Last updated: 2022-03-14
Checks: 5 2
Knit directory: cTWAS_analysis/
This reproducible R Markdown analysis was created with workflowr (version 1.7.0). The Checks tab describes the reproducibility checks that were applied when the results were created. The Past versions tab lists the development history.
The R Markdown is untracked by Git. To know which version of the R Markdown file created these results, you’ll want to first commit it to the Git repo. If you’re still working on the analysis, you can ignore this warning. When you’re finished, you can run wflow_publish to commit the R Markdown file and build the HTML.
Great job! The global environment was empty. Objects defined in the global environment can affect the analysis in your R Markdown file in unknown ways. For reproduciblity it’s best to always run the code in an empty environment.
The command set.seed(20211220) was run prior to running the code in the R Markdown file. Setting a seed ensures that any results that rely on randomness, e.g. subsampling or permutations, are reproducible.
Great job! Recording the operating system, R version, and package versions is critical for reproducibility.
Nice! There were no cached chunks for this analysis, so you can be confident that you successfully produced the results during this run.
Using absolute paths to the files within your workflowr project makes it difficult for you and others to run your code on a different machine. Change the absolute path(s) below to the suggested relative path(s) to make your code more reproducible.
| absolute | relative |
|---|---|
| /project2/xinhe/shengqian/cTWAS/cTWAS_analysis/data/ | data |
| /project2/xinhe/shengqian/cTWAS/cTWAS_analysis/code/ctwas_config.R | code/ctwas_config.R |
Great! You are using Git for version control. Tracking code development and connecting the code version to the results is critical for reproducibility.
The results in this page were generated with repository version 4c71b11. See the Past versions tab to see a history of the changes made to the R Markdown and HTML files.
Note that you need to be careful to ensure that all relevant files for the analysis have been committed to Git prior to generating the results (you can use wflow_publish or wflow_git_commit). workflowr only checks the R Markdown file, but you know if there are other scripts or data files that it depends on. Below is the status of the Git repository when the results were generated:
Ignored files:
Ignored: .ipynb_checkpoints/
Ignored: data/AF/
Untracked files:
Untracked: Rplot.png
Untracked: analysis/.ipynb_checkpoints/
Untracked: analysis/SCZ_2014_EUR_Brain_Amygdala.Rmd
Untracked: analysis/SCZ_2014_EUR_Brain_Anterior_cingulate_cortex_BA24.Rmd
Untracked: analysis/SCZ_2014_EUR_Brain_Caudate_basal_ganglia.Rmd
Untracked: analysis/SCZ_2014_EUR_Brain_Cerebellar_Hemisphere.Rmd
Untracked: analysis/SCZ_2014_EUR_Brain_Cerebellum.Rmd
Untracked: analysis/SCZ_2014_EUR_Brain_Cortex.Rmd
Untracked: analysis/SCZ_2014_EUR_Brain_Frontal_Cortex_BA9.Rmd
Untracked: analysis/SCZ_2014_EUR_Brain_Hippocampus.Rmd
Untracked: analysis/SCZ_2014_EUR_Brain_Hypothalamus.Rmd
Untracked: analysis/SCZ_2014_EUR_Brain_Nucleus_accumbens_basal_ganglia.Rmd
Untracked: analysis/SCZ_2014_EUR_Brain_Putamen_basal_ganglia.Rmd
Untracked: analysis/SCZ_2014_EUR_Brain_Spinal_cord_cervical_c-1.Rmd
Untracked: analysis/SCZ_2014_EUR_Brain_Substantia_nigra.Rmd
Untracked: analysis/SCZ_2020_Brain_Cortex.Rmd
Untracked: analysis/SCZ_2020_Brain_Frontal_Cortex_BA9.Rmd
Untracked: analysis/SCZ_2020_Brain_Hypothalamus.Rmd
Untracked: analysis/SCZ_2020_Brain_Putamen_basal_ganglia.Rmd
Untracked: analysis/SCZ_Cross_Tissue_Analysis.Rmd
Untracked: code/.ipynb_checkpoints/
Untracked: code/AF_out/
Untracked: code/Autism_out/
Untracked: code/BMI_S_out/
Untracked: code/BMI_out/
Untracked: code/Glucose_out/
Untracked: code/LDL_S_out/
Untracked: code/SCZ_2014_EUR_out/
Untracked: code/SCZ_2020_out/
Untracked: code/SCZ_S_out/
Untracked: code/SCZ_out/
Untracked: code/T2D_out/
Untracked: code/ctwas_config.R
Untracked: code/mapping.R
Untracked: code/out/
Untracked: code/run_AF_analysis.sbatch
Untracked: code/run_AF_analysis.sh
Untracked: code/run_AF_ctwas_rss_LDR.R
Untracked: code/run_Autism_analysis.sbatch
Untracked: code/run_Autism_analysis.sh
Untracked: code/run_Autism_ctwas_rss_LDR.R
Untracked: code/run_BMI_analysis.sbatch
Untracked: code/run_BMI_analysis.sh
Untracked: code/run_BMI_analysis_S.sbatch
Untracked: code/run_BMI_analysis_S.sh
Untracked: code/run_BMI_ctwas_rss_LDR.R
Untracked: code/run_BMI_ctwas_rss_LDR_S.R
Untracked: code/run_Glucose_analysis.sbatch
Untracked: code/run_Glucose_analysis.sh
Untracked: code/run_Glucose_ctwas_rss_LDR.R
Untracked: code/run_LDL_analysis_S.sbatch
Untracked: code/run_LDL_analysis_S.sh
Untracked: code/run_LDL_ctwas_rss_LDR_S.R
Untracked: code/run_SCZ_2014_EUR_analysis.sbatch
Untracked: code/run_SCZ_2014_EUR_analysis.sh
Untracked: code/run_SCZ_2014_EUR_ctwas_rss_LDR.R
Untracked: code/run_SCZ_2020_analysis.sbatch
Untracked: code/run_SCZ_2020_analysis.sh
Untracked: code/run_SCZ_2020_ctwas_rss_LDR.R
Untracked: code/run_SCZ_analysis.sbatch
Untracked: code/run_SCZ_analysis.sh
Untracked: code/run_SCZ_analysis_S.sbatch
Untracked: code/run_SCZ_analysis_S.sh
Untracked: code/run_SCZ_ctwas_rss_LDR.R
Untracked: code/run_SCZ_ctwas_rss_LDR_S.R
Untracked: code/run_T2D_analysis.sbatch
Untracked: code/run_T2D_analysis.sh
Untracked: code/run_T2D_ctwas_rss_LDR.R
Untracked: code/wflow_build.R
Untracked: code/wflow_build.sbatch
Untracked: data/.ipynb_checkpoints/
Untracked: data/BMI/
Untracked: data/PGC3_SCZ_wave3_public.v2.tsv
Untracked: data/SCZ/
Untracked: data/SCZ_2014_EUR/
Untracked: data/SCZ_2020/
Untracked: data/SCZ_S/
Untracked: data/T2D/
Untracked: data/UKBB/
Untracked: data/UKBB_SNPs_Info.text
Untracked: data/gene_OMIM.txt
Untracked: data/gene_pip_0.8.txt
Untracked: data/mashr_Heart_Atrial_Appendage.db
Untracked: data/mashr_sqtl/
Untracked: data/summary_known_genes_annotations.xlsx
Untracked: data/untitled.txt
Unstaged changes:
Modified: analysis/SCZ_Brain_Amygdala.Rmd
Modified: analysis/SCZ_Brain_Anterior_cingulate_cortex_BA24.Rmd
Modified: analysis/SCZ_Brain_Caudate_basal_ganglia.Rmd
Modified: analysis/SCZ_Brain_Cerebellar_Hemisphere.Rmd
Modified: analysis/SCZ_Brain_Cerebellum.Rmd
Modified: analysis/SCZ_Brain_Cortex.Rmd
Modified: analysis/SCZ_Brain_Frontal_Cortex_BA9.Rmd
Modified: analysis/SCZ_Brain_Hippocampus.Rmd
Modified: analysis/SCZ_Brain_Hypothalamus.Rmd
Modified: analysis/SCZ_Brain_Nucleus_accumbens_basal_ganglia.Rmd
Modified: analysis/SCZ_Brain_Putamen_basal_ganglia.Rmd
Modified: analysis/SCZ_Brain_Spinal_cord_cervical_c-1.Rmd
Modified: analysis/SCZ_Brain_Substantia_nigra.Rmd
Note that any generated files, e.g. HTML, png, CSS, etc., are not included in this status report because it is ok for generated content to have uncommitted changes.
There are no past versions. Publish this analysis with wflow_publish() to start tracking its development.
#number of imputed weights
nrow(qclist_all)
[1] 9743
#number of imputed weights by chromosome
table(qclist_all$chr)
1 2 3 4 5 6 7 8 9 10 11 12 13 14 15 16 17 18 19 20
938 694 581 370 465 570 472 380 383 380 570 552 210 311 325 435 585 146 750 300
21 22
107 219
#number of imputed weights without missing variants
sum(qclist_all$nmiss==0)
[1] 7726
#proportion of imputed weights without missing variants
mean(qclist_all$nmiss==0)
[1] 0.793

#estimated group prior
estimated_group_prior <- group_prior_rec[,ncol(group_prior_rec)]
names(estimated_group_prior) <- c("gene", "snp")
estimated_group_prior["snp"] <- estimated_group_prior["snp"]*thin #adjust parameter to account for thin argument
print(estimated_group_prior)
gene snp
0.0075376 0.0002693
#estimated group prior variance
estimated_group_prior_var <- group_prior_var_rec[,ncol(group_prior_var_rec)]
names(estimated_group_prior_var) <- c("gene", "snp")
print(estimated_group_prior_var)
gene snp
12.16 8.06
#report sample size
print(sample_size)
[1] 77096
#report group size
group_size <- c(nrow(ctwas_gene_res), n_snps)
print(group_size)
[1] 9743 7352670
#estimated group PVE
estimated_group_pve <- estimated_group_prior_var*estimated_group_prior*group_size/sample_size #check PVE calculation
names(estimated_group_pve) <- c("gene", "snp")
print(estimated_group_pve)
gene snp
0.01158 0.20700
#compare sum(PIP*mu2/sample_size) with above PVE calculation
c(sum(ctwas_gene_res$PVE),sum(ctwas_snp_res$PVE))
[1] 0.04898 1.75131

genename region_tag susie_pip mu2 PVE z num_eqtl
4961 FURIN 15_42 0.9800 46.60 0.0005923 -7.000 1
10000 ZNF823 19_10 0.9719 30.17 0.0003804 5.485 1
5687 ARFGAP2 11_29 0.9119 25.85 0.0003058 4.839 1
11036 AC012074.2 2_15 0.8828 23.06 0.0002641 4.620 2
8494 DIRAS1 19_3 0.8347 23.23 0.0002515 4.571 2
2900 MAP7D1 1_22 0.7766 25.65 0.0002584 5.058 1
8526 LY6H 8_94 0.7106 22.57 0.0002081 4.351 2
6269 PANK4 1_2 0.6903 27.09 0.0002426 4.910 1
8611 ZNF354C 5_108 0.6802 22.61 0.0001995 -4.154 1
98 ELAC2 17_11 0.6773 24.71 0.0002170 4.372 1
2371 MDK 11_28 0.6321 39.24 0.0003217 -6.344 1
2668 PDCD10 3_103 0.5970 22.06 0.0001708 -4.028 2
2720 LMAN2L 2_57 0.5930 23.78 0.0001829 -4.957 2
1618 PPP1R16B 20_23 0.5862 35.88 0.0002728 6.009 1
11951 LINC01415 18_30 0.5846 32.68 0.0002478 -5.655 1
2778 KCNJ13 2_137 0.5784 38.96 0.0002923 -6.658 1
12597 EBLN3P 9_28 0.5337 23.11 0.0001600 -4.442 1
11529 RP11-65M17.3 11_66 0.5146 22.28 0.0001487 4.340 1
3140 HELLS 10_61 0.5070 23.30 0.0001532 -3.886 1
10923 LINC01305 2_105 0.4888 23.44 0.0001486 4.514 1

genename region_tag susie_pip mu2 PVE z num_eqtl
10995 HIST1H2BN 6_21 1.903e-06 984.0 2.429e-08 10.7729 1
6157 MMP16 8_63 0.000e+00 518.4 0.000e+00 3.6478 1
10957 HLA-DQB2 6_26 0.000e+00 297.5 0.000e+00 1.0975 1
8739 HLA-DQB1 6_26 3.331e-16 246.7 1.066e-18 3.9187 1
12122 RP1-153G14.4 6_21 0.000e+00 218.8 0.000e+00 0.4901 2
10307 APOM 6_26 1.696e-08 205.8 4.526e-11 8.9450 1
10295 VWA7 6_26 1.219e-08 205.6 3.250e-11 8.9114 1
10301 ABHD16A 6_26 1.401e-08 205.5 3.734e-11 8.9341 1
11109 HLA-DQA2 6_26 0.000e+00 200.4 0.000e+00 -4.3832 1
11280 C4A 6_26 3.035e-10 196.6 7.737e-13 8.4450 1
10309 BAG6 6_26 0.000e+00 196.0 0.000e+00 8.6525 2
10527 DDAH2 6_26 0.000e+00 191.2 0.000e+00 7.6610 1
10292 HSPA1A 6_26 0.000e+00 169.3 0.000e+00 7.6575 1
10333 PPP1R11 6_24 1.363e-04 158.8 2.807e-07 5.8398 1
3472 HIST1H2BJ 6_21 0.000e+00 150.4 0.000e+00 1.6735 1
2660 PCCB 3_84 1.338e-02 143.8 2.496e-05 -4.3613 1
11004 TRIM26 6_24 3.220e-15 135.5 5.658e-18 -5.5387 1
2012 MPP6 7_21 7.390e-03 111.8 1.072e-05 -3.3024 1
8306 MSL2 3_84 5.309e-03 109.3 7.526e-06 3.7753 1
10521 ATF6B 6_26 0.000e+00 100.7 0.000e+00 3.0904 2
genename region_tag susie_pip mu2 PVE z num_eqtl
4961 FURIN 15_42 0.9800 46.60 0.0005923 -7.000 1
10000 ZNF823 19_10 0.9719 30.17 0.0003804 5.485 1
2371 MDK 11_28 0.6321 39.24 0.0003217 -6.344 1
5687 ARFGAP2 11_29 0.9119 25.85 0.0003058 4.839 1
2778 KCNJ13 2_137 0.5784 38.96 0.0002923 -6.658 1
1618 PPP1R16B 20_23 0.5862 35.88 0.0002728 6.009 1
11036 AC012074.2 2_15 0.8828 23.06 0.0002641 4.620 2
2900 MAP7D1 1_22 0.7766 25.65 0.0002584 5.058 1
8494 DIRAS1 19_3 0.8347 23.23 0.0002515 4.571 2
11951 LINC01415 18_30 0.5846 32.68 0.0002478 -5.655 1
6269 PANK4 1_2 0.6903 27.09 0.0002426 4.910 1
98 ELAC2 17_11 0.6773 24.71 0.0002170 4.372 1
8526 LY6H 8_94 0.7106 22.57 0.0002081 4.351 2
8611 ZNF354C 5_108 0.6802 22.61 0.0001995 -4.154 1
2720 LMAN2L 2_57 0.5930 23.78 0.0001829 -4.957 2
2668 PDCD10 3_103 0.5970 22.06 0.0001708 -4.028 2
12597 EBLN3P 9_28 0.5337 23.11 0.0001600 -4.442 1
2055 PPP1R17 7_25 0.2926 41.26 0.0001566 3.665 1
3140 HELLS 10_61 0.5070 23.30 0.0001532 -3.886 1
2418 VPS29 12_67 0.4640 24.73 0.0001488 -4.982 1
genename region_tag susie_pip mu2 PVE z num_eqtl
10995 HIST1H2BN 6_21 1.903e-06 984.00 2.429e-08 10.773 1
9418 BTN3A2 6_20 1.405e-02 70.73 1.289e-05 9.206 3
10307 APOM 6_26 1.696e-08 205.77 4.526e-11 8.945 1
10301 ABHD16A 6_26 1.401e-08 205.45 3.734e-11 8.934 1
10295 VWA7 6_26 1.219e-08 205.57 3.250e-11 8.911 1
10309 BAG6 6_26 0.000e+00 196.05 0.000e+00 8.653 2
11280 C4A 6_26 3.035e-10 196.56 7.737e-13 8.445 1
8834 HIST1H2BC 6_20 1.305e-02 52.87 8.946e-06 -7.978 1
10273 RNF5 6_26 0.000e+00 97.92 0.000e+00 7.921 1
10276 PRRT1 6_26 0.000e+00 97.51 0.000e+00 -7.907 1
10527 DDAH2 6_26 0.000e+00 191.22 0.000e+00 7.661 1
10292 HSPA1A 6_26 0.000e+00 169.34 0.000e+00 7.658 1
6323 ZSCAN12 6_22 1.058e-02 47.79 6.557e-06 7.575 2
9552 ZSCAN23 6_22 2.155e-02 57.49 1.607e-05 -7.555 1
10318 CCHCR1 6_25 8.786e-03 43.83 4.995e-06 -7.424 1
4961 FURIN 15_42 9.800e-01 46.60 5.923e-04 -7.000 1
10317 POU5F1 6_25 3.789e-02 45.64 2.243e-05 -6.773 1
5665 CYP17A1 10_66 5.217e-03 31.52 2.133e-06 -6.664 1
2778 KCNJ13 2_137 5.784e-01 38.96 2.923e-04 -6.658 1
9514 ZKSCAN4 6_22 7.582e-03 36.31 3.571e-06 -6.478 1


[1] 0.008108
#number of genes for gene set enrichment
length(genes)
[1] 19
Uploading data to Enrichr... Done.
Querying GO_Biological_Process_2021... Done.
Querying GO_Cellular_Component_2021... Done.
Querying GO_Molecular_Function_2021... Done.
Parsing results... Done.
[1] "GO_Biological_Process_2021"

Term
1 regulation of blood vessel endothelial cell proliferation involved in sprouting angiogenesis (GO:1903587)
Overlap Adjusted.P.value Genes
1 2/16 0.02708 PPP1R16B;PDCD10
[1] "GO_Cellular_Component_2021"

[1] Term Overlap Adjusted.P.value Genes
<0 rows> (or 0-length row.names)
[1] "GO_Molecular_Function_2021"

[1] Term Overlap Adjusted.P.value Genes
<0 rows> (or 0-length row.names)
Description
52 Snowflake vitreoretinal degeneration
53 Cerebral Cavernous Malformations 3
55 Familial cerebral cavernous malformation
57 LEBER CONGENITAL AMAUROSIS 16
58 PROSTATE CANCER, HEREDITARY, 2
60 COMBINED OXIDATIVE PHOSPHORYLATION DEFICIENCY 17
61 MENTAL RETARDATION, AUTOSOMAL RECESSIVE 52
63 IMMUNODEFICIENCY-CENTROMERIC INSTABILITY-FACIAL ANOMALIES SYNDROME 4
36 Immunodeficiency syndrome, variable
54 Cavernous Hemangioma of Brain
FDR Ratio BgRatio
52 0.007305 1/9 1/9703
53 0.007305 1/9 1/9703
55 0.007305 1/9 1/9703
57 0.007305 1/9 1/9703
58 0.007305 1/9 1/9703
60 0.007305 1/9 1/9703
61 0.007305 1/9 1/9703
63 0.007305 1/9 1/9703
36 0.012982 1/9 2/9703
54 0.017518 1/9 3/9703
Loading the functional categories...
Loading the ID list...
Loading the reference list...
Performing the enrichment analysis...
Warning in oraEnrichment(interestGeneList, referenceGeneList, geneSet, minNum =
minNum, : No significant gene set is identified based on FDR 0.05!
NULL
Warning: 'timedatectl' indicates the non-existent timezone name 'n/a'
Warning: Your system is mis-configured: '/etc/localtime' is not a symlink
Warning: It is strongly recommended to set envionment variable TZ to 'America/
Chicago' (or equivalent)

#number of genes in known annotations
print(length(known_annotations))
[1] 130
#number of genes in known annotations with imputed expression
print(sum(known_annotations %in% ctwas_gene_res$genename))
[1] 57
#significance threshold for TWAS
print(sig_thresh)
[1] 4.559
#number of ctwas genes
length(ctwas_genes)
[1] 5
#number of TWAS genes
length(twas_genes)
[1] 79
#show novel genes (ctwas genes with not in TWAS genes)
ctwas_gene_res[ctwas_gene_res$genename %in% novel_genes,report_cols]
[1] genename region_tag susie_pip mu2 PVE z num_eqtl
<0 rows> (or 0-length row.names)
#sensitivity / recall
print(sensitivity)
ctwas TWAS
0.01538 0.04615
#specificity
print(specificity)
ctwas TWAS
0.9997 0.9925
#precision / PPV
print(precision)
ctwas TWAS
0.40000 0.07595

#number of genes in known annotations (with imputed expression)
print(length(known_annotations))
[1] 57
#number of bystander genes (with imputed expression)
print(length(unrelated_genes))
[1] 588
#subset results to genes in known annotations or bystanders
ctwas_gene_res_subset <- ctwas_gene_res[ctwas_gene_res$genename %in% c(known_annotations, unrelated_genes),]
#assign ctwas and TWAS genes
ctwas_genes <- ctwas_gene_res_subset$genename[ctwas_gene_res_subset$susie_pip>0.8]
twas_genes <- ctwas_gene_res_subset$genename[abs(ctwas_gene_res_subset$z)>sig_thresh]
#significance threshold for TWAS
print(sig_thresh)
[1] 4.559
#number of ctwas genes (in known annotations or bystanders)
length(ctwas_genes)
[1] 2
#number of TWAS genes (in known annotations or bystanders)
length(twas_genes)
[1] 18
#sensitivity / recall
sensitivity
ctwas TWAS
0.03509 0.10526
#specificity / (1 - False Positive Rate)
specificity
ctwas TWAS
1.0000 0.9796
#precision / PPV / (1 - False Discovery Rate)
precision
ctwas TWAS
1.0000 0.3333


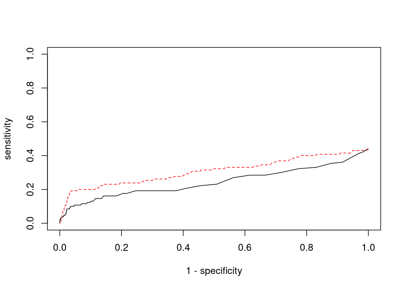
pip_range <- (0:1000)/1000
sensitivity <- rep(NA, length(pip_range))
specificity <- rep(NA, length(pip_range))
for (index in 1:length(pip_range)){
pip <- pip_range[index]
ctwas_genes <- ctwas_gene_res_subset$genename[ctwas_gene_res_subset$susie_pip>=pip]
sensitivity[index] <- sum(ctwas_genes %in% known_annotations)/length(known_annotations)
specificity[index] <- sum(!(unrelated_genes %in% ctwas_genes))/length(unrelated_genes)
}
plot(1-specificity, sensitivity, type="l", xlim=c(0,1), ylim=c(0,1), main="", xlab="1 - Specificity", ylab="Sensitivity")
title(expression("ROC Curve for cTWAS (black) and TWAS (" * phantom("red") * ")"))
title(expression(phantom("ROC Curve for cTWAS (black) and TWAS (") * "red" * phantom(")")), col.main="red")
sig_thresh_range <- seq(from=0, to=max(abs(ctwas_gene_res_subset$z)), length.out=length(pip_range))
for (index in 1:length(sig_thresh_range)){
sig_thresh_plot <- sig_thresh_range[index]
twas_genes <- ctwas_gene_res_subset$genename[abs(ctwas_gene_res_subset$z)>=sig_thresh_plot]
sensitivity[index] <- sum(twas_genes %in% known_annotations)/length(known_annotations)
specificity[index] <- sum(!(unrelated_genes %in% twas_genes))/length(unrelated_genes)
}
lines(1-specificity, sensitivity, xlim=c(0,1), ylim=c(0,1), col="red", lty=1)
abline(a=0,b=1,lty=3)
#add previously computed points from the analysis
ctwas_genes <- ctwas_gene_res_subset$genename[ctwas_gene_res_subset$susie_pip>0.8]
twas_genes <- ctwas_gene_res_subset$genename[abs(ctwas_gene_res_subset$z)>sig_thresh]
points(1-specificity_plot["ctwas"], sensitivity_plot["ctwas"], pch=21, bg="black")
points(1-specificity_plot["TWAS"], sensitivity_plot["TWAS"], pch=21, bg="red")

#table of outcomes for silver standard genes
-sort(-table(silver_standard_case))
silver_standard_case
Not Imputed Insignificant z-score Nearby SNP(s)
73 51 4
Detected (PIP > 0.8)
2
#show inconclusive genes
silver_standard_case[silver_standard_case=="Inconclusive"]
named character(0)

sessionInfo()
R version 3.6.1 (2019-07-05)
Platform: x86_64-pc-linux-gnu (64-bit)
Running under: Scientific Linux 7.4 (Nitrogen)
Matrix products: default
BLAS/LAPACK: /software/openblas-0.2.19-el7-x86_64/lib/libopenblas_haswellp-r0.2.19.so
locale:
[1] LC_CTYPE=en_US.UTF-8 LC_NUMERIC=C
[3] LC_TIME=en_US.UTF-8 LC_COLLATE=en_US.UTF-8
[5] LC_MONETARY=en_US.UTF-8 LC_MESSAGES=en_US.UTF-8
[7] LC_PAPER=en_US.UTF-8 LC_NAME=C
[9] LC_ADDRESS=C LC_TELEPHONE=C
[11] LC_MEASUREMENT=en_US.UTF-8 LC_IDENTIFICATION=C
attached base packages:
[1] parallel stats4 stats graphics grDevices utils datasets
[8] methods base
other attached packages:
[1] GenomicRanges_1.36.1 GenomeInfoDb_1.20.0 IRanges_2.18.1
[4] S4Vectors_0.22.1 BiocGenerics_0.30.0 biomaRt_2.40.1
[7] readxl_1.3.1 forcats_0.5.1 stringr_1.4.0
[10] dplyr_1.0.7 purrr_0.3.4 readr_2.1.1
[13] tidyr_1.1.4 tidyverse_1.3.1 tibble_3.1.6
[16] WebGestaltR_0.4.4 disgenet2r_0.99.2 enrichR_3.0
[19] cowplot_1.0.0 ggplot2_3.3.5 workflowr_1.7.0
loaded via a namespace (and not attached):
[1] ggbeeswarm_0.6.0 colorspace_2.0-2 rjson_0.2.20
[4] ellipsis_0.3.2 rprojroot_2.0.2 XVector_0.24.0
[7] fs_1.5.2 rstudioapi_0.13 farver_2.1.0
[10] ggrepel_0.9.1 bit64_4.0.5 AnnotationDbi_1.46.0
[13] fansi_1.0.2 lubridate_1.8.0 xml2_1.3.3
[16] codetools_0.2-16 doParallel_1.0.17 cachem_1.0.6
[19] knitr_1.36 jsonlite_1.7.2 apcluster_1.4.8
[22] Cairo_1.5-12.2 broom_0.7.10 dbplyr_2.1.1
[25] compiler_3.6.1 httr_1.4.2 backports_1.4.1
[28] assertthat_0.2.1 Matrix_1.2-18 fastmap_1.1.0
[31] cli_3.1.0 later_0.8.0 prettyunits_1.1.1
[34] htmltools_0.5.2 tools_3.6.1 igraph_1.2.10
[37] GenomeInfoDbData_1.2.1 gtable_0.3.0 glue_1.6.2
[40] reshape2_1.4.4 doRNG_1.8.2 Rcpp_1.0.8
[43] Biobase_2.44.0 cellranger_1.1.0 jquerylib_0.1.4
[46] vctrs_0.3.8 svglite_1.2.2 iterators_1.0.14
[49] xfun_0.29 ps_1.6.0 rvest_1.0.2
[52] lifecycle_1.0.1 rngtools_1.5.2 XML_3.99-0.3
[55] zlibbioc_1.30.0 getPass_0.2-2 scales_1.1.1
[58] vroom_1.5.7 hms_1.1.1 promises_1.0.1
[61] yaml_2.2.1 curl_4.3.2 memoise_2.0.1
[64] ggrastr_1.0.1 gdtools_0.1.9 stringi_1.7.6
[67] RSQLite_2.2.8 highr_0.9 foreach_1.5.2
[70] rlang_1.0.1 pkgconfig_2.0.3 bitops_1.0-7
[73] evaluate_0.14 lattice_0.20-38 labeling_0.4.2
[76] bit_4.0.4 processx_3.5.2 tidyselect_1.1.1
[79] plyr_1.8.6 magrittr_2.0.2 R6_2.5.1
[82] generics_0.1.1 DBI_1.1.2 pillar_1.6.4
[85] haven_2.4.3 whisker_0.3-2 withr_2.4.3
[88] RCurl_1.98-1.5 modelr_0.1.8 crayon_1.5.0
[91] utf8_1.2.2 tzdb_0.2.0 rmarkdown_2.11
[94] progress_1.2.2 grid_3.6.1 data.table_1.14.2
[97] blob_1.2.2 callr_3.7.0 git2r_0.26.1
[100] reprex_2.0.1 digest_0.6.29 httpuv_1.5.1
[103] munsell_0.5.0 beeswarm_0.2.3 vipor_0.4.5