Last updated: 2022-04-19

Checks: 5 2

Knit directory: cTWAS_analysis/

This reproducible R Markdown analysis was created with workflowr (version 1.7.0). The Checks tab describes the reproducibility checks that were applied when the results were created. The Past versions tab lists the development history.


The R Markdown file has unstaged changes. To know which version of the R Markdown file created these results, you’ll want to first commit it to the Git repo. If you’re still working on the analysis, you can ignore this warning. When you’re finished, you can run wflow_publish to commit the R Markdown file and build the HTML.

Great job! The global environment was empty. Objects defined in the global environment can affect the analysis in your R Markdown file in unknown ways. For reproduciblity it’s best to always run the code in an empty environment.

The command set.seed(20211220) was run prior to running the code in the R Markdown file. Setting a seed ensures that any results that rely on randomness, e.g. subsampling or permutations, are reproducible.

Great job! Recording the operating system, R version, and package versions is critical for reproducibility.

Nice! There were no cached chunks for this analysis, so you can be confident that you successfully produced the results during this run.

Using absolute paths to the files within your workflowr project makes it difficult for you and others to run your code on a different machine. Change the absolute path(s) below to the suggested relative path(s) to make your code more reproducible.

absolute relative
/project2/xinhe/shengqian/cTWAS/cTWAS_analysis/data/ data
/project2/xinhe/shengqian/cTWAS/cTWAS_analysis/code/ctwas_config.R code/ctwas_config.R

Great! You are using Git for version control. Tracking code development and connecting the code version to the results is critical for reproducibility.

The results in this page were generated with repository version ba919ab. See the Past versions tab to see a history of the changes made to the R Markdown and HTML files.

Note that you need to be careful to ensure that all relevant files for the analysis have been committed to Git prior to generating the results (you can use wflow_publish or wflow_git_commit). workflowr only checks the R Markdown file, but you know if there are other scripts or data files that it depends on. Below is the status of the Git repository when the results were generated:


Ignored files:
    Ignored:    .ipynb_checkpoints/
    Ignored:    data/AF/

Untracked files:
    Untracked:  Rplot.png
    Untracked:  analysis/.ipynb_checkpoints/
    Untracked:  code/.ipynb_checkpoints/
    Untracked:  code/AF_out/
    Untracked:  code/Autism_out/
    Untracked:  code/BMI_S_out/
    Untracked:  code/BMI_out/
    Untracked:  code/Glucose_out/
    Untracked:  code/LDL_S_out/
    Untracked:  code/SCZ_2014_EUR_out/
    Untracked:  code/SCZ_2018_out/
    Untracked:  code/SCZ_2020_Single_out/
    Untracked:  code/SCZ_2020_out/
    Untracked:  code/SCZ_S_out/
    Untracked:  code/SCZ_out/
    Untracked:  code/T2D_out/
    Untracked:  code/ctwas_config.R
    Untracked:  code/mapping.R
    Untracked:  code/out/
    Untracked:  code/process_scz_2018_snps.R
    Untracked:  code/run_AF_analysis.sbatch
    Untracked:  code/run_AF_analysis.sh
    Untracked:  code/run_AF_ctwas_rss_LDR.R
    Untracked:  code/run_Autism_analysis.sbatch
    Untracked:  code/run_Autism_analysis.sh
    Untracked:  code/run_Autism_ctwas_rss_LDR.R
    Untracked:  code/run_BMI_analysis.sbatch
    Untracked:  code/run_BMI_analysis.sh
    Untracked:  code/run_BMI_analysis_S.sbatch
    Untracked:  code/run_BMI_analysis_S.sh
    Untracked:  code/run_BMI_ctwas_rss_LDR.R
    Untracked:  code/run_BMI_ctwas_rss_LDR_S.R
    Untracked:  code/run_Glucose_analysis.sbatch
    Untracked:  code/run_Glucose_analysis.sh
    Untracked:  code/run_Glucose_ctwas_rss_LDR.R
    Untracked:  code/run_LDL_analysis_S.sbatch
    Untracked:  code/run_LDL_analysis_S.sh
    Untracked:  code/run_LDL_ctwas_rss_LDR_S.R
    Untracked:  code/run_SCZ_2014_EUR_analysis.sbatch
    Untracked:  code/run_SCZ_2014_EUR_analysis.sh
    Untracked:  code/run_SCZ_2014_EUR_ctwas_rss_LDR.R
    Untracked:  code/run_SCZ_2018_analysis.sbatch
    Untracked:  code/run_SCZ_2018_analysis.sh
    Untracked:  code/run_SCZ_2018_ctwas_rss_LDR.R
    Untracked:  code/run_SCZ_2020_Single_analysis.sbatch
    Untracked:  code/run_SCZ_2020_Single_analysis.sh
    Untracked:  code/run_SCZ_2020_Single_ctwas_rss_LDR.R
    Untracked:  code/run_SCZ_2020_analysis.sbatch
    Untracked:  code/run_SCZ_2020_analysis.sh
    Untracked:  code/run_SCZ_2020_ctwas_rss_LDR.R
    Untracked:  code/run_SCZ_analysis.sbatch
    Untracked:  code/run_SCZ_analysis.sh
    Untracked:  code/run_SCZ_analysis_S.sbatch
    Untracked:  code/run_SCZ_analysis_S.sh
    Untracked:  code/run_SCZ_ctwas_rss_LDR.R
    Untracked:  code/run_SCZ_ctwas_rss_LDR_S.R
    Untracked:  code/run_T2D_analysis.sbatch
    Untracked:  code/run_T2D_analysis.sh
    Untracked:  code/run_T2D_ctwas_rss_LDR.R
    Untracked:  code/wflow_build.R
    Untracked:  code/wflow_build.sbatch
    Untracked:  data/.ipynb_checkpoints/
    Untracked:  data/BMI/
    Untracked:  data/GO_Terms/
    Untracked:  data/PGC3_SCZ_wave3_public.v2.tsv
    Untracked:  data/SCZ/
    Untracked:  data/SCZ_2014_EUR/
    Untracked:  data/SCZ_2018/
    Untracked:  data/SCZ_2020/
    Untracked:  data/SCZ_2020_Single/
    Untracked:  data/SCZ_S/
    Untracked:  data/Supplementary Table 15 - MAGMA.xlsx
    Untracked:  data/Supplementary Table 20 - Prioritised Genes.xlsx
    Untracked:  data/T2D/
    Untracked:  data/UKBB/
    Untracked:  data/UKBB_SNPs_Info.text
    Untracked:  data/gene_OMIM.txt
    Untracked:  data/gene_pip_0.8.txt
    Untracked:  data/mashr_Heart_Atrial_Appendage.db
    Untracked:  data/mashr_sqtl/
    Untracked:  data/scz_2018.RDS
    Untracked:  data/summary_known_genes_annotations.xlsx
    Untracked:  data/untitled.txt
    Untracked:  top_genes_32.txt
    Untracked:  top_genes_37.txt
    Untracked:  top_genes_43.txt
    Untracked:  top_genes_81.txt

Unstaged changes:
    Modified:   analysis/SCZ_2018_Brain_Amygdala.Rmd
    Modified:   analysis/SCZ_2018_Brain_Anterior_cingulate_cortex_BA24.Rmd
    Modified:   analysis/SCZ_2018_Brain_Caudate_basal_ganglia.Rmd
    Modified:   analysis/SCZ_2018_Brain_Cerebellar_Hemisphere.Rmd
    Modified:   analysis/SCZ_2018_Brain_Cerebellum.Rmd
    Modified:   analysis/SCZ_2018_Brain_Cortex.Rmd
    Modified:   analysis/SCZ_2018_Brain_Frontal_Cortex_BA9.Rmd
    Modified:   analysis/SCZ_2018_Brain_Hippocampus.Rmd
    Modified:   analysis/SCZ_2018_Brain_Hypothalamus.Rmd
    Modified:   analysis/SCZ_2018_Brain_Nucleus_accumbens_basal_ganglia.Rmd
    Modified:   analysis/SCZ_2018_Brain_Putamen_basal_ganglia.Rmd
    Modified:   analysis/SCZ_2018_Brain_Spinal_cord_cervical_c-1.Rmd
    Modified:   analysis/SCZ_2018_Brain_Substantia_nigra.Rmd
    Modified:   analysis/SCZ_Annotation_Analysis.Rmd

Note that any generated files, e.g. HTML, png, CSS, etc., are not included in this status report because it is ok for generated content to have uncommitted changes.


These are the previous versions of the repository in which changes were made to the R Markdown (analysis/SCZ_2018_Brain_Cerebellum.Rmd) and HTML (docs/SCZ_2018_Brain_Cerebellum.html) files. If you’ve configured a remote Git repository (see ?wflow_git_remote), click on the hyperlinks in the table below to view the files as they were in that past version.

File Version Author Date Message
Rmd 9ddc9c4 sq-96 2022-04-18 update
Rmd f6e7062 sq-96 2022-04-17 update
html f6e7062 sq-96 2022-04-17 update

Weight QC

#number of imputed weights
nrow(qclist_all)
[1] 10083
#number of imputed weights by chromosome
table(qclist_all$chr)

  1   2   3   4   5   6   7   8   9  10  11  12  13  14  15  16  17  18  19  20 
983 727 594 372 493 544 499 367 399 397 614 571 207 339 339 436 631 157 814 300 
 21  22 
 29 271 
#number of imputed weights without missing variants
sum(qclist_all$nmiss==0)
[1] 6721
#proportion of imputed weights without missing variants
mean(qclist_all$nmiss==0)
[1] 0.6666

Check convergence of parameters

#estimated group prior
estimated_group_prior <- group_prior_rec[,ncol(group_prior_rec)]
names(estimated_group_prior) <- c("gene", "snp")
estimated_group_prior["snp"] <- estimated_group_prior["snp"]*thin #adjust parameter to account for thin argument
print(estimated_group_prior)
    gene      snp 
0.013760 0.000302 
#estimated group prior variance
estimated_group_prior_var <- group_prior_var_rec[,ncol(group_prior_var_rec)]
names(estimated_group_prior_var) <- c("gene", "snp")
print(estimated_group_prior_var)
 gene   snp 
11.45 10.62 
#report sample size
print(sample_size)
[1] 105318
#report group size
group_size <- c(nrow(ctwas_gene_res), n_snps)
print(group_size)
[1]   10083 6309950
#estimated group PVE
estimated_group_pve <- estimated_group_prior_var*estimated_group_prior*group_size/sample_size #check PVE calculation
names(estimated_group_pve) <- c("gene", "snp")
print(estimated_group_pve)
   gene     snp 
0.01509 0.19220 
#compare sum(PIP*mu2/sample_size) with above PVE calculation
c(sum(ctwas_gene_res$PVE),sum(ctwas_snp_res$PVE))
[1] 0.06286 1.04766

Genes with highest PIPs

           genename region_tag susie_pip   mu2       PVE      z num_eqtl
11129        ZNF823      19_10    0.9867 37.18 0.0003483  6.219        2
10100        NPIPA1      16_15    0.9650 24.46 0.0002242  4.689        1
4195          FEZF1       7_74    0.9554 24.24 0.0002199 -4.812        1
12285    AC012074.2       2_15    0.9508 22.31 0.0002014  4.655        1
5873         GALNT2      1_117    0.9489 24.74 0.0002229  4.938        2
1753           PTK6      20_37    0.9122 23.13 0.0002003 -4.486        2
9127        MAP3K11      11_36    0.9062 31.57 0.0002716 -5.401        1
6968           LRP8       1_33    0.9003 26.80 0.0002291  5.050        2
3758           SSPN      12_18    0.8977 23.03 0.0001963  4.516        1
13670 RP11-408A13.3       9_13    0.8920 23.14 0.0001960  4.410        2
5753          SYTL1       1_19    0.8404 21.55 0.0001720  4.216        2
3127          SF3B1      2_117    0.8322 48.68 0.0003847  7.265        1
5541          FANCI      15_41    0.7944 24.01 0.0001811 -4.481        1
7188      TNFRSF13C      22_17    0.7931 40.96 0.0003084 -4.889        2
3233        LAMTOR2       1_76    0.7578 22.82 0.0001642 -4.307        1
6962          TIMP4        3_9    0.7246 21.49 0.0001478  4.200        2
11503         DISP3        1_9    0.6991 21.88 0.0001452  3.703        1
11381     LINC00222       6_73    0.6951 21.47 0.0001417 -4.403        1
412          CTNNA1       5_82    0.6828 26.22 0.0001700  5.512        1
2706          TRPV4      12_66    0.6703 20.76 0.0001321  3.346        1

Genes with largest effect sizes

         genename region_tag susie_pip    mu2       PVE       z num_eqtl
12543         C4A       6_26 3.821e-07 200.22 7.264e-10  11.326        1
11441        RNF5       6_26 4.651e-08 160.52 7.088e-11   9.714        1
9739     HLA-DQB1       6_26 1.544e-07 149.23 2.188e-10   4.624        1
12183     CYP21A2       6_26 3.772e-12 137.34 4.919e-15  -8.406        2
11924         C4B       6_26 5.686e-11 130.56 7.048e-14  -9.001        1
11439      NOTCH4       6_26 2.414e-08 125.97 2.887e-11   7.767        2
11440        AGER       6_26 1.519e-08 121.48 1.753e-11  -9.071        1
12452       EGFL8       6_26 4.893e-06 110.84 5.150e-09   5.281        1
11449      SKIV2L       6_26 2.022e-09 110.05 2.113e-12   7.169        1
11442      AGPAT1       6_26 1.567e-06 106.76 1.588e-09  -5.190        1
2890       PRSS16       6_21 5.415e-02 106.12 5.456e-05 -11.598        2
10811    HLA-DRB1       6_26 2.172e-10 103.22 2.129e-13   4.363        2
13535 RP1-86C11.7       6_21 2.020e-01 102.16 1.959e-04  10.889        1
10943     ZSCAN16       6_22 1.704e-02  98.62 1.595e-05 -10.284        1
12064       HCG11       6_20 2.560e-02  96.69 2.350e-05  11.015        1
13097  CTA-14H9.5       6_20 2.560e-02  96.69 2.350e-05  11.015        1
11458     C6orf48       6_26 1.887e-11  96.32 1.726e-14   8.171        2
10933    HLA-DQA1       6_26 2.579e-11  95.10 2.329e-14   2.937        1
11437       BTNL2       6_26 8.903e-13  89.85 7.595e-16   4.857        1
5147        FLOT1       6_24 2.356e-01  85.79 1.920e-04 -11.181        1

Genes with highest PVE

           genename region_tag susie_pip    mu2       PVE       z num_eqtl
3127          SF3B1      2_117    0.8322  48.68 0.0003847   7.265        1
11129        ZNF823      19_10    0.9867  37.18 0.0003483   6.219        2
7188      TNFRSF13C      22_17    0.7931  40.96 0.0003084  -4.889        2
9127        MAP3K11      11_36    0.9062  31.57 0.0002716  -5.401        1
6968           LRP8       1_33    0.9003  26.80 0.0002291   5.050        2
10100        NPIPA1      16_15    0.9650  24.46 0.0002242   4.689        1
5873         GALNT2      1_117    0.9489  24.74 0.0002229   4.938        2
4195          FEZF1       7_74    0.9554  24.24 0.0002199  -4.812        1
13918     LINC02033       3_28    0.5712  38.68 0.0002098  -6.280        1
2655            MDK      11_28    0.4340  49.04 0.0002021  -7.159        1
12285    AC012074.2       2_15    0.9508  22.31 0.0002014   4.655        1
1753           PTK6      20_37    0.9122  23.13 0.0002003  -4.486        2
3758           SSPN      12_18    0.8977  23.03 0.0001963   4.516        1
13670 RP11-408A13.3       9_13    0.8920  23.14 0.0001960   4.410        2
13535   RP1-86C11.7       6_21    0.2020 102.16 0.0001959  10.889        1
5147          FLOT1       6_24    0.2356  85.79 0.0001920 -11.181        1
11781         AS3MT      10_66    0.4650  43.09 0.0001903   8.051        1
5541          FANCI      15_41    0.7944  24.01 0.0001811  -4.481        1
4178         RNF112      17_17    0.6515  29.13 0.0001802   5.126        2
5753          SYTL1       1_19    0.8404  21.55 0.0001720   4.216        2

Genes with largest z scores

         genename region_tag susie_pip    mu2       PVE       z num_eqtl
2890       PRSS16       6_21 5.415e-02 106.12 5.456e-05 -11.598        2
12543         C4A       6_26 3.821e-07 200.22 7.264e-10  11.326        1
5147        FLOT1       6_24 2.356e-01  85.79 1.920e-04 -11.181        1
12064       HCG11       6_20 2.560e-02  96.69 2.350e-05  11.015        1
13097  CTA-14H9.5       6_20 2.560e-02  96.69 2.350e-05  11.015        1
13535 RP1-86C11.7       6_21 2.020e-01 102.16 1.959e-04  10.889        1
10943     ZSCAN16       6_22 1.704e-02  98.62 1.595e-05 -10.284        1
9834    HIST1H2BC       6_20 3.402e-02  79.02 2.553e-05  -9.909        1
11441        RNF5       6_26 4.651e-08 160.52 7.088e-11   9.714        1
11484      CCHCR1       6_25 1.704e-02  71.45 1.156e-05  -9.521        5
10608    HIST1H1C       6_20 2.236e-02  67.08 1.424e-05  -9.193        2
10473      BTN3A2       6_20 2.312e-02  68.18 1.497e-05   9.184        2
11430     HLA-DMA       6_27 1.201e-01  75.68 8.630e-05  -9.139        2
11440        AGER       6_26 1.519e-08 121.48 1.753e-11  -9.071        1
11924         C4B       6_26 5.686e-11 130.56 7.048e-14  -9.001        1
5150        PGBD1       6_22 1.700e-02  65.77 1.062e-05  -8.437        3
12183     CYP21A2       6_26 3.772e-12 137.34 4.919e-15  -8.406        2
11479        MICB       6_25 8.254e-03  56.75 4.448e-06  -8.172        3
11458     C6orf48       6_26 1.887e-11  96.32 1.726e-14   8.171        2
11724       DDAH2       6_26 3.617e-11  72.62 2.494e-14   8.149        1

Comparing z scores and PIPs

[1] 0.01507

Gene with high z-score but low PIP, assign to SNP or to gene?

high_z_genes_region <- unique(head(ctwas_gene_res[order(-abs(ctwas_gene_res$z)),report_cols],40)$region_tag)
sum <- 0
for(i in high_z_genes_region){
  locus <- ctwas_res[ctwas_res$region_tag==i,]
  locus <- head(locus[order(-locus$susie_pip),],20)
  snp_pip <- sum(locus[locus$type == 'SNP','susie_pip'])
  gene_pip <- sum(locus[locus$type == 'gene','susie_pip'])
  print(snp_pip/(snp_pip+gene_pip))
}
[1] 0.7954
[1] 0.945
[1] 0.8661
[1] 0.7644
[1] 0.9396
[1] 0.8748
[1] 0.818
[1] 0.8457
[1] 0.1471
[1] 0.3721
[1] 0.8354

GO enrichment analysis for genes with PIP>0.5

#number of genes for gene set enrichment
length(genes)
[1] 36
Uploading data to Enrichr... Done.
  Querying GO_Biological_Process_2021... Done.
  Querying GO_Cellular_Component_2021... Done.
  Querying GO_Molecular_Function_2021... Done.
Parsing results... Done.
[1] "GO_Biological_Process_2021"

                                                         Term Overlap
1 regulation of protein tyrosine kinase activity (GO:0061097)    3/39
  Adjusted.P.value          Genes
1          0.01484 DLG4;PTK6;LRP8
[1] "GO_Cellular_Component_2021"

                                              Term Overlap Adjusted.P.value
1 protein phosphatase type 2A complex (GO:0000159)    2/17           0.0358
         Genes
1 PTPA;PPP2R5B
[1] "GO_Molecular_Function_2021"

                                                 Term Overlap Adjusted.P.value
1 protein phosphatase activator activity (GO:0072542)    2/13          0.01626
         Genes
1 PTPA;PPP2R5B

DisGeNET enrichment analysis for genes with PIP>0.5

                                                    Description      FDR Ratio
11                                                    Confusion 0.009834  1/16
60                                            Speech impairment 0.009834  1/16
61                                                Derealization 0.009834  1/16
67                Spondylometaphyseal dysplasia, Kozlowski type 0.009834  1/16
68                                          Metatropic dwarfism 0.009834  1/16
86                                           Brachyolmia Type 3 0.009834  1/16
91                               Sexually disinhibited behavior 0.009834  1/16
98                                       Hypersomnia, Recurrent 0.009834  1/16
117 Immunodeficiency due to Defect in MAPBP-Interacting Protein 0.009834  1/16
118                     FANCONI ANEMIA, COMPLEMENTATION GROUP I 0.009834  1/16
    BgRatio
11   1/9703
60   1/9703
61   1/9703
67   1/9703
68   1/9703
86   1/9703
91   1/9703
98   1/9703
117  1/9703
118  1/9703

WebGestalt enrichment analysis for genes with PIP>0.5

Loading the functional categories...
Loading the ID list...
Loading the reference list...
Performing the enrichment analysis...
Warning in oraEnrichment(interestGeneList, referenceGeneList, geneSet, minNum =
minNum, : No significant gene set is identified based on FDR 0.05!
NULL

PIP Manhattan Plot

Sensitivity, specificity and precision for silver standard genes

#number of genes in known annotations
print(length(known_annotations))
[1] 130
#number of genes in known annotations with imputed expression
print(sum(known_annotations %in% ctwas_gene_res$genename))
[1] 63
#significance threshold for TWAS
print(sig_thresh)
[1] 4.567
#number of ctwas genes
length(ctwas_genes)
[1] 12
#number of TWAS genes
length(twas_genes)
[1] 152
#show novel genes (ctwas genes with not in TWAS genes)
ctwas_gene_res[ctwas_gene_res$genename %in% novel_genes,report_cols]
           genename region_tag susie_pip   mu2       PVE      z num_eqtl
5753          SYTL1       1_19    0.8404 21.55 0.0001720  4.216        2
13670 RP11-408A13.3       9_13    0.8920 23.14 0.0001960  4.410        2
3758           SSPN      12_18    0.8977 23.03 0.0001963  4.516        1
1753           PTK6      20_37    0.9122 23.13 0.0002003 -4.486        2
#sensitivity / recall
print(sensitivity)
  ctwas    TWAS 
0.01538 0.09231 
#specificity
print(specificity)
ctwas  TWAS 
0.999 0.986 
#precision / PPV
print(precision)
  ctwas    TWAS 
0.16667 0.07895 

cTWAS is more precise than TWAS in distinguishing silver standard and bystander genes

#number of genes in known annotations (with imputed expression)
print(length(known_annotations))
[1] 63
#number of bystander genes (with imputed expression)
print(length(unrelated_genes))
[1] 659
#subset results to genes in known annotations or bystanders
ctwas_gene_res_subset <- ctwas_gene_res[ctwas_gene_res$genename %in% c(known_annotations, unrelated_genes),]

#assign ctwas and TWAS genes
ctwas_genes <- ctwas_gene_res_subset$genename[ctwas_gene_res_subset$susie_pip>0.8]
twas_genes <- ctwas_gene_res_subset$genename[abs(ctwas_gene_res_subset$z)>sig_thresh]

#significance threshold for TWAS
print(sig_thresh)
[1] 4.567
#number of ctwas genes (in known annotations or bystanders)
length(ctwas_genes)
[1] 3
#number of TWAS genes (in known annotations or bystanders)
length(twas_genes)
[1] 48
#sensitivity / recall
sensitivity
  ctwas    TWAS 
0.03175 0.19048 
#specificity / (1 - False Positive Rate)
specificity
 ctwas   TWAS 
0.9985 0.9454 
#precision / PPV / (1 - False Discovery Rate)
precision
 ctwas   TWAS 
0.6667 0.2500 

pip_range <- (0:1000)/1000
sensitivity <- rep(NA, length(pip_range))
specificity <- rep(NA, length(pip_range))

for (index in 1:length(pip_range)){
  pip <- pip_range[index]
  ctwas_genes <- ctwas_gene_res_subset$genename[ctwas_gene_res_subset$susie_pip>=pip]
  sensitivity[index] <- sum(ctwas_genes %in% known_annotations)/length(known_annotations)
  specificity[index] <- sum(!(unrelated_genes %in% ctwas_genes))/length(unrelated_genes)
}

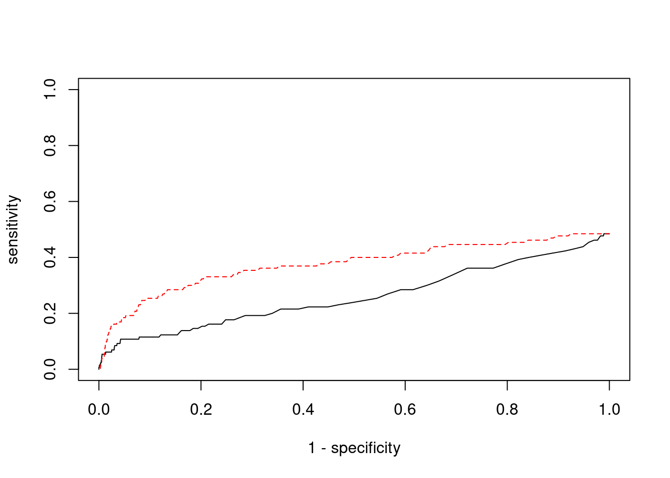
plot(1-specificity, sensitivity, type="l", xlim=c(0,1), ylim=c(0,1), main="", xlab="1 - Specificity", ylab="Sensitivity")
title(expression("ROC Curve for cTWAS (black) and TWAS (" * phantom("red") * ")"))
title(expression(phantom("ROC Curve for cTWAS (black) and TWAS (") * "red" * phantom(")")), col.main="red")

sig_thresh_range <- seq(from=0, to=max(abs(ctwas_gene_res_subset$z)), length.out=length(pip_range))

for (index in 1:length(sig_thresh_range)){
  sig_thresh_plot <- sig_thresh_range[index]
  twas_genes <- ctwas_gene_res_subset$genename[abs(ctwas_gene_res_subset$z)>=sig_thresh_plot]
  sensitivity[index] <- sum(twas_genes %in% known_annotations)/length(known_annotations)
  specificity[index] <- sum(!(unrelated_genes %in% twas_genes))/length(unrelated_genes)
}

lines(1-specificity, sensitivity, xlim=c(0,1), ylim=c(0,1), col="red", lty=1)

abline(a=0,b=1,lty=3)

#add previously computed points from the analysis
ctwas_genes <- ctwas_gene_res_subset$genename[ctwas_gene_res_subset$susie_pip>0.8]
twas_genes <- ctwas_gene_res_subset$genename[abs(ctwas_gene_res_subset$z)>sig_thresh]

points(1-specificity_plot["ctwas"], sensitivity_plot["ctwas"], pch=21, bg="black")
points(1-specificity_plot["TWAS"], sensitivity_plot["TWAS"], pch=21, bg="red")

Undetected silver standard genes have low TWAS z-scores or stronger signal from nearby variants

#table of outcomes for silver standard genes
-sort(-table(silver_standard_case))
silver_standard_case
          Not Imputed Insignificant z-score         Nearby SNP(s) 
                   67                    51                    10 
 Detected (PIP > 0.8) 
                    2 
#show inconclusive genes
silver_standard_case[silver_standard_case=="Inconclusive"]
named character(0)


sessionInfo()
R version 3.6.1 (2019-07-05)
Platform: x86_64-pc-linux-gnu (64-bit)
Running under: Scientific Linux 7.4 (Nitrogen)

Matrix products: default
BLAS/LAPACK: /software/openblas-0.2.19-el7-x86_64/lib/libopenblas_haswellp-r0.2.19.so

locale:
 [1] LC_CTYPE=en_US.UTF-8       LC_NUMERIC=C              
 [3] LC_TIME=en_US.UTF-8        LC_COLLATE=en_US.UTF-8    
 [5] LC_MONETARY=en_US.UTF-8    LC_MESSAGES=en_US.UTF-8   
 [7] LC_PAPER=en_US.UTF-8       LC_NAME=C                 
 [9] LC_ADDRESS=C               LC_TELEPHONE=C            
[11] LC_MEASUREMENT=en_US.UTF-8 LC_IDENTIFICATION=C       

attached base packages:
[1] parallel  stats4    stats     graphics  grDevices utils     datasets 
[8] methods   base     

other attached packages:
 [1] GenomicRanges_1.36.1 GenomeInfoDb_1.20.0  IRanges_2.18.1      
 [4] S4Vectors_0.22.1     BiocGenerics_0.30.0  biomaRt_2.40.1      
 [7] readxl_1.3.1         forcats_0.5.1        stringr_1.4.0       
[10] dplyr_1.0.7          purrr_0.3.4          readr_2.1.1         
[13] tidyr_1.1.4          tidyverse_1.3.1      tibble_3.1.6        
[16] WebGestaltR_0.4.4    disgenet2r_0.99.2    enrichR_3.0         
[19] cowplot_1.1.1        ggplot2_3.3.5        workflowr_1.7.0     

loaded via a namespace (and not attached):
  [1] ggbeeswarm_0.6.0       colorspace_2.0-2       rjson_0.2.20          
  [4] ellipsis_0.3.2         rprojroot_2.0.2        XVector_0.24.0        
  [7] fs_1.5.2               rstudioapi_0.13        farver_2.1.0          
 [10] ggrepel_0.9.1          bit64_4.0.5            AnnotationDbi_1.46.0  
 [13] fansi_1.0.2            lubridate_1.8.0        xml2_1.3.3            
 [16] codetools_0.2-16       doParallel_1.0.17      cachem_1.0.6          
 [19] knitr_1.36             jsonlite_1.7.2         apcluster_1.4.8       
 [22] Cairo_1.5-12.2         broom_0.7.10           dbplyr_2.1.1          
 [25] compiler_3.6.1         httr_1.4.2             backports_1.4.1       
 [28] assertthat_0.2.1       Matrix_1.2-18          fastmap_1.1.0         
 [31] cli_3.1.0              later_0.8.0            prettyunits_1.1.1     
 [34] htmltools_0.5.2        tools_3.6.1            igraph_1.2.10         
 [37] GenomeInfoDbData_1.2.1 gtable_0.3.0           glue_1.6.2            
 [40] reshape2_1.4.4         doRNG_1.8.2            Rcpp_1.0.8            
 [43] Biobase_2.44.0         cellranger_1.1.0       jquerylib_0.1.4       
 [46] vctrs_0.3.8            svglite_1.2.2          iterators_1.0.14      
 [49] xfun_0.29              ps_1.6.0               rvest_1.0.2           
 [52] lifecycle_1.0.1        rngtools_1.5.2         XML_3.99-0.3          
 [55] zlibbioc_1.30.0        getPass_0.2-2          scales_1.1.1          
 [58] vroom_1.5.7            hms_1.1.1              promises_1.0.1        
 [61] yaml_2.2.1             curl_4.3.2             memoise_2.0.1         
 [64] ggrastr_1.0.1          gdtools_0.1.9          stringi_1.7.6         
 [67] RSQLite_2.2.8          highr_0.9              foreach_1.5.2         
 [70] rlang_1.0.1            pkgconfig_2.0.3        bitops_1.0-7          
 [73] evaluate_0.14          lattice_0.20-38        labeling_0.4.2        
 [76] bit_4.0.4              processx_3.5.2         tidyselect_1.1.1      
 [79] plyr_1.8.6             magrittr_2.0.2         R6_2.5.1              
 [82] generics_0.1.1         DBI_1.1.2              pillar_1.6.4          
 [85] haven_2.4.3            whisker_0.3-2          withr_2.4.3           
 [88] RCurl_1.98-1.5         modelr_0.1.8           crayon_1.5.0          
 [91] utf8_1.2.2             tzdb_0.2.0             rmarkdown_2.11        
 [94] progress_1.2.2         grid_3.6.1             data.table_1.14.2     
 [97] blob_1.2.2             callr_3.7.0            git2r_0.26.1          
[100] reprex_2.0.1           digest_0.6.29          httpuv_1.5.1          
[103] munsell_0.5.0          beeswarm_0.2.3         vipor_0.4.5