Last updated: 2022-03-14
Checks: 5 2
Knit directory: cTWAS_analysis/
This reproducible R Markdown analysis was created with workflowr (version 1.7.0). The Checks tab describes the reproducibility checks that were applied when the results were created. The Past versions tab lists the development history.
The R Markdown is untracked by Git. To know which version of the R Markdown file created these results, you’ll want to first commit it to the Git repo. If you’re still working on the analysis, you can ignore this warning. When you’re finished, you can run wflow_publish to commit the R Markdown file and build the HTML.
Great job! The global environment was empty. Objects defined in the global environment can affect the analysis in your R Markdown file in unknown ways. For reproduciblity it’s best to always run the code in an empty environment.
The command set.seed(20211220) was run prior to running the code in the R Markdown file. Setting a seed ensures that any results that rely on randomness, e.g. subsampling or permutations, are reproducible.
Great job! Recording the operating system, R version, and package versions is critical for reproducibility.
Nice! There were no cached chunks for this analysis, so you can be confident that you successfully produced the results during this run.
Using absolute paths to the files within your workflowr project makes it difficult for you and others to run your code on a different machine. Change the absolute path(s) below to the suggested relative path(s) to make your code more reproducible.
| absolute | relative |
|---|---|
| /project2/xinhe/shengqian/cTWAS/cTWAS_analysis/data/ | data |
| /project2/xinhe/shengqian/cTWAS/cTWAS_analysis/code/ctwas_config.R | code/ctwas_config.R |
Great! You are using Git for version control. Tracking code development and connecting the code version to the results is critical for reproducibility.
The results in this page were generated with repository version 4c71b11. See the Past versions tab to see a history of the changes made to the R Markdown and HTML files.
Note that you need to be careful to ensure that all relevant files for the analysis have been committed to Git prior to generating the results (you can use wflow_publish or wflow_git_commit). workflowr only checks the R Markdown file, but you know if there are other scripts or data files that it depends on. Below is the status of the Git repository when the results were generated:
Ignored files:
Ignored: .ipynb_checkpoints/
Ignored: data/AF/
Untracked files:
Untracked: Rplot.png
Untracked: analysis/.ipynb_checkpoints/
Untracked: analysis/SCZ_2014_EUR_Brain_Amygdala.Rmd
Untracked: analysis/SCZ_2014_EUR_Brain_Anterior_cingulate_cortex_BA24.Rmd
Untracked: analysis/SCZ_2014_EUR_Brain_Caudate_basal_ganglia.Rmd
Untracked: analysis/SCZ_2014_EUR_Brain_Cerebellar_Hemisphere.Rmd
Untracked: analysis/SCZ_2014_EUR_Brain_Cerebellum.Rmd
Untracked: analysis/SCZ_2014_EUR_Brain_Cortex.Rmd
Untracked: analysis/SCZ_2014_EUR_Brain_Frontal_Cortex_BA9.Rmd
Untracked: analysis/SCZ_2014_EUR_Brain_Hippocampus.Rmd
Untracked: analysis/SCZ_2014_EUR_Brain_Hypothalamus.Rmd
Untracked: analysis/SCZ_2014_EUR_Brain_Nucleus_accumbens_basal_ganglia.Rmd
Untracked: analysis/SCZ_2014_EUR_Brain_Putamen_basal_ganglia.Rmd
Untracked: analysis/SCZ_2014_EUR_Brain_Spinal_cord_cervical_c-1.Rmd
Untracked: analysis/SCZ_2014_EUR_Brain_Substantia_nigra.Rmd
Untracked: analysis/SCZ_2020_Brain_Cortex.Rmd
Untracked: analysis/SCZ_2020_Brain_Frontal_Cortex_BA9.Rmd
Untracked: analysis/SCZ_2020_Brain_Hypothalamus.Rmd
Untracked: analysis/SCZ_2020_Brain_Putamen_basal_ganglia.Rmd
Untracked: analysis/SCZ_Cross_Tissue_Analysis.Rmd
Untracked: code/.ipynb_checkpoints/
Untracked: code/AF_out/
Untracked: code/Autism_out/
Untracked: code/BMI_S_out/
Untracked: code/BMI_out/
Untracked: code/Glucose_out/
Untracked: code/LDL_S_out/
Untracked: code/SCZ_2014_EUR_out/
Untracked: code/SCZ_2020_out/
Untracked: code/SCZ_S_out/
Untracked: code/SCZ_out/
Untracked: code/T2D_out/
Untracked: code/ctwas_config.R
Untracked: code/mapping.R
Untracked: code/out/
Untracked: code/run_AF_analysis.sbatch
Untracked: code/run_AF_analysis.sh
Untracked: code/run_AF_ctwas_rss_LDR.R
Untracked: code/run_Autism_analysis.sbatch
Untracked: code/run_Autism_analysis.sh
Untracked: code/run_Autism_ctwas_rss_LDR.R
Untracked: code/run_BMI_analysis.sbatch
Untracked: code/run_BMI_analysis.sh
Untracked: code/run_BMI_analysis_S.sbatch
Untracked: code/run_BMI_analysis_S.sh
Untracked: code/run_BMI_ctwas_rss_LDR.R
Untracked: code/run_BMI_ctwas_rss_LDR_S.R
Untracked: code/run_Glucose_analysis.sbatch
Untracked: code/run_Glucose_analysis.sh
Untracked: code/run_Glucose_ctwas_rss_LDR.R
Untracked: code/run_LDL_analysis_S.sbatch
Untracked: code/run_LDL_analysis_S.sh
Untracked: code/run_LDL_ctwas_rss_LDR_S.R
Untracked: code/run_SCZ_2014_EUR_analysis.sbatch
Untracked: code/run_SCZ_2014_EUR_analysis.sh
Untracked: code/run_SCZ_2014_EUR_ctwas_rss_LDR.R
Untracked: code/run_SCZ_2020_analysis.sbatch
Untracked: code/run_SCZ_2020_analysis.sh
Untracked: code/run_SCZ_2020_ctwas_rss_LDR.R
Untracked: code/run_SCZ_analysis.sbatch
Untracked: code/run_SCZ_analysis.sh
Untracked: code/run_SCZ_analysis_S.sbatch
Untracked: code/run_SCZ_analysis_S.sh
Untracked: code/run_SCZ_ctwas_rss_LDR.R
Untracked: code/run_SCZ_ctwas_rss_LDR_S.R
Untracked: code/run_T2D_analysis.sbatch
Untracked: code/run_T2D_analysis.sh
Untracked: code/run_T2D_ctwas_rss_LDR.R
Untracked: code/wflow_build.R
Untracked: code/wflow_build.sbatch
Untracked: data/.ipynb_checkpoints/
Untracked: data/BMI/
Untracked: data/PGC3_SCZ_wave3_public.v2.tsv
Untracked: data/SCZ/
Untracked: data/SCZ_2014_EUR/
Untracked: data/SCZ_2020/
Untracked: data/SCZ_S/
Untracked: data/T2D/
Untracked: data/UKBB/
Untracked: data/UKBB_SNPs_Info.text
Untracked: data/gene_OMIM.txt
Untracked: data/gene_pip_0.8.txt
Untracked: data/mashr_Heart_Atrial_Appendage.db
Untracked: data/mashr_sqtl/
Untracked: data/summary_known_genes_annotations.xlsx
Untracked: data/untitled.txt
Unstaged changes:
Modified: analysis/SCZ_Brain_Amygdala.Rmd
Modified: analysis/SCZ_Brain_Anterior_cingulate_cortex_BA24.Rmd
Modified: analysis/SCZ_Brain_Caudate_basal_ganglia.Rmd
Modified: analysis/SCZ_Brain_Cerebellar_Hemisphere.Rmd
Modified: analysis/SCZ_Brain_Cerebellum.Rmd
Modified: analysis/SCZ_Brain_Cortex.Rmd
Modified: analysis/SCZ_Brain_Frontal_Cortex_BA9.Rmd
Modified: analysis/SCZ_Brain_Hippocampus.Rmd
Modified: analysis/SCZ_Brain_Hypothalamus.Rmd
Modified: analysis/SCZ_Brain_Nucleus_accumbens_basal_ganglia.Rmd
Modified: analysis/SCZ_Brain_Putamen_basal_ganglia.Rmd
Modified: analysis/SCZ_Brain_Spinal_cord_cervical_c-1.Rmd
Modified: analysis/SCZ_Brain_Substantia_nigra.Rmd
Note that any generated files, e.g. HTML, png, CSS, etc., are not included in this status report because it is ok for generated content to have uncommitted changes.
There are no past versions. Publish this analysis with wflow_publish() to start tracking its development.
#number of imputed weights
nrow(qclist_all)
[1] 10890
#number of imputed weights by chromosome
table(qclist_all$chr)
1 2 3 4 5 6 7 8 9 10 11 12 13 14 15 16
1069 765 627 423 520 642 537 391 403 438 640 628 225 357 364 500
17 18 19 20 21 22
661 173 823 318 118 268
#number of imputed weights without missing variants
sum(qclist_all$nmiss==0)
[1] 8221
#proportion of imputed weights without missing variants
mean(qclist_all$nmiss==0)
[1] 0.7549

#estimated group prior
estimated_group_prior <- group_prior_rec[,ncol(group_prior_rec)]
names(estimated_group_prior) <- c("gene", "snp")
estimated_group_prior["snp"] <- estimated_group_prior["snp"]*thin #adjust parameter to account for thin argument
print(estimated_group_prior)
gene snp
0.0124812 0.0002562
#estimated group prior variance
estimated_group_prior_var <- group_prior_var_rec[,ncol(group_prior_var_rec)]
names(estimated_group_prior_var) <- c("gene", "snp")
print(estimated_group_prior_var)
gene snp
9.991 8.252
#report sample size
print(sample_size)
[1] 77096
#report group size
group_size <- c(nrow(ctwas_gene_res), n_snps)
print(group_size)
[1] 10890 7352670
#estimated group PVE
estimated_group_pve <- estimated_group_prior_var*estimated_group_prior*group_size/sample_size #check PVE calculation
names(estimated_group_pve) <- c("gene", "snp")
print(estimated_group_pve)
gene snp
0.01761 0.20163
#compare sum(PIP*mu2/sample_size) with above PVE calculation
c(sum(ctwas_gene_res$PVE),sum(ctwas_snp_res$PVE))
[1] 0.1259 1.7400

genename region_tag susie_pip mu2 PVE z num_eqtl
905 NT5C2 10_66 1.0000 3129.90 0.0405975 -8.190 1
10867 ZNF823 19_10 0.9810 29.50 0.0003754 5.485 1
4092 FEZF1 7_74 0.9807 27.71 0.0003525 -5.272 1
11990 AC012074.2 2_15 0.9252 22.17 0.0002660 4.623 1
8791 GNG12 1_42 0.9060 22.36 0.0002627 4.530 2
3043 SF3B1 2_117 0.9006 44.05 0.0005145 6.784 1
11497 AS3MT 10_66 0.8748 598.92 0.0067960 8.586 2
10737 PCBP2 12_33 0.8462 21.79 0.0002392 4.496 1
1657 KIAA0391 14_10 0.7730 23.84 0.0002390 -4.760 1
7857 PACSIN3 11_29 0.7560 23.10 0.0002266 4.629 1
7435 SERPINI1 3_103 0.7238 20.15 0.0001891 -4.030 1
6872 CNNM4 2_57 0.7212 22.58 0.0002113 -4.793 1
8900 MAP3K11 11_36 0.7110 22.26 0.0002053 -3.929 2
3935 KLC1 14_54 0.6842 41.27 0.0003663 6.966 1
2590 MDK 11_28 0.6718 38.05 0.0003315 -6.344 1
11110 LIN28B-AS1 6_70 0.6625 23.63 0.0002031 -4.736 2
5277 POC1B 12_54 0.6521 20.40 0.0001725 4.264 1
12516 RP11-65M17.3 11_66 0.6070 20.80 0.0001637 4.301 2
2337 ERLIN1 10_64 0.5760 22.43 0.0001676 4.370 1
700 PPP2R5B 11_36 0.5142 25.23 0.0001683 -4.585 1

genename region_tag susie_pip mu2 PVE z num_eqtl
905 NT5C2 10_66 1.000e+00 3129.90 4.060e-02 -8.1897 1
6164 CNNM2 10_66 7.960e-06 3031.90 3.130e-07 -7.8764 1
11945 HIST1H2BN 6_21 6.776e-07 984.02 8.648e-09 10.7729 1
11497 AS3MT 10_66 8.748e-01 598.92 6.796e-03 8.5861 2
6711 MMP16 8_63 0.000e+00 520.75 0.000e+00 3.6449 1
13230 RP1-86C11.7 6_21 1.513e-12 426.71 8.377e-15 9.0332 1
5144 CALHM2 10_66 4.301e-11 426.15 2.377e-13 -3.3606 1
6156 INA 10_66 1.623e-10 310.71 6.539e-13 -3.6696 1
13650 HCP5B 6_24 7.559e-12 186.42 1.828e-14 2.4792 1
11190 MSH5 6_26 9.461e-03 175.14 2.149e-05 7.4967 2
11197 APOM 6_26 3.765e-05 154.56 7.548e-08 8.9450 1
2908 PCCB 3_84 1.617e-06 138.22 2.900e-09 -5.9913 1
12247 C4A 6_26 1.041e-07 136.75 1.847e-10 8.4587 2
13080 HCG17 6_24 1.471e-13 121.68 2.322e-16 4.0856 3
2196 MPP6 7_21 3.639e-03 110.55 5.218e-06 -3.4121 1
11165 NOTCH4 6_26 3.331e-16 101.41 4.381e-19 3.2643 2
3798 HIST1H2BJ 6_21 0.000e+00 99.23 0.000e+00 0.2007 2
9879 GRIN2A 16_10 7.640e-07 90.84 9.002e-10 -0.9830 2
11801 SAPCD1 6_26 1.435e-12 86.48 1.610e-15 -2.6196 1
10691 HLA-DQA1 6_26 1.796e-13 81.58 1.901e-16 1.7990 2
genename region_tag susie_pip mu2 PVE z num_eqtl
905 NT5C2 10_66 1.0000 3129.90 0.0405975 -8.190 1
11497 AS3MT 10_66 0.8748 598.92 0.0067960 8.586 2
3043 SF3B1 2_117 0.9006 44.05 0.0005145 6.784 1
10867 ZNF823 19_10 0.9810 29.50 0.0003754 5.485 1
3935 KLC1 14_54 0.6842 41.27 0.0003663 6.966 1
4092 FEZF1 7_74 0.9807 27.71 0.0003525 -5.272 1
2590 MDK 11_28 0.6718 38.05 0.0003315 -6.344 1
11990 AC012074.2 2_15 0.9252 22.17 0.0002660 4.623 1
8791 GNG12 1_42 0.9060 22.36 0.0002627 4.530 2
10737 PCBP2 12_33 0.8462 21.79 0.0002392 4.496 1
1657 KIAA0391 14_10 0.7730 23.84 0.0002390 -4.760 1
7857 PACSIN3 11_29 0.7560 23.10 0.0002266 4.629 1
6872 CNNM4 2_57 0.7212 22.58 0.0002113 -4.793 1
8900 MAP3K11 11_36 0.7110 22.26 0.0002053 -3.929 2
11110 LIN28B-AS1 6_70 0.6625 23.63 0.0002031 -4.736 2
7435 SERPINI1 3_103 0.7238 20.15 0.0001891 -4.030 1
5406 FURIN 15_42 0.4177 32.97 0.0001786 -5.701 1
5277 POC1B 12_54 0.6521 20.40 0.0001725 4.264 1
700 PPP2R5B 11_36 0.5142 25.23 0.0001683 -4.585 1
2337 ERLIN1 10_64 0.5760 22.43 0.0001676 4.370 1
genename region_tag susie_pip mu2 PVE z num_eqtl
11945 HIST1H2BN 6_21 6.776e-07 984.02 8.648e-09 10.773 1
13230 RP1-86C11.7 6_21 1.513e-12 426.71 8.377e-15 9.033 1
11197 APOM 6_26 3.765e-05 154.56 7.548e-08 8.945 1
11497 AS3MT 10_66 8.748e-01 598.92 6.796e-03 8.586 2
10244 BTN3A2 6_20 1.617e-02 58.46 1.226e-05 8.492 3
12247 C4A 6_26 1.041e-07 136.75 1.847e-10 8.459 2
905 NT5C2 10_66 1.000e+00 3129.90 4.060e-02 -8.190 1
6164 CNNM2 10_66 7.960e-06 3031.90 3.130e-07 -7.876 1
11190 MSH5 6_26 9.461e-03 175.14 2.149e-05 7.497 2
10593 TUBB 6_24 2.334e-08 77.05 2.332e-11 -7.349 1
11957 TRIM26 6_24 5.531e-12 61.93 4.443e-15 -7.107 2
10545 ZKSCAN3 6_22 1.690e-02 40.92 8.968e-06 7.035 1
3935 KLC1 14_54 6.842e-01 41.27 3.663e-04 6.966 1
3043 SF3B1 2_117 9.006e-01 44.05 5.145e-04 6.784 1
10732 ZSCAN26 6_22 9.943e-03 45.38 5.852e-06 6.759 3
13228 U91328.19 6_20 8.134e-02 45.11 4.759e-05 -6.580 1
2590 MDK 11_28 6.718e-01 38.05 3.315e-04 -6.344 1
11209 CCHCR1 6_26 2.433e-10 37.40 1.180e-13 -6.153 3
9596 HARBI1 11_28 1.660e-01 34.49 7.427e-05 6.084 1
12556 APOPT1 14_54 2.347e-02 31.58 9.616e-06 -6.006 2


#proportion of significant z scores
mean(abs(ctwas_gene_res$z) > sig_thresh)
[1] 0.006979
#number of genes for gene set enrichment
length(genes)
[1] 20
Uploading data to Enrichr... Done.
Querying GO_Biological_Process_2021... Done.
Querying GO_Cellular_Component_2021... Done.
Querying GO_Molecular_Function_2021... Done.
Parsing results... Done.
[1] "GO_Biological_Process_2021"

[1] Term Overlap Adjusted.P.value Genes
<0 rows> (or 0-length row.names)
[1] "GO_Cellular_Component_2021"

[1] Term Overlap Adjusted.P.value Genes
<0 rows> (or 0-length row.names)
[1] "GO_Molecular_Function_2021"

[1] Term Overlap Adjusted.P.value Genes
<0 rows> (or 0-length row.names)
Description FDR Ratio
59 Amaurosis hypertrichosis 0.008233 1/9
60 Familial encephalopathy with neuroserpin inclusion bodies 0.008233 1/9
63 Cone rod dystrophy amelogenesis imperfecta 0.008233 1/9
66 Jalili syndrome 0.008233 1/9
68 SPASTIC PARAPLEGIA 45, AUTOSOMAL RECESSIVE 0.008233 1/9
69 CONE-ROD DYSTROPHY 20 0.008233 1/9
70 HYPOGONADOTROPIC HYPOGONADISM 22 WITH OR WITHOUT ANOSMIA 0.008233 1/9
71 SPASTIC PARAPLEGIA 62, AUTOSOMAL RECESSIVE 0.008233 1/9
17 Neoplasms, Glandular and Epithelial 0.010973 1/9
25 Glandular Neoplasms 0.010973 1/9
BgRatio
59 1/9703
60 1/9703
63 1/9703
66 1/9703
68 1/9703
69 1/9703
70 1/9703
71 1/9703
17 2/9703
25 2/9703
Loading the functional categories...
Loading the ID list...
Loading the reference list...
Performing the enrichment analysis...
Warning in oraEnrichment(interestGeneList, referenceGeneList, geneSet, minNum =
minNum, : No significant gene set is identified based on FDR 0.05!
NULL
Warning: 'timedatectl' indicates the non-existent timezone name 'n/a'
Warning: Your system is mis-configured: '/etc/localtime' is not a symlink
Warning: It is strongly recommended to set envionment variable TZ to 'America/
Chicago' (or equivalent)

#number of genes in known annotations
print(length(known_annotations))
[1] 130
#number of genes in known annotations with imputed expression
print(sum(known_annotations %in% ctwas_gene_res$genename))
[1] 60
#significance threshold for TWAS
print(sig_thresh)
[1] 4.583
#number of ctwas genes
length(ctwas_genes)
[1] 8
#number of TWAS genes
length(twas_genes)
[1] 76
#show novel genes (ctwas genes with not in TWAS genes)
ctwas_gene_res[ctwas_gene_res$genename %in% novel_genes,report_cols]
genename region_tag susie_pip mu2 PVE z num_eqtl
8791 GNG12 1_42 0.9060 22.36 0.0002627 4.530 2
10737 PCBP2 12_33 0.8462 21.79 0.0002392 4.496 1
#sensitivity / recall
print(sensitivity)
ctwas TWAS
0.01538 0.06154
#specificity
print(specificity)
ctwas TWAS
0.9994 0.9937
#precision / PPV
print(precision)
ctwas TWAS
0.2500 0.1053

#number of genes in known annotations (with imputed expression)
print(length(known_annotations))
[1] 60
#number of bystander genes (with imputed expression)
print(length(unrelated_genes))
[1] 776
#subset results to genes in known annotations or bystanders
ctwas_gene_res_subset <- ctwas_gene_res[ctwas_gene_res$genename %in% c(known_annotations, unrelated_genes),]
#assign ctwas and TWAS genes
ctwas_genes <- ctwas_gene_res_subset$genename[ctwas_gene_res_subset$susie_pip>0.8]
twas_genes <- ctwas_gene_res_subset$genename[abs(ctwas_gene_res_subset$z)>sig_thresh]
#significance threshold for TWAS
print(sig_thresh)
[1] 4.583
#number of ctwas genes (in known annotations or bystanders)
length(ctwas_genes)
[1] 2
#number of TWAS genes (in known annotations or bystanders)
length(twas_genes)
[1] 17
#sensitivity / recall
sensitivity
ctwas TWAS
0.03333 0.13333
#specificity / (1 - False Positive Rate)
specificity
ctwas TWAS
1.0000 0.9884
#precision / PPV / (1 - False Discovery Rate)
precision
ctwas TWAS
1.0000 0.4706


pip_range <- (0:1000)/1000
sensitivity <- rep(NA, length(pip_range))
specificity <- rep(NA, length(pip_range))
for (index in 1:length(pip_range)){
pip <- pip_range[index]
ctwas_genes <- ctwas_gene_res_subset$genename[ctwas_gene_res_subset$susie_pip>=pip]
sensitivity[index] <- sum(ctwas_genes %in% known_annotations)/length(known_annotations)
specificity[index] <- sum(!(unrelated_genes %in% ctwas_genes))/length(unrelated_genes)
}
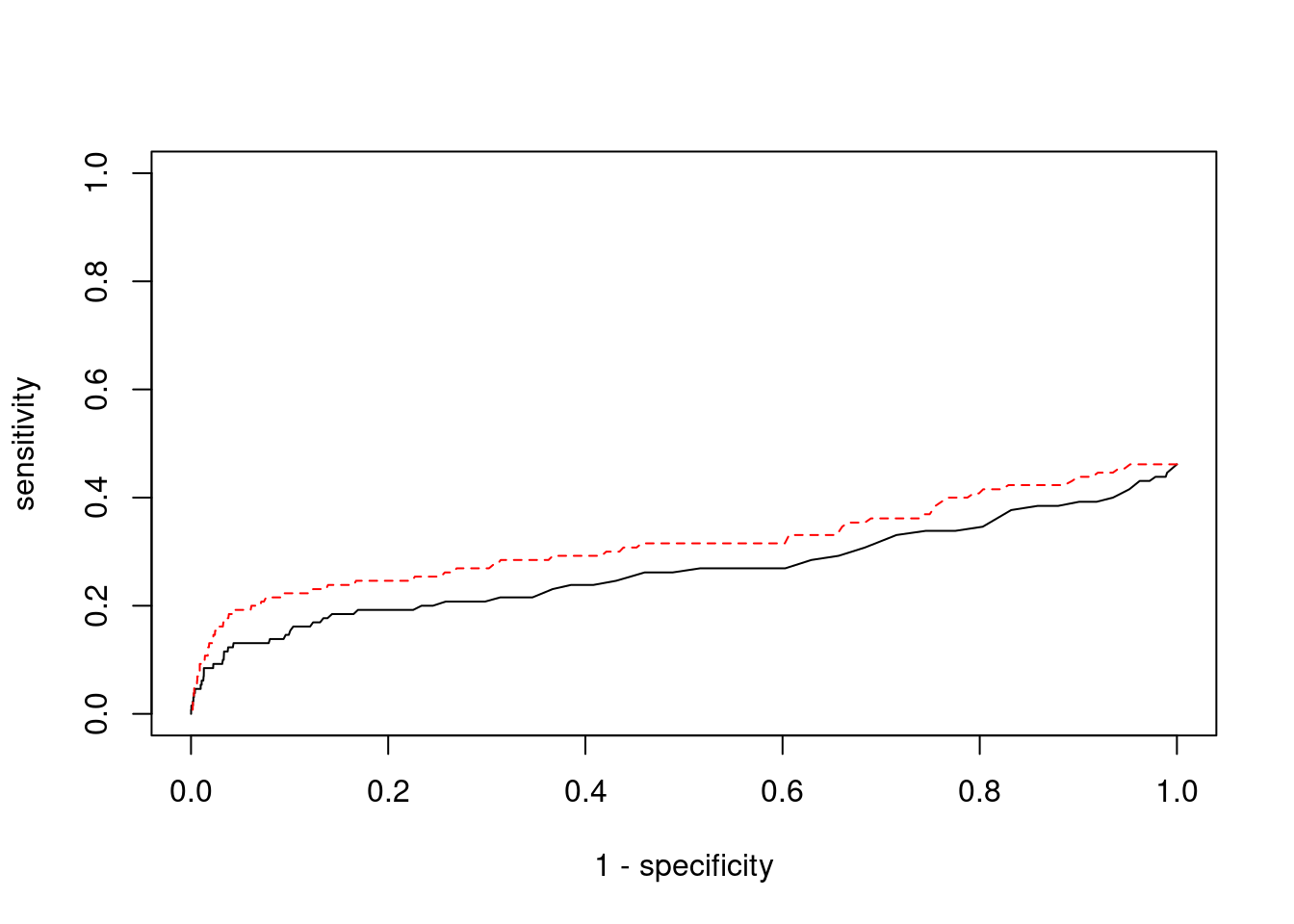
plot(1-specificity, sensitivity, type="l", xlim=c(0,1), ylim=c(0,1), main="", xlab="1 - Specificity", ylab="Sensitivity")
title(expression("ROC Curve for cTWAS (black) and TWAS (" * phantom("red") * ")"))
title(expression(phantom("ROC Curve for cTWAS (black) and TWAS (") * "red" * phantom(")")), col.main="red")
sig_thresh_range <- seq(from=0, to=max(abs(ctwas_gene_res_subset$z)), length.out=length(pip_range))
for (index in 1:length(sig_thresh_range)){
sig_thresh_plot <- sig_thresh_range[index]
twas_genes <- ctwas_gene_res_subset$genename[abs(ctwas_gene_res_subset$z)>=sig_thresh_plot]
sensitivity[index] <- sum(twas_genes %in% known_annotations)/length(known_annotations)
specificity[index] <- sum(!(unrelated_genes %in% twas_genes))/length(unrelated_genes)
}
lines(1-specificity, sensitivity, xlim=c(0,1), ylim=c(0,1), col="red", lty=1)
abline(a=0,b=1,lty=3)
#add previously computed points from the analysis
ctwas_genes <- ctwas_gene_res_subset$genename[ctwas_gene_res_subset$susie_pip>0.8]
twas_genes <- ctwas_gene_res_subset$genename[abs(ctwas_gene_res_subset$z)>sig_thresh]
points(1-specificity_plot["ctwas"], sensitivity_plot["ctwas"], pch=21, bg="black")
points(1-specificity_plot["TWAS"], sensitivity_plot["TWAS"], pch=21, bg="red")

#table of outcomes for silver standard genes
-sort(-table(silver_standard_case))
silver_standard_case
Not Imputed Insignificant z-score Nearby SNP(s)
70 52 6
Detected (PIP > 0.8)
2
#show inconclusive genes
silver_standard_case[silver_standard_case=="Inconclusive"]
named character(0)

sessionInfo()
R version 3.6.1 (2019-07-05)
Platform: x86_64-pc-linux-gnu (64-bit)
Running under: Scientific Linux 7.4 (Nitrogen)
Matrix products: default
BLAS/LAPACK: /software/openblas-0.2.19-el7-x86_64/lib/libopenblas_haswellp-r0.2.19.so
locale:
[1] LC_CTYPE=en_US.UTF-8 LC_NUMERIC=C
[3] LC_TIME=en_US.UTF-8 LC_COLLATE=en_US.UTF-8
[5] LC_MONETARY=en_US.UTF-8 LC_MESSAGES=en_US.UTF-8
[7] LC_PAPER=en_US.UTF-8 LC_NAME=C
[9] LC_ADDRESS=C LC_TELEPHONE=C
[11] LC_MEASUREMENT=en_US.UTF-8 LC_IDENTIFICATION=C
attached base packages:
[1] parallel stats4 stats graphics grDevices utils datasets
[8] methods base
other attached packages:
[1] GenomicRanges_1.36.1 GenomeInfoDb_1.20.0 IRanges_2.18.1
[4] S4Vectors_0.22.1 BiocGenerics_0.30.0 biomaRt_2.40.1
[7] readxl_1.3.1 forcats_0.5.1 stringr_1.4.0
[10] dplyr_1.0.7 purrr_0.3.4 readr_2.1.1
[13] tidyr_1.1.4 tidyverse_1.3.1 tibble_3.1.6
[16] WebGestaltR_0.4.4 disgenet2r_0.99.2 enrichR_3.0
[19] cowplot_1.0.0 ggplot2_3.3.5 workflowr_1.7.0
loaded via a namespace (and not attached):
[1] ggbeeswarm_0.6.0 colorspace_2.0-2 rjson_0.2.20
[4] ellipsis_0.3.2 rprojroot_2.0.2 XVector_0.24.0
[7] fs_1.5.2 rstudioapi_0.13 farver_2.1.0
[10] ggrepel_0.9.1 bit64_4.0.5 AnnotationDbi_1.46.0
[13] fansi_1.0.2 lubridate_1.8.0 xml2_1.3.3
[16] codetools_0.2-16 doParallel_1.0.17 cachem_1.0.6
[19] knitr_1.36 jsonlite_1.7.2 apcluster_1.4.8
[22] Cairo_1.5-12.2 broom_0.7.10 dbplyr_2.1.1
[25] compiler_3.6.1 httr_1.4.2 backports_1.4.1
[28] assertthat_0.2.1 Matrix_1.2-18 fastmap_1.1.0
[31] cli_3.1.0 later_0.8.0 prettyunits_1.1.1
[34] htmltools_0.5.2 tools_3.6.1 igraph_1.2.10
[37] GenomeInfoDbData_1.2.1 gtable_0.3.0 glue_1.6.2
[40] reshape2_1.4.4 doRNG_1.8.2 Rcpp_1.0.8
[43] Biobase_2.44.0 cellranger_1.1.0 jquerylib_0.1.4
[46] vctrs_0.3.8 svglite_1.2.2 iterators_1.0.14
[49] xfun_0.29 ps_1.6.0 rvest_1.0.2
[52] lifecycle_1.0.1 rngtools_1.5.2 XML_3.99-0.3
[55] zlibbioc_1.30.0 getPass_0.2-2 scales_1.1.1
[58] vroom_1.5.7 hms_1.1.1 promises_1.0.1
[61] yaml_2.2.1 curl_4.3.2 memoise_2.0.1
[64] ggrastr_1.0.1 gdtools_0.1.9 stringi_1.7.6
[67] RSQLite_2.2.8 highr_0.9 foreach_1.5.2
[70] rlang_1.0.1 pkgconfig_2.0.3 bitops_1.0-7
[73] evaluate_0.14 lattice_0.20-38 labeling_0.4.2
[76] bit_4.0.4 processx_3.5.2 tidyselect_1.1.1
[79] plyr_1.8.6 magrittr_2.0.2 R6_2.5.1
[82] generics_0.1.1 DBI_1.1.2 pillar_1.6.4
[85] haven_2.4.3 whisker_0.3-2 withr_2.4.3
[88] RCurl_1.98-1.5 modelr_0.1.8 crayon_1.5.0
[91] utf8_1.2.2 tzdb_0.2.0 rmarkdown_2.11
[94] progress_1.2.2 grid_3.6.1 data.table_1.14.2
[97] blob_1.2.2 callr_3.7.0 git2r_0.26.1
[100] reprex_2.0.1 digest_0.6.29 httpuv_1.5.1
[103] munsell_0.5.0 beeswarm_0.2.3 vipor_0.4.5