Last updated: 2022-03-14
Checks: 5 2
Knit directory: cTWAS_analysis/
This reproducible R Markdown analysis was created with workflowr (version 1.7.0). The Checks tab describes the reproducibility checks that were applied when the results were created. The Past versions tab lists the development history.
The R Markdown is untracked by Git. To know which version of the R Markdown file created these results, you’ll want to first commit it to the Git repo. If you’re still working on the analysis, you can ignore this warning. When you’re finished, you can run wflow_publish to commit the R Markdown file and build the HTML.
Great job! The global environment was empty. Objects defined in the global environment can affect the analysis in your R Markdown file in unknown ways. For reproduciblity it’s best to always run the code in an empty environment.
The command set.seed(20211220) was run prior to running the code in the R Markdown file. Setting a seed ensures that any results that rely on randomness, e.g. subsampling or permutations, are reproducible.
Great job! Recording the operating system, R version, and package versions is critical for reproducibility.
Nice! There were no cached chunks for this analysis, so you can be confident that you successfully produced the results during this run.
Using absolute paths to the files within your workflowr project makes it difficult for you and others to run your code on a different machine. Change the absolute path(s) below to the suggested relative path(s) to make your code more reproducible.
| absolute | relative |
|---|---|
| /project2/xinhe/shengqian/cTWAS/cTWAS_analysis/data/ | data |
| /project2/xinhe/shengqian/cTWAS/cTWAS_analysis/code/ctwas_config.R | code/ctwas_config.R |
Great! You are using Git for version control. Tracking code development and connecting the code version to the results is critical for reproducibility.
The results in this page were generated with repository version 4c71b11. See the Past versions tab to see a history of the changes made to the R Markdown and HTML files.
Note that you need to be careful to ensure that all relevant files for the analysis have been committed to Git prior to generating the results (you can use wflow_publish or wflow_git_commit). workflowr only checks the R Markdown file, but you know if there are other scripts or data files that it depends on. Below is the status of the Git repository when the results were generated:
Ignored files:
Ignored: .ipynb_checkpoints/
Ignored: data/AF/
Untracked files:
Untracked: Rplot.png
Untracked: analysis/.ipynb_checkpoints/
Untracked: analysis/SCZ_2014_EUR_Brain_Amygdala.Rmd
Untracked: analysis/SCZ_2014_EUR_Brain_Anterior_cingulate_cortex_BA24.Rmd
Untracked: analysis/SCZ_2014_EUR_Brain_Caudate_basal_ganglia.Rmd
Untracked: analysis/SCZ_2014_EUR_Brain_Cerebellar_Hemisphere.Rmd
Untracked: analysis/SCZ_2014_EUR_Brain_Cerebellum.Rmd
Untracked: analysis/SCZ_2014_EUR_Brain_Cortex.Rmd
Untracked: analysis/SCZ_2014_EUR_Brain_Frontal_Cortex_BA9.Rmd
Untracked: analysis/SCZ_2014_EUR_Brain_Hippocampus.Rmd
Untracked: analysis/SCZ_2014_EUR_Brain_Hypothalamus.Rmd
Untracked: analysis/SCZ_2014_EUR_Brain_Nucleus_accumbens_basal_ganglia.Rmd
Untracked: analysis/SCZ_2014_EUR_Brain_Putamen_basal_ganglia.Rmd
Untracked: analysis/SCZ_2014_EUR_Brain_Spinal_cord_cervical_c-1.Rmd
Untracked: analysis/SCZ_2014_EUR_Brain_Substantia_nigra.Rmd
Untracked: analysis/SCZ_2020_Brain_Cortex.Rmd
Untracked: analysis/SCZ_2020_Brain_Frontal_Cortex_BA9.Rmd
Untracked: analysis/SCZ_2020_Brain_Hypothalamus.Rmd
Untracked: analysis/SCZ_2020_Brain_Putamen_basal_ganglia.Rmd
Untracked: analysis/SCZ_Cross_Tissue_Analysis.Rmd
Untracked: code/.ipynb_checkpoints/
Untracked: code/AF_out/
Untracked: code/Autism_out/
Untracked: code/BMI_S_out/
Untracked: code/BMI_out/
Untracked: code/Glucose_out/
Untracked: code/LDL_S_out/
Untracked: code/SCZ_2014_EUR_out/
Untracked: code/SCZ_2020_out/
Untracked: code/SCZ_S_out/
Untracked: code/SCZ_out/
Untracked: code/T2D_out/
Untracked: code/ctwas_config.R
Untracked: code/mapping.R
Untracked: code/out/
Untracked: code/run_AF_analysis.sbatch
Untracked: code/run_AF_analysis.sh
Untracked: code/run_AF_ctwas_rss_LDR.R
Untracked: code/run_Autism_analysis.sbatch
Untracked: code/run_Autism_analysis.sh
Untracked: code/run_Autism_ctwas_rss_LDR.R
Untracked: code/run_BMI_analysis.sbatch
Untracked: code/run_BMI_analysis.sh
Untracked: code/run_BMI_analysis_S.sbatch
Untracked: code/run_BMI_analysis_S.sh
Untracked: code/run_BMI_ctwas_rss_LDR.R
Untracked: code/run_BMI_ctwas_rss_LDR_S.R
Untracked: code/run_Glucose_analysis.sbatch
Untracked: code/run_Glucose_analysis.sh
Untracked: code/run_Glucose_ctwas_rss_LDR.R
Untracked: code/run_LDL_analysis_S.sbatch
Untracked: code/run_LDL_analysis_S.sh
Untracked: code/run_LDL_ctwas_rss_LDR_S.R
Untracked: code/run_SCZ_2014_EUR_analysis.sbatch
Untracked: code/run_SCZ_2014_EUR_analysis.sh
Untracked: code/run_SCZ_2014_EUR_ctwas_rss_LDR.R
Untracked: code/run_SCZ_2020_analysis.sbatch
Untracked: code/run_SCZ_2020_analysis.sh
Untracked: code/run_SCZ_2020_ctwas_rss_LDR.R
Untracked: code/run_SCZ_analysis.sbatch
Untracked: code/run_SCZ_analysis.sh
Untracked: code/run_SCZ_analysis_S.sbatch
Untracked: code/run_SCZ_analysis_S.sh
Untracked: code/run_SCZ_ctwas_rss_LDR.R
Untracked: code/run_SCZ_ctwas_rss_LDR_S.R
Untracked: code/run_T2D_analysis.sbatch
Untracked: code/run_T2D_analysis.sh
Untracked: code/run_T2D_ctwas_rss_LDR.R
Untracked: code/wflow_build.R
Untracked: code/wflow_build.sbatch
Untracked: data/.ipynb_checkpoints/
Untracked: data/BMI/
Untracked: data/PGC3_SCZ_wave3_public.v2.tsv
Untracked: data/SCZ/
Untracked: data/SCZ_2014_EUR/
Untracked: data/SCZ_2020/
Untracked: data/SCZ_S/
Untracked: data/T2D/
Untracked: data/UKBB/
Untracked: data/UKBB_SNPs_Info.text
Untracked: data/gene_OMIM.txt
Untracked: data/gene_pip_0.8.txt
Untracked: data/mashr_Heart_Atrial_Appendage.db
Untracked: data/mashr_sqtl/
Untracked: data/summary_known_genes_annotations.xlsx
Untracked: data/untitled.txt
Unstaged changes:
Modified: analysis/SCZ_Brain_Amygdala.Rmd
Modified: analysis/SCZ_Brain_Anterior_cingulate_cortex_BA24.Rmd
Modified: analysis/SCZ_Brain_Caudate_basal_ganglia.Rmd
Modified: analysis/SCZ_Brain_Cerebellar_Hemisphere.Rmd
Modified: analysis/SCZ_Brain_Cerebellum.Rmd
Modified: analysis/SCZ_Brain_Cortex.Rmd
Modified: analysis/SCZ_Brain_Frontal_Cortex_BA9.Rmd
Modified: analysis/SCZ_Brain_Hippocampus.Rmd
Modified: analysis/SCZ_Brain_Hypothalamus.Rmd
Modified: analysis/SCZ_Brain_Nucleus_accumbens_basal_ganglia.Rmd
Modified: analysis/SCZ_Brain_Putamen_basal_ganglia.Rmd
Modified: analysis/SCZ_Brain_Spinal_cord_cervical_c-1.Rmd
Modified: analysis/SCZ_Brain_Substantia_nigra.Rmd
Note that any generated files, e.g. HTML, png, CSS, etc., are not included in this status report because it is ok for generated content to have uncommitted changes.
There are no past versions. Publish this analysis with wflow_publish() to start tracking its development.
#number of imputed weights
nrow(qclist_all)
[1] 11179
#number of imputed weights by chromosome
table(qclist_all$chr)
1 2 3 4 5 6 7 8 9 10 11 12 13 14 15 16
1069 801 661 428 548 641 529 417 410 427 653 638 232 374 375 505
17 18 19 20 21 22
698 181 864 331 121 276
#number of imputed weights without missing variants
sum(qclist_all$nmiss==0)
[1] 8312
#proportion of imputed weights without missing variants
mean(qclist_all$nmiss==0)
[1] 0.7435

#estimated group prior
estimated_group_prior <- group_prior_rec[,ncol(group_prior_rec)]
names(estimated_group_prior) <- c("gene", "snp")
estimated_group_prior["snp"] <- estimated_group_prior["snp"]*thin #adjust parameter to account for thin argument
print(estimated_group_prior)
gene snp
0.0096940 0.0002607
#estimated group prior variance
estimated_group_prior_var <- group_prior_var_rec[,ncol(group_prior_var_rec)]
names(estimated_group_prior_var) <- c("gene", "snp")
print(estimated_group_prior_var)
gene snp
8.385 8.436
#report sample size
print(sample_size)
[1] 77096
#report group size
group_size <- c(nrow(ctwas_gene_res), n_snps)
print(group_size)
[1] 11179 7352670
#estimated group PVE
estimated_group_pve <- estimated_group_prior_var*estimated_group_prior*group_size/sample_size #check PVE calculation
names(estimated_group_pve) <- c("gene", "snp")
print(estimated_group_pve)
gene snp
0.01179 0.20978
#compare sum(PIP*mu2/sample_size) with above PVE calculation
c(sum(ctwas_gene_res$PVE),sum(ctwas_snp_res$PVE))
[1] 0.0693 1.7962

genename region_tag susie_pip mu2 PVE z num_eqtl
11135 ZNF823 19_10 0.9727 29.26 0.0003692 5.506 2
12311 AC012074.2 2_16 0.8626 23.50 0.0002629 4.623 1
3091 SF3B1 2_117 0.8337 42.87 0.0004636 6.784 1
110 ELAC2 17_11 0.8068 21.67 0.0002268 4.540 1
3016 LMAN2L 2_57 0.7583 40.87 0.0004020 -4.853 2
2684 VPS29 12_67 0.7448 24.37 0.0002354 -4.923 2
3236 MAP7D1 1_22 0.7347 24.70 0.0002354 5.058 1
1678 KIAA0391 14_9 0.7166 22.30 0.0002073 -4.760 1
1879 ESRP2 16_36 0.6767 25.40 0.0002229 5.047 2
8894 ZNF318 6_33 0.6584 23.98 0.0002048 -4.832 1
179 NISCH 3_36 0.6556 33.67 0.0002863 6.110 1
4159 SPECC1 17_16 0.6420 24.40 0.0002032 4.167 1
13347 LINC01415 18_30 0.6226 30.27 0.0002445 -5.655 1
10494 TMEM222 1_19 0.6204 25.88 0.0002083 3.902 1
2630 MDK 11_28 0.5981 37.22 0.0002888 -6.344 1
13314 TBC1D29 17_18 0.5920 25.26 0.0001939 4.354 1
729 PPP2R5B 11_36 0.5628 24.40 0.0001781 -4.614 1
3750 BHLHE41 12_18 0.5481 27.81 0.0001977 -3.860 1
422 CTNNA1 5_82 0.5379 23.12 0.0001613 4.938 1
506 SDCCAG8 1_128 0.5316 24.71 0.0001704 -4.897 1

genename region_tag susie_pip mu2 PVE z num_eqtl
6289 CNNM2 10_66 6.684e-04 2517.0 2.182e-05 -8.294 2
6279 CYP17A1 10_66 8.577e-05 346.6 3.856e-07 -6.664 1
2944 PCCB 3_84 0.000e+00 282.0 0.000e+00 -4.695 3
6280 INA 10_66 1.465e-09 281.7 5.352e-12 -3.927 1
12229 HLA-DQB2 6_26 3.331e-16 243.6 1.053e-18 -3.919 1
10939 HLA-DQA1 6_26 6.328e-15 218.1 1.790e-17 3.448 1
11478 APOM 6_26 7.091e-10 194.8 1.792e-12 8.945 1
11467 VWA7 6_26 5.093e-10 194.7 1.286e-12 8.911 1
11731 CLIC1 6_26 4.793e-10 193.9 1.205e-12 8.873 2
11469 MSH5 6_26 1.110e-16 193.7 2.790e-19 7.592 2
12582 C4A 6_26 1.551e-11 191.8 3.859e-14 8.519 2
11732 DDAH2 6_26 0.000e+00 180.2 0.000e+00 7.661 1
11464 HSPA1L 6_26 0.000e+00 159.1 0.000e+00 7.658 1
8111 BORCS7 10_66 1.929e-08 150.4 3.762e-11 3.773 2
11458 EHMT2 6_26 0.000e+00 149.3 0.000e+00 5.405 1
13485 HCG17 6_24 3.109e-15 132.3 5.334e-18 5.533 1
849 PPP2R3A 3_84 0.000e+00 128.5 0.000e+00 4.119 1
11474 CSNK2B 6_26 1.110e-16 127.9 1.841e-19 -6.642 1
673 ZNRD1 6_24 6.230e-07 123.3 9.962e-10 5.354 2
11440 AGER 6_26 0.000e+00 116.6 0.000e+00 -7.547 1
genename region_tag susie_pip mu2 PVE z num_eqtl
3091 SF3B1 2_117 0.8337 42.87 0.0004636 6.784 1
3016 LMAN2L 2_57 0.7583 40.87 0.0004020 -4.853 2
11135 ZNF823 19_10 0.9727 29.26 0.0003692 5.506 2
2630 MDK 11_28 0.5981 37.22 0.0002888 -6.344 1
179 NISCH 3_36 0.6556 33.67 0.0002863 6.110 1
4922 TMEM127 2_57 0.4346 47.44 0.0002674 -3.710 1
12311 AC012074.2 2_16 0.8626 23.50 0.0002629 4.623 1
13347 LINC01415 18_30 0.6226 30.27 0.0002445 -5.655 1
2684 VPS29 12_67 0.7448 24.37 0.0002354 -4.923 2
3236 MAP7D1 1_22 0.7347 24.70 0.0002354 5.058 1
110 ELAC2 17_11 0.8068 21.67 0.0002268 4.540 1
1879 ESRP2 16_36 0.6767 25.40 0.0002229 5.047 2
10494 TMEM222 1_19 0.6204 25.88 0.0002083 3.902 1
1678 KIAA0391 14_9 0.7166 22.30 0.0002073 -4.760 1
8894 ZNF318 6_33 0.6584 23.98 0.0002048 -4.832 1
4159 SPECC1 17_16 0.6420 24.40 0.0002032 4.167 1
3750 BHLHE41 12_18 0.5481 27.81 0.0001977 -3.860 1
13314 TBC1D29 17_18 0.5920 25.26 0.0001939 4.354 1
729 PPP2R5B 11_36 0.5628 24.40 0.0001781 -4.614 1
12520 HLA-DMB 6_27 0.2288 57.84 0.0001716 -7.990 1
genename region_tag susie_pip mu2 PVE z num_eqtl
10491 BTN3A2 6_20 1.746e-02 64.58 1.462e-05 9.089 2
11478 APOM 6_26 7.091e-10 194.82 1.792e-12 8.945 1
11467 VWA7 6_26 5.093e-10 194.67 1.286e-12 8.911 1
11731 CLIC1 6_26 4.793e-10 193.88 1.205e-12 8.873 2
5119 PGBD1 6_22 6.819e-03 76.21 6.741e-06 -8.525 1
12582 C4A 6_26 1.551e-11 191.76 3.859e-14 8.519 2
6289 CNNM2 10_66 6.684e-04 2516.99 2.182e-05 -8.294 2
12520 HLA-DMB 6_27 2.288e-01 57.84 1.716e-04 -7.990 1
11444 PRRT1 6_26 0.000e+00 91.45 0.000e+00 7.907 1
11732 DDAH2 6_26 0.000e+00 180.23 0.000e+00 7.661 1
11464 HSPA1L 6_26 0.000e+00 159.14 0.000e+00 7.658 1
11469 MSH5 6_26 1.110e-16 193.74 2.790e-19 7.592 2
13068 RP11-490G2.2 1_60 1.721e-02 49.56 1.106e-05 7.551 1
11440 AGER 6_26 0.000e+00 116.58 0.000e+00 -7.547 1
7064 ZSCAN12 6_22 6.588e-03 37.55 3.208e-06 7.450 1
9628 C2orf69 2_118 3.015e-01 41.30 1.616e-04 7.234 2
11471 LY6G6C 6_26 0.000e+00 106.34 0.000e+00 -6.903 2
11792 AS3MT 10_66 2.711e-03 80.15 2.819e-06 6.876 2
7500 TYW5 2_118 4.640e-02 37.87 2.279e-05 -6.812 2
3091 SF3B1 2_117 8.337e-01 42.87 4.636e-04 6.784 1


[1] 0.008588
#number of genes for gene set enrichment
length(genes)
[1] 22
Uploading data to Enrichr... Done.
Querying GO_Biological_Process_2021... Done.
Querying GO_Cellular_Component_2021... Done.
Querying GO_Molecular_Function_2021... Done.
Parsing results... Done.
[1] "GO_Biological_Process_2021"

[1] Term Overlap Adjusted.P.value Genes
<0 rows> (or 0-length row.names)
[1] "GO_Cellular_Component_2021"

[1] Term Overlap Adjusted.P.value Genes
<0 rows> (or 0-length row.names)
[1] "GO_Molecular_Function_2021"

[1] Term Overlap Adjusted.P.value Genes
<0 rows> (or 0-length row.names)
Description FDR Ratio BgRatio
69 Hematopoetic Myelodysplasia 0.01426 2/10 29/9703
72 SENIOR-LOKEN SYNDROME 7 0.01426 1/10 1/9703
75 PROSTATE CANCER, HEREDITARY, 2 0.01426 1/10 1/9703
77 COMBINED OXIDATIVE PHOSPHORYLATION DEFICIENCY 17 0.01426 1/10 1/9703
78 BARDET-BIEDL SYNDROME 16 0.01426 1/10 1/9703
80 MENTAL RETARDATION, AUTOSOMAL RECESSIVE 52 0.01426 1/10 1/9703
54 Refractory anemia with ringed sideroblasts 0.02138 1/10 2/9703
74 MYELODYSPLASTIC SYNDROME 0.02138 2/10 67/9703
65 Macular Dystrophy, Butterfly-Shaped Pigmentary, 2 0.02331 1/10 3/9703
67 Patterned dystrophy of retinal pigment epithelium 0.02331 1/10 3/9703
Loading the functional categories...
Loading the ID list...
Loading the reference list...
Performing the enrichment analysis...
Warning in oraEnrichment(interestGeneList, referenceGeneList, geneSet, minNum =
minNum, : No significant gene set is identified based on FDR 0.05!
NULL
Warning: 'timedatectl' indicates the non-existent timezone name 'n/a'
Warning: Your system is mis-configured: '/etc/localtime' is not a symlink
Warning: It is strongly recommended to set envionment variable TZ to 'America/
Chicago' (or equivalent)

#number of genes in known annotations
print(length(known_annotations))
[1] 130
#number of genes in known annotations with imputed expression
print(sum(known_annotations %in% ctwas_gene_res$genename))
[1] 64
#significance threshold for TWAS
print(sig_thresh)
[1] 4.588
#number of ctwas genes
length(ctwas_genes)
[1] 4
#number of TWAS genes
length(twas_genes)
[1] 96
#show novel genes (ctwas genes with not in TWAS genes)
ctwas_gene_res[ctwas_gene_res$genename %in% novel_genes,report_cols]
genename region_tag susie_pip mu2 PVE z num_eqtl
110 ELAC2 17_11 0.8068 21.67 0.0002268 4.54 1
#sensitivity / recall
print(sensitivity)
ctwas TWAS
0.02308 0.08462
#specificity
print(specificity)
ctwas TWAS
0.9999 0.9924
#precision / PPV
print(precision)
ctwas TWAS
0.7500 0.1146

#number of genes in known annotations (with imputed expression)
print(length(known_annotations))
[1] 64
#number of bystander genes (with imputed expression)
print(length(unrelated_genes))
[1] 774
#subset results to genes in known annotations or bystanders
ctwas_gene_res_subset <- ctwas_gene_res[ctwas_gene_res$genename %in% c(known_annotations, unrelated_genes),]
#assign ctwas and TWAS genes
ctwas_genes <- ctwas_gene_res_subset$genename[ctwas_gene_res_subset$susie_pip>0.8]
twas_genes <- ctwas_gene_res_subset$genename[abs(ctwas_gene_res_subset$z)>sig_thresh]
#significance threshold for TWAS
print(sig_thresh)
[1] 4.588
#number of ctwas genes (in known annotations or bystanders)
length(ctwas_genes)
[1] 3
#number of TWAS genes (in known annotations or bystanders)
length(twas_genes)
[1] 26
#sensitivity / recall
sensitivity
ctwas TWAS
0.04688 0.17188
#specificity / (1 - False Positive Rate)
specificity
ctwas TWAS
1.0000 0.9806
#precision / PPV / (1 - False Discovery Rate)
precision
ctwas TWAS
1.0000 0.4231


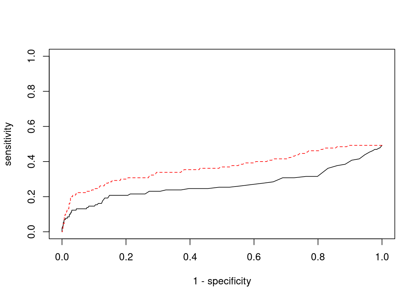
pip_range <- (0:1000)/1000
sensitivity <- rep(NA, length(pip_range))
specificity <- rep(NA, length(pip_range))
for (index in 1:length(pip_range)){
pip <- pip_range[index]
ctwas_genes <- ctwas_gene_res_subset$genename[ctwas_gene_res_subset$susie_pip>=pip]
sensitivity[index] <- sum(ctwas_genes %in% known_annotations)/length(known_annotations)
specificity[index] <- sum(!(unrelated_genes %in% ctwas_genes))/length(unrelated_genes)
}
plot(1-specificity, sensitivity, type="l", xlim=c(0,1), ylim=c(0,1), main="", xlab="1 - Specificity", ylab="Sensitivity")
title(expression("ROC Curve for cTWAS (black) and TWAS (" * phantom("red") * ")"))
title(expression(phantom("ROC Curve for cTWAS (black) and TWAS (") * "red" * phantom(")")), col.main="red")
sig_thresh_range <- seq(from=0, to=max(abs(ctwas_gene_res_subset$z)), length.out=length(pip_range))
for (index in 1:length(sig_thresh_range)){
sig_thresh_plot <- sig_thresh_range[index]
twas_genes <- ctwas_gene_res_subset$genename[abs(ctwas_gene_res_subset$z)>=sig_thresh_plot]
sensitivity[index] <- sum(twas_genes %in% known_annotations)/length(known_annotations)
specificity[index] <- sum(!(unrelated_genes %in% twas_genes))/length(unrelated_genes)
}
lines(1-specificity, sensitivity, xlim=c(0,1), ylim=c(0,1), col="red", lty=1)
abline(a=0,b=1,lty=3)
#add previously computed points from the analysis
ctwas_genes <- ctwas_gene_res_subset$genename[ctwas_gene_res_subset$susie_pip>0.8]
twas_genes <- ctwas_gene_res_subset$genename[abs(ctwas_gene_res_subset$z)>sig_thresh]
points(1-specificity_plot["ctwas"], sensitivity_plot["ctwas"], pch=21, bg="black")
points(1-specificity_plot["TWAS"], sensitivity_plot["TWAS"], pch=21, bg="red")

#table of outcomes for silver standard genes
-sort(-table(silver_standard_case))
silver_standard_case
Not Imputed Insignificant z-score Nearby SNP(s)
66 52 9
Detected (PIP > 0.8)
3
#show inconclusive genes
silver_standard_case[silver_standard_case=="Inconclusive"]
named character(0)

sessionInfo()
R version 3.6.1 (2019-07-05)
Platform: x86_64-pc-linux-gnu (64-bit)
Running under: Scientific Linux 7.4 (Nitrogen)
Matrix products: default
BLAS/LAPACK: /software/openblas-0.2.19-el7-x86_64/lib/libopenblas_haswellp-r0.2.19.so
locale:
[1] LC_CTYPE=en_US.UTF-8 LC_NUMERIC=C
[3] LC_TIME=en_US.UTF-8 LC_COLLATE=en_US.UTF-8
[5] LC_MONETARY=en_US.UTF-8 LC_MESSAGES=en_US.UTF-8
[7] LC_PAPER=en_US.UTF-8 LC_NAME=C
[9] LC_ADDRESS=C LC_TELEPHONE=C
[11] LC_MEASUREMENT=en_US.UTF-8 LC_IDENTIFICATION=C
attached base packages:
[1] parallel stats4 stats graphics grDevices utils datasets
[8] methods base
other attached packages:
[1] GenomicRanges_1.36.1 GenomeInfoDb_1.20.0 IRanges_2.18.1
[4] S4Vectors_0.22.1 BiocGenerics_0.30.0 biomaRt_2.40.1
[7] readxl_1.3.1 forcats_0.5.1 stringr_1.4.0
[10] dplyr_1.0.7 purrr_0.3.4 readr_2.1.1
[13] tidyr_1.1.4 tidyverse_1.3.1 tibble_3.1.6
[16] WebGestaltR_0.4.4 disgenet2r_0.99.2 enrichR_3.0
[19] cowplot_1.0.0 ggplot2_3.3.5 workflowr_1.7.0
loaded via a namespace (and not attached):
[1] ggbeeswarm_0.6.0 colorspace_2.0-2 rjson_0.2.20
[4] ellipsis_0.3.2 rprojroot_2.0.2 XVector_0.24.0
[7] fs_1.5.2 rstudioapi_0.13 farver_2.1.0
[10] ggrepel_0.9.1 bit64_4.0.5 AnnotationDbi_1.46.0
[13] fansi_1.0.2 lubridate_1.8.0 xml2_1.3.3
[16] codetools_0.2-16 doParallel_1.0.17 cachem_1.0.6
[19] knitr_1.36 jsonlite_1.7.2 apcluster_1.4.8
[22] Cairo_1.5-12.2 broom_0.7.10 dbplyr_2.1.1
[25] compiler_3.6.1 httr_1.4.2 backports_1.4.1
[28] assertthat_0.2.1 Matrix_1.2-18 fastmap_1.1.0
[31] cli_3.1.0 later_0.8.0 prettyunits_1.1.1
[34] htmltools_0.5.2 tools_3.6.1 igraph_1.2.10
[37] GenomeInfoDbData_1.2.1 gtable_0.3.0 glue_1.6.2
[40] reshape2_1.4.4 doRNG_1.8.2 Rcpp_1.0.8
[43] Biobase_2.44.0 cellranger_1.1.0 jquerylib_0.1.4
[46] vctrs_0.3.8 svglite_1.2.2 iterators_1.0.14
[49] xfun_0.29 ps_1.6.0 rvest_1.0.2
[52] lifecycle_1.0.1 rngtools_1.5.2 XML_3.99-0.3
[55] zlibbioc_1.30.0 getPass_0.2-2 scales_1.1.1
[58] vroom_1.5.7 hms_1.1.1 promises_1.0.1
[61] yaml_2.2.1 curl_4.3.2 memoise_2.0.1
[64] ggrastr_1.0.1 gdtools_0.1.9 stringi_1.7.6
[67] RSQLite_2.2.8 highr_0.9 foreach_1.5.2
[70] rlang_1.0.1 pkgconfig_2.0.3 bitops_1.0-7
[73] evaluate_0.14 lattice_0.20-38 labeling_0.4.2
[76] bit_4.0.4 processx_3.5.2 tidyselect_1.1.1
[79] plyr_1.8.6 magrittr_2.0.2 R6_2.5.1
[82] generics_0.1.1 DBI_1.1.2 pillar_1.6.4
[85] haven_2.4.3 whisker_0.3-2 withr_2.4.3
[88] RCurl_1.98-1.5 modelr_0.1.8 crayon_1.5.0
[91] utf8_1.2.2 tzdb_0.2.0 rmarkdown_2.11
[94] progress_1.2.2 grid_3.6.1 data.table_1.14.2
[97] blob_1.2.2 callr_3.7.0 git2r_0.26.1
[100] reprex_2.0.1 digest_0.6.29 httpuv_1.5.1
[103] munsell_0.5.0 beeswarm_0.2.3 vipor_0.4.5