Last updated: 2022-04-19

Checks: 5 2

Knit directory: cTWAS_analysis/

This reproducible R Markdown analysis was created with workflowr (version 1.7.0). The Checks tab describes the reproducibility checks that were applied when the results were created. The Past versions tab lists the development history.


The R Markdown file has unstaged changes. To know which version of the R Markdown file created these results, you’ll want to first commit it to the Git repo. If you’re still working on the analysis, you can ignore this warning. When you’re finished, you can run wflow_publish to commit the R Markdown file and build the HTML.

Great job! The global environment was empty. Objects defined in the global environment can affect the analysis in your R Markdown file in unknown ways. For reproduciblity it’s best to always run the code in an empty environment.

The command set.seed(20211220) was run prior to running the code in the R Markdown file. Setting a seed ensures that any results that rely on randomness, e.g. subsampling or permutations, are reproducible.

Great job! Recording the operating system, R version, and package versions is critical for reproducibility.

Nice! There were no cached chunks for this analysis, so you can be confident that you successfully produced the results during this run.

Using absolute paths to the files within your workflowr project makes it difficult for you and others to run your code on a different machine. Change the absolute path(s) below to the suggested relative path(s) to make your code more reproducible.

absolute relative
/project2/xinhe/shengqian/cTWAS/cTWAS_analysis/data/ data
/project2/xinhe/shengqian/cTWAS/cTWAS_analysis/code/ctwas_config.R code/ctwas_config.R

Great! You are using Git for version control. Tracking code development and connecting the code version to the results is critical for reproducibility.

The results in this page were generated with repository version ba919ab. See the Past versions tab to see a history of the changes made to the R Markdown and HTML files.

Note that you need to be careful to ensure that all relevant files for the analysis have been committed to Git prior to generating the results (you can use wflow_publish or wflow_git_commit). workflowr only checks the R Markdown file, but you know if there are other scripts or data files that it depends on. Below is the status of the Git repository when the results were generated:


Ignored files:
    Ignored:    .ipynb_checkpoints/
    Ignored:    data/AF/

Untracked files:
    Untracked:  Rplot.png
    Untracked:  analysis/.ipynb_checkpoints/
    Untracked:  code/.ipynb_checkpoints/
    Untracked:  code/AF_out/
    Untracked:  code/Autism_out/
    Untracked:  code/BMI_S_out/
    Untracked:  code/BMI_out/
    Untracked:  code/Glucose_out/
    Untracked:  code/LDL_S_out/
    Untracked:  code/SCZ_2014_EUR_out/
    Untracked:  code/SCZ_2018_out/
    Untracked:  code/SCZ_2020_Single_out/
    Untracked:  code/SCZ_2020_out/
    Untracked:  code/SCZ_S_out/
    Untracked:  code/SCZ_out/
    Untracked:  code/T2D_out/
    Untracked:  code/ctwas_config.R
    Untracked:  code/mapping.R
    Untracked:  code/out/
    Untracked:  code/process_scz_2018_snps.R
    Untracked:  code/run_AF_analysis.sbatch
    Untracked:  code/run_AF_analysis.sh
    Untracked:  code/run_AF_ctwas_rss_LDR.R
    Untracked:  code/run_Autism_analysis.sbatch
    Untracked:  code/run_Autism_analysis.sh
    Untracked:  code/run_Autism_ctwas_rss_LDR.R
    Untracked:  code/run_BMI_analysis.sbatch
    Untracked:  code/run_BMI_analysis.sh
    Untracked:  code/run_BMI_analysis_S.sbatch
    Untracked:  code/run_BMI_analysis_S.sh
    Untracked:  code/run_BMI_ctwas_rss_LDR.R
    Untracked:  code/run_BMI_ctwas_rss_LDR_S.R
    Untracked:  code/run_Glucose_analysis.sbatch
    Untracked:  code/run_Glucose_analysis.sh
    Untracked:  code/run_Glucose_ctwas_rss_LDR.R
    Untracked:  code/run_LDL_analysis_S.sbatch
    Untracked:  code/run_LDL_analysis_S.sh
    Untracked:  code/run_LDL_ctwas_rss_LDR_S.R
    Untracked:  code/run_SCZ_2014_EUR_analysis.sbatch
    Untracked:  code/run_SCZ_2014_EUR_analysis.sh
    Untracked:  code/run_SCZ_2014_EUR_ctwas_rss_LDR.R
    Untracked:  code/run_SCZ_2018_analysis.sbatch
    Untracked:  code/run_SCZ_2018_analysis.sh
    Untracked:  code/run_SCZ_2018_ctwas_rss_LDR.R
    Untracked:  code/run_SCZ_2020_Single_analysis.sbatch
    Untracked:  code/run_SCZ_2020_Single_analysis.sh
    Untracked:  code/run_SCZ_2020_Single_ctwas_rss_LDR.R
    Untracked:  code/run_SCZ_2020_analysis.sbatch
    Untracked:  code/run_SCZ_2020_analysis.sh
    Untracked:  code/run_SCZ_2020_ctwas_rss_LDR.R
    Untracked:  code/run_SCZ_analysis.sbatch
    Untracked:  code/run_SCZ_analysis.sh
    Untracked:  code/run_SCZ_analysis_S.sbatch
    Untracked:  code/run_SCZ_analysis_S.sh
    Untracked:  code/run_SCZ_ctwas_rss_LDR.R
    Untracked:  code/run_SCZ_ctwas_rss_LDR_S.R
    Untracked:  code/run_T2D_analysis.sbatch
    Untracked:  code/run_T2D_analysis.sh
    Untracked:  code/run_T2D_ctwas_rss_LDR.R
    Untracked:  code/wflow_build.R
    Untracked:  code/wflow_build.sbatch
    Untracked:  data/.ipynb_checkpoints/
    Untracked:  data/BMI/
    Untracked:  data/GO_Terms/
    Untracked:  data/PGC3_SCZ_wave3_public.v2.tsv
    Untracked:  data/SCZ/
    Untracked:  data/SCZ_2014_EUR/
    Untracked:  data/SCZ_2018/
    Untracked:  data/SCZ_2020/
    Untracked:  data/SCZ_2020_Single/
    Untracked:  data/SCZ_S/
    Untracked:  data/Supplementary Table 15 - MAGMA.xlsx
    Untracked:  data/Supplementary Table 20 - Prioritised Genes.xlsx
    Untracked:  data/T2D/
    Untracked:  data/UKBB/
    Untracked:  data/UKBB_SNPs_Info.text
    Untracked:  data/gene_OMIM.txt
    Untracked:  data/gene_pip_0.8.txt
    Untracked:  data/mashr_Heart_Atrial_Appendage.db
    Untracked:  data/mashr_sqtl/
    Untracked:  data/scz_2018.RDS
    Untracked:  data/summary_known_genes_annotations.xlsx
    Untracked:  data/untitled.txt
    Untracked:  top_genes_32.txt
    Untracked:  top_genes_37.txt
    Untracked:  top_genes_43.txt
    Untracked:  top_genes_81.txt

Unstaged changes:
    Modified:   analysis/SCZ_2018_Brain_Amygdala.Rmd
    Modified:   analysis/SCZ_2018_Brain_Anterior_cingulate_cortex_BA24.Rmd
    Modified:   analysis/SCZ_2018_Brain_Caudate_basal_ganglia.Rmd
    Modified:   analysis/SCZ_2018_Brain_Cerebellar_Hemisphere.Rmd
    Modified:   analysis/SCZ_2018_Brain_Cerebellum.Rmd
    Modified:   analysis/SCZ_2018_Brain_Cortex.Rmd
    Modified:   analysis/SCZ_2018_Brain_Frontal_Cortex_BA9.Rmd
    Modified:   analysis/SCZ_2018_Brain_Hippocampus.Rmd
    Modified:   analysis/SCZ_2018_Brain_Hypothalamus.Rmd
    Modified:   analysis/SCZ_2018_Brain_Nucleus_accumbens_basal_ganglia.Rmd
    Modified:   analysis/SCZ_2018_Brain_Putamen_basal_ganglia.Rmd
    Modified:   analysis/SCZ_2018_Brain_Spinal_cord_cervical_c-1.Rmd
    Modified:   analysis/SCZ_2018_Brain_Substantia_nigra.Rmd
    Modified:   analysis/SCZ_Annotation_Analysis.Rmd

Note that any generated files, e.g. HTML, png, CSS, etc., are not included in this status report because it is ok for generated content to have uncommitted changes.


These are the previous versions of the repository in which changes were made to the R Markdown (analysis/SCZ_2018_Brain_Frontal_Cortex_BA9.Rmd) and HTML (docs/SCZ_2018_Brain_Frontal_Cortex_BA9.html) files. If you’ve configured a remote Git repository (see ?wflow_git_remote), click on the hyperlinks in the table below to view the files as they were in that past version.

File Version Author Date Message
Rmd 9ddc9c4 sq-96 2022-04-18 update
Rmd f6e7062 sq-96 2022-04-17 update
html f6e7062 sq-96 2022-04-17 update

Weight QC

#number of imputed weights
nrow(qclist_all)
[1] 9968
#number of imputed weights by chromosome
table(qclist_all$chr)

  1   2   3   4   5   6   7   8   9  10  11  12  13  14  15  16  17  18  19  20 
988 727 567 399 488 584 459 370 362 400 616 581 206 335 326 411 640 164 776 295 
 21  22 
 26 248 
#number of imputed weights without missing variants
sum(qclist_all$nmiss==0)
[1] 6860
#proportion of imputed weights without missing variants
mean(qclist_all$nmiss==0)
[1] 0.6882

Check convergence of parameters

#estimated group prior
estimated_group_prior <- group_prior_rec[,ncol(group_prior_rec)]
names(estimated_group_prior) <- c("gene", "snp")
estimated_group_prior["snp"] <- estimated_group_prior["snp"]*thin #adjust parameter to account for thin argument
print(estimated_group_prior)
     gene       snp 
0.0104967 0.0003109 
#estimated group prior variance
estimated_group_prior_var <- group_prior_var_rec[,ncol(group_prior_var_rec)]
names(estimated_group_prior_var) <- c("gene", "snp")
print(estimated_group_prior_var)
  gene    snp 
 9.587 10.407 
#report sample size
print(sample_size)
[1] 105318
#report group size
group_size <- c(nrow(ctwas_gene_res), n_snps)
print(group_size)
[1]    9968 6309950
#estimated group PVE
estimated_group_pve <- estimated_group_prior_var*estimated_group_prior*group_size/sample_size #check PVE calculation
names(estimated_group_pve) <- c("gene", "snp")
print(estimated_group_pve)
    gene      snp 
0.009524 0.193868 
#compare sum(PIP*mu2/sample_size) with above PVE calculation
c(sum(ctwas_gene_res$PVE),sum(ctwas_snp_res$PVE))
[1] 0.05471 1.10715

Genes with highest PIPs

           genename region_tag susie_pip   mu2       PVE      z num_eqtl
11134        ZNF823      19_10    0.9705 35.92 0.0003310  6.156        2
13483  RP11-230C9.4      6_102    0.9654 22.67 0.0002078 -4.717        2
12304    AC012074.2       2_15    0.9319 22.04 0.0001950  4.655        1
7629          THOC7       3_43    0.9310 40.69 0.0003597 -6.638        2
11400         FOXO6       1_25    0.8661 25.49 0.0002097 -4.548        1
3758        BHLHE41      12_18    0.8579 22.87 0.0001863  4.516        1
9133        MAP3K11      11_36    0.8486 31.26 0.0002518 -5.401        1
2748         NT5DC3      12_62    0.8353 23.21 0.0001841 -4.585        2
4755           SOX5      12_17    0.7652 22.32 0.0001621  4.477        1
6859         VPS37A       8_18    0.7615 24.06 0.0001739 -4.738        1
9027           AFF1       4_59    0.7451 21.63 0.0001530 -4.096        1
3216        ARHGEF2       1_76    0.7071 22.39 0.0001503 -3.816        1
324            VRK2       2_38    0.6683 36.06 0.0002288  4.977        1
3443           PTPA       9_66    0.6571 22.84 0.0001425 -4.670        2
3036         LMAN2L       2_57    0.6373 25.18 0.0001524 -4.360        2
13738 RP11-408A13.3       9_12    0.6261 22.94 0.0001364  4.225        4
2339           TLE4       9_38    0.6207 21.02 0.0001239  4.279        1
2963           PCCB       3_84    0.6161 40.50 0.0002369 -6.724        1
4053          SCAF1      19_34    0.6148 37.64 0.0002197 -6.374        1
9166          NUDT4      12_55    0.5940 25.79 0.0001455  3.796        2

Genes with largest effect sizes

      genename region_tag susie_pip     mu2       PVE       z num_eqtl
10825 HLA-DRB1       6_26 0.000e+00 1178.11 0.000e+00  0.9851        2
11430  HLA-DOA       6_26 0.000e+00  740.27 0.000e+00  7.6357        1
10942 HLA-DQA1       6_26 0.000e+00  709.98 0.000e+00  2.8586        4
11458  C6orf48       6_26 1.387e-01  632.85 8.333e-04 11.5418        1
11728    CLIC1       6_26 8.801e-02  629.20 5.258e-04 11.5065        2
12571      C4A       6_26 2.033e-03  627.55 1.212e-05 11.1096        3
11472     APOM       6_26 1.873e-01  625.74 1.113e-03 11.5895        1
11464     MSH5       6_26 1.357e-08  545.14 7.024e-11 10.1409        2
11443     RNF5       6_26 4.240e-12  465.75 1.875e-14 10.0454        1
11444   AGPAT1       6_26 0.000e+00  389.99 0.000e+00 -5.1903        1
11440   NOTCH4       6_26 0.000e+00  309.20 0.000e+00  7.7180        2
11729    DDAH2       6_26 0.000e+00  251.21 0.000e+00  8.1494        1
12101   SAPCD1       6_26 0.000e+00  158.42 0.000e+00  7.1109        1
11723    ATF6B       6_26 0.000e+00  154.84 0.000e+00  3.7369        1
11446    FKBPL       6_26 0.000e+00  149.71 0.000e+00 -5.2136        1
11469   CSNK2B       6_26 0.000e+00  110.95 0.000e+00  0.9231        2
11452   SKIV2L       6_26 0.000e+00  108.69 0.000e+00  1.5067        3
5147     VARS2       6_25 2.886e-01  103.75 2.843e-04 11.4130        1
11474     BAG6       6_26 0.000e+00  101.40 0.000e+00  5.0995        2
11462     VWA7       6_26 0.000e+00   97.37 0.000e+00 -2.5080        2

Genes with highest PVE

          genename region_tag susie_pip    mu2       PVE      z num_eqtl
11472         APOM       6_26   0.18730 625.74 0.0011128 11.590        1
11458      C6orf48       6_26   0.13868 632.85 0.0008333 11.542        1
11728        CLIC1       6_26   0.08801 629.20 0.0005258 11.506        2
7629         THOC7       3_43   0.93101  40.69 0.0003597 -6.638        2
11134       ZNF823      19_10   0.97046  35.92 0.0003310  6.156        2
5147         VARS2       6_25   0.28864 103.75 0.0002843 11.413        1
9133       MAP3K11      11_36   0.84856  31.26 0.0002518 -5.401        1
2963          PCCB       3_84   0.61610  40.50 0.0002369 -6.724        1
324           VRK2       2_38   0.66830  36.06 0.0002288  4.977        1
4053         SCAF1      19_34   0.61481  37.64 0.0002197 -6.374        1
9343         ATG13      11_28   0.51818  43.39 0.0002135 -6.977        1
11400        FOXO6       1_25   0.86614  25.49 0.0002097 -4.548        1
13483 RP11-230C9.4      6_102   0.96536  22.67 0.0002078 -4.717        2
12304   AC012074.2       2_15   0.93187  22.04 0.0001950  4.655        1
3758       BHLHE41      12_18   0.85788  22.87 0.0001863  4.516        1
2748        NT5DC3      12_62   0.83533  23.21 0.0001841 -4.585        2
6407         TAOK2      16_24   0.41685  45.47 0.0001800  6.997        1
11089          NMB      15_39   0.52494  34.99 0.0001744  5.881        1
6859        VPS37A       8_18   0.76150  24.06 0.0001739 -4.738        1
733        PPP2R5B      11_36   0.56616  30.24 0.0001626 -5.093        1

Genes with largest z scores

      genename region_tag susie_pip    mu2       PVE       z num_eqtl
11472     APOM       6_26 1.873e-01 625.74 1.113e-03  11.590        1
11458  C6orf48       6_26 1.387e-01 632.85 8.333e-04  11.542        1
11728    CLIC1       6_26 8.801e-02 629.20 5.258e-04  11.506        2
5147     VARS2       6_25 2.886e-01 103.75 2.843e-04  11.413        1
12571      C4A       6_26 2.033e-03 627.55 1.212e-05  11.110        3
5138     FLOT1       6_24 3.665e-02  78.74 2.740e-05 -10.944        1
10493   BTN3A2       6_20 1.910e-02  88.94 1.613e-05  10.632        1
11464     MSH5       6_26 1.357e-08 545.14 7.024e-11  10.141        2
11443     RNF5       6_26 4.240e-12 465.75 1.875e-14  10.045        1
2871    PRSS16       6_21 8.024e-02  72.45 5.520e-05  -9.217        1
6317     CNNM2      10_66 1.841e-01  49.66 8.681e-05  -9.113        2
12511  HLA-DMB       6_27 5.549e-02  68.55 3.612e-05  -8.962        1
11432  HLA-DMA       6_27 4.432e-02  64.71 2.723e-05  -8.771        2
11729    DDAH2       6_26 0.000e+00 251.21 0.000e+00   8.149        1
11790    AS3MT      10_66 2.365e-01  43.64 9.800e-05   8.051        1
10634  ZSCAN23       6_22 5.722e-02  47.45 2.578e-05  -7.854        1
10802  ZKSCAN3       6_22 1.617e-02  37.25 5.719e-06   7.765        1
11440   NOTCH4       6_26 0.000e+00 309.20 0.000e+00   7.718        2
11430  HLA-DOA       6_26 0.000e+00 740.27 0.000e+00   7.636        1
939      NT5C2      10_66 2.016e-01  37.08 7.096e-05   7.614        1

Comparing z scores and PIPs

[1] 0.01234

GO enrichment analysis for genes with PIP>0.5

#number of genes for gene set enrichment
length(genes)
[1] 29
Uploading data to Enrichr... Done.
  Querying GO_Biological_Process_2021... Done.
  Querying GO_Cellular_Component_2021... Done.
  Querying GO_Molecular_Function_2021... Done.
Parsing results... Done.
[1] "GO_Biological_Process_2021"

[1] Term             Overlap          Adjusted.P.value Genes           
<0 rows> (or 0-length row.names)
[1] "GO_Cellular_Component_2021"

                                              Term Overlap Adjusted.P.value
1 protein phosphatase type 2A complex (GO:0000159)    2/17          0.01008
         Genes
1 PTPA;PPP2R5B
[1] "GO_Molecular_Function_2021"

                                                 Term Overlap Adjusted.P.value
1 protein phosphatase activator activity (GO:0072542)    2/13         0.009564
         Genes
1 PTPA;PPP2R5B

DisGeNET enrichment analysis for genes with PIP>0.5

                                                             Description
46                            SPASTIC PARAPLEGIA 53, AUTOSOMAL RECESSIVE
49                            MENTAL RETARDATION, AUTOSOMAL RECESSIVE 52
50                                                 LAMB-SHAFFER SYNDROME
51 NEURODEVELOPMENTAL DISORDER WITH MIDBRAIN AND HINDBRAIN MALFORMATIONS
52                 Developmental and speech delay due to SOX5 deficiency
53                                        12p12.1 microdeletion syndrome
44                                                     Propionicaciduria
25                                                    Propionic acidemia
28                                                 Long Sleeper Syndrome
29                                                Short Sleeper Syndrome
        FDR Ratio BgRatio
46 0.009105  1/10  1/9703
49 0.009105  1/10  1/9703
50 0.009105  1/10  1/9703
51 0.009105  1/10  1/9703
52 0.009105  1/10  1/9703
53 0.009105  1/10  1/9703
44 0.015601  1/10  2/9703
25 0.020466  1/10  3/9703
28 0.027238  1/10  7/9703
29 0.027238  1/10  7/9703

WebGestalt enrichment analysis for genes with PIP>0.5

Loading the functional categories...
Loading the ID list...
Loading the reference list...
Performing the enrichment analysis...
Warning in oraEnrichment(interestGeneList, referenceGeneList, geneSet, minNum =
minNum, : No significant gene set is identified based on FDR 0.05!
NULL

PIP Manhattan Plot

Warning: ggrepel: 2 unlabeled data points (too many overlaps). Consider
increasing max.overlaps

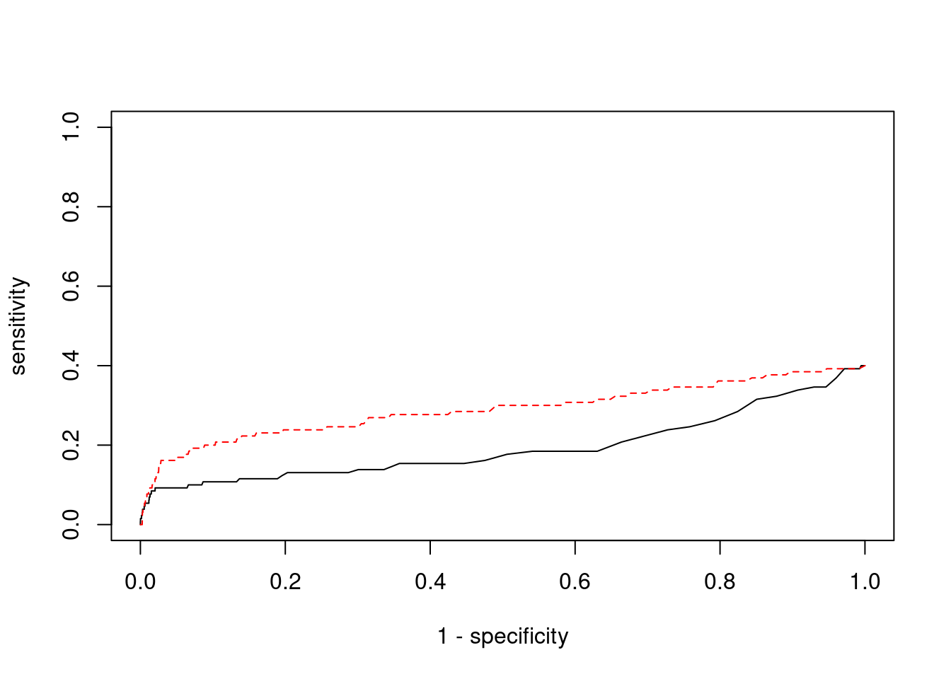
Sensitivity, specificity and precision for silver standard genes

#number of genes in known annotations
print(length(known_annotations))
[1] 130
#number of genes in known annotations with imputed expression
print(sum(known_annotations %in% ctwas_gene_res$genename))
[1] 52
#significance threshold for TWAS
print(sig_thresh)
[1] 4.564
#number of ctwas genes
length(ctwas_genes)
[1] 8
#number of TWAS genes
length(twas_genes)
[1] 123
#show novel genes (ctwas genes with not in TWAS genes)
ctwas_gene_res[ctwas_gene_res$genename %in% novel_genes,report_cols]
      genename region_tag susie_pip   mu2       PVE      z num_eqtl
11400    FOXO6       1_25    0.8661 25.49 0.0002097 -4.548        1
3758   BHLHE41      12_18    0.8579 22.87 0.0001863  4.516        1
#sensitivity / recall
print(sensitivity)
  ctwas    TWAS 
0.01538 0.08462 
#specificity
print(specificity)
 ctwas   TWAS 
0.9994 0.9887 
#precision / PPV
print(precision)
  ctwas    TWAS 
0.25000 0.08943 

cTWAS is more precise than TWAS in distinguishing silver standard and bystander genes

#number of genes in known annotations (with imputed expression)
print(length(known_annotations))
[1] 52
#number of bystander genes (with imputed expression)
print(length(unrelated_genes))
[1] 558
#subset results to genes in known annotations or bystanders
ctwas_gene_res_subset <- ctwas_gene_res[ctwas_gene_res$genename %in% c(known_annotations, unrelated_genes),]

#assign ctwas and TWAS genes
ctwas_genes <- ctwas_gene_res_subset$genename[ctwas_gene_res_subset$susie_pip>0.8]
twas_genes <- ctwas_gene_res_subset$genename[abs(ctwas_gene_res_subset$z)>sig_thresh]

#significance threshold for TWAS
print(sig_thresh)
[1] 4.564
#number of ctwas genes (in known annotations or bystanders)
length(ctwas_genes)
[1] 3
#number of TWAS genes (in known annotations or bystanders)
length(twas_genes)
[1] 36
#sensitivity / recall
sensitivity
  ctwas    TWAS 
0.03846 0.21154 
#specificity / (1 - False Positive Rate)
specificity
 ctwas   TWAS 
0.9982 0.9552 
#precision / PPV / (1 - False Discovery Rate)
precision
 ctwas   TWAS 
0.6667 0.3056 

pip_range <- (0:1000)/1000
sensitivity <- rep(NA, length(pip_range))
specificity <- rep(NA, length(pip_range))

for (index in 1:length(pip_range)){
  pip <- pip_range[index]
  ctwas_genes <- ctwas_gene_res_subset$genename[ctwas_gene_res_subset$susie_pip>=pip]
  sensitivity[index] <- sum(ctwas_genes %in% known_annotations)/length(known_annotations)
  specificity[index] <- sum(!(unrelated_genes %in% ctwas_genes))/length(unrelated_genes)
}

plot(1-specificity, sensitivity, type="l", xlim=c(0,1), ylim=c(0,1), main="", xlab="1 - Specificity", ylab="Sensitivity")
title(expression("ROC Curve for cTWAS (black) and TWAS (" * phantom("red") * ")"))
title(expression(phantom("ROC Curve for cTWAS (black) and TWAS (") * "red" * phantom(")")), col.main="red")

sig_thresh_range <- seq(from=0, to=max(abs(ctwas_gene_res_subset$z)), length.out=length(pip_range))

for (index in 1:length(sig_thresh_range)){
  sig_thresh_plot <- sig_thresh_range[index]
  twas_genes <- ctwas_gene_res_subset$genename[abs(ctwas_gene_res_subset$z)>=sig_thresh_plot]
  sensitivity[index] <- sum(twas_genes %in% known_annotations)/length(known_annotations)
  specificity[index] <- sum(!(unrelated_genes %in% twas_genes))/length(unrelated_genes)
}

lines(1-specificity, sensitivity, xlim=c(0,1), ylim=c(0,1), col="red", lty=1)

abline(a=0,b=1,lty=3)

#add previously computed points from the analysis
ctwas_genes <- ctwas_gene_res_subset$genename[ctwas_gene_res_subset$susie_pip>0.8]
twas_genes <- ctwas_gene_res_subset$genename[abs(ctwas_gene_res_subset$z)>sig_thresh]

points(1-specificity_plot["ctwas"], sensitivity_plot["ctwas"], pch=21, bg="black")
points(1-specificity_plot["TWAS"], sensitivity_plot["TWAS"], pch=21, bg="red")

Undetected silver standard genes have low TWAS z-scores or stronger signal from nearby variants

#table of outcomes for silver standard genes
-sort(-table(silver_standard_case))
silver_standard_case
          Not Imputed Insignificant z-score         Nearby SNP(s) 
                   78                    41                     9 
 Detected (PIP > 0.8) 
                    2 
#show inconclusive genes
silver_standard_case[silver_standard_case=="Inconclusive"]
named character(0)


sessionInfo()
R version 3.6.1 (2019-07-05)
Platform: x86_64-pc-linux-gnu (64-bit)
Running under: Scientific Linux 7.4 (Nitrogen)

Matrix products: default
BLAS/LAPACK: /software/openblas-0.2.19-el7-x86_64/lib/libopenblas_haswellp-r0.2.19.so

locale:
 [1] LC_CTYPE=en_US.UTF-8       LC_NUMERIC=C              
 [3] LC_TIME=en_US.UTF-8        LC_COLLATE=en_US.UTF-8    
 [5] LC_MONETARY=en_US.UTF-8    LC_MESSAGES=en_US.UTF-8   
 [7] LC_PAPER=en_US.UTF-8       LC_NAME=C                 
 [9] LC_ADDRESS=C               LC_TELEPHONE=C            
[11] LC_MEASUREMENT=en_US.UTF-8 LC_IDENTIFICATION=C       

attached base packages:
[1] parallel  stats4    stats     graphics  grDevices utils     datasets 
[8] methods   base     

other attached packages:
 [1] GenomicRanges_1.36.1 GenomeInfoDb_1.20.0  IRanges_2.18.1      
 [4] S4Vectors_0.22.1     BiocGenerics_0.30.0  biomaRt_2.40.1      
 [7] readxl_1.3.1         forcats_0.5.1        stringr_1.4.0       
[10] dplyr_1.0.7          purrr_0.3.4          readr_2.1.1         
[13] tidyr_1.1.4          tidyverse_1.3.1      tibble_3.1.6        
[16] WebGestaltR_0.4.4    disgenet2r_0.99.2    enrichR_3.0         
[19] cowplot_1.1.1        ggplot2_3.3.5        workflowr_1.7.0     

loaded via a namespace (and not attached):
  [1] ggbeeswarm_0.6.0       colorspace_2.0-2       rjson_0.2.20          
  [4] ellipsis_0.3.2         rprojroot_2.0.2        XVector_0.24.0        
  [7] fs_1.5.2               rstudioapi_0.13        farver_2.1.0          
 [10] ggrepel_0.9.1          bit64_4.0.5            AnnotationDbi_1.46.0  
 [13] fansi_1.0.2            lubridate_1.8.0        xml2_1.3.3            
 [16] codetools_0.2-16       doParallel_1.0.17      cachem_1.0.6          
 [19] knitr_1.36             jsonlite_1.7.2         apcluster_1.4.8       
 [22] Cairo_1.5-12.2         broom_0.7.10           dbplyr_2.1.1          
 [25] compiler_3.6.1         httr_1.4.2             backports_1.4.1       
 [28] assertthat_0.2.1       Matrix_1.2-18          fastmap_1.1.0         
 [31] cli_3.1.0              later_0.8.0            prettyunits_1.1.1     
 [34] htmltools_0.5.2        tools_3.6.1            igraph_1.2.10         
 [37] GenomeInfoDbData_1.2.1 gtable_0.3.0           glue_1.6.2            
 [40] reshape2_1.4.4         doRNG_1.8.2            Rcpp_1.0.8            
 [43] Biobase_2.44.0         cellranger_1.1.0       jquerylib_0.1.4       
 [46] vctrs_0.3.8            svglite_1.2.2          iterators_1.0.14      
 [49] xfun_0.29              ps_1.6.0               rvest_1.0.2           
 [52] lifecycle_1.0.1        rngtools_1.5.2         XML_3.99-0.3          
 [55] zlibbioc_1.30.0        getPass_0.2-2          scales_1.1.1          
 [58] vroom_1.5.7            hms_1.1.1              promises_1.0.1        
 [61] yaml_2.2.1             curl_4.3.2             memoise_2.0.1         
 [64] ggrastr_1.0.1          gdtools_0.1.9          stringi_1.7.6         
 [67] RSQLite_2.2.8          highr_0.9              foreach_1.5.2         
 [70] rlang_1.0.1            pkgconfig_2.0.3        bitops_1.0-7          
 [73] evaluate_0.14          lattice_0.20-38        labeling_0.4.2        
 [76] bit_4.0.4              processx_3.5.2         tidyselect_1.1.1      
 [79] plyr_1.8.6             magrittr_2.0.2         R6_2.5.1              
 [82] generics_0.1.1         DBI_1.1.2              pillar_1.6.4          
 [85] haven_2.4.3            whisker_0.3-2          withr_2.4.3           
 [88] RCurl_1.98-1.5         modelr_0.1.8           crayon_1.5.0          
 [91] utf8_1.2.2             tzdb_0.2.0             rmarkdown_2.11        
 [94] progress_1.2.2         grid_3.6.1             data.table_1.14.2     
 [97] blob_1.2.2             callr_3.7.0            git2r_0.26.1          
[100] reprex_2.0.1           digest_0.6.29          httpuv_1.5.1          
[103] munsell_0.5.0          beeswarm_0.2.3         vipor_0.4.5