Last updated: 2022-04-19
Checks: 5 2
Knit directory: cTWAS_analysis/
This reproducible R Markdown analysis was created with workflowr (version 1.7.0). The Checks tab describes the reproducibility checks that were applied when the results were created. The Past versions tab lists the development history.
The R Markdown file has unstaged changes. To know which version of the R Markdown file created these results, you’ll want to first commit it to the Git repo. If you’re still working on the analysis, you can ignore this warning. When you’re finished, you can run wflow_publish to commit the R Markdown file and build the HTML.
Great job! The global environment was empty. Objects defined in the global environment can affect the analysis in your R Markdown file in unknown ways. For reproduciblity it’s best to always run the code in an empty environment.
The command set.seed(20211220) was run prior to running the code in the R Markdown file. Setting a seed ensures that any results that rely on randomness, e.g. subsampling or permutations, are reproducible.
Great job! Recording the operating system, R version, and package versions is critical for reproducibility.
Nice! There were no cached chunks for this analysis, so you can be confident that you successfully produced the results during this run.
Using absolute paths to the files within your workflowr project makes it difficult for you and others to run your code on a different machine. Change the absolute path(s) below to the suggested relative path(s) to make your code more reproducible.
| absolute | relative |
|---|---|
| /project2/xinhe/shengqian/cTWAS/cTWAS_analysis/data/ | data |
| /project2/xinhe/shengqian/cTWAS/cTWAS_analysis/code/ctwas_config.R | code/ctwas_config.R |
Great! You are using Git for version control. Tracking code development and connecting the code version to the results is critical for reproducibility.
The results in this page were generated with repository version ba919ab. See the Past versions tab to see a history of the changes made to the R Markdown and HTML files.
Note that you need to be careful to ensure that all relevant files for the analysis have been committed to Git prior to generating the results (you can use wflow_publish or wflow_git_commit). workflowr only checks the R Markdown file, but you know if there are other scripts or data files that it depends on. Below is the status of the Git repository when the results were generated:
Ignored files:
Ignored: .ipynb_checkpoints/
Ignored: data/AF/
Untracked files:
Untracked: Rplot.png
Untracked: analysis/.ipynb_checkpoints/
Untracked: code/.ipynb_checkpoints/
Untracked: code/AF_out/
Untracked: code/Autism_out/
Untracked: code/BMI_S_out/
Untracked: code/BMI_out/
Untracked: code/Glucose_out/
Untracked: code/LDL_S_out/
Untracked: code/SCZ_2014_EUR_out/
Untracked: code/SCZ_2018_out/
Untracked: code/SCZ_2020_Single_out/
Untracked: code/SCZ_2020_out/
Untracked: code/SCZ_S_out/
Untracked: code/SCZ_out/
Untracked: code/T2D_out/
Untracked: code/ctwas_config.R
Untracked: code/mapping.R
Untracked: code/out/
Untracked: code/process_scz_2018_snps.R
Untracked: code/run_AF_analysis.sbatch
Untracked: code/run_AF_analysis.sh
Untracked: code/run_AF_ctwas_rss_LDR.R
Untracked: code/run_Autism_analysis.sbatch
Untracked: code/run_Autism_analysis.sh
Untracked: code/run_Autism_ctwas_rss_LDR.R
Untracked: code/run_BMI_analysis.sbatch
Untracked: code/run_BMI_analysis.sh
Untracked: code/run_BMI_analysis_S.sbatch
Untracked: code/run_BMI_analysis_S.sh
Untracked: code/run_BMI_ctwas_rss_LDR.R
Untracked: code/run_BMI_ctwas_rss_LDR_S.R
Untracked: code/run_Glucose_analysis.sbatch
Untracked: code/run_Glucose_analysis.sh
Untracked: code/run_Glucose_ctwas_rss_LDR.R
Untracked: code/run_LDL_analysis_S.sbatch
Untracked: code/run_LDL_analysis_S.sh
Untracked: code/run_LDL_ctwas_rss_LDR_S.R
Untracked: code/run_SCZ_2014_EUR_analysis.sbatch
Untracked: code/run_SCZ_2014_EUR_analysis.sh
Untracked: code/run_SCZ_2014_EUR_ctwas_rss_LDR.R
Untracked: code/run_SCZ_2018_analysis.sbatch
Untracked: code/run_SCZ_2018_analysis.sh
Untracked: code/run_SCZ_2018_ctwas_rss_LDR.R
Untracked: code/run_SCZ_2020_Single_analysis.sbatch
Untracked: code/run_SCZ_2020_Single_analysis.sh
Untracked: code/run_SCZ_2020_Single_ctwas_rss_LDR.R
Untracked: code/run_SCZ_2020_analysis.sbatch
Untracked: code/run_SCZ_2020_analysis.sh
Untracked: code/run_SCZ_2020_ctwas_rss_LDR.R
Untracked: code/run_SCZ_analysis.sbatch
Untracked: code/run_SCZ_analysis.sh
Untracked: code/run_SCZ_analysis_S.sbatch
Untracked: code/run_SCZ_analysis_S.sh
Untracked: code/run_SCZ_ctwas_rss_LDR.R
Untracked: code/run_SCZ_ctwas_rss_LDR_S.R
Untracked: code/run_T2D_analysis.sbatch
Untracked: code/run_T2D_analysis.sh
Untracked: code/run_T2D_ctwas_rss_LDR.R
Untracked: code/wflow_build.R
Untracked: code/wflow_build.sbatch
Untracked: data/.ipynb_checkpoints/
Untracked: data/BMI/
Untracked: data/GO_Terms/
Untracked: data/PGC3_SCZ_wave3_public.v2.tsv
Untracked: data/SCZ/
Untracked: data/SCZ_2014_EUR/
Untracked: data/SCZ_2018/
Untracked: data/SCZ_2020/
Untracked: data/SCZ_2020_Single/
Untracked: data/SCZ_S/
Untracked: data/Supplementary Table 15 - MAGMA.xlsx
Untracked: data/Supplementary Table 20 - Prioritised Genes.xlsx
Untracked: data/T2D/
Untracked: data/UKBB/
Untracked: data/UKBB_SNPs_Info.text
Untracked: data/gene_OMIM.txt
Untracked: data/gene_pip_0.8.txt
Untracked: data/mashr_Heart_Atrial_Appendage.db
Untracked: data/mashr_sqtl/
Untracked: data/scz_2018.RDS
Untracked: data/summary_known_genes_annotations.xlsx
Untracked: data/untitled.txt
Untracked: top_genes_32.txt
Untracked: top_genes_37.txt
Untracked: top_genes_43.txt
Untracked: top_genes_81.txt
Unstaged changes:
Modified: analysis/SCZ_2018_Brain_Amygdala.Rmd
Modified: analysis/SCZ_2018_Brain_Anterior_cingulate_cortex_BA24.Rmd
Modified: analysis/SCZ_2018_Brain_Caudate_basal_ganglia.Rmd
Modified: analysis/SCZ_2018_Brain_Cerebellar_Hemisphere.Rmd
Modified: analysis/SCZ_2018_Brain_Cerebellum.Rmd
Modified: analysis/SCZ_2018_Brain_Cortex.Rmd
Modified: analysis/SCZ_2018_Brain_Frontal_Cortex_BA9.Rmd
Modified: analysis/SCZ_2018_Brain_Hippocampus.Rmd
Modified: analysis/SCZ_2018_Brain_Hypothalamus.Rmd
Modified: analysis/SCZ_2018_Brain_Nucleus_accumbens_basal_ganglia.Rmd
Modified: analysis/SCZ_2018_Brain_Putamen_basal_ganglia.Rmd
Modified: analysis/SCZ_2018_Brain_Spinal_cord_cervical_c-1.Rmd
Modified: analysis/SCZ_2018_Brain_Substantia_nigra.Rmd
Modified: analysis/SCZ_Annotation_Analysis.Rmd
Note that any generated files, e.g. HTML, png, CSS, etc., are not included in this status report because it is ok for generated content to have uncommitted changes.
These are the previous versions of the repository in which changes were made to the R Markdown (analysis/SCZ_2018_Brain_Cortex.Rmd) and HTML (docs/SCZ_2018_Brain_Cortex.html) files. If you’ve configured a remote Git repository (see ?wflow_git_remote), click on the hyperlinks in the table below to view the files as they were in that past version.
| File | Version | Author | Date | Message |
|---|---|---|---|---|
| Rmd | 9ddc9c4 | sq-96 | 2022-04-18 | update |
| Rmd | f6e7062 | sq-96 | 2022-04-17 | update |
| html | f6e7062 | sq-96 | 2022-04-17 | update |
#number of imputed weights
nrow(qclist_all)
[1] 10248
#number of imputed weights by chromosome
table(qclist_all$chr)
1 2 3 4 5 6 7 8 9 10 11 12 13 14 15 16
1041 726 590 400 470 587 492 367 394 426 617 601 210 343 347 435
17 18 19 20 21 22
630 168 787 331 25 261
#number of imputed weights without missing variants
sum(qclist_all$nmiss==0)
[1] 7027
#proportion of imputed weights without missing variants
mean(qclist_all$nmiss==0)
[1] 0.6857

#estimated group prior
estimated_group_prior <- group_prior_rec[,ncol(group_prior_rec)]
names(estimated_group_prior) <- c("gene", "snp")
estimated_group_prior["snp"] <- estimated_group_prior["snp"]*thin #adjust parameter to account for thin argument
print(estimated_group_prior)
gene snp
0.0131343 0.0003062
#estimated group prior variance
estimated_group_prior_var <- group_prior_var_rec[,ncol(group_prior_var_rec)]
names(estimated_group_prior_var) <- c("gene", "snp")
print(estimated_group_prior_var)
gene snp
11.53 10.50
#report sample size
print(sample_size)
[1] 105318
#report group size
group_size <- c(nrow(ctwas_gene_res), n_snps)
print(group_size)
[1] 10248 6309950
#estimated group PVE
estimated_group_pve <- estimated_group_prior_var*estimated_group_prior*group_size/sample_size #check PVE calculation
names(estimated_group_pve) <- c("gene", "snp")
print(estimated_group_pve)
gene snp
0.01474 0.19261
#compare sum(PIP*mu2/sample_size) with above PVE calculation
c(sum(ctwas_gene_res$PVE),sum(ctwas_snp_res$PVE))
[1] 0.06135 1.05163

genename region_tag susie_pip mu2 PVE z num_eqtl
11314 ZNF823 19_10 0.9852 37.03 0.0003464 6.181 2
13679 RP11-230C9.4 6_102 0.9579 23.05 0.0002097 -4.712 2
4002 ARMC7 17_42 0.9041 22.49 0.0001931 4.486 2
421 TRIT1 1_25 0.8947 20.82 0.0001768 -4.162 3
3085 SPCS1 3_36 0.8837 37.45 0.0003142 -6.807 1
11176 PCBP2 12_33 0.8775 26.41 0.0002200 5.065 1
3165 SF3B1 2_117 0.8357 48.83 0.0003875 7.265 1
5055 RCBTB1 13_21 0.8072 21.32 0.0001634 -4.251 2
13938 RP11-408A13.3 9_13 0.8005 23.18 0.0001762 4.362 2
2741 VPS29 12_67 0.7991 40.26 0.0003055 -6.461 1
3258 EDEM3 1_92 0.7964 21.59 0.0001633 4.223 2
4239 SPECC1 17_16 0.7887 25.56 0.0001914 4.822 1
376 CUL3 2_132 0.7630 30.14 0.0002184 -5.730 1
6035 METTL21A 2_122 0.7628 21.45 0.0001554 -4.284 1
2796 NT5DC3 12_62 0.7438 22.58 0.0001594 -4.142 2
5968 ITPKB 1_116 0.7154 22.29 0.0001514 -4.033 2
2476 CCDC6 10_39 0.6983 21.24 0.0001408 -3.918 2
3022 PCCB 3_84 0.6976 41.45 0.0002746 -6.724 1
2380 TLE4 9_38 0.6885 21.15 0.0001382 4.279 1
11572 SOX18 20_38 0.6812 21.85 0.0001413 3.659 1

genename region_tag susie_pip mu2 PVE z num_eqtl
12783 C4A 6_26 5.201e-08 225.05 1.111e-10 11.515 3
11645 LY6G6C 6_26 5.684e-08 222.69 1.202e-10 11.531 1
11634 ZBTB12 6_26 3.825e-08 222.34 8.076e-11 11.521 1
12122 C4B 6_26 1.224e-08 214.67 2.496e-11 -11.326 1
11907 CLIC1 6_26 3.268e-07 211.75 6.571e-10 11.673 2
11649 GPANK1 6_26 3.425e-08 174.72 5.682e-11 10.267 1
11620 AGER 6_26 1.551e-07 148.77 2.191e-10 -9.715 2
11621 RNF5 6_26 7.341e-09 134.80 9.396e-12 9.377 1
11619 NOTCH4 6_26 2.287e-09 131.37 2.853e-12 7.827 3
11622 AGPAT1 6_26 1.380e-10 105.46 1.382e-13 -5.190 1
11908 DDAH2 6_26 1.301e-08 86.85 1.073e-11 8.149 1
11640 HSPA1L 6_26 2.529e-08 84.27 2.023e-11 -8.075 1
5217 FLOT1 6_24 5.756e-02 81.60 4.459e-05 -10.981 1
11657 NFKBIL1 6_26 9.624e-09 74.84 6.839e-12 -5.171 1
10662 BTN3A2 6_20 2.141e-02 68.91 1.401e-05 8.920 2
11611 HLA-DMA 6_27 4.338e-02 63.44 2.613e-05 -8.575 2
9902 HLA-DQB1 6_26 8.953e-10 58.64 4.985e-13 -1.990 1
12594 HLA-DQA2 6_26 2.070e-07 55.73 1.095e-10 -1.505 2
11618 BTNL2 6_26 5.964e-11 54.59 3.092e-14 4.920 2
13386 RP1-265C24.8 6_22 1.483e-02 53.16 7.487e-06 -7.445 1
genename region_tag susie_pip mu2 PVE z num_eqtl
3165 SF3B1 2_117 0.8357 48.83 0.0003875 7.265 1
11314 ZNF823 19_10 0.9852 37.03 0.0003464 6.181 2
3085 SPCS1 3_36 0.8837 37.45 0.0003142 -6.807 1
2741 VPS29 12_67 0.7991 40.26 0.0003055 -6.461 1
3022 PCCB 3_84 0.6976 41.45 0.0002746 -6.724 1
2682 MDK 11_29 0.5619 48.86 0.0002607 -7.159 1
11176 PCBP2 12_33 0.8775 26.41 0.0002200 5.065 1
376 CUL3 2_132 0.7630 30.14 0.0002184 -5.730 1
7729 THOC7 3_43 0.5398 40.99 0.0002101 -6.363 3
13679 RP11-230C9.4 6_102 0.9579 23.05 0.0002097 -4.712 2
4002 ARMC7 17_42 0.9041 22.49 0.0001931 4.486 2
4239 SPECC1 17_16 0.7887 25.56 0.0001914 4.822 1
421 TRIT1 1_25 0.8947 20.82 0.0001768 -4.162 3
13938 RP11-408A13.3 9_13 0.8005 23.18 0.0001762 4.362 2
4088 XRCC3 14_54 0.3806 48.01 0.0001735 7.263 1
5055 RCBTB1 13_21 0.8072 21.32 0.0001634 -4.251 2
3258 EDEM3 1_92 0.7964 21.59 0.0001633 4.223 2
2796 NT5DC3 12_62 0.7438 22.58 0.0001594 -4.142 2
6035 METTL21A 2_122 0.7628 21.45 0.0001554 -4.284 1
5617 FURIN 15_42 0.4686 34.60 0.0001540 -5.772 1
genename region_tag susie_pip mu2 PVE z num_eqtl
11907 CLIC1 6_26 3.268e-07 211.75 6.571e-10 11.673 2
11645 LY6G6C 6_26 5.684e-08 222.69 1.202e-10 11.531 1
11634 ZBTB12 6_26 3.825e-08 222.34 8.076e-11 11.521 1
12783 C4A 6_26 5.201e-08 225.05 1.111e-10 11.515 3
12122 C4B 6_26 1.224e-08 214.67 2.496e-11 -11.326 1
5217 FLOT1 6_24 5.756e-02 81.60 4.459e-05 -10.981 1
11649 GPANK1 6_26 3.425e-08 174.72 5.682e-11 10.267 1
11620 AGER 6_26 1.551e-07 148.77 2.191e-10 -9.715 2
11621 RNF5 6_26 7.341e-09 134.80 9.396e-12 9.377 1
10662 BTN3A2 6_20 2.141e-02 68.91 1.401e-05 8.920 2
11611 HLA-DMA 6_27 4.338e-02 63.44 2.613e-05 -8.575 2
6413 CNNM2 10_66 8.495e-02 46.45 3.747e-05 -8.161 1
11908 DDAH2 6_26 1.301e-08 86.85 1.073e-11 8.149 1
11640 HSPA1L 6_26 2.529e-08 84.27 2.023e-11 -8.075 1
10809 ZSCAN23 6_22 6.241e-02 47.43 2.811e-05 -7.829 1
11619 NOTCH4 6_26 2.287e-09 131.37 2.853e-12 7.827 3
6404 INA 10_66 6.172e-02 50.51 2.960e-05 -7.763 1
11171 ZSCAN26 6_22 1.494e-02 45.44 6.444e-06 7.504 3
13386 RP1-265C24.8 6_22 1.483e-02 53.16 7.487e-06 -7.445 1
11129 ZSCAN16 6_22 1.561e-02 49.13 7.281e-06 7.365 2


[1] 0.01239
#number of genes for gene set enrichment
length(genes)
[1] 36
Uploading data to Enrichr... Done.
Querying GO_Biological_Process_2021... Done.
Querying GO_Cellular_Component_2021... Done.
Querying GO_Molecular_Function_2021... Done.
Parsing results... Done.
[1] "GO_Biological_Process_2021"

[1] Term Overlap Adjusted.P.value Genes
<0 rows> (or 0-length row.names)
[1] "GO_Cellular_Component_2021"

[1] Term Overlap Adjusted.P.value Genes
<0 rows> (or 0-length row.names)
[1] "GO_Molecular_Function_2021"

[1] Term Overlap Adjusted.P.value Genes
<0 rows> (or 0-length row.names)
Description
11 Confusion
54 Speech impairment
55 Derealization
60 Spondylometaphyseal dysplasia, Kozlowski type
61 Metatropic dwarfism
84 Brachyolmia Type 3
90 Sexually disinhibited behavior
96 Hypersomnia, Recurrent
118 SPINAL MUSCULAR ATROPHY, DISTAL, CONGENITAL NONPROGRESSIVE (disorder)
120 HYPOTRICHOSIS-LYMPHEDEMA-TELANGIECTASIA SYNDROME
FDR Ratio BgRatio
11 0.008838 1/14 1/9703
54 0.008838 1/14 1/9703
55 0.008838 1/14 1/9703
60 0.008838 1/14 1/9703
61 0.008838 1/14 1/9703
84 0.008838 1/14 1/9703
90 0.008838 1/14 1/9703
96 0.008838 1/14 1/9703
118 0.008838 1/14 1/9703
120 0.008838 1/14 1/9703
Loading the functional categories...
Loading the ID list...
Loading the reference list...
Performing the enrichment analysis...
Warning in oraEnrichment(interestGeneList, referenceGeneList, geneSet, minNum =
minNum, : No significant gene set is identified based on FDR 0.05!
NULL

#number of genes in known annotations
print(length(known_annotations))
[1] 130
#number of genes in known annotations with imputed expression
print(sum(known_annotations %in% ctwas_gene_res$genename))
[1] 57
#significance threshold for TWAS
print(sig_thresh)
[1] 4.57
#number of ctwas genes
length(ctwas_genes)
[1] 9
#number of TWAS genes
length(twas_genes)
[1] 127
#show novel genes (ctwas genes with not in TWAS genes)
ctwas_gene_res[ctwas_gene_res$genename %in% novel_genes,report_cols]
genename region_tag susie_pip mu2 PVE z num_eqtl
421 TRIT1 1_25 0.8947 20.82 0.0001768 -4.162 3
13938 RP11-408A13.3 9_13 0.8005 23.18 0.0001762 4.362 2
5055 RCBTB1 13_21 0.8072 21.32 0.0001634 -4.251 2
4002 ARMC7 17_42 0.9041 22.49 0.0001931 4.486 2
#sensitivity / recall
print(sensitivity)
ctwas TWAS
0.01538 0.12308
#specificity
print(specificity)
ctwas TWAS
0.9993 0.9891
#precision / PPV
print(precision)
ctwas TWAS
0.2222 0.1260

#number of genes in known annotations (with imputed expression)
print(length(known_annotations))
[1] 57
#number of bystander genes (with imputed expression)
print(length(unrelated_genes))
[1] 583
#subset results to genes in known annotations or bystanders
ctwas_gene_res_subset <- ctwas_gene_res[ctwas_gene_res$genename %in% c(known_annotations, unrelated_genes),]
#assign ctwas and TWAS genes
ctwas_genes <- ctwas_gene_res_subset$genename[ctwas_gene_res_subset$susie_pip>0.8]
twas_genes <- ctwas_gene_res_subset$genename[abs(ctwas_gene_res_subset$z)>sig_thresh]
#significance threshold for TWAS
print(sig_thresh)
[1] 4.57
#number of ctwas genes (in known annotations or bystanders)
length(ctwas_genes)
[1] 2
#number of TWAS genes (in known annotations or bystanders)
length(twas_genes)
[1] 42
#sensitivity / recall
sensitivity
ctwas TWAS
0.03509 0.28070
#specificity / (1 - False Positive Rate)
specificity
ctwas TWAS
1.0000 0.9554
#precision / PPV / (1 - False Discovery Rate)
precision
ctwas TWAS
1.000 0.381


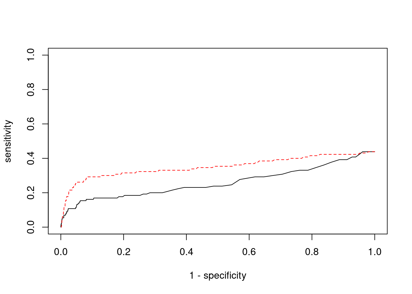
pip_range <- (0:1000)/1000
sensitivity <- rep(NA, length(pip_range))
specificity <- rep(NA, length(pip_range))
for (index in 1:length(pip_range)){
pip <- pip_range[index]
ctwas_genes <- ctwas_gene_res_subset$genename[ctwas_gene_res_subset$susie_pip>=pip]
sensitivity[index] <- sum(ctwas_genes %in% known_annotations)/length(known_annotations)
specificity[index] <- sum(!(unrelated_genes %in% ctwas_genes))/length(unrelated_genes)
}
plot(1-specificity, sensitivity, type="l", xlim=c(0,1), ylim=c(0,1), main="", xlab="1 - Specificity", ylab="Sensitivity")
title(expression("ROC Curve for cTWAS (black) and TWAS (" * phantom("red") * ")"))
title(expression(phantom("ROC Curve for cTWAS (black) and TWAS (") * "red" * phantom(")")), col.main="red")
sig_thresh_range <- seq(from=0, to=max(abs(ctwas_gene_res_subset$z)), length.out=length(pip_range))
for (index in 1:length(sig_thresh_range)){
sig_thresh_plot <- sig_thresh_range[index]
twas_genes <- ctwas_gene_res_subset$genename[abs(ctwas_gene_res_subset$z)>=sig_thresh_plot]
sensitivity[index] <- sum(twas_genes %in% known_annotations)/length(known_annotations)
specificity[index] <- sum(!(unrelated_genes %in% twas_genes))/length(unrelated_genes)
}
lines(1-specificity, sensitivity, xlim=c(0,1), ylim=c(0,1), col="red", lty=1)
abline(a=0,b=1,lty=3)
#add previously computed points from the analysis
ctwas_genes <- ctwas_gene_res_subset$genename[ctwas_gene_res_subset$susie_pip>0.8]
twas_genes <- ctwas_gene_res_subset$genename[abs(ctwas_gene_res_subset$z)>sig_thresh]
points(1-specificity_plot["ctwas"], sensitivity_plot["ctwas"], pch=21, bg="black")
points(1-specificity_plot["TWAS"], sensitivity_plot["TWAS"], pch=21, bg="red")

#table of outcomes for silver standard genes
-sort(-table(silver_standard_case))
silver_standard_case
Not Imputed Insignificant z-score Nearby SNP(s)
73 41 14
Detected (PIP > 0.8)
2
#show inconclusive genes
silver_standard_case[silver_standard_case=="Inconclusive"]
named character(0)

sessionInfo()
R version 3.6.1 (2019-07-05)
Platform: x86_64-pc-linux-gnu (64-bit)
Running under: Scientific Linux 7.4 (Nitrogen)
Matrix products: default
BLAS/LAPACK: /software/openblas-0.2.19-el7-x86_64/lib/libopenblas_haswellp-r0.2.19.so
locale:
[1] LC_CTYPE=en_US.UTF-8 LC_NUMERIC=C
[3] LC_TIME=en_US.UTF-8 LC_COLLATE=en_US.UTF-8
[5] LC_MONETARY=en_US.UTF-8 LC_MESSAGES=en_US.UTF-8
[7] LC_PAPER=en_US.UTF-8 LC_NAME=C
[9] LC_ADDRESS=C LC_TELEPHONE=C
[11] LC_MEASUREMENT=en_US.UTF-8 LC_IDENTIFICATION=C
attached base packages:
[1] parallel stats4 stats graphics grDevices utils datasets
[8] methods base
other attached packages:
[1] GenomicRanges_1.36.1 GenomeInfoDb_1.20.0 IRanges_2.18.1
[4] S4Vectors_0.22.1 BiocGenerics_0.30.0 biomaRt_2.40.1
[7] readxl_1.3.1 forcats_0.5.1 stringr_1.4.0
[10] dplyr_1.0.7 purrr_0.3.4 readr_2.1.1
[13] tidyr_1.1.4 tidyverse_1.3.1 tibble_3.1.6
[16] WebGestaltR_0.4.4 disgenet2r_0.99.2 enrichR_3.0
[19] cowplot_1.1.1 ggplot2_3.3.5 workflowr_1.7.0
loaded via a namespace (and not attached):
[1] ggbeeswarm_0.6.0 colorspace_2.0-2 rjson_0.2.20
[4] ellipsis_0.3.2 rprojroot_2.0.2 XVector_0.24.0
[7] fs_1.5.2 rstudioapi_0.13 farver_2.1.0
[10] ggrepel_0.9.1 bit64_4.0.5 AnnotationDbi_1.46.0
[13] fansi_1.0.2 lubridate_1.8.0 xml2_1.3.3
[16] codetools_0.2-16 doParallel_1.0.17 cachem_1.0.6
[19] knitr_1.36 jsonlite_1.7.2 apcluster_1.4.8
[22] Cairo_1.5-12.2 broom_0.7.10 dbplyr_2.1.1
[25] compiler_3.6.1 httr_1.4.2 backports_1.4.1
[28] assertthat_0.2.1 Matrix_1.2-18 fastmap_1.1.0
[31] cli_3.1.0 later_0.8.0 prettyunits_1.1.1
[34] htmltools_0.5.2 tools_3.6.1 igraph_1.2.10
[37] GenomeInfoDbData_1.2.1 gtable_0.3.0 glue_1.6.2
[40] reshape2_1.4.4 doRNG_1.8.2 Rcpp_1.0.8
[43] Biobase_2.44.0 cellranger_1.1.0 jquerylib_0.1.4
[46] vctrs_0.3.8 svglite_1.2.2 iterators_1.0.14
[49] xfun_0.29 ps_1.6.0 rvest_1.0.2
[52] lifecycle_1.0.1 rngtools_1.5.2 XML_3.99-0.3
[55] zlibbioc_1.30.0 getPass_0.2-2 scales_1.1.1
[58] vroom_1.5.7 hms_1.1.1 promises_1.0.1
[61] yaml_2.2.1 curl_4.3.2 memoise_2.0.1
[64] ggrastr_1.0.1 gdtools_0.1.9 stringi_1.7.6
[67] RSQLite_2.2.8 highr_0.9 foreach_1.5.2
[70] rlang_1.0.1 pkgconfig_2.0.3 bitops_1.0-7
[73] evaluate_0.14 lattice_0.20-38 labeling_0.4.2
[76] bit_4.0.4 processx_3.5.2 tidyselect_1.1.1
[79] plyr_1.8.6 magrittr_2.0.2 R6_2.5.1
[82] generics_0.1.1 DBI_1.1.2 pillar_1.6.4
[85] haven_2.4.3 whisker_0.3-2 withr_2.4.3
[88] RCurl_1.98-1.5 modelr_0.1.8 crayon_1.5.0
[91] utf8_1.2.2 tzdb_0.2.0 rmarkdown_2.11
[94] progress_1.2.2 grid_3.6.1 data.table_1.14.2
[97] blob_1.2.2 callr_3.7.0 git2r_0.26.1
[100] reprex_2.0.1 digest_0.6.29 httpuv_1.5.1
[103] munsell_0.5.0 beeswarm_0.2.3 vipor_0.4.5