Last updated: 2022-03-14
Checks: 5 2
Knit directory: cTWAS_analysis/
This reproducible R Markdown analysis was created with workflowr (version 1.7.0). The Checks tab describes the reproducibility checks that were applied when the results were created. The Past versions tab lists the development history.
The R Markdown is untracked by Git. To know which version of the R Markdown file created these results, you’ll want to first commit it to the Git repo. If you’re still working on the analysis, you can ignore this warning. When you’re finished, you can run wflow_publish to commit the R Markdown file and build the HTML.
Great job! The global environment was empty. Objects defined in the global environment can affect the analysis in your R Markdown file in unknown ways. For reproduciblity it’s best to always run the code in an empty environment.
The command set.seed(20211220) was run prior to running the code in the R Markdown file. Setting a seed ensures that any results that rely on randomness, e.g. subsampling or permutations, are reproducible.
Great job! Recording the operating system, R version, and package versions is critical for reproducibility.
Nice! There were no cached chunks for this analysis, so you can be confident that you successfully produced the results during this run.
Using absolute paths to the files within your workflowr project makes it difficult for you and others to run your code on a different machine. Change the absolute path(s) below to the suggested relative path(s) to make your code more reproducible.
| absolute | relative |
|---|---|
| /project2/xinhe/shengqian/cTWAS/cTWAS_analysis/data/ | data |
| /project2/xinhe/shengqian/cTWAS/cTWAS_analysis/code/ctwas_config.R | code/ctwas_config.R |
Great! You are using Git for version control. Tracking code development and connecting the code version to the results is critical for reproducibility.
The results in this page were generated with repository version 4c71b11. See the Past versions tab to see a history of the changes made to the R Markdown and HTML files.
Note that you need to be careful to ensure that all relevant files for the analysis have been committed to Git prior to generating the results (you can use wflow_publish or wflow_git_commit). workflowr only checks the R Markdown file, but you know if there are other scripts or data files that it depends on. Below is the status of the Git repository when the results were generated:
Ignored files:
Ignored: .ipynb_checkpoints/
Ignored: data/AF/
Untracked files:
Untracked: Rplot.png
Untracked: analysis/.ipynb_checkpoints/
Untracked: analysis/SCZ_2014_EUR_Brain_Amygdala.Rmd
Untracked: analysis/SCZ_2014_EUR_Brain_Anterior_cingulate_cortex_BA24.Rmd
Untracked: analysis/SCZ_2014_EUR_Brain_Caudate_basal_ganglia.Rmd
Untracked: analysis/SCZ_2014_EUR_Brain_Cerebellar_Hemisphere.Rmd
Untracked: analysis/SCZ_2014_EUR_Brain_Cerebellum.Rmd
Untracked: analysis/SCZ_2014_EUR_Brain_Cortex.Rmd
Untracked: analysis/SCZ_2014_EUR_Brain_Frontal_Cortex_BA9.Rmd
Untracked: analysis/SCZ_2014_EUR_Brain_Hippocampus.Rmd
Untracked: analysis/SCZ_2014_EUR_Brain_Hypothalamus.Rmd
Untracked: analysis/SCZ_2014_EUR_Brain_Nucleus_accumbens_basal_ganglia.Rmd
Untracked: analysis/SCZ_2014_EUR_Brain_Putamen_basal_ganglia.Rmd
Untracked: analysis/SCZ_2014_EUR_Brain_Spinal_cord_cervical_c-1.Rmd
Untracked: analysis/SCZ_2014_EUR_Brain_Substantia_nigra.Rmd
Untracked: analysis/SCZ_2020_Brain_Cortex.Rmd
Untracked: analysis/SCZ_2020_Brain_Frontal_Cortex_BA9.Rmd
Untracked: analysis/SCZ_2020_Brain_Hypothalamus.Rmd
Untracked: analysis/SCZ_2020_Brain_Putamen_basal_ganglia.Rmd
Untracked: analysis/SCZ_Cross_Tissue_Analysis.Rmd
Untracked: code/.ipynb_checkpoints/
Untracked: code/AF_out/
Untracked: code/Autism_out/
Untracked: code/BMI_S_out/
Untracked: code/BMI_out/
Untracked: code/Glucose_out/
Untracked: code/LDL_S_out/
Untracked: code/SCZ_2014_EUR_out/
Untracked: code/SCZ_2020_out/
Untracked: code/SCZ_S_out/
Untracked: code/SCZ_out/
Untracked: code/T2D_out/
Untracked: code/ctwas_config.R
Untracked: code/mapping.R
Untracked: code/out/
Untracked: code/run_AF_analysis.sbatch
Untracked: code/run_AF_analysis.sh
Untracked: code/run_AF_ctwas_rss_LDR.R
Untracked: code/run_Autism_analysis.sbatch
Untracked: code/run_Autism_analysis.sh
Untracked: code/run_Autism_ctwas_rss_LDR.R
Untracked: code/run_BMI_analysis.sbatch
Untracked: code/run_BMI_analysis.sh
Untracked: code/run_BMI_analysis_S.sbatch
Untracked: code/run_BMI_analysis_S.sh
Untracked: code/run_BMI_ctwas_rss_LDR.R
Untracked: code/run_BMI_ctwas_rss_LDR_S.R
Untracked: code/run_Glucose_analysis.sbatch
Untracked: code/run_Glucose_analysis.sh
Untracked: code/run_Glucose_ctwas_rss_LDR.R
Untracked: code/run_LDL_analysis_S.sbatch
Untracked: code/run_LDL_analysis_S.sh
Untracked: code/run_LDL_ctwas_rss_LDR_S.R
Untracked: code/run_SCZ_2014_EUR_analysis.sbatch
Untracked: code/run_SCZ_2014_EUR_analysis.sh
Untracked: code/run_SCZ_2014_EUR_ctwas_rss_LDR.R
Untracked: code/run_SCZ_2020_analysis.sbatch
Untracked: code/run_SCZ_2020_analysis.sh
Untracked: code/run_SCZ_2020_ctwas_rss_LDR.R
Untracked: code/run_SCZ_analysis.sbatch
Untracked: code/run_SCZ_analysis.sh
Untracked: code/run_SCZ_analysis_S.sbatch
Untracked: code/run_SCZ_analysis_S.sh
Untracked: code/run_SCZ_ctwas_rss_LDR.R
Untracked: code/run_SCZ_ctwas_rss_LDR_S.R
Untracked: code/run_T2D_analysis.sbatch
Untracked: code/run_T2D_analysis.sh
Untracked: code/run_T2D_ctwas_rss_LDR.R
Untracked: code/wflow_build.R
Untracked: code/wflow_build.sbatch
Untracked: data/.ipynb_checkpoints/
Untracked: data/BMI/
Untracked: data/PGC3_SCZ_wave3_public.v2.tsv
Untracked: data/SCZ/
Untracked: data/SCZ_2014_EUR/
Untracked: data/SCZ_2020/
Untracked: data/SCZ_S/
Untracked: data/T2D/
Untracked: data/UKBB/
Untracked: data/UKBB_SNPs_Info.text
Untracked: data/gene_OMIM.txt
Untracked: data/gene_pip_0.8.txt
Untracked: data/mashr_Heart_Atrial_Appendage.db
Untracked: data/mashr_sqtl/
Untracked: data/summary_known_genes_annotations.xlsx
Untracked: data/untitled.txt
Unstaged changes:
Modified: analysis/SCZ_Brain_Amygdala.Rmd
Modified: analysis/SCZ_Brain_Anterior_cingulate_cortex_BA24.Rmd
Modified: analysis/SCZ_Brain_Caudate_basal_ganglia.Rmd
Modified: analysis/SCZ_Brain_Cerebellar_Hemisphere.Rmd
Modified: analysis/SCZ_Brain_Cerebellum.Rmd
Modified: analysis/SCZ_Brain_Cortex.Rmd
Modified: analysis/SCZ_Brain_Frontal_Cortex_BA9.Rmd
Modified: analysis/SCZ_Brain_Hippocampus.Rmd
Modified: analysis/SCZ_Brain_Hypothalamus.Rmd
Modified: analysis/SCZ_Brain_Nucleus_accumbens_basal_ganglia.Rmd
Modified: analysis/SCZ_Brain_Putamen_basal_ganglia.Rmd
Modified: analysis/SCZ_Brain_Spinal_cord_cervical_c-1.Rmd
Modified: analysis/SCZ_Brain_Substantia_nigra.Rmd
Note that any generated files, e.g. HTML, png, CSS, etc., are not included in this status report because it is ok for generated content to have uncommitted changes.
There are no past versions. Publish this analysis with wflow_publish() to start tracking its development.
#number of imputed weights
nrow(qclist_all)
[1] 11176
#number of imputed weights by chromosome
table(qclist_all$chr)
1 2 3 4 5 6 7 8 9 10 11 12 13 14 15 16
1074 779 637 413 547 634 559 420 436 446 669 633 228 361 371 526
17 18 19 20 21 22
674 166 861 329 125 288
#number of imputed weights without missing variants
sum(qclist_all$nmiss==0)
[1] 8214
#proportion of imputed weights without missing variants
mean(qclist_all$nmiss==0)
[1] 0.735

#estimated group prior
estimated_group_prior <- group_prior_rec[,ncol(group_prior_rec)]
names(estimated_group_prior) <- c("gene", "snp")
estimated_group_prior["snp"] <- estimated_group_prior["snp"]*thin #adjust parameter to account for thin argument
print(estimated_group_prior)
gene snp
0.0134444 0.0002519
#estimated group prior variance
estimated_group_prior_var <- group_prior_var_rec[,ncol(group_prior_var_rec)]
names(estimated_group_prior_var) <- c("gene", "snp")
print(estimated_group_prior_var)
gene snp
8.169 8.505
#report sample size
print(sample_size)
[1] 77096
#report group size
group_size <- c(nrow(ctwas_gene_res), n_snps)
print(group_size)
[1] 11176 7352670
#estimated group PVE
estimated_group_pve <- estimated_group_prior_var*estimated_group_prior*group_size/sample_size #check PVE calculation
names(estimated_group_pve) <- c("gene", "snp")
print(estimated_group_pve)
gene snp
0.01592 0.20433
#compare sum(PIP*mu2/sample_size) with above PVE calculation
c(sum(ctwas_gene_res$PVE),sum(ctwas_snp_res$PVE))
[1] 0.08535 1.66076

genename region_tag susie_pip mu2 PVE z num_eqtl
11129 ZNF823 19_10 0.9810 28.84 0.0003670 5.510 2
4195 FEZF1 7_74 0.9790 26.97 0.0003425 -5.272 1
12285 AC012074.2 2_15 0.9229 21.68 0.0002595 4.623 1
3267 MAP7D1 1_22 0.9049 25.18 0.0002955 -5.058 1
5873 GALNT2 1_117 0.8975 23.67 0.0002755 4.820 2
3127 SF3B1 2_117 0.8513 42.57 0.0004701 6.784 1
11503 DISP3 1_9 0.8438 20.45 0.0002238 4.095 1
1532 PIK3IP1 22_11 0.8416 21.11 0.0002304 4.375 1
7609 SERPINI1 3_103 0.8004 19.73 0.0002049 -4.078 2
9127 MAP3K11 11_36 0.7962 21.81 0.0002252 -4.232 2
3914 CNOT1 16_31 0.7912 24.72 0.0002537 5.156 2
9461 DIRAS1 19_3 0.7622 20.81 0.0002058 -4.359 1
672 PPP2R5A 1_107 0.7455 21.55 0.0002083 -3.866 2
6829 MOV10 1_69 0.7433 21.61 0.0002083 -4.294 2
4558 DLG4 17_6 0.7309 21.48 0.0002037 3.988 2
10100 NPIPA1 16_15 0.7082 21.56 0.0001980 4.110 1
12147 ANKRD63 15_14 0.6806 27.05 0.0002387 5.222 1
12796 RP11-65M17.3 11_66 0.6705 20.58 0.0001790 4.366 2
3758 SSPN 12_18 0.6585 23.72 0.0002026 3.860 1
6351 ARFGAP2 11_29 0.6551 24.42 0.0002075 4.839 1

genename region_tag susie_pip mu2 PVE z num_eqtl
6875 MMP16 8_63 0.000e+00 1951.69 0.000e+00 4.391 2
9739 HLA-DQB1 6_26 2.220e-16 252.76 7.280e-19 4.205 1
11502 PPP1R11 6_24 1.346e-04 230.20 4.019e-07 5.399 2
12366 HLA-DQA2 6_26 0.000e+00 186.22 0.000e+00 1.215 1
12543 C4A 6_26 1.497e-11 186.09 3.614e-14 8.445 1
11507 HLA-F 6_24 2.981e-12 179.91 6.957e-15 1.951 1
11724 DDAH2 6_26 0.000e+00 179.44 0.000e+00 7.661 1
13949 HCP5B 6_24 1.733e-13 171.33 3.851e-16 3.125 2
11458 C6orf48 6_26 0.000e+00 167.82 0.000e+00 6.384 2
12183 CYP21A2 6_26 2.331e-15 163.52 4.945e-18 -7.145 2
10933 HLA-DQA1 6_26 2.220e-16 156.56 4.509e-19 1.920 1
2248 DFNA5 7_21 2.330e-03 150.00 4.534e-06 3.260 1
2983 PCCB 3_84 1.714e-02 147.68 3.283e-05 -4.285 1
11449 SKIV2L 6_26 0.000e+00 146.46 0.000e+00 5.396 1
11454 EHMT2 6_26 0.000e+00 111.22 0.000e+00 -5.666 1
2247 MPP6 7_21 3.560e-03 109.60 5.060e-06 -3.302 1
859 PPP2R3A 3_84 6.761e-03 109.55 9.607e-06 4.119 1
10811 HLA-DRB1 6_26 0.000e+00 102.90 0.000e+00 2.449 1
11444 FKBPL 6_26 0.000e+00 97.97 0.000e+00 -4.386 2
11441 RNF5 6_26 0.000e+00 88.81 0.000e+00 7.370 2
genename region_tag susie_pip mu2 PVE z num_eqtl
3127 SF3B1 2_117 0.8513 42.57 0.0004701 6.784 1
11129 ZNF823 19_10 0.9810 28.84 0.0003670 5.510 2
4195 FEZF1 7_74 0.9790 26.97 0.0003425 -5.272 1
11430 HLA-DMA 6_27 0.6421 38.67 0.0003221 -8.071 1
3267 MAP7D1 1_22 0.9049 25.18 0.0002955 -5.058 1
5873 GALNT2 1_117 0.8975 23.67 0.0002755 4.820 2
12285 AC012074.2 2_15 0.9229 21.68 0.0002595 4.623 1
3914 CNOT1 16_31 0.7912 24.72 0.0002537 5.156 2
2655 MDK 11_28 0.5171 37.00 0.0002482 -6.344 1
12147 ANKRD63 15_14 0.6806 27.05 0.0002387 5.222 1
1532 PIK3IP1 22_11 0.8416 21.11 0.0002304 4.375 1
9127 MAP3K11 11_36 0.7962 21.81 0.0002252 -4.232 2
1545 CENPM 22_17 0.4875 35.59 0.0002251 -3.908 1
11503 DISP3 1_9 0.8438 20.45 0.0002238 4.095 1
1753 PTK6 20_37 0.6182 27.07 0.0002170 -5.169 2
672 PPP2R5A 1_107 0.7455 21.55 0.0002083 -3.866 2
6829 MOV10 1_69 0.7433 21.61 0.0002083 -4.294 2
6351 ARFGAP2 11_29 0.6551 24.42 0.0002075 4.839 1
9461 DIRAS1 19_3 0.7622 20.81 0.0002058 -4.359 1
7609 SERPINI1 3_103 0.8004 19.73 0.0002049 -4.078 2
genename region_tag susie_pip mu2 PVE z num_eqtl
2890 PRSS16 6_21 3.024e-02 42.84 1.680e-05 -9.081 2
13535 RP1-86C11.7 6_21 7.696e-02 51.14 5.105e-05 9.033 1
12064 HCG11 6_20 2.311e-02 61.29 1.837e-05 8.937 1
13097 CTA-14H9.5 6_20 2.311e-02 61.29 1.837e-05 8.937 1
12543 C4A 6_26 1.497e-11 186.09 3.614e-14 8.445 1
12487 HLA-DMB 6_27 3.300e-01 40.27 1.724e-04 -8.273 1
11430 HLA-DMA 6_27 6.421e-01 38.67 3.221e-04 -8.071 1
9834 HIST1H2BC 6_20 2.452e-02 48.55 1.544e-05 -7.978 1
11938 LINC00240 6_21 3.143e-02 33.86 1.380e-05 -7.767 1
11724 DDAH2 6_26 0.000e+00 179.44 0.000e+00 7.661 1
5148 IER3 6_24 4.932e-07 84.74 5.421e-10 7.632 1
11484 CCHCR1 6_25 1.485e-02 43.23 8.330e-06 -7.556 5
11441 RNF5 6_26 0.000e+00 88.81 0.000e+00 7.370 2
10835 TUBB 6_24 1.674e-08 74.88 1.626e-11 -7.349 1
7085 ZSCAN12 6_22 2.899e-02 43.67 1.642e-05 -7.268 1
10608 HIST1H1C 6_20 1.915e-02 40.36 1.002e-05 -7.249 2
5150 PGBD1 6_22 9.208e-03 51.76 6.182e-06 -7.240 3
12183 CYP21A2 6_26 2.331e-15 163.52 4.945e-18 -7.145 2
10787 ZKSCAN3 6_22 1.925e-02 39.23 9.795e-06 7.101 2
3127 SF3B1 2_117 8.513e-01 42.57 4.701e-04 6.784 1


[1] 0.0085
high_z_genes_region <- unique(head(ctwas_gene_res[order(-abs(ctwas_gene_res$z)),report_cols],40)$region_tag)
sum <- 0
for(i in high_z_genes_region){
locus <- ctwas_res[ctwas_res$region_tag==i,]
locus <- head(locus[order(-locus$susie_pip),],20)
snp_pip <- sum(locus[locus$type == 'SNP','susie_pip'])
gene_pip <- sum(locus[locus$type == 'gene','susie_pip'])
print(snp_pip/(snp_pip+gene_pip))
}
[1] 0.8915
[1] 0.6617
[1] 1
[1] 0.5074
[1] 1
[1] 0.9409
[1] 1
[1] 0.1313
[1] 0.9562
[1] 0.5843
[1] 0.9537
[1] 0.7274
[1] 0.8344
[1] 0.6004
[1] 0.9429
#number of genes for gene set enrichment
length(genes)
[1] 34
Uploading data to Enrichr... Done.
Querying GO_Biological_Process_2021... Done.
Querying GO_Cellular_Component_2021... Done.
Querying GO_Molecular_Function_2021... Done.
Parsing results... Done.
[1] "GO_Biological_Process_2021"

Term
1 positive regulation of cell projection organization (GO:0031346)
2 negative regulation of lipid kinase activity (GO:0090219)
3 positive regulation of mRNA metabolic process (GO:1903313)
4 regulation of neuron projection arborization (GO:0150011)
5 positive regulation of neuron projection development (GO:0010976)
6 post-transcriptional gene silencing by RNA (GO:0035194)
7 positive regulation of neural precursor cell proliferation (GO:2000179)
8 regulation of neural precursor cell proliferation (GO:2000177)
Overlap Adjusted.P.value Genes
1 4/117 0.01537 MDK;DLG4;PTK6;SERPINI1
2 2/8 0.01537 PIK3IP1;PPP2R5A
3 2/13 0.02840 MOV10;CNOT1
4 2/15 0.02861 MOV10;DLG4
5 3/88 0.03418 MDK;PTK6;SERPINI1
6 2/20 0.03418 MOV10;CNOT1
7 2/22 0.03418 DISP3;MDK
8 2/23 0.03418 DISP3;MDK
[1] "GO_Cellular_Component_2021"

Term Overlap Adjusted.P.value
1 protein phosphatase type 2A complex (GO:0000159) 2/17 0.0259
Genes
1 PPP2R5B;PPP2R5A
[1] "GO_Molecular_Function_2021"

Term Overlap Adjusted.P.value
1 protein phosphatase activator activity (GO:0072542) 2/13 0.007938
2 phosphatase activator activity (GO:0019211) 2/14 0.007938
Genes
1 PPP2R5B;PPP2R5A
2 PPP2R5B;PPP2R5A
Description FDR Ratio
73 Disproportionate tall stature 0.02690 1/15
75 Familial encephalopathy with neuroserpin inclusion bodies 0.02690 1/15
79 Hematopoetic Myelodysplasia 0.02690 2/15
85 HYPOGONADOTROPIC HYPOGONADISM 22 WITH OR WITHOUT ANOSMIA 0.02690 1/15
86 SPASTIC PARAPLEGIA 62, AUTOSOMAL RECESSIVE 0.02690 1/15
64 Refractory anemia with ringed sideroblasts 0.04051 1/15
74 Macular Dystrophy, Butterfly-Shaped Pigmentary, 2 0.04051 1/15
76 Patterned dystrophy of retinal pigment epithelium 0.04051 1/15
82 MYELODYSPLASTIC SYNDROME 0.04051 2/15
87 Butterfly-shaped pigmentary macular dystrophy 0.04051 1/15
BgRatio
73 1/9703
75 1/9703
79 29/9703
85 1/9703
86 1/9703
64 2/9703
74 3/9703
76 3/9703
82 67/9703
87 3/9703
Loading the functional categories...
Loading the ID list...
Loading the reference list...
Performing the enrichment analysis...
Warning in oraEnrichment(interestGeneList, referenceGeneList, geneSet, minNum =
minNum, : No significant gene set is identified based on FDR 0.05!
NULL
Warning: 'timedatectl' indicates the non-existent timezone name 'n/a'
Warning: Your system is mis-configured: '/etc/localtime' is not a symlink
Warning: It is strongly recommended to set envionment variable TZ to 'America/
Chicago' (or equivalent)

#number of genes in known annotations
print(length(known_annotations))
[1] 130
#number of genes in known annotations with imputed expression
print(sum(known_annotations %in% ctwas_gene_res$genename))
[1] 62
#significance threshold for TWAS
print(sig_thresh)
[1] 4.588
#number of ctwas genes
length(ctwas_genes)
[1] 9
#number of TWAS genes
length(twas_genes)
[1] 95
#show novel genes (ctwas genes with not in TWAS genes)
ctwas_gene_res[ctwas_gene_res$genename %in% novel_genes,report_cols]
genename region_tag susie_pip mu2 PVE z num_eqtl
11503 DISP3 1_9 0.8438 20.45 0.0002238 4.095 1
7609 SERPINI1 3_103 0.8004 19.73 0.0002049 -4.078 2
1532 PIK3IP1 22_11 0.8416 21.11 0.0002304 4.375 1
#sensitivity / recall
print(sensitivity)
ctwas TWAS
0.01538 0.04615
#specificity
print(specificity)
ctwas TWAS
0.9994 0.9920
#precision / PPV
print(precision)
ctwas TWAS
0.22222 0.06316

#number of genes in known annotations (with imputed expression)
print(length(known_annotations))
[1] 62
#number of bystander genes (with imputed expression)
print(length(unrelated_genes))
[1] 732
#subset results to genes in known annotations or bystanders
ctwas_gene_res_subset <- ctwas_gene_res[ctwas_gene_res$genename %in% c(known_annotations, unrelated_genes),]
#assign ctwas and TWAS genes
ctwas_genes <- ctwas_gene_res_subset$genename[ctwas_gene_res_subset$susie_pip>0.8]
twas_genes <- ctwas_gene_res_subset$genename[abs(ctwas_gene_res_subset$z)>sig_thresh]
#significance threshold for TWAS
print(sig_thresh)
[1] 4.588
#number of ctwas genes (in known annotations or bystanders)
length(ctwas_genes)
[1] 2
#number of TWAS genes (in known annotations or bystanders)
length(twas_genes)
[1] 24
#sensitivity / recall
sensitivity
ctwas TWAS
0.03226 0.09677
#specificity / (1 - False Positive Rate)
specificity
ctwas TWAS
1.0000 0.9754
#precision / PPV / (1 - False Discovery Rate)
precision
ctwas TWAS
1.00 0.25


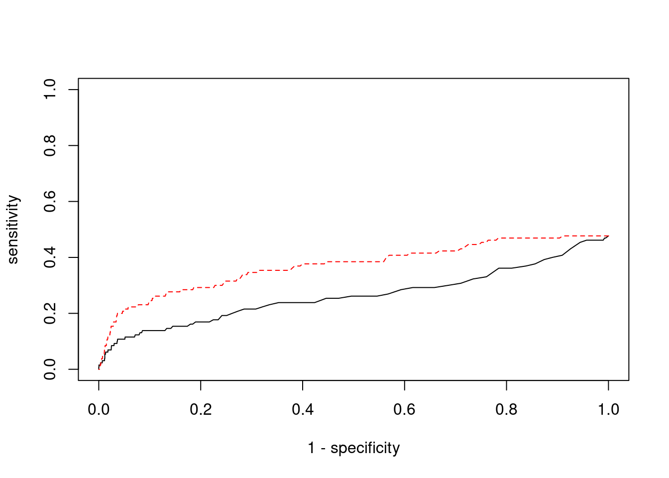
pip_range <- (0:1000)/1000
sensitivity <- rep(NA, length(pip_range))
specificity <- rep(NA, length(pip_range))
for (index in 1:length(pip_range)){
pip <- pip_range[index]
ctwas_genes <- ctwas_gene_res_subset$genename[ctwas_gene_res_subset$susie_pip>=pip]
sensitivity[index] <- sum(ctwas_genes %in% known_annotations)/length(known_annotations)
specificity[index] <- sum(!(unrelated_genes %in% ctwas_genes))/length(unrelated_genes)
}
plot(1-specificity, sensitivity, type="l", xlim=c(0,1), ylim=c(0,1), main="", xlab="1 - Specificity", ylab="Sensitivity")
title(expression("ROC Curve for cTWAS (black) and TWAS (" * phantom("red") * ")"))
title(expression(phantom("ROC Curve for cTWAS (black) and TWAS (") * "red" * phantom(")")), col.main="red")
sig_thresh_range <- seq(from=0, to=max(abs(ctwas_gene_res_subset$z)), length.out=length(pip_range))
for (index in 1:length(sig_thresh_range)){
sig_thresh_plot <- sig_thresh_range[index]
twas_genes <- ctwas_gene_res_subset$genename[abs(ctwas_gene_res_subset$z)>=sig_thresh_plot]
sensitivity[index] <- sum(twas_genes %in% known_annotations)/length(known_annotations)
specificity[index] <- sum(!(unrelated_genes %in% twas_genes))/length(unrelated_genes)
}
lines(1-specificity, sensitivity, xlim=c(0,1), ylim=c(0,1), col="red", lty=1)
abline(a=0,b=1,lty=3)
#add previously computed points from the analysis
ctwas_genes <- ctwas_gene_res_subset$genename[ctwas_gene_res_subset$susie_pip>0.8]
twas_genes <- ctwas_gene_res_subset$genename[abs(ctwas_gene_res_subset$z)>sig_thresh]
points(1-specificity_plot["ctwas"], sensitivity_plot["ctwas"], pch=21, bg="black")
points(1-specificity_plot["TWAS"], sensitivity_plot["TWAS"], pch=21, bg="red")

#table of outcomes for silver standard genes
-sort(-table(silver_standard_case))
silver_standard_case
Not Imputed Insignificant z-score Nearby SNP(s)
68 56 4
Detected (PIP > 0.8)
2
#show inconclusive genes
silver_standard_case[silver_standard_case=="Inconclusive"]
named character(0)

sessionInfo()
R version 3.6.1 (2019-07-05)
Platform: x86_64-pc-linux-gnu (64-bit)
Running under: Scientific Linux 7.4 (Nitrogen)
Matrix products: default
BLAS/LAPACK: /software/openblas-0.2.19-el7-x86_64/lib/libopenblas_haswellp-r0.2.19.so
locale:
[1] LC_CTYPE=en_US.UTF-8 LC_NUMERIC=C
[3] LC_TIME=en_US.UTF-8 LC_COLLATE=en_US.UTF-8
[5] LC_MONETARY=en_US.UTF-8 LC_MESSAGES=en_US.UTF-8
[7] LC_PAPER=en_US.UTF-8 LC_NAME=C
[9] LC_ADDRESS=C LC_TELEPHONE=C
[11] LC_MEASUREMENT=en_US.UTF-8 LC_IDENTIFICATION=C
attached base packages:
[1] parallel stats4 stats graphics grDevices utils datasets
[8] methods base
other attached packages:
[1] GenomicRanges_1.36.1 GenomeInfoDb_1.20.0 IRanges_2.18.1
[4] S4Vectors_0.22.1 BiocGenerics_0.30.0 biomaRt_2.40.1
[7] readxl_1.3.1 forcats_0.5.1 stringr_1.4.0
[10] dplyr_1.0.7 purrr_0.3.4 readr_2.1.1
[13] tidyr_1.1.4 tidyverse_1.3.1 tibble_3.1.6
[16] WebGestaltR_0.4.4 disgenet2r_0.99.2 enrichR_3.0
[19] cowplot_1.0.0 ggplot2_3.3.5 workflowr_1.7.0
loaded via a namespace (and not attached):
[1] ggbeeswarm_0.6.0 colorspace_2.0-2 rjson_0.2.20
[4] ellipsis_0.3.2 rprojroot_2.0.2 XVector_0.24.0
[7] fs_1.5.2 rstudioapi_0.13 farver_2.1.0
[10] ggrepel_0.9.1 bit64_4.0.5 AnnotationDbi_1.46.0
[13] fansi_1.0.2 lubridate_1.8.0 xml2_1.3.3
[16] codetools_0.2-16 doParallel_1.0.17 cachem_1.0.6
[19] knitr_1.36 jsonlite_1.7.2 apcluster_1.4.8
[22] Cairo_1.5-12.2 broom_0.7.10 dbplyr_2.1.1
[25] compiler_3.6.1 httr_1.4.2 backports_1.4.1
[28] assertthat_0.2.1 Matrix_1.2-18 fastmap_1.1.0
[31] cli_3.1.0 later_0.8.0 prettyunits_1.1.1
[34] htmltools_0.5.2 tools_3.6.1 igraph_1.2.10
[37] GenomeInfoDbData_1.2.1 gtable_0.3.0 glue_1.6.2
[40] reshape2_1.4.4 doRNG_1.8.2 Rcpp_1.0.8
[43] Biobase_2.44.0 cellranger_1.1.0 jquerylib_0.1.4
[46] vctrs_0.3.8 svglite_1.2.2 iterators_1.0.14
[49] xfun_0.29 ps_1.6.0 rvest_1.0.2
[52] lifecycle_1.0.1 rngtools_1.5.2 XML_3.99-0.3
[55] zlibbioc_1.30.0 getPass_0.2-2 scales_1.1.1
[58] vroom_1.5.7 hms_1.1.1 promises_1.0.1
[61] yaml_2.2.1 curl_4.3.2 memoise_2.0.1
[64] ggrastr_1.0.1 gdtools_0.1.9 stringi_1.7.6
[67] RSQLite_2.2.8 highr_0.9 foreach_1.5.2
[70] rlang_1.0.1 pkgconfig_2.0.3 bitops_1.0-7
[73] evaluate_0.14 lattice_0.20-38 labeling_0.4.2
[76] bit_4.0.4 processx_3.5.2 tidyselect_1.1.1
[79] plyr_1.8.6 magrittr_2.0.2 R6_2.5.1
[82] generics_0.1.1 DBI_1.1.2 pillar_1.6.4
[85] haven_2.4.3 whisker_0.3-2 withr_2.4.3
[88] RCurl_1.98-1.5 modelr_0.1.8 crayon_1.5.0
[91] utf8_1.2.2 tzdb_0.2.0 rmarkdown_2.11
[94] progress_1.2.2 grid_3.6.1 data.table_1.14.2
[97] blob_1.2.2 callr_3.7.0 git2r_0.26.1
[100] reprex_2.0.1 digest_0.6.29 httpuv_1.5.1
[103] munsell_0.5.0 beeswarm_0.2.3 vipor_0.4.5