02399 MDK
8 1/6 0.02399 MDK
9 1/6 0.02399 ARFGAP2
10 1/6 0.02399 ARFGAP2
11 1/6 0.02399 TCTN1
12 1/7 0.02399 MDK
13 1/8 0.02399 MDK
14 1/8 0.02399 MDK
15 1/10 0.02399 MDK
16 1/10 0.02399 B3GAT1
17 1/10 0.02399 MDK
18 1/11 0.02399 MDK
19 1/11 0.02399 B3GAT1
20 1/11 0.02399 MDK
21 1/11 0.02399 MDK
22 1/12 0.02399 MDK
23 1/13 0.02399 MDK
24 1/13 0.02399 MDK
25 1/13 0.02399 MDK
26 1/14 0.02399 MDK
27 1/14 0.02399 MDK
28 1/16 0.02399 MDK
29 1/16 0.02399 MDK
30 1/17 0.02399 MDK
31 1/18 0.02399 MDK
32 1/18 0.02399 MDK
33 1/18 0.02399 MDK
34 1/18 0.02399 MDK
35 1/19 0.02399 MDK
36 1/19 0.02399 MDK
37 1/19 0.02399 MDK
38 1/19 0.02399 MDK
39 1/20 0.02399 MDK
40 1/20 0.02399 MDK
41 1/20 0.02399 MDK
42 1/21 0.02399 MDK
43 1/22 0.02399 MDK
44 1/22 0.02399 MDK
45 1/22 0.02399 MDK
46 1/22 0.02399 MDK
47 1/23 0.02399 MDK
48 1/23 0.02399 MDK
49 1/23 0.02399 MDK
50 1/24 0.02399 MDK
51 1/24 0.02399 MDK
52 1/24 0.02399 MDK
53 1/24 0.02399 MDK
54 1/25 0.02416 MDK
55 1/26 0.02416 MDK
56 1/26 0.02416 MDK
57 1/26 0.02416 MDK
58 1/27 0.02430 B3GAT1
59 1/28 0.02430 MDK
60 1/28 0.02430 MDK
61 1/28 0.02430 MDK
62 1/29 0.02476 MDK
63 1/31 0.02563 B3GAT1
64 1/31 0.02563 MDK
65 1/34 0.02725 MDK
66 1/34 0.02725 MDK
67 1/35 0.02755 TCTN1
68 1/36 0.02755 MDK
69 1/36 0.02755 MDK
70 1/37 0.02755 MDK
71 1/37 0.02755 MDK
72 1/39 0.02863 MDK
73 1/42 0.03039 MDK
74 1/43 0.03069 MDK
75 1/45 0.03168 MDK
76 1/47 0.03264 MDK
77 1/50 0.03404 MDK
78 1/51 0.03404 MDK
79 1/51 0.03404 MDK
80 1/54 0.03514 B3GAT1
81 1/54 0.03514 MDK
82 1/60 0.03853 MDK
83 1/70 0.04390 MDK
84 1/71 0.04390 MDK
85 1/71 0.04390 MDK
86 1/73 0.04459 MDK
87 1/75 0.04527 MDK
88 1/76 0.04535 MDK
89 1/77 0.04542 MDK
90 1/80 0.04664 MDK
91 1/85 0.04897 ARFGAP2
[1] "GO_Cellular_Component_2021"

[1] Term Overlap Adjusted.P.value Genes
<0 rows> (or 0-length row.names)
[1] "GO_Molecular_Function_2021"

[1] Term Overlap Adjusted.P.value Genes
<0 rows> (or 0-length row.names)
Description FDR Ratio BgRatio
31 JOUBERT SYNDROME 13 0.01958 1/5 1/9703
1 Anxiety Disorders 0.06101 1/5 44/9703
2 Diabetic Nephropathy 0.06101 1/5 44/9703
5 Nodular glomerulosclerosis 0.06101 1/5 41/9703
9 Memory Disorders 0.06101 1/5 43/9703
12 Memory impairment 0.06101 1/5 44/9703
17 Anxiety States, Neurotic 0.06101 1/5 44/9703
19 Familial aplasia of the vermis 0.06101 1/5 30/9703
21 Age-Related Memory Disorders 0.06101 1/5 43/9703
22 Memory Disorder, Semantic 0.06101 1/5 43/9703
Loading the functional categories...
Loading the ID list...
Loading the reference list...
Performing the enrichment analysis...
Warning in oraEnrichment(interestGeneList, referenceGeneList, geneSet, minNum =
minNum, : No significant gene set is identified based on FDR 0.05!
NULL
Warning: 'timedatectl' indicates the non-existent timezone name 'n/a'
Warning: Your system is mis-configured: '/etc/localtime' is not a symlink
Warning: It is strongly recommended to set envionment variable TZ to 'America/
Chicago' (or equivalent)

#number of genes in known annotations
print(length(known_annotations))
[1] 130
#number of genes in known annotations with imputed expression
print(sum(known_annotations %in% ctwas_gene_res$genename))
[1] 52
#significance threshold for TWAS
print(sig_thresh)
[1] 4.563
#number of ctwas genes
length(ctwas_genes)
[1] 2
#number of TWAS genes
length(twas_genes)
[1] 60
#show novel genes (ctwas genes with not in TWAS genes)
ctwas_gene_res[ctwas_gene_res$genename %in% novel_genes,report_cols]
[1] genename region_tag susie_pip mu2 PVE z num_eqtl
<0 rows> (or 0-length row.names)
#sensitivity / recall
print(sensitivity)
ctwas TWAS
0.007692 0.023077
#specificity
print(specificity)
ctwas TWAS
0.9999 0.9942
#precision / PPV
print(precision)
ctwas TWAS
0.50 0.05

#number of genes in known annotations (with imputed expression)
print(length(known_annotations))
[1] 52
#number of bystander genes (with imputed expression)
print(length(unrelated_genes))
[1] 584
#subset results to genes in known annotations or bystanders
ctwas_gene_res_subset <- ctwas_gene_res[ctwas_gene_res$genename %in% c(known_annotations, unrelated_genes),]
#assign ctwas and TWAS genes
ctwas_genes <- ctwas_gene_res_subset$genename[ctwas_gene_res_subset$susie_pip>0.8]
twas_genes <- ctwas_gene_res_subset$genename[abs(ctwas_gene_res_subset$z)>sig_thresh]
#significance threshold for TWAS
print(sig_thresh)
[1] 4.563
#number of ctwas genes (in known annotations or bystanders)
length(ctwas_genes)
[1] 1
#number of TWAS genes (in known annotations or bystanders)
length(twas_genes)
[1] 8
#sensitivity / recall
sensitivity
ctwas TWAS
0.01923 0.05769
#specificity / (1 - False Positive Rate)
specificity
ctwas TWAS
1.0000 0.9914
#precision / PPV / (1 - False Discovery Rate)
precision
ctwas TWAS
1.000 0.375


pip_range <- (0:1000)/1000
sensitivity <- rep(NA, length(pip_range))
specificity <- rep(NA, length(pip_range))
for (index in 1:length(pip_range)){
pip <- pip_range[index]
ctwas_genes <- ctwas_gene_res_subset$genename[ctwas_gene_res_subset$susie_pip>=pip]
sensitivity[index] <- sum(ctwas_genes %in% known_annotations)/length(known_annotations)
specificity[index] <- sum(!(unrelated_genes %in% ctwas_genes))/length(unrelated_genes)
}
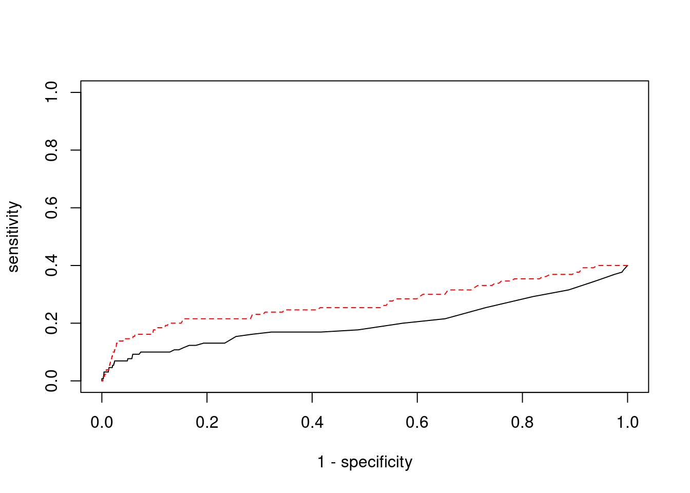
plot(1-specificity, sensitivity, type="l", xlim=c(0,1), ylim=c(0,1), main="", xlab="1 - Specificity", ylab="Sensitivity")
title(expression("ROC Curve for cTWAS (black) and TWAS (" * phantom("red") * ")"))
title(expression(phantom("ROC Curve for cTWAS (black) and TWAS (") * "red" * phantom(")")), col.main="red")
sig_thresh_range <- seq(from=0, to=max(abs(ctwas_gene_res_subset$z)), length.out=length(pip_range))
for (index in 1:length(sig_thresh_range)){
sig_thresh_plot <- sig_thresh_range[index]
twas_genes <- ctwas_gene_res_subset$genename[abs(ctwas_gene_res_subset$z)>=sig_thresh_plot]
sensitivity[index] <- sum(twas_genes %in% known_annotations)/length(known_annotations)
specificity[index] <- sum(!(unrelated_genes %in% twas_genes))/length(unrelated_genes)
}
lines(1-specificity, sensitivity, xlim=c(0,1), ylim=c(0,1), col="red", lty=1)
abline(a=0,b=1,lty=3)
#add previously computed points from the analysis
ctwas_genes <- ctwas_gene_res_subset$genename[ctwas_gene_res_subset$susie_pip>0.8]
twas_genes <- ctwas_gene_res_subset$genename[abs(ctwas_gene_res_subset$z)>sig_thresh]
points(1-specificity_plot["ctwas"], sensitivity_plot["ctwas"], pch=21, bg="black")
points(1-specificity_plot["TWAS"], sensitivity_plot["TWAS"], pch=21, bg="red")

#table of outcomes for silver standard genes
-sort(-table(silver_standard_case))
silver_standard_case
Not Imputed Insignificant z-score Nearby SNP(s)
78 49 2
Detected (PIP > 0.8)
1
#show inconclusive genes
silver_standard_case[silver_standard_case=="Inconclusive"]
named character(0)

sessionInfo()
R version 3.6.1 (2019-07-05)
Platform: x86_64-pc-linux-gnu (64-bit)
Running under: Scientific Linux 7.4 (Nitrogen)
Matrix products: default
BLAS/LAPACK: /software/openblas-0.2.19-el7-x86_64/lib/libopenblas_haswellp-r0.2.19.so
locale:
[1] LC_CTYPE=en_US.UTF-8 LC_NUMERIC=C
[3] LC_TIME=en_US.UTF-8 LC_COLLATE=en_US.UTF-8
[5] LC_MONETARY=en_US.UTF-8 LC_MESSAGES=en_US.UTF-8
[7] LC_PAPER=en_US.UTF-8 LC_NAME=C
[9] LC_ADDRESS=C LC_TELEPHONE=C
[11] LC_MEASUREMENT=en_US.UTF-8 LC_IDENTIFICATION=C
attached base packages:
[1] parallel stats4 stats graphics grDevices utils datasets
[8] methods base
other attached packages:
[1] GenomicRanges_1.36.1 GenomeInfoDb_1.20.0 IRanges_2.18.1
[4] S4Vectors_0.22.1 BiocGenerics_0.30.0 biomaRt_2.40.1
[7] readxl_1.3.1 forcats_0.5.1 stringr_1.4.0
[10] dplyr_1.0.7 purrr_0.3.4 readr_2.1.1
[13] tidyr_1.1.4 tidyverse_1.3.1 tibble_3.1.6
[16] WebGestaltR_0.4.4 disgenet2r_0.99.2 enrichR_3.0
[19] cowplot_1.0.0 ggplot2_3.3.5 workflowr_1.7.0
loaded via a namespace (and not attached):
[1] ggbeeswarm_0.6.0 colorspace_2.0-2 rjson_0.2.20
[4] ellipsis_0.3.2 rprojroot_2.0.2 XVector_0.24.0
[7] fs_1.5.2 rstudioapi_0.13 farver_2.1.0
[10] ggrepel_0.9.1 bit64_4.0.5 AnnotationDbi_1.46.0
[13] fansi_1.0.2 lubridate_1.8.0 xml2_1.3.3
[16] codetools_0.2-16 doParallel_1.0.17 cachem_1.0.6
[19] knitr_1.36 jsonlite_1.7.2 apcluster_1.4.8
[22] Cairo_1.5-12.2 broom_0.7.10 dbplyr_2.1.1
[25] compiler_3.6.1 httr_1.4.2 backports_1.4.1
[28] assertthat_0.2.1 Matrix_1.2-18 fastmap_1.1.0
[31] cli_3.1.0 later_0.8.0 prettyunits_1.1.1
[34] htmltools_0.5.2 tools_3.6.1 igraph_1.2.10
[37] GenomeInfoDbData_1.2.1 gtable_0.3.0 glue_1.6.2
[40] reshape2_1.4.4 doRNG_1.8.2 Rcpp_1.0.8
[43] Biobase_2.44.0 cellranger_1.1.0 jquerylib_0.1.4
[46] vctrs_0.3.8 svglite_1.2.2 iterators_1.0.14
[49] xfun_0.29 ps_1.6.0 rvest_1.0.2
[52] lifecycle_1.0.1 rngtools_1.5.2 XML_3.99-0.3
[55] zlibbioc_1.30.0 getPass_0.2-2 scales_1.1.1
[58] vroom_1.5.7 hms_1.1.1 promises_1.0.1
[61] yaml_2.2.1 curl_4.3.2 memoise_2.0.1
[64] ggrastr_1.0.1 gdtools_0.1.9 stringi_1.7.6
[67] RSQLite_2.2.8 highr_0.9 foreach_1.5.2
[70] rlang_1.0.1 pkgconfig_2.0.3 bitops_1.0-7
[73] evaluate_0.14 lattice_0.20-38 labeling_0.4.2
[76] bit_4.0.4 processx_3.5.2 tidyselect_1.1.1
[79] plyr_1.8.6 magrittr_2.0.2 R6_2.5.1
[82] generics_0.1.1 DBI_1.1.2 pillar_1.6.4
[85] haven_2.4.3 whisker_0.3-2 withr_2.4.3
[88] RCurl_1.98-1.5 modelr_0.1.8 crayon_1.5.0
[91] utf8_1.2.2 tzdb_0.2.0 rmarkdown_2.11
[94] progress_1.2.2 grid_3.6.1 data.table_1.14.2
[97] blob_1.2.2 callr_3.7.0 git2r_0.26.1
[100] reprex_2.0.1 digest_0.6.29 httpuv_1.5.1
[103] munsell_0.5.0 beeswarm_0.2.3 vipor_0.4.5