Last updated: 2022-03-14
Checks: 5 2
Knit directory: cTWAS_analysis/
This reproducible R Markdown analysis was created with workflowr (version 1.7.0). The Checks tab describes the reproducibility checks that were applied when the results were created. The Past versions tab lists the development history.
The R Markdown is untracked by Git. To know which version of the R Markdown file created these results, you’ll want to first commit it to the Git repo. If you’re still working on the analysis, you can ignore this warning. When you’re finished, you can run wflow_publish to commit the R Markdown file and build the HTML.
Great job! The global environment was empty. Objects defined in the global environment can affect the analysis in your R Markdown file in unknown ways. For reproduciblity it’s best to always run the code in an empty environment.
The command set.seed(20211220) was run prior to running the code in the R Markdown file. Setting a seed ensures that any results that rely on randomness, e.g. subsampling or permutations, are reproducible.
Great job! Recording the operating system, R version, and package versions is critical for reproducibility.
Nice! There were no cached chunks for this analysis, so you can be confident that you successfully produced the results during this run.
Using absolute paths to the files within your workflowr project makes it difficult for you and others to run your code on a different machine. Change the absolute path(s) below to the suggested relative path(s) to make your code more reproducible.
| absolute | relative |
|---|---|
| /project2/xinhe/shengqian/cTWAS/cTWAS_analysis/data/ | data |
| /project2/xinhe/shengqian/cTWAS/cTWAS_analysis/code/ctwas_config.R | code/ctwas_config.R |
Great! You are using Git for version control. Tracking code development and connecting the code version to the results is critical for reproducibility.
The results in this page were generated with repository version 4c71b11. See the Past versions tab to see a history of the changes made to the R Markdown and HTML files.
Note that you need to be careful to ensure that all relevant files for the analysis have been committed to Git prior to generating the results (you can use wflow_publish or wflow_git_commit). workflowr only checks the R Markdown file, but you know if there are other scripts or data files that it depends on. Below is the status of the Git repository when the results were generated:
Ignored files:
Ignored: .ipynb_checkpoints/
Ignored: data/AF/
Untracked files:
Untracked: Rplot.png
Untracked: analysis/.ipynb_checkpoints/
Untracked: analysis/SCZ_2014_EUR_Brain_Amygdala.Rmd
Untracked: analysis/SCZ_2014_EUR_Brain_Anterior_cingulate_cortex_BA24.Rmd
Untracked: analysis/SCZ_2014_EUR_Brain_Caudate_basal_ganglia.Rmd
Untracked: analysis/SCZ_2014_EUR_Brain_Cerebellar_Hemisphere.Rmd
Untracked: analysis/SCZ_2014_EUR_Brain_Cerebellum.Rmd
Untracked: analysis/SCZ_2014_EUR_Brain_Cortex.Rmd
Untracked: analysis/SCZ_2014_EUR_Brain_Frontal_Cortex_BA9.Rmd
Untracked: analysis/SCZ_2014_EUR_Brain_Hippocampus.Rmd
Untracked: analysis/SCZ_2014_EUR_Brain_Hypothalamus.Rmd
Untracked: analysis/SCZ_2014_EUR_Brain_Nucleus_accumbens_basal_ganglia.Rmd
Untracked: analysis/SCZ_2014_EUR_Brain_Putamen_basal_ganglia.Rmd
Untracked: analysis/SCZ_2014_EUR_Brain_Spinal_cord_cervical_c-1.Rmd
Untracked: analysis/SCZ_2014_EUR_Brain_Substantia_nigra.Rmd
Untracked: analysis/SCZ_2020_Brain_Cortex.Rmd
Untracked: analysis/SCZ_2020_Brain_Frontal_Cortex_BA9.Rmd
Untracked: analysis/SCZ_2020_Brain_Hypothalamus.Rmd
Untracked: analysis/SCZ_2020_Brain_Putamen_basal_ganglia.Rmd
Untracked: analysis/SCZ_Cross_Tissue_Analysis.Rmd
Untracked: code/.ipynb_checkpoints/
Untracked: code/AF_out/
Untracked: code/Autism_out/
Untracked: code/BMI_S_out/
Untracked: code/BMI_out/
Untracked: code/Glucose_out/
Untracked: code/LDL_S_out/
Untracked: code/SCZ_2014_EUR_out/
Untracked: code/SCZ_2020_out/
Untracked: code/SCZ_S_out/
Untracked: code/SCZ_out/
Untracked: code/T2D_out/
Untracked: code/ctwas_config.R
Untracked: code/mapping.R
Untracked: code/out/
Untracked: code/run_AF_analysis.sbatch
Untracked: code/run_AF_analysis.sh
Untracked: code/run_AF_ctwas_rss_LDR.R
Untracked: code/run_Autism_analysis.sbatch
Untracked: code/run_Autism_analysis.sh
Untracked: code/run_Autism_ctwas_rss_LDR.R
Untracked: code/run_BMI_analysis.sbatch
Untracked: code/run_BMI_analysis.sh
Untracked: code/run_BMI_analysis_S.sbatch
Untracked: code/run_BMI_analysis_S.sh
Untracked: code/run_BMI_ctwas_rss_LDR.R
Untracked: code/run_BMI_ctwas_rss_LDR_S.R
Untracked: code/run_Glucose_analysis.sbatch
Untracked: code/run_Glucose_analysis.sh
Untracked: code/run_Glucose_ctwas_rss_LDR.R
Untracked: code/run_LDL_analysis_S.sbatch
Untracked: code/run_LDL_analysis_S.sh
Untracked: code/run_LDL_ctwas_rss_LDR_S.R
Untracked: code/run_SCZ_2014_EUR_analysis.sbatch
Untracked: code/run_SCZ_2014_EUR_analysis.sh
Untracked: code/run_SCZ_2014_EUR_ctwas_rss_LDR.R
Untracked: code/run_SCZ_2020_analysis.sbatch
Untracked: code/run_SCZ_2020_analysis.sh
Untracked: code/run_SCZ_2020_ctwas_rss_LDR.R
Untracked: code/run_SCZ_analysis.sbatch
Untracked: code/run_SCZ_analysis.sh
Untracked: code/run_SCZ_analysis_S.sbatch
Untracked: code/run_SCZ_analysis_S.sh
Untracked: code/run_SCZ_ctwas_rss_LDR.R
Untracked: code/run_SCZ_ctwas_rss_LDR_S.R
Untracked: code/run_T2D_analysis.sbatch
Untracked: code/run_T2D_analysis.sh
Untracked: code/run_T2D_ctwas_rss_LDR.R
Untracked: code/wflow_build.R
Untracked: code/wflow_build.sbatch
Untracked: data/.ipynb_checkpoints/
Untracked: data/BMI/
Untracked: data/PGC3_SCZ_wave3_public.v2.tsv
Untracked: data/SCZ/
Untracked: data/SCZ_2014_EUR/
Untracked: data/SCZ_2020/
Untracked: data/SCZ_S/
Untracked: data/T2D/
Untracked: data/UKBB/
Untracked: data/UKBB_SNPs_Info.text
Untracked: data/gene_OMIM.txt
Untracked: data/gene_pip_0.8.txt
Untracked: data/mashr_Heart_Atrial_Appendage.db
Untracked: data/mashr_sqtl/
Untracked: data/summary_known_genes_annotations.xlsx
Untracked: data/untitled.txt
Unstaged changes:
Modified: analysis/SCZ_Brain_Amygdala.Rmd
Modified: analysis/SCZ_Brain_Anterior_cingulate_cortex_BA24.Rmd
Modified: analysis/SCZ_Brain_Caudate_basal_ganglia.Rmd
Modified: analysis/SCZ_Brain_Cerebellar_Hemisphere.Rmd
Modified: analysis/SCZ_Brain_Cerebellum.Rmd
Modified: analysis/SCZ_Brain_Cortex.Rmd
Modified: analysis/SCZ_Brain_Frontal_Cortex_BA9.Rmd
Modified: analysis/SCZ_Brain_Hippocampus.Rmd
Modified: analysis/SCZ_Brain_Hypothalamus.Rmd
Modified: analysis/SCZ_Brain_Nucleus_accumbens_basal_ganglia.Rmd
Modified: analysis/SCZ_Brain_Putamen_basal_ganglia.Rmd
Modified: analysis/SCZ_Brain_Spinal_cord_cervical_c-1.Rmd
Modified: analysis/SCZ_Brain_Substantia_nigra.Rmd
Note that any generated files, e.g. HTML, png, CSS, etc., are not included in this status report because it is ok for generated content to have uncommitted changes.
There are no past versions. Publish this analysis with wflow_publish() to start tracking its development.
#number of imputed weights
nrow(qclist_all)
[1] 11167
#number of imputed weights by chromosome
table(qclist_all$chr)
1 2 3 4 5 6 7 8 9 10 11 12 13 14 15 16
1097 789 659 431 555 642 549 417 406 435 664 627 214 368 359 510
17 18 19 20 21 22
657 174 863 343 131 277
#number of imputed weights without missing variants
sum(qclist_all$nmiss==0)
[1] 8459
#proportion of imputed weights without missing variants
mean(qclist_all$nmiss==0)
[1] 0.7575

#estimated group prior
estimated_group_prior <- group_prior_rec[,ncol(group_prior_rec)]
names(estimated_group_prior) <- c("gene", "snp")
estimated_group_prior["snp"] <- estimated_group_prior["snp"]*thin #adjust parameter to account for thin argument
print(estimated_group_prior)
gene snp
0.0127798 0.0002541
#estimated group prior variance
estimated_group_prior_var <- group_prior_var_rec[,ncol(group_prior_var_rec)]
names(estimated_group_prior_var) <- c("gene", "snp")
print(estimated_group_prior_var)
gene snp
8.937 8.391
#report sample size
print(sample_size)
[1] 77096
#report group size
group_size <- c(nrow(ctwas_gene_res), n_snps)
print(group_size)
[1] 11167 7352670
#estimated group PVE
estimated_group_pve <- estimated_group_prior_var*estimated_group_prior*group_size/sample_size #check PVE calculation
names(estimated_group_pve) <- c("gene", "snp")
print(estimated_group_pve)
gene snp
0.01654 0.20332
#compare sum(PIP*mu2/sample_size) with above PVE calculation
c(sum(ctwas_gene_res$PVE),sum(ctwas_snp_res$PVE))
[1] 0.08504 1.66945

genename region_tag susie_pip mu2 PVE z num_eqtl
4131 SPECC1 17_16 0.9996 141.30 0.0018319 5.484 2
5491 FURIN 15_42 0.9813 44.70 0.0005689 -7.000 1
11067 ZNF823 19_10 0.9812 29.18 0.0003714 5.505 2
13453 RP11-230C9.4 6_102 0.9400 21.99 0.0002681 -4.569 2
3206 MAP7D1 1_22 0.9116 24.65 0.0002915 5.058 1
3067 SF3B1 2_117 0.8859 43.72 0.0005024 6.784 1
9374 COX8A 11_35 0.8727 25.22 0.0002854 -4.991 1
10921 PCBP2 12_33 0.8548 21.60 0.0002395 4.496 1
6796 VPS37A 8_18 0.8063 28.29 0.0002958 -5.357 1
107 ELAC2 17_11 0.7884 21.77 0.0002226 4.372 1
4719 SOX5 12_17 0.7868 21.05 0.0002148 4.024 1
2658 VPS29 12_67 0.7855 23.91 0.0002436 -4.896 2
6535 TADA1 1_82 0.7694 22.72 0.0002268 -4.177 2
9395 DIRAS1 19_3 0.7557 21.08 0.0002066 -4.359 1
11808 NPTXR 22_15 0.7465 21.06 0.0002039 4.106 2
10150 ACOT1 14_34 0.7355 22.32 0.0002130 4.167 2
13283 LINC01415 18_30 0.7340 26.96 0.0002567 -5.655 1
6304 DRD2 11_67 0.6852 31.74 0.0002821 -6.045 2
11929 HAR1A 20_37 0.6791 19.59 0.0001726 3.767 1
440 FAM120A 9_47 0.6742 22.84 0.0001998 -4.571 1

genename region_tag susie_pip mu2 PVE z num_eqtl
6803 MMP16 8_63 0.000e+00 526.79 0.000e+00 3.6478 1
12325 HLA-DQA2 6_26 0.000e+00 347.26 0.000e+00 -0.4490 2
11434 HCG9 6_24 1.997e-10 216.03 5.595e-13 -3.3869 1
11395 MSH5 6_26 2.092e-13 203.29 5.515e-16 8.0439 2
11404 APOM 6_26 1.787e-09 197.10 4.568e-12 8.9450 1
12513 C4A 6_26 3.601e-11 188.79 8.819e-14 8.4450 1
11648 DDAH2 6_26 0.000e+00 182.44 0.000e+00 7.6610 1
11397 LY6G6C 6_26 0.000e+00 156.40 0.000e+00 -7.1790 3
11386 EHMT2 6_26 0.000e+00 152.77 0.000e+00 5.6967 1
10748 HLA-DRB1 6_26 0.000e+00 148.98 0.000e+00 -2.0086 1
2926 PCCB 3_84 0.000e+00 142.96 0.000e+00 -4.3613 1
11375 FKBPL 6_26 3.997e-15 142.53 7.389e-18 -4.6363 2
4131 SPECC1 17_16 9.996e-01 141.30 1.832e-03 5.4844 2
836 PPP2R3A 3_84 0.000e+00 129.68 0.000e+00 4.1188 1
11400 CSNK2B 6_26 1.110e-16 129.30 1.862e-19 -6.6421 1
11642 ATF6B 6_26 0.000e+00 115.50 0.000e+00 3.6260 1
2203 MPP6 7_21 3.245e-03 110.26 4.641e-06 -3.3024 1
11369 NOTCH4 6_26 0.000e+00 94.28 0.000e+00 5.9033 2
11389 C6orf48 6_26 0.000e+00 79.40 0.000e+00 4.1389 3
11370 PBX2 6_26 0.000e+00 78.44 0.000e+00 -0.7005 2
genename region_tag susie_pip mu2 PVE z num_eqtl
4131 SPECC1 17_16 0.9996 141.30 0.0018319 5.484 2
5491 FURIN 15_42 0.9813 44.70 0.0005689 -7.000 1
3067 SF3B1 2_117 0.8859 43.72 0.0005024 6.784 1
11067 ZNF823 19_10 0.9812 29.18 0.0003714 5.505 2
2602 MDK 11_28 0.6546 37.36 0.0003173 -6.344 1
6796 VPS37A 8_18 0.8063 28.29 0.0002958 -5.357 1
3206 MAP7D1 1_22 0.9116 24.65 0.0002915 5.058 1
9374 COX8A 11_35 0.8727 25.22 0.0002854 -4.991 1
6304 DRD2 11_67 0.6852 31.74 0.0002821 -6.045 2
13453 RP11-230C9.4 6_102 0.9400 21.99 0.0002681 -4.569 2
13283 LINC01415 18_30 0.7340 26.96 0.0002567 -5.655 1
2658 VPS29 12_67 0.7855 23.91 0.0002436 -4.896 2
10921 PCBP2 12_33 0.8548 21.60 0.0002395 4.496 1
1571 CACNA1I 22_16 0.5280 33.45 0.0002291 5.956 1
6535 TADA1 1_82 0.7694 22.72 0.0002268 -4.177 2
107 ELAC2 17_11 0.7884 21.77 0.0002226 4.372 1
4719 SOX5 12_17 0.7868 21.05 0.0002148 4.024 1
6509 TMEM56 1_58 0.4556 36.13 0.0002135 -4.357 1
10150 ACOT1 14_34 0.7355 22.32 0.0002130 4.167 2
2025 FCGRT 19_34 0.5962 27.52 0.0002128 4.874 2
genename region_tag susie_pip mu2 PVE z num_eqtl
10415 BTN3A2 6_20 2.464e-02 67.09 2.144e-05 9.168 3
11404 APOM 6_26 1.787e-09 197.10 4.568e-12 8.945 1
10915 ZSCAN26 6_22 1.060e-02 67.68 9.309e-06 8.718 2
12513 C4A 6_26 3.601e-11 188.79 8.819e-14 8.445 1
11395 MSH5 6_26 2.092e-13 203.29 5.515e-16 8.044 2
9788 HIST1H2BC 6_20 2.377e-02 50.70 1.563e-05 -7.978 1
6275 CNNM2 10_66 1.953e-01 39.06 9.893e-05 -7.876 1
12454 HLA-DMB 6_27 1.410e-01 54.44 9.957e-05 -7.686 2
11648 DDAH2 6_26 0.000e+00 182.44 0.000e+00 7.661 1
11397 LY6G6C 6_26 0.000e+00 156.40 0.000e+00 -7.179 3
5491 FURIN 15_42 9.813e-01 44.70 5.689e-04 -7.000 1
11418 CCHCR1 6_25 1.443e-02 35.34 6.613e-06 -6.927 2
3067 SF3B1 2_117 8.859e-01 43.72 5.024e-04 6.784 1
7442 TYW5 2_118 6.639e-02 38.37 3.304e-05 -6.753 2
11400 CSNK2B 6_26 1.110e-16 129.30 1.862e-19 -6.642 1
2602 MDK 11_28 6.546e-01 37.36 3.173e-04 -6.344 1
11136 ZKSCAN8 6_22 6.617e-03 40.01 3.434e-06 6.128 1
9771 HARBI1 11_28 1.660e-01 33.80 7.277e-05 6.084 1
11446 TRIM27 6_22 1.516e-02 70.98 1.396e-05 6.073 2
6304 DRD2 11_67 6.852e-01 31.74 2.821e-04 -6.045 2


[1] 0.006179
#number of genes for gene set enrichment
length(genes)
[1] 33
Uploading data to Enrichr... Done.
Querying GO_Biological_Process_2021... Done.
Querying GO_Cellular_Component_2021... Done.
Querying GO_Molecular_Function_2021... Done.
Parsing results... Done.
[1] "GO_Biological_Process_2021"

[1] Term Overlap Adjusted.P.value Genes
<0 rows> (or 0-length row.names)
[1] "GO_Cellular_Component_2021"

[1] Term Overlap Adjusted.P.value Genes
<0 rows> (or 0-length row.names)
[1] "GO_Molecular_Function_2021"

[1] Term Overlap Adjusted.P.value Genes
<0 rows> (or 0-length row.names)
Description FDR Ratio BgRatio
5 Anxiety Disorders 0.02258 2/15 44/9703
50 Measles 0.02258 1/15 1/9703
51 Memory Disorders 0.02258 2/15 43/9703
93 Memory impairment 0.02258 2/15 44/9703
121 Anxiety States, Neurotic 0.02258 2/15 44/9703
149 Age-Related Memory Disorders 0.02258 2/15 43/9703
150 Memory Disorder, Semantic 0.02258 2/15 43/9703
151 Memory Disorder, Spatial 0.02258 2/15 43/9703
152 Memory Loss 0.02258 2/15 43/9703
170 Anxiety neurosis (finding) 0.02258 2/15 44/9703
Loading the functional categories...
Loading the ID list...
Loading the reference list...
Performing the enrichment analysis...
Warning in oraEnrichment(interestGeneList, referenceGeneList, geneSet, minNum =
minNum, : No significant gene set is identified based on FDR 0.05!
NULL
Warning: 'timedatectl' indicates the non-existent timezone name 'n/a'
Warning: Your system is mis-configured: '/etc/localtime' is not a symlink
Warning: It is strongly recommended to set envionment variable TZ to 'America/
Chicago' (or equivalent)
Warning: ggrepel: 1 unlabeled data points (too many overlaps). Consider
increasing max.overlaps

#number of genes in known annotations
print(length(known_annotations))
[1] 130
#number of genes in known annotations with imputed expression
print(sum(known_annotations %in% ctwas_gene_res$genename))
[1] 58
#significance threshold for TWAS
print(sig_thresh)
[1] 4.588
#number of ctwas genes
length(ctwas_genes)
[1] 9
#number of TWAS genes
length(twas_genes)
[1] 69
#show novel genes (ctwas genes with not in TWAS genes)
ctwas_gene_res[ctwas_gene_res$genename %in% novel_genes,report_cols]
genename region_tag susie_pip mu2 PVE z num_eqtl
13453 RP11-230C9.4 6_102 0.9400 21.99 0.0002681 -4.569 2
10921 PCBP2 12_33 0.8548 21.60 0.0002395 4.496 1
#sensitivity / recall
print(sensitivity)
ctwas TWAS
0.02308 0.07692
#specificity
print(specificity)
ctwas TWAS
0.9995 0.9947
#precision / PPV
print(precision)
ctwas TWAS
0.3333 0.1449

#number of genes in known annotations (with imputed expression)
print(length(known_annotations))
[1] 58
#number of bystander genes (with imputed expression)
print(length(unrelated_genes))
[1] 689
#subset results to genes in known annotations or bystanders
ctwas_gene_res_subset <- ctwas_gene_res[ctwas_gene_res$genename %in% c(known_annotations, unrelated_genes),]
#assign ctwas and TWAS genes
ctwas_genes <- ctwas_gene_res_subset$genename[ctwas_gene_res_subset$susie_pip>0.8]
twas_genes <- ctwas_gene_res_subset$genename[abs(ctwas_gene_res_subset$z)>sig_thresh]
#significance threshold for TWAS
print(sig_thresh)
[1] 4.588
#number of ctwas genes (in known annotations or bystanders)
length(ctwas_genes)
[1] 3
#number of TWAS genes (in known annotations or bystanders)
length(twas_genes)
[1] 15
#sensitivity / recall
sensitivity
ctwas TWAS
0.05172 0.17241
#specificity / (1 - False Positive Rate)
specificity
ctwas TWAS
1.0000 0.9927
#precision / PPV / (1 - False Discovery Rate)
precision
ctwas TWAS
1.0000 0.6667


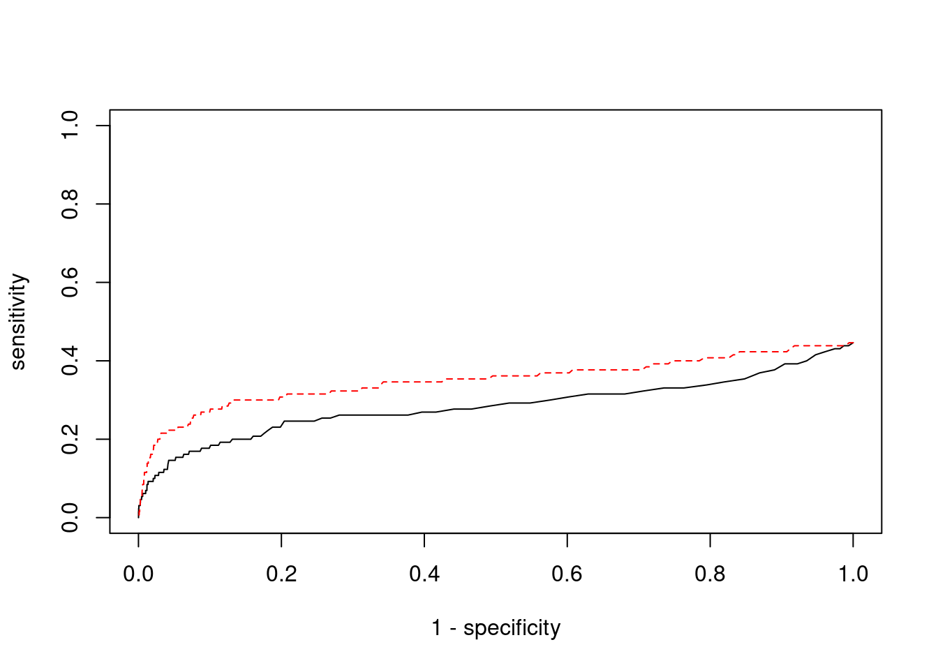
pip_range <- (0:1000)/1000
sensitivity <- rep(NA, length(pip_range))
specificity <- rep(NA, length(pip_range))
for (index in 1:length(pip_range)){
pip <- pip_range[index]
ctwas_genes <- ctwas_gene_res_subset$genename[ctwas_gene_res_subset$susie_pip>=pip]
sensitivity[index] <- sum(ctwas_genes %in% known_annotations)/length(known_annotations)
specificity[index] <- sum(!(unrelated_genes %in% ctwas_genes))/length(unrelated_genes)
}
plot(1-specificity, sensitivity, type="l", xlim=c(0,1), ylim=c(0,1), main="", xlab="1 - Specificity", ylab="Sensitivity")
title(expression("ROC Curve for cTWAS (black) and TWAS (" * phantom("red") * ")"))
title(expression(phantom("ROC Curve for cTWAS (black) and TWAS (") * "red" * phantom(")")), col.main="red")
sig_thresh_range <- seq(from=0, to=max(abs(ctwas_gene_res_subset$z)), length.out=length(pip_range))
for (index in 1:length(sig_thresh_range)){
sig_thresh_plot <- sig_thresh_range[index]
twas_genes <- ctwas_gene_res_subset$genename[abs(ctwas_gene_res_subset$z)>=sig_thresh_plot]
sensitivity[index] <- sum(twas_genes %in% known_annotations)/length(known_annotations)
specificity[index] <- sum(!(unrelated_genes %in% twas_genes))/length(unrelated_genes)
}
lines(1-specificity, sensitivity, xlim=c(0,1), ylim=c(0,1), col="red", lty=1)
abline(a=0,b=1,lty=3)
#add previously computed points from the analysis
ctwas_genes <- ctwas_gene_res_subset$genename[ctwas_gene_res_subset$susie_pip>0.8]
twas_genes <- ctwas_gene_res_subset$genename[abs(ctwas_gene_res_subset$z)>sig_thresh]
points(1-specificity_plot["ctwas"], sensitivity_plot["ctwas"], pch=21, bg="black")
points(1-specificity_plot["TWAS"], sensitivity_plot["TWAS"], pch=21, bg="red")

#table of outcomes for silver standard genes
-sort(-table(silver_standard_case))
silver_standard_case
Not Imputed Insignificant z-score Nearby SNP(s)
72 48 7
Detected (PIP > 0.8)
3
#show inconclusive genes
silver_standard_case[silver_standard_case=="Inconclusive"]
named character(0)

sessionInfo()
R version 3.6.1 (2019-07-05)
Platform: x86_64-pc-linux-gnu (64-bit)
Running under: Scientific Linux 7.4 (Nitrogen)
Matrix products: default
BLAS/LAPACK: /software/openblas-0.2.19-el7-x86_64/lib/libopenblas_haswellp-r0.2.19.so
locale:
[1] LC_CTYPE=en_US.UTF-8 LC_NUMERIC=C
[3] LC_TIME=en_US.UTF-8 LC_COLLATE=en_US.UTF-8
[5] LC_MONETARY=en_US.UTF-8 LC_MESSAGES=en_US.UTF-8
[7] LC_PAPER=en_US.UTF-8 LC_NAME=C
[9] LC_ADDRESS=C LC_TELEPHONE=C
[11] LC_MEASUREMENT=en_US.UTF-8 LC_IDENTIFICATION=C
attached base packages:
[1] parallel stats4 stats graphics grDevices utils datasets
[8] methods base
other attached packages:
[1] GenomicRanges_1.36.1 GenomeInfoDb_1.20.0 IRanges_2.18.1
[4] S4Vectors_0.22.1 BiocGenerics_0.30.0 biomaRt_2.40.1
[7] readxl_1.3.1 forcats_0.5.1 stringr_1.4.0
[10] dplyr_1.0.7 purrr_0.3.4 readr_2.1.1
[13] tidyr_1.1.4 tidyverse_1.3.1 tibble_3.1.6
[16] WebGestaltR_0.4.4 disgenet2r_0.99.2 enrichR_3.0
[19] cowplot_1.0.0 ggplot2_3.3.5 workflowr_1.7.0
loaded via a namespace (and not attached):
[1] ggbeeswarm_0.6.0 colorspace_2.0-2 rjson_0.2.20
[4] ellipsis_0.3.2 rprojroot_2.0.2 XVector_0.24.0
[7] fs_1.5.2 rstudioapi_0.13 farver_2.1.0
[10] ggrepel_0.9.1 bit64_4.0.5 AnnotationDbi_1.46.0
[13] fansi_1.0.2 lubridate_1.8.0 xml2_1.3.3
[16] codetools_0.2-16 doParallel_1.0.17 cachem_1.0.6
[19] knitr_1.36 jsonlite_1.7.2 apcluster_1.4.8
[22] Cairo_1.5-12.2 broom_0.7.10 dbplyr_2.1.1
[25] compiler_3.6.1 httr_1.4.2 backports_1.4.1
[28] assertthat_0.2.1 Matrix_1.2-18 fastmap_1.1.0
[31] cli_3.1.0 later_0.8.0 prettyunits_1.1.1
[34] htmltools_0.5.2 tools_3.6.1 igraph_1.2.10
[37] GenomeInfoDbData_1.2.1 gtable_0.3.0 glue_1.6.2
[40] reshape2_1.4.4 doRNG_1.8.2 Rcpp_1.0.8
[43] Biobase_2.44.0 cellranger_1.1.0 jquerylib_0.1.4
[46] vctrs_0.3.8 svglite_1.2.2 iterators_1.0.14
[49] xfun_0.29 ps_1.6.0 rvest_1.0.2
[52] lifecycle_1.0.1 rngtools_1.5.2 XML_3.99-0.3
[55] zlibbioc_1.30.0 getPass_0.2-2 scales_1.1.1
[58] vroom_1.5.7 hms_1.1.1 promises_1.0.1
[61] yaml_2.2.1 curl_4.3.2 memoise_2.0.1
[64] ggrastr_1.0.1 gdtools_0.1.9 stringi_1.7.6
[67] RSQLite_2.2.8 highr_0.9 foreach_1.5.2
[70] rlang_1.0.1 pkgconfig_2.0.3 bitops_1.0-7
[73] evaluate_0.14 lattice_0.20-38 labeling_0.4.2
[76] bit_4.0.4 processx_3.5.2 tidyselect_1.1.1
[79] plyr_1.8.6 magrittr_2.0.2 R6_2.5.1
[82] generics_0.1.1 DBI_1.1.2 pillar_1.6.4
[85] haven_2.4.3 whisker_0.3-2 withr_2.4.3
[88] RCurl_1.98-1.5 modelr_0.1.8 crayon_1.5.0
[91] utf8_1.2.2 tzdb_0.2.0 rmarkdown_2.11
[94] progress_1.2.2 grid_3.6.1 data.table_1.14.2
[97] blob_1.2.2 callr_3.7.0 git2r_0.26.1
[100] reprex_2.0.1 digest_0.6.29 httpuv_1.5.1
[103] munsell_0.5.0 beeswarm_0.2.3 vipor_0.4.5