Last updated: 2022-04-19
Checks: 5 2
Knit directory: cTWAS_analysis/
This reproducible R Markdown analysis was created with workflowr (version 1.7.0). The Checks tab describes the reproducibility checks that were applied when the results were created. The Past versions tab lists the development history.
The R Markdown file has unstaged changes. To know which version of the R Markdown file created these results, you’ll want to first commit it to the Git repo. If you’re still working on the analysis, you can ignore this warning. When you’re finished, you can run wflow_publish to commit the R Markdown file and build the HTML.
Great job! The global environment was empty. Objects defined in the global environment can affect the analysis in your R Markdown file in unknown ways. For reproduciblity it’s best to always run the code in an empty environment.
The command set.seed(20211220) was run prior to running the code in the R Markdown file. Setting a seed ensures that any results that rely on randomness, e.g. subsampling or permutations, are reproducible.
Great job! Recording the operating system, R version, and package versions is critical for reproducibility.
Nice! There were no cached chunks for this analysis, so you can be confident that you successfully produced the results during this run.
Using absolute paths to the files within your workflowr project makes it difficult for you and others to run your code on a different machine. Change the absolute path(s) below to the suggested relative path(s) to make your code more reproducible.
| absolute | relative |
|---|---|
| /project2/xinhe/shengqian/cTWAS/cTWAS_analysis/data/ | data |
| /project2/xinhe/shengqian/cTWAS/cTWAS_analysis/code/ctwas_config.R | code/ctwas_config.R |
Great! You are using Git for version control. Tracking code development and connecting the code version to the results is critical for reproducibility.
The results in this page were generated with repository version ba919ab. See the Past versions tab to see a history of the changes made to the R Markdown and HTML files.
Note that you need to be careful to ensure that all relevant files for the analysis have been committed to Git prior to generating the results (you can use wflow_publish or wflow_git_commit). workflowr only checks the R Markdown file, but you know if there are other scripts or data files that it depends on. Below is the status of the Git repository when the results were generated:
Ignored files:
Ignored: .ipynb_checkpoints/
Ignored: data/AF/
Untracked files:
Untracked: Rplot.png
Untracked: analysis/.ipynb_checkpoints/
Untracked: code/.ipynb_checkpoints/
Untracked: code/AF_out/
Untracked: code/Autism_out/
Untracked: code/BMI_S_out/
Untracked: code/BMI_out/
Untracked: code/Glucose_out/
Untracked: code/LDL_S_out/
Untracked: code/SCZ_2014_EUR_out/
Untracked: code/SCZ_2018_out/
Untracked: code/SCZ_2020_Single_out/
Untracked: code/SCZ_2020_out/
Untracked: code/SCZ_S_out/
Untracked: code/SCZ_out/
Untracked: code/T2D_out/
Untracked: code/ctwas_config.R
Untracked: code/mapping.R
Untracked: code/out/
Untracked: code/process_scz_2018_snps.R
Untracked: code/run_AF_analysis.sbatch
Untracked: code/run_AF_analysis.sh
Untracked: code/run_AF_ctwas_rss_LDR.R
Untracked: code/run_Autism_analysis.sbatch
Untracked: code/run_Autism_analysis.sh
Untracked: code/run_Autism_ctwas_rss_LDR.R
Untracked: code/run_BMI_analysis.sbatch
Untracked: code/run_BMI_analysis.sh
Untracked: code/run_BMI_analysis_S.sbatch
Untracked: code/run_BMI_analysis_S.sh
Untracked: code/run_BMI_ctwas_rss_LDR.R
Untracked: code/run_BMI_ctwas_rss_LDR_S.R
Untracked: code/run_Glucose_analysis.sbatch
Untracked: code/run_Glucose_analysis.sh
Untracked: code/run_Glucose_ctwas_rss_LDR.R
Untracked: code/run_LDL_analysis_S.sbatch
Untracked: code/run_LDL_analysis_S.sh
Untracked: code/run_LDL_ctwas_rss_LDR_S.R
Untracked: code/run_SCZ_2014_EUR_analysis.sbatch
Untracked: code/run_SCZ_2014_EUR_analysis.sh
Untracked: code/run_SCZ_2014_EUR_ctwas_rss_LDR.R
Untracked: code/run_SCZ_2018_analysis.sbatch
Untracked: code/run_SCZ_2018_analysis.sh
Untracked: code/run_SCZ_2018_ctwas_rss_LDR.R
Untracked: code/run_SCZ_2020_Single_analysis.sbatch
Untracked: code/run_SCZ_2020_Single_analysis.sh
Untracked: code/run_SCZ_2020_Single_ctwas_rss_LDR.R
Untracked: code/run_SCZ_2020_analysis.sbatch
Untracked: code/run_SCZ_2020_analysis.sh
Untracked: code/run_SCZ_2020_ctwas_rss_LDR.R
Untracked: code/run_SCZ_analysis.sbatch
Untracked: code/run_SCZ_analysis.sh
Untracked: code/run_SCZ_analysis_S.sbatch
Untracked: code/run_SCZ_analysis_S.sh
Untracked: code/run_SCZ_ctwas_rss_LDR.R
Untracked: code/run_SCZ_ctwas_rss_LDR_S.R
Untracked: code/run_T2D_analysis.sbatch
Untracked: code/run_T2D_analysis.sh
Untracked: code/run_T2D_ctwas_rss_LDR.R
Untracked: code/wflow_build.R
Untracked: code/wflow_build.sbatch
Untracked: data/.ipynb_checkpoints/
Untracked: data/BMI/
Untracked: data/GO_Terms/
Untracked: data/PGC3_SCZ_wave3_public.v2.tsv
Untracked: data/SCZ/
Untracked: data/SCZ_2014_EUR/
Untracked: data/SCZ_2018/
Untracked: data/SCZ_2020/
Untracked: data/SCZ_2020_Single/
Untracked: data/SCZ_S/
Untracked: data/Supplementary Table 15 - MAGMA.xlsx
Untracked: data/Supplementary Table 20 - Prioritised Genes.xlsx
Untracked: data/T2D/
Untracked: data/UKBB/
Untracked: data/UKBB_SNPs_Info.text
Untracked: data/gene_OMIM.txt
Untracked: data/gene_pip_0.8.txt
Untracked: data/mashr_Heart_Atrial_Appendage.db
Untracked: data/mashr_sqtl/
Untracked: data/scz_2018.RDS
Untracked: data/summary_known_genes_annotations.xlsx
Untracked: data/untitled.txt
Untracked: top_genes_32.txt
Untracked: top_genes_37.txt
Untracked: top_genes_43.txt
Untracked: top_genes_81.txt
Unstaged changes:
Modified: analysis/SCZ_2018_Brain_Amygdala.Rmd
Modified: analysis/SCZ_2018_Brain_Anterior_cingulate_cortex_BA24.Rmd
Modified: analysis/SCZ_2018_Brain_Caudate_basal_ganglia.Rmd
Modified: analysis/SCZ_2018_Brain_Cerebellar_Hemisphere.Rmd
Modified: analysis/SCZ_2018_Brain_Cerebellum.Rmd
Modified: analysis/SCZ_2018_Brain_Cortex.Rmd
Modified: analysis/SCZ_2018_Brain_Frontal_Cortex_BA9.Rmd
Modified: analysis/SCZ_2018_Brain_Hippocampus.Rmd
Modified: analysis/SCZ_2018_Brain_Hypothalamus.Rmd
Modified: analysis/SCZ_2018_Brain_Nucleus_accumbens_basal_ganglia.Rmd
Modified: analysis/SCZ_2018_Brain_Putamen_basal_ganglia.Rmd
Modified: analysis/SCZ_2018_Brain_Spinal_cord_cervical_c-1.Rmd
Modified: analysis/SCZ_2018_Brain_Substantia_nigra.Rmd
Modified: analysis/SCZ_Annotation_Analysis.Rmd
Note that any generated files, e.g. HTML, png, CSS, etc., are not included in this status report because it is ok for generated content to have uncommitted changes.
These are the previous versions of the repository in which changes were made to the R Markdown (analysis/SCZ_2018_Brain_Hippocampus.Rmd) and HTML (docs/SCZ_2018_Brain_Hippocampus.html) files. If you’ve configured a remote Git repository (see ?wflow_git_remote), click on the hyperlinks in the table below to view the files as they were in that past version.
| File | Version | Author | Date | Message |
|---|---|---|---|---|
| Rmd | 9ddc9c4 | sq-96 | 2022-04-18 | update |
| Rmd | f6e7062 | sq-96 | 2022-04-17 | update |
| html | f6e7062 | sq-96 | 2022-04-17 | update |
#number of imputed weights
nrow(qclist_all)
[1] 9529
#number of imputed weights by chromosome
table(qclist_all$chr)
1 2 3 4 5 6 7 8 9 10 11 12 13 14 15 16 17 18 19 20
933 692 571 374 467 524 440 350 368 387 579 538 199 328 331 401 589 153 755 277
21 22
25 248
#number of imputed weights without missing variants
sum(qclist_all$nmiss==0)
[1] 6774
#proportion of imputed weights without missing variants
mean(qclist_all$nmiss==0)
[1] 0.7109

#estimated group prior
estimated_group_prior <- group_prior_rec[,ncol(group_prior_rec)]
names(estimated_group_prior) <- c("gene", "snp")
estimated_group_prior["snp"] <- estimated_group_prior["snp"]*thin #adjust parameter to account for thin argument
print(estimated_group_prior)
gene snp
0.0127004 0.0003112
#estimated group prior variance
estimated_group_prior_var <- group_prior_var_rec[,ncol(group_prior_var_rec)]
names(estimated_group_prior_var) <- c("gene", "snp")
print(estimated_group_prior_var)
gene snp
15.52 10.20
#report sample size
print(sample_size)
[1] 105318
#report group size
group_size <- c(nrow(ctwas_gene_res), n_snps)
print(group_size)
[1] 9529 6309950
#estimated group PVE
estimated_group_pve <- estimated_group_prior_var*estimated_group_prior*group_size/sample_size #check PVE calculation
names(estimated_group_pve) <- c("gene", "snp")
print(estimated_group_pve)
gene snp
0.01783 0.19011
#compare sum(PIP*mu2/sample_size) with above PVE calculation
c(sum(ctwas_gene_res$PVE),sum(ctwas_snp_res$PVE))
[1] 0.05526 1.06662

genename region_tag susie_pip mu2 PVE z num_eqtl
10687 ZNF823 19_10 0.9828 37.78 0.0003526 6.143 1
13199 RP11-408A13.3 9_12 0.9245 23.54 0.0002066 4.536 1
8759 MAP3K11 11_36 0.9130 32.10 0.0002782 -5.401 1
3607 BHLHE41 12_18 0.8948 23.72 0.0002016 -4.516 1
5515 SYTL1 1_19 0.8899 21.93 0.0001853 4.307 2
10255 C19orf35 19_3 0.8864 26.73 0.0002250 -4.525 1
11759 HIST1H2BN 6_21 0.8609 106.83 0.0008732 13.396 1
10075 TMEM222 1_19 0.8550 21.79 0.0001769 4.303 1
9632 GRID1 10_55 0.8518 21.94 0.0001774 4.415 2
12846 RP11-247A12.7 9_66 0.7983 23.61 0.0001790 4.683 1
12742 TBC1D29 17_18 0.7572 23.88 0.0001717 4.742 2
3085 ARHGEF2 1_76 0.7557 22.43 0.0001610 -3.816 1
1736 PPP1R16B 20_23 0.7508 60.85 0.0004338 7.738 1
10982 FKBPL 6_27 0.7437 56.86 0.0004015 -5.277 2
10261 SLC38A3 3_35 0.7374 45.50 0.0003186 -1.402 1
11532 LINC00390 13_17 0.7005 22.93 0.0001526 -4.540 1
12176 YJEFN3 19_15 0.6948 50.28 0.0003317 -6.827 1
2183 EIF3B 7_4 0.6790 23.43 0.0001511 4.478 2
10932 SOX18 20_38 0.6767 22.52 0.0001447 3.659 1
2597 DUSP16 12_11 0.6681 21.01 0.0001333 -3.779 1

genename region_tag susie_pip mu2 PVE z num_eqtl
10999 VWA7 6_27 1.135e-08 245.13 2.642e-11 11.555 1
12063 C4A 6_27 2.120e-09 234.83 4.727e-12 11.326 1
11006 APOM 6_27 1.032e-09 216.99 2.126e-12 10.730 2
10981 PRRT1 6_27 1.709e-06 156.38 2.538e-09 10.061 1
10979 RNF5 6_27 1.564e-06 155.80 2.314e-09 10.045 1
10995 C6orf48 6_27 2.515e-11 140.32 3.351e-14 7.823 2
10976 NOTCH4 6_27 5.420e-07 120.86 6.220e-10 6.390 1
11759 HIST1H2BN 6_21 8.609e-01 106.83 8.732e-04 13.396 1
12628 CTA-14H9.5 6_20 2.080e-02 101.46 2.004e-05 11.015 1
10383 HLA-DRB1 6_27 9.548e-08 96.00 8.704e-11 5.077 1
10071 BTN3A2 6_20 1.819e-02 94.79 1.637e-05 10.733 2
12006 HLA-DMB 6_27 4.825e-04 87.87 4.025e-07 -8.860 1
10969 HLA-DMA 6_27 2.371e-04 85.86 1.933e-07 -8.774 2
4941 FLOT1 6_24 7.310e-02 84.59 5.872e-05 -10.944 1
9448 HIST1H2BC 6_20 2.786e-02 82.72 2.189e-05 -9.909 1
10546 ZSCAN26 6_22 1.373e-02 76.96 1.004e-05 9.757 2
2719 TRIM38 6_20 1.952e-02 74.97 1.389e-05 -9.572 2
13065 RP1-86C11.7 6_21 4.838e-02 73.98 3.398e-05 -10.889 1
10974 BTNL2 6_27 5.623e-10 62.87 3.357e-13 3.884 1
1736 PPP1R16B 20_23 7.508e-01 60.85 4.338e-04 7.738 1
genename region_tag susie_pip mu2 PVE z num_eqtl
11759 HIST1H2BN 6_21 0.8609 106.83 0.0008732 13.396 1
1736 PPP1R16B 20_23 0.7508 60.85 0.0004338 7.738 1
10982 FKBPL 6_27 0.7437 56.86 0.0004015 -5.277 2
10687 ZNF823 19_10 0.9828 37.78 0.0003526 6.143 1
12176 YJEFN3 19_15 0.6948 50.28 0.0003317 -6.827 1
10261 SLC38A3 3_35 0.7374 45.50 0.0003186 -1.402 1
8759 MAP3K11 11_36 0.9130 32.10 0.0002782 -5.401 1
2535 MDK 11_28 0.5725 48.69 0.0002647 -7.159 1
626 SNAP91 6_57 0.6312 43.26 0.0002593 6.969 1
40 RBM6 3_35 0.4575 54.18 0.0002354 3.221 1
10255 C19orf35 19_3 0.8864 26.73 0.0002250 -4.525 1
8275 INO80E 16_24 0.4958 46.89 0.0002207 6.852 1
13199 RP11-408A13.3 9_12 0.9245 23.54 0.0002066 4.536 1
3607 BHLHE41 12_18 0.8948 23.72 0.0002016 -4.516 1
5515 SYTL1 1_19 0.8899 21.93 0.0001853 4.307 2
12846 RP11-247A12.7 9_66 0.7983 23.61 0.0001790 4.683 1
9632 GRID1 10_55 0.8518 21.94 0.0001774 4.415 2
10075 TMEM222 1_19 0.8550 21.79 0.0001769 4.303 1
8075 BATF2 11_36 0.5632 32.97 0.0001763 -5.318 2
12742 TBC1D29 17_18 0.7572 23.88 0.0001717 4.742 2
genename region_tag susie_pip mu2 PVE z num_eqtl
11759 HIST1H2BN 6_21 8.609e-01 106.83 8.732e-04 13.396 1
10999 VWA7 6_27 1.135e-08 245.13 2.642e-11 11.555 1
12063 C4A 6_27 2.120e-09 234.83 4.727e-12 11.326 1
12628 CTA-14H9.5 6_20 2.080e-02 101.46 2.004e-05 11.015 1
4941 FLOT1 6_24 7.310e-02 84.59 5.872e-05 -10.944 1
13065 RP1-86C11.7 6_21 4.838e-02 73.98 3.398e-05 -10.889 1
10071 BTN3A2 6_20 1.819e-02 94.79 1.637e-05 10.733 2
11006 APOM 6_27 1.032e-09 216.99 2.126e-12 10.730 2
10981 PRRT1 6_27 1.709e-06 156.38 2.538e-09 10.061 1
10979 RNF5 6_27 1.564e-06 155.80 2.314e-09 10.045 1
9448 HIST1H2BC 6_20 2.786e-02 82.72 2.189e-05 -9.909 1
10546 ZSCAN26 6_22 1.373e-02 76.96 1.004e-05 9.757 2
2719 TRIM38 6_20 1.952e-02 74.97 1.389e-05 -9.572 2
12006 HLA-DMB 6_27 4.825e-04 87.87 4.025e-07 -8.860 1
10969 HLA-DMA 6_27 2.371e-04 85.86 1.933e-07 -8.774 2
10219 ZSCAN23 6_22 3.074e-02 50.74 1.481e-05 -8.180 1
6064 CNNM2 10_66 1.179e-01 44.36 4.968e-05 -8.161 1
10995 C6orf48 6_27 2.515e-11 140.32 3.351e-14 7.823 2
1736 PPP1R16B 20_23 7.508e-01 60.85 4.338e-04 7.738 1
10362 ZKSCAN3 6_22 1.549e-02 39.74 5.844e-06 7.690 1


[1] 0.01175
#number of genes for gene set enrichment
length(genes)
[1] 41
Uploading data to Enrichr... Done.
Querying GO_Biological_Process_2021... Done.
Querying GO_Cellular_Component_2021... Done.
Querying GO_Molecular_Function_2021... Done.
Parsing results... Done.
[1] "GO_Biological_Process_2021"

Term
1 regulation of leukocyte cell-cell adhesion (GO:1903037)
2 positive regulation of neuron migration (GO:2001224)
3 regulation of leukocyte adhesion to vascular endothelial cell (GO:1904994)
Overlap Adjusted.P.value Genes
1 2/12 0.04655 FUT9;MDK
2 2/13 0.04655 MDK;ARHGEF2
3 2/13 0.04655 FUT9;MDK
[1] "GO_Cellular_Component_2021"

[1] Term Overlap Adjusted.P.value Genes
<0 rows> (or 0-length row.names)
[1] "GO_Molecular_Function_2021"

[1] Term Overlap Adjusted.P.value Genes
<0 rows> (or 0-length row.names)
Description
17 Confusion
61 Speech impairment
62 Derealization
67 Spondylometaphyseal dysplasia, Kozlowski type
68 Metatropic dwarfism
86 Brachyolmia Type 3
91 Sexually disinhibited behavior
98 Hypersomnia, Recurrent
124 SPINAL MUSCULAR ATROPHY, DISTAL, CONGENITAL NONPROGRESSIVE (disorder)
125 HYPOTRICHOSIS-LYMPHEDEMA-TELANGIECTASIA SYNDROME
FDR Ratio BgRatio
17 0.01335 1/19 1/9703
61 0.01335 1/19 1/9703
62 0.01335 1/19 1/9703
67 0.01335 1/19 1/9703
68 0.01335 1/19 1/9703
86 0.01335 1/19 1/9703
91 0.01335 1/19 1/9703
98 0.01335 1/19 1/9703
124 0.01335 1/19 1/9703
125 0.01335 1/19 1/9703
Loading the functional categories...
Loading the ID list...
Loading the reference list...
Performing the enrichment analysis...
Warning in oraEnrichment(interestGeneList, referenceGeneList, geneSet, minNum =
minNum, : No significant gene set is identified based on FDR 0.05!
NULL
Warning: ggrepel: 8 unlabeled data points (too many overlaps). Consider
increasing max.overlaps

#number of genes in known annotations
print(length(known_annotations))
[1] 130
#number of genes in known annotations with imputed expression
print(sum(known_annotations %in% ctwas_gene_res$genename))
[1] 58
#significance threshold for TWAS
print(sig_thresh)
[1] 4.555
#number of ctwas genes
length(ctwas_genes)
[1] 9
#number of TWAS genes
length(twas_genes)
[1] 112
#show novel genes (ctwas genes with not in TWAS genes)
ctwas_gene_res[ctwas_gene_res$genename %in% novel_genes,report_cols]
genename region_tag susie_pip mu2 PVE z num_eqtl
5515 SYTL1 1_19 0.8899 21.93 0.0001853 4.307 2
10075 TMEM222 1_19 0.8550 21.79 0.0001769 4.303 1
13199 RP11-408A13.3 9_12 0.9245 23.54 0.0002066 4.536 1
9632 GRID1 10_55 0.8518 21.94 0.0001774 4.415 2
3607 BHLHE41 12_18 0.8948 23.72 0.0002016 -4.516 1
10255 C19orf35 19_3 0.8864 26.73 0.0002250 -4.525 1
#sensitivity / recall
print(sensitivity)
ctwas TWAS
0.007692 0.115385
#specificity
print(specificity)
ctwas TWAS
0.9992 0.9898
#precision / PPV
print(precision)
ctwas TWAS
0.1111 0.1339

#number of genes in known annotations (with imputed expression)
print(length(known_annotations))
[1] 58
#number of bystander genes (with imputed expression)
print(length(unrelated_genes))
[1] 670
#subset results to genes in known annotations or bystanders
ctwas_gene_res_subset <- ctwas_gene_res[ctwas_gene_res$genename %in% c(known_annotations, unrelated_genes),]
#assign ctwas and TWAS genes
ctwas_genes <- ctwas_gene_res_subset$genename[ctwas_gene_res_subset$susie_pip>0.8]
twas_genes <- ctwas_gene_res_subset$genename[abs(ctwas_gene_res_subset$z)>sig_thresh]
#significance threshold for TWAS
print(sig_thresh)
[1] 4.555
#number of ctwas genes (in known annotations or bystanders)
length(ctwas_genes)
[1] 2
#number of TWAS genes (in known annotations or bystanders)
length(twas_genes)
[1] 44
#sensitivity / recall
sensitivity
ctwas TWAS
0.01724 0.25862
#specificity / (1 - False Positive Rate)
specificity
ctwas TWAS
0.9985 0.9567
#precision / PPV / (1 - False Discovery Rate)
precision
ctwas TWAS
0.5000 0.3409


pip_range <- (0:1000)/1000
sensitivity <- rep(NA, length(pip_range))
specificity <- rep(NA, length(pip_range))
for (index in 1:length(pip_range)){
pip <- pip_range[index]
ctwas_genes <- ctwas_gene_res_subset$genename[ctwas_gene_res_subset$susie_pip>=pip]
sensitivity[index] <- sum(ctwas_genes %in% known_annotations)/length(known_annotations)
specificity[index] <- sum(!(unrelated_genes %in% ctwas_genes))/length(unrelated_genes)
}
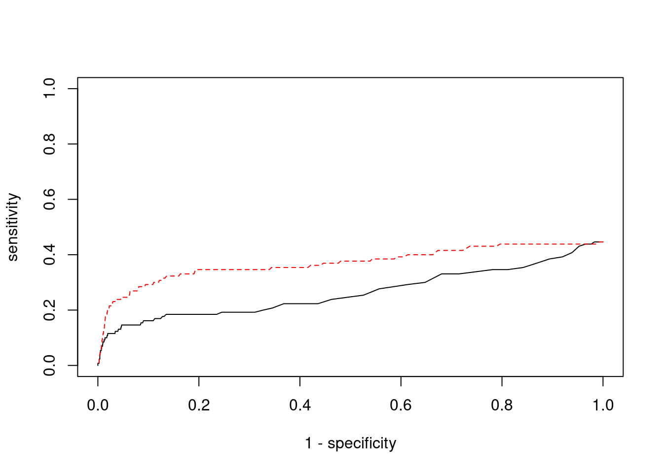
plot(1-specificity, sensitivity, type="l", xlim=c(0,1), ylim=c(0,1), main="", xlab="1 - Specificity", ylab="Sensitivity")
title(expression("ROC Curve for cTWAS (black) and TWAS (" * phantom("red") * ")"))
title(expression(phantom("ROC Curve for cTWAS (black) and TWAS (") * "red" * phantom(")")), col.main="red")
sig_thresh_range <- seq(from=0, to=max(abs(ctwas_gene_res_subset$z)), length.out=length(pip_range))
for (index in 1:length(sig_thresh_range)){
sig_thresh_plot <- sig_thresh_range[index]
twas_genes <- ctwas_gene_res_subset$genename[abs(ctwas_gene_res_subset$z)>=sig_thresh_plot]
sensitivity[index] <- sum(twas_genes %in% known_annotations)/length(known_annotations)
specificity[index] <- sum(!(unrelated_genes %in% twas_genes))/length(unrelated_genes)
}
lines(1-specificity, sensitivity, xlim=c(0,1), ylim=c(0,1), col="red", lty=1)
abline(a=0,b=1,lty=3)
#add previously computed points from the analysis
ctwas_genes <- ctwas_gene_res_subset$genename[ctwas_gene_res_subset$susie_pip>0.8]
twas_genes <- ctwas_gene_res_subset$genename[abs(ctwas_gene_res_subset$z)>sig_thresh]
points(1-specificity_plot["ctwas"], sensitivity_plot["ctwas"], pch=21, bg="black")
points(1-specificity_plot["TWAS"], sensitivity_plot["TWAS"], pch=21, bg="red")

#table of outcomes for silver standard genes
-sort(-table(silver_standard_case))
silver_standard_case
Not Imputed Insignificant z-score Nearby SNP(s)
72 43 14
Detected (PIP > 0.8)
1
#show inconclusive genes
silver_standard_case[silver_standard_case=="Inconclusive"]
named character(0)

sessionInfo()
R version 3.6.1 (2019-07-05)
Platform: x86_64-pc-linux-gnu (64-bit)
Running under: Scientific Linux 7.4 (Nitrogen)
Matrix products: default
BLAS/LAPACK: /software/openblas-0.2.19-el7-x86_64/lib/libopenblas_haswellp-r0.2.19.so
locale:
[1] LC_CTYPE=en_US.UTF-8 LC_NUMERIC=C
[3] LC_TIME=en_US.UTF-8 LC_COLLATE=en_US.UTF-8
[5] LC_MONETARY=en_US.UTF-8 LC_MESSAGES=en_US.UTF-8
[7] LC_PAPER=en_US.UTF-8 LC_NAME=C
[9] LC_ADDRESS=C LC_TELEPHONE=C
[11] LC_MEASUREMENT=en_US.UTF-8 LC_IDENTIFICATION=C
attached base packages:
[1] parallel stats4 stats graphics grDevices utils datasets
[8] methods base
other attached packages:
[1] GenomicRanges_1.36.1 GenomeInfoDb_1.20.0 IRanges_2.18.1
[4] S4Vectors_0.22.1 BiocGenerics_0.30.0 biomaRt_2.40.1
[7] readxl_1.3.1 forcats_0.5.1 stringr_1.4.0
[10] dplyr_1.0.7 purrr_0.3.4 readr_2.1.1
[13] tidyr_1.1.4 tidyverse_1.3.1 tibble_3.1.6
[16] WebGestaltR_0.4.4 disgenet2r_0.99.2 enrichR_3.0
[19] cowplot_1.1.1 ggplot2_3.3.5 workflowr_1.7.0
loaded via a namespace (and not attached):
[1] ggbeeswarm_0.6.0 colorspace_2.0-2 rjson_0.2.20
[4] ellipsis_0.3.2 rprojroot_2.0.2 XVector_0.24.0
[7] fs_1.5.2 rstudioapi_0.13 farver_2.1.0
[10] ggrepel_0.9.1 bit64_4.0.5 AnnotationDbi_1.46.0
[13] fansi_1.0.2 lubridate_1.8.0 xml2_1.3.3
[16] codetools_0.2-16 doParallel_1.0.17 cachem_1.0.6
[19] knitr_1.36 jsonlite_1.7.2 apcluster_1.4.8
[22] Cairo_1.5-12.2 broom_0.7.10 dbplyr_2.1.1
[25] compiler_3.6.1 httr_1.4.2 backports_1.4.1
[28] assertthat_0.2.1 Matrix_1.2-18 fastmap_1.1.0
[31] cli_3.1.0 later_0.8.0 prettyunits_1.1.1
[34] htmltools_0.5.2 tools_3.6.1 igraph_1.2.10
[37] GenomeInfoDbData_1.2.1 gtable_0.3.0 glue_1.6.2
[40] reshape2_1.4.4 doRNG_1.8.2 Rcpp_1.0.8
[43] Biobase_2.44.0 cellranger_1.1.0 jquerylib_0.1.4
[46] vctrs_0.3.8 svglite_1.2.2 iterators_1.0.14
[49] xfun_0.29 ps_1.6.0 rvest_1.0.2
[52] lifecycle_1.0.1 rngtools_1.5.2 XML_3.99-0.3
[55] zlibbioc_1.30.0 getPass_0.2-2 scales_1.1.1
[58] vroom_1.5.7 hms_1.1.1 promises_1.0.1
[61] yaml_2.2.1 curl_4.3.2 memoise_2.0.1
[64] ggrastr_1.0.1 gdtools_0.1.9 stringi_1.7.6
[67] RSQLite_2.2.8 highr_0.9 foreach_1.5.2
[70] rlang_1.0.1 pkgconfig_2.0.3 bitops_1.0-7
[73] evaluate_0.14 lattice_0.20-38 labeling_0.4.2
[76] bit_4.0.4 processx_3.5.2 tidyselect_1.1.1
[79] plyr_1.8.6 magrittr_2.0.2 R6_2.5.1
[82] generics_0.1.1 DBI_1.1.2 pillar_1.6.4
[85] haven_2.4.3 whisker_0.3-2 withr_2.4.3
[88] RCurl_1.98-1.5 modelr_0.1.8 crayon_1.5.0
[91] utf8_1.2.2 tzdb_0.2.0 rmarkdown_2.11
[94] progress_1.2.2 grid_3.6.1 data.table_1.14.2
[97] blob_1.2.2 callr_3.7.0 git2r_0.26.1
[100] reprex_2.0.1 digest_0.6.29 httpuv_1.5.1
[103] munsell_0.5.0 beeswarm_0.2.3 vipor_0.4.5