Last updated: 2022-04-19
Checks: 5 2
Knit directory: cTWAS_analysis/
This reproducible R Markdown analysis was created with workflowr (version 1.7.0). The Checks tab describes the reproducibility checks that were applied when the results were created. The Past versions tab lists the development history.
The R Markdown file has unstaged changes. To know which version of the R Markdown file created these results, you’ll want to first commit it to the Git repo. If you’re still working on the analysis, you can ignore this warning. When you’re finished, you can run wflow_publish to commit the R Markdown file and build the HTML.
Great job! The global environment was empty. Objects defined in the global environment can affect the analysis in your R Markdown file in unknown ways. For reproduciblity it’s best to always run the code in an empty environment.
The command set.seed(20211220) was run prior to running the code in the R Markdown file. Setting a seed ensures that any results that rely on randomness, e.g. subsampling or permutations, are reproducible.
Great job! Recording the operating system, R version, and package versions is critical for reproducibility.
Nice! There were no cached chunks for this analysis, so you can be confident that you successfully produced the results during this run.
Using absolute paths to the files within your workflowr project makes it difficult for you and others to run your code on a different machine. Change the absolute path(s) below to the suggested relative path(s) to make your code more reproducible.
| absolute | relative |
|---|---|
| /project2/xinhe/shengqian/cTWAS/cTWAS_analysis/data/ | data |
| /project2/xinhe/shengqian/cTWAS/cTWAS_analysis/code/ctwas_config.R | code/ctwas_config.R |
Great! You are using Git for version control. Tracking code development and connecting the code version to the results is critical for reproducibility.
The results in this page were generated with repository version ba919ab. See the Past versions tab to see a history of the changes made to the R Markdown and HTML files.
Note that you need to be careful to ensure that all relevant files for the analysis have been committed to Git prior to generating the results (you can use wflow_publish or wflow_git_commit). workflowr only checks the R Markdown file, but you know if there are other scripts or data files that it depends on. Below is the status of the Git repository when the results were generated:
Ignored files:
Ignored: .ipynb_checkpoints/
Ignored: data/AF/
Untracked files:
Untracked: Rplot.png
Untracked: analysis/.ipynb_checkpoints/
Untracked: code/.ipynb_checkpoints/
Untracked: code/AF_out/
Untracked: code/Autism_out/
Untracked: code/BMI_S_out/
Untracked: code/BMI_out/
Untracked: code/Glucose_out/
Untracked: code/LDL_S_out/
Untracked: code/SCZ_2014_EUR_out/
Untracked: code/SCZ_2018_out/
Untracked: code/SCZ_2020_Single_out/
Untracked: code/SCZ_2020_out/
Untracked: code/SCZ_S_out/
Untracked: code/SCZ_out/
Untracked: code/T2D_out/
Untracked: code/ctwas_config.R
Untracked: code/mapping.R
Untracked: code/out/
Untracked: code/process_scz_2018_snps.R
Untracked: code/run_AF_analysis.sbatch
Untracked: code/run_AF_analysis.sh
Untracked: code/run_AF_ctwas_rss_LDR.R
Untracked: code/run_Autism_analysis.sbatch
Untracked: code/run_Autism_analysis.sh
Untracked: code/run_Autism_ctwas_rss_LDR.R
Untracked: code/run_BMI_analysis.sbatch
Untracked: code/run_BMI_analysis.sh
Untracked: code/run_BMI_analysis_S.sbatch
Untracked: code/run_BMI_analysis_S.sh
Untracked: code/run_BMI_ctwas_rss_LDR.R
Untracked: code/run_BMI_ctwas_rss_LDR_S.R
Untracked: code/run_Glucose_analysis.sbatch
Untracked: code/run_Glucose_analysis.sh
Untracked: code/run_Glucose_ctwas_rss_LDR.R
Untracked: code/run_LDL_analysis_S.sbatch
Untracked: code/run_LDL_analysis_S.sh
Untracked: code/run_LDL_ctwas_rss_LDR_S.R
Untracked: code/run_SCZ_2014_EUR_analysis.sbatch
Untracked: code/run_SCZ_2014_EUR_analysis.sh
Untracked: code/run_SCZ_2014_EUR_ctwas_rss_LDR.R
Untracked: code/run_SCZ_2018_analysis.sbatch
Untracked: code/run_SCZ_2018_analysis.sh
Untracked: code/run_SCZ_2018_ctwas_rss_LDR.R
Untracked: code/run_SCZ_2020_Single_analysis.sbatch
Untracked: code/run_SCZ_2020_Single_analysis.sh
Untracked: code/run_SCZ_2020_Single_ctwas_rss_LDR.R
Untracked: code/run_SCZ_2020_analysis.sbatch
Untracked: code/run_SCZ_2020_analysis.sh
Untracked: code/run_SCZ_2020_ctwas_rss_LDR.R
Untracked: code/run_SCZ_analysis.sbatch
Untracked: code/run_SCZ_analysis.sh
Untracked: code/run_SCZ_analysis_S.sbatch
Untracked: code/run_SCZ_analysis_S.sh
Untracked: code/run_SCZ_ctwas_rss_LDR.R
Untracked: code/run_SCZ_ctwas_rss_LDR_S.R
Untracked: code/run_T2D_analysis.sbatch
Untracked: code/run_T2D_analysis.sh
Untracked: code/run_T2D_ctwas_rss_LDR.R
Untracked: code/wflow_build.R
Untracked: code/wflow_build.sbatch
Untracked: data/.ipynb_checkpoints/
Untracked: data/BMI/
Untracked: data/GO_Terms/
Untracked: data/PGC3_SCZ_wave3_public.v2.tsv
Untracked: data/SCZ/
Untracked: data/SCZ_2014_EUR/
Untracked: data/SCZ_2018/
Untracked: data/SCZ_2020/
Untracked: data/SCZ_2020_Single/
Untracked: data/SCZ_S/
Untracked: data/Supplementary Table 15 - MAGMA.xlsx
Untracked: data/Supplementary Table 20 - Prioritised Genes.xlsx
Untracked: data/T2D/
Untracked: data/UKBB/
Untracked: data/UKBB_SNPs_Info.text
Untracked: data/gene_OMIM.txt
Untracked: data/gene_pip_0.8.txt
Untracked: data/mashr_Heart_Atrial_Appendage.db
Untracked: data/mashr_sqtl/
Untracked: data/scz_2018.RDS
Untracked: data/summary_known_genes_annotations.xlsx
Untracked: data/untitled.txt
Untracked: top_genes_32.txt
Untracked: top_genes_37.txt
Untracked: top_genes_43.txt
Untracked: top_genes_81.txt
Unstaged changes:
Modified: analysis/SCZ_2018_Brain_Amygdala.Rmd
Modified: analysis/SCZ_2018_Brain_Anterior_cingulate_cortex_BA24.Rmd
Modified: analysis/SCZ_2018_Brain_Caudate_basal_ganglia.Rmd
Modified: analysis/SCZ_2018_Brain_Cerebellar_Hemisphere.Rmd
Modified: analysis/SCZ_2018_Brain_Cerebellum.Rmd
Modified: analysis/SCZ_2018_Brain_Cortex.Rmd
Modified: analysis/SCZ_2018_Brain_Frontal_Cortex_BA9.Rmd
Modified: analysis/SCZ_2018_Brain_Hippocampus.Rmd
Modified: analysis/SCZ_2018_Brain_Hypothalamus.Rmd
Modified: analysis/SCZ_2018_Brain_Nucleus_accumbens_basal_ganglia.Rmd
Modified: analysis/SCZ_2018_Brain_Putamen_basal_ganglia.Rmd
Modified: analysis/SCZ_2018_Brain_Spinal_cord_cervical_c-1.Rmd
Modified: analysis/SCZ_2018_Brain_Substantia_nigra.Rmd
Modified: analysis/SCZ_Annotation_Analysis.Rmd
Note that any generated files, e.g. HTML, png, CSS, etc., are not included in this status report because it is ok for generated content to have uncommitted changes.
These are the previous versions of the repository in which changes were made to the R Markdown (analysis/SCZ_2018_Brain_Hypothalamus.Rmd) and HTML (docs/SCZ_2018_Brain_Hypothalamus.html) files. If you’ve configured a remote Git repository (see ?wflow_git_remote), click on the hyperlinks in the table below to view the files as they were in that past version.
| File | Version | Author | Date | Message |
|---|---|---|---|---|
| Rmd | 9ddc9c4 | sq-96 | 2022-04-18 | update |
| Rmd | f6e7062 | sq-96 | 2022-04-17 | update |
| html | f6e7062 | sq-96 | 2022-04-17 | update |
#number of imputed weights
nrow(qclist_all)
[1] 9567
#number of imputed weights by chromosome
table(qclist_all$chr)
1 2 3 4 5 6 7 8 9 10 11 12 13 14 15 16 17 18 19 20
943 663 573 390 482 553 471 366 357 395 569 552 184 321 332 385 578 154 739 282
21 22
30 248
#number of imputed weights without missing variants
sum(qclist_all$nmiss==0)
[1] 6811
#proportion of imputed weights without missing variants
mean(qclist_all$nmiss==0)
[1] 0.7119

#estimated group prior
estimated_group_prior <- group_prior_rec[,ncol(group_prior_rec)]
names(estimated_group_prior) <- c("gene", "snp")
estimated_group_prior["snp"] <- estimated_group_prior["snp"]*thin #adjust parameter to account for thin argument
print(estimated_group_prior)
gene snp
0.0159161 0.0003071
#estimated group prior variance
estimated_group_prior_var <- group_prior_var_rec[,ncol(group_prior_var_rec)]
names(estimated_group_prior_var) <- c("gene", "snp")
print(estimated_group_prior_var)
gene snp
15.29 10.13
#report sample size
print(sample_size)
[1] 105318
#report group size
group_size <- c(nrow(ctwas_gene_res), n_snps)
print(group_size)
[1] 9567 6309950
#estimated group PVE
estimated_group_pve <- estimated_group_prior_var*estimated_group_prior*group_size/sample_size #check PVE calculation
names(estimated_group_pve) <- c("gene", "snp")
print(estimated_group_pve)
gene snp
0.02211 0.18629
#compare sum(PIP*mu2/sample_size) with above PVE calculation
c(sum(ctwas_gene_res$PVE),sum(ctwas_snp_res$PVE))
[1] 0.06816 1.05969

genename region_tag susie_pip mu2 PVE z num_eqtl
10843 ZNF823 19_10 0.9887 37.85 0.0003553 6.177 2
3993 SPECC1 17_16 0.9816 30.03 0.0002799 5.366 2
5324 FURIN 15_42 0.9769 47.90 0.0004443 -6.990 1
11997 AC012074.2 2_15 0.9585 22.81 0.0002076 4.653 2
13402 RP11-408A13.3 9_12 0.9399 23.43 0.0002091 4.536 1
13055 RP11-247A12.7 9_66 0.9372 23.41 0.0002083 4.683 1
5526 SYTL1 1_19 0.9100 21.63 0.0001869 4.307 2
10699 PCBP2 12_33 0.9062 26.83 0.0002308 5.065 1
2970 SF3B1 2_117 0.9027 50.93 0.0004365 7.265 1
1089 RRN3 16_15 0.8937 21.71 0.0001843 -4.264 2
6683 VPS8 3_113 0.8883 21.34 0.0001800 -4.258 1
11948 HIST1H2BN 6_21 0.8851 106.45 0.0008946 13.396 1
105 ELAC2 17_11 0.8803 22.00 0.0001839 4.811 2
10218 TMEM222 1_19 0.8801 21.61 0.0001806 4.303 1
3872 IRF3 19_35 0.8691 41.43 0.0003419 -6.461 1
11817 LINC00242 6_112 0.8632 21.69 0.0001778 4.288 2
5315 FANCI 15_41 0.8333 24.57 0.0001944 -4.481 1
706 GAL 11_38 0.8285 25.84 0.0002033 -4.946 2
307 VRK2 2_38 0.8260 38.46 0.0003016 4.977 1
1685 PPP1R16B 20_23 0.7927 60.76 0.0004573 7.738 1

genename region_tag susie_pip mu2 PVE z num_eqtl
11174 APOM 6_26 2.279e-04 226.12 4.893e-07 11.5895 1
11169 ABHD16A 6_26 1.873e-04 223.25 3.970e-07 11.5262 1
11166 MSH5 6_26 1.656e-04 223.12 3.508e-07 11.5179 2
12252 C4A 6_26 4.277e-05 216.43 8.790e-08 11.3259 1
10534 HLA-DRB1 6_26 3.042e-05 178.62 5.159e-08 6.2222 1
11172 GPANK1 6_26 6.166e-05 172.29 1.009e-07 10.2672 1
11663 LINC01623 6_22 2.055e-02 156.89 3.062e-05 -12.9094 1
11142 RNF5 6_26 6.939e-05 154.88 1.020e-07 10.0454 1
11139 NOTCH4 6_26 1.102e-03 153.59 1.607e-06 8.4528 3
11948 HIST1H2BN 6_21 8.851e-01 106.45 8.946e-04 13.3956 1
11143 AGPAT1 6_26 3.964e-07 103.89 3.910e-10 -5.1903 1
10645 HLA-DQA1 6_26 4.324e-07 103.71 4.258e-10 -1.5380 1
11423 GTF2H4 6_25 3.997e-01 102.09 3.874e-04 11.1544 1
12073 HLA-DQA2 6_26 3.608e-07 92.84 3.180e-10 0.8591 1
9485 HLA-DQB1 6_26 3.438e-07 88.99 2.905e-10 -1.9898 1
11176 BAG6 6_26 3.345e-05 84.95 2.698e-08 -3.5825 1
9592 HIST1H2BC 6_20 3.365e-02 84.08 2.687e-05 -9.9088 1
4935 FLOT1 6_24 8.121e-02 83.84 6.465e-05 -10.9213 1
2696 TRIM38 6_20 2.313e-02 76.36 1.677e-05 -9.5948 2
11162 HSPA1A 6_26 2.791e-05 75.84 2.010e-08 8.0745 1
genename region_tag susie_pip mu2 PVE z num_eqtl
11948 HIST1H2BN 6_21 0.8851 106.45 0.0008946 13.396 1
1685 PPP1R16B 20_23 0.7927 60.76 0.0004573 7.738 1
5324 FURIN 15_42 0.9769 47.90 0.0004443 -6.990 1
2970 SF3B1 2_117 0.9027 50.93 0.0004365 7.265 1
11423 GTF2H4 6_25 0.3997 102.09 0.0003874 11.154 1
10843 ZNF823 19_10 0.9887 37.85 0.0003553 6.177 2
3872 IRF3 19_35 0.8691 41.43 0.0003419 -6.461 1
10406 SLC38A3 3_35 0.7871 45.54 0.0003403 -1.402 1
2829 PCCB 3_84 0.7304 45.14 0.0003130 -6.724 1
307 VRK2 2_38 0.8260 38.46 0.0003016 4.977 1
3993 SPECC1 17_16 0.9816 30.03 0.0002799 5.366 2
2505 MDK 11_28 0.5826 48.64 0.0002690 -7.159 1
38 RBM6 3_35 0.5159 54.01 0.0002645 3.221 1
7669 LETM2 8_34 0.6763 38.57 0.0002476 -6.067 1
10797 NMB 15_39 0.7173 35.79 0.0002438 5.881 1
10699 PCBP2 12_33 0.9062 26.83 0.0002308 5.065 1
3041 ALMS1 2_48 0.7001 34.07 0.0002265 -5.898 1
7382 THOC7 3_43 0.5650 40.56 0.0002176 -6.249 1
13402 RP11-408A13.3 9_12 0.9399 23.43 0.0002091 4.536 1
13055 RP11-247A12.7 9_66 0.9372 23.41 0.0002083 4.683 1
genename region_tag susie_pip mu2 PVE z num_eqtl
11948 HIST1H2BN 6_21 8.851e-01 106.45 8.946e-04 13.396 1
11663 LINC01623 6_22 2.055e-02 156.89 3.062e-05 -12.909 1
11174 APOM 6_26 2.279e-04 226.12 4.893e-07 11.590 1
11169 ABHD16A 6_26 1.873e-04 223.25 3.970e-07 11.526 1
11166 MSH5 6_26 1.656e-04 223.12 3.508e-07 11.518 2
12252 C4A 6_26 4.277e-05 216.43 8.790e-08 11.326 1
11423 GTF2H4 6_25 3.997e-01 102.09 3.874e-04 11.154 1
4935 FLOT1 6_24 8.121e-02 83.84 6.465e-05 -10.921 1
11172 GPANK1 6_26 6.166e-05 172.29 1.009e-07 10.267 1
11142 RNF5 6_26 6.939e-05 154.88 1.020e-07 10.045 1
9592 HIST1H2BC 6_20 3.365e-02 84.08 2.687e-05 -9.909 1
10512 ZKSCAN3 6_22 2.276e-02 67.06 1.449e-05 9.707 2
2696 TRIM38 6_20 2.313e-02 76.36 1.677e-05 -9.595 2
10214 BTN3A2 6_20 2.116e-02 72.00 1.446e-05 9.294 2
11131 HLA-DMA 6_27 5.646e-02 68.13 3.652e-05 -8.590 2
11139 NOTCH4 6_26 1.102e-03 153.59 1.607e-06 8.453 3
11162 HSPA1A 6_26 2.791e-05 75.84 2.010e-08 8.075 1
11479 AS3MT 10_66 4.244e-01 45.06 1.816e-04 8.051 1
10360 ZSCAN23 6_22 7.931e-02 49.55 3.732e-05 -7.778 2
1685 PPP1R16B 20_23 7.927e-01 60.76 4.573e-04 7.738 1


[1] 0.0138
#number of genes for gene set enrichment
length(genes)
[1] 56
Uploading data to Enrichr... Done.
Querying GO_Biological_Process_2021... Done.
Querying GO_Cellular_Component_2021... Done.
Querying GO_Molecular_Function_2021... Done.
Parsing results... Done.
[1] "GO_Biological_Process_2021"

[1] Term Overlap Adjusted.P.value Genes
<0 rows> (or 0-length row.names)
[1] "GO_Cellular_Component_2021"

[1] Term Overlap Adjusted.P.value Genes
<0 rows> (or 0-length row.names)
[1] "GO_Molecular_Function_2021"

[1] Term Overlap Adjusted.P.value Genes
<0 rows> (or 0-length row.names)
Description
58 Alstrom Syndrome
105 FANCONI ANEMIA, COMPLEMENTATION GROUP I
107 HYPOTRICHOSIS-LYMPHEDEMA-TELANGIECTASIA SYNDROME
109 Childhood-onset truncal obesity
115 MITOCHONDRIAL COMPLEX V (ATP SYNTHASE) DEFICIENCY, NUCLEAR TYPE 1
117 PROSTATE CANCER, HEREDITARY, 2
119 COMBINED OXIDATIVE PHOSPHORYLATION DEFICIENCY 17
120 OVARIAN DYSGENESIS 4
121 ENCEPHALOPATHY, ACUTE, INFECTION-INDUCED (HERPES-SPECIFIC), SUSCEPTIBILITY TO, 7
122 EPILEPSY, FAMILIAL TEMPORAL LOBE, 8
FDR Ratio BgRatio
58 0.02273 1/21 1/9703
105 0.02273 1/21 1/9703
107 0.02273 1/21 1/9703
109 0.02273 1/21 1/9703
115 0.02273 1/21 1/9703
117 0.02273 1/21 1/9703
119 0.02273 1/21 1/9703
120 0.02273 1/21 1/9703
121 0.02273 1/21 1/9703
122 0.02273 1/21 1/9703
Loading the functional categories...
Loading the ID list...
Loading the reference list...
Performing the enrichment analysis...
Warning in oraEnrichment(interestGeneList, referenceGeneList, geneSet, minNum =
minNum, : No significant gene set is identified based on FDR 0.05!
NULL
Warning: ggrepel: 4 unlabeled data points (too many overlaps). Consider
increasing max.overlaps

#number of genes in known annotations
print(length(known_annotations))
[1] 130
#number of genes in known annotations with imputed expression
print(sum(known_annotations %in% ctwas_gene_res$genename))
[1] 57
#significance threshold for TWAS
print(sig_thresh)
[1] 4.555
#number of ctwas genes
length(ctwas_genes)
[1] 19
#number of TWAS genes
length(twas_genes)
[1] 132
#show novel genes (ctwas genes with not in TWAS genes)
ctwas_gene_res[ctwas_gene_res$genename %in% novel_genes,report_cols]
genename region_tag susie_pip mu2 PVE z num_eqtl
5526 SYTL1 1_19 0.9100 21.63 0.0001869 4.307 2
10218 TMEM222 1_19 0.8801 21.61 0.0001806 4.303 1
6683 VPS8 3_113 0.8883 21.34 0.0001800 -4.258 1
11817 LINC00242 6_112 0.8632 21.69 0.0001778 4.288 2
13402 RP11-408A13.3 9_12 0.9399 23.43 0.0002091 4.536 1
5315 FANCI 15_41 0.8333 24.57 0.0001944 -4.481 1
1089 RRN3 16_15 0.8937 21.71 0.0001843 -4.264 2
#sensitivity / recall
print(sensitivity)
ctwas TWAS
0.03846 0.10769
#specificity
print(specificity)
ctwas TWAS
0.9985 0.9876
#precision / PPV
print(precision)
ctwas TWAS
0.2632 0.1061

#number of genes in known annotations (with imputed expression)
print(length(known_annotations))
[1] 57
#number of bystander genes (with imputed expression)
print(length(unrelated_genes))
[1] 596
#subset results to genes in known annotations or bystanders
ctwas_gene_res_subset <- ctwas_gene_res[ctwas_gene_res$genename %in% c(known_annotations, unrelated_genes),]
#assign ctwas and TWAS genes
ctwas_genes <- ctwas_gene_res_subset$genename[ctwas_gene_res_subset$susie_pip>0.8]
twas_genes <- ctwas_gene_res_subset$genename[abs(ctwas_gene_res_subset$z)>sig_thresh]
#significance threshold for TWAS
print(sig_thresh)
[1] 4.555
#number of ctwas genes (in known annotations or bystanders)
length(ctwas_genes)
[1] 5
#number of TWAS genes (in known annotations or bystanders)
length(twas_genes)
[1] 39
#sensitivity / recall
sensitivity
ctwas TWAS
0.08772 0.24561
#specificity / (1 - False Positive Rate)
specificity
ctwas TWAS
1.0000 0.9581
#precision / PPV / (1 - False Discovery Rate)
precision
ctwas TWAS
1.000 0.359


pip_range <- (0:1000)/1000
sensitivity <- rep(NA, length(pip_range))
specificity <- rep(NA, length(pip_range))
for (index in 1:length(pip_range)){
pip <- pip_range[index]
ctwas_genes <- ctwas_gene_res_subset$genename[ctwas_gene_res_subset$susie_pip>=pip]
sensitivity[index] <- sum(ctwas_genes %in% known_annotations)/length(known_annotations)
specificity[index] <- sum(!(unrelated_genes %in% ctwas_genes))/length(unrelated_genes)
}
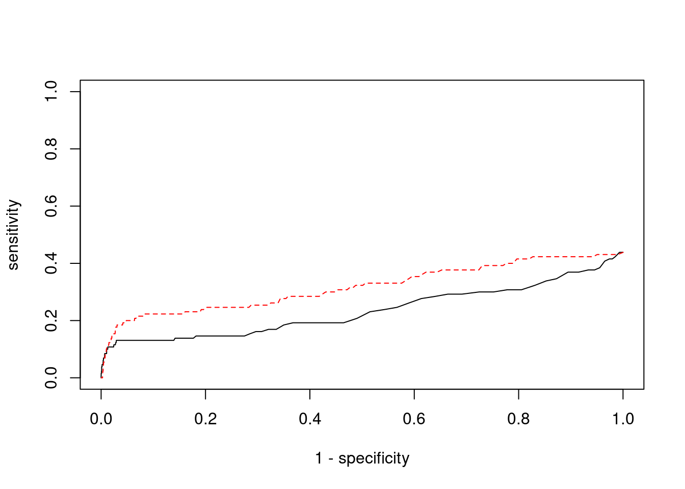
plot(1-specificity, sensitivity, type="l", xlim=c(0,1), ylim=c(0,1), main="", xlab="1 - Specificity", ylab="Sensitivity")
title(expression("ROC Curve for cTWAS (black) and TWAS (" * phantom("red") * ")"))
title(expression(phantom("ROC Curve for cTWAS (black) and TWAS (") * "red" * phantom(")")), col.main="red")
sig_thresh_range <- seq(from=0, to=max(abs(ctwas_gene_res_subset$z)), length.out=length(pip_range))
for (index in 1:length(sig_thresh_range)){
sig_thresh_plot <- sig_thresh_range[index]
twas_genes <- ctwas_gene_res_subset$genename[abs(ctwas_gene_res_subset$z)>=sig_thresh_plot]
sensitivity[index] <- sum(twas_genes %in% known_annotations)/length(known_annotations)
specificity[index] <- sum(!(unrelated_genes %in% twas_genes))/length(unrelated_genes)
}
lines(1-specificity, sensitivity, xlim=c(0,1), ylim=c(0,1), col="red", lty=1)
abline(a=0,b=1,lty=3)
#add previously computed points from the analysis
ctwas_genes <- ctwas_gene_res_subset$genename[ctwas_gene_res_subset$susie_pip>0.8]
twas_genes <- ctwas_gene_res_subset$genename[abs(ctwas_gene_res_subset$z)>sig_thresh]
points(1-specificity_plot["ctwas"], sensitivity_plot["ctwas"], pch=21, bg="black")
points(1-specificity_plot["TWAS"], sensitivity_plot["TWAS"], pch=21, bg="red")

#table of outcomes for silver standard genes
-sort(-table(silver_standard_case))
silver_standard_case
Not Imputed Insignificant z-score Nearby SNP(s)
73 43 9
Detected (PIP > 0.8)
5
#show inconclusive genes
silver_standard_case[silver_standard_case=="Inconclusive"]
named character(0)

sessionInfo()
R version 3.6.1 (2019-07-05)
Platform: x86_64-pc-linux-gnu (64-bit)
Running under: Scientific Linux 7.4 (Nitrogen)
Matrix products: default
BLAS/LAPACK: /software/openblas-0.2.19-el7-x86_64/lib/libopenblas_haswellp-r0.2.19.so
locale:
[1] LC_CTYPE=en_US.UTF-8 LC_NUMERIC=C
[3] LC_TIME=en_US.UTF-8 LC_COLLATE=en_US.UTF-8
[5] LC_MONETARY=en_US.UTF-8 LC_MESSAGES=en_US.UTF-8
[7] LC_PAPER=en_US.UTF-8 LC_NAME=C
[9] LC_ADDRESS=C LC_TELEPHONE=C
[11] LC_MEASUREMENT=en_US.UTF-8 LC_IDENTIFICATION=C
attached base packages:
[1] parallel stats4 stats graphics grDevices utils datasets
[8] methods base
other attached packages:
[1] GenomicRanges_1.36.1 GenomeInfoDb_1.20.0 IRanges_2.18.1
[4] S4Vectors_0.22.1 BiocGenerics_0.30.0 biomaRt_2.40.1
[7] readxl_1.3.1 forcats_0.5.1 stringr_1.4.0
[10] dplyr_1.0.7 purrr_0.3.4 readr_2.1.1
[13] tidyr_1.1.4 tidyverse_1.3.1 tibble_3.1.6
[16] WebGestaltR_0.4.4 disgenet2r_0.99.2 enrichR_3.0
[19] cowplot_1.1.1 ggplot2_3.3.5 workflowr_1.7.0
loaded via a namespace (and not attached):
[1] ggbeeswarm_0.6.0 colorspace_2.0-2 rjson_0.2.20
[4] ellipsis_0.3.2 rprojroot_2.0.2 XVector_0.24.0
[7] fs_1.5.2 rstudioapi_0.13 farver_2.1.0
[10] ggrepel_0.9.1 bit64_4.0.5 AnnotationDbi_1.46.0
[13] fansi_1.0.2 lubridate_1.8.0 xml2_1.3.3
[16] codetools_0.2-16 doParallel_1.0.17 cachem_1.0.6
[19] knitr_1.36 jsonlite_1.7.2 apcluster_1.4.8
[22] Cairo_1.5-12.2 broom_0.7.10 dbplyr_2.1.1
[25] compiler_3.6.1 httr_1.4.2 backports_1.4.1
[28] assertthat_0.2.1 Matrix_1.2-18 fastmap_1.1.0
[31] cli_3.1.0 later_0.8.0 prettyunits_1.1.1
[34] htmltools_0.5.2 tools_3.6.1 igraph_1.2.10
[37] GenomeInfoDbData_1.2.1 gtable_0.3.0 glue_1.6.2
[40] reshape2_1.4.4 doRNG_1.8.2 Rcpp_1.0.8
[43] Biobase_2.44.0 cellranger_1.1.0 jquerylib_0.1.4
[46] vctrs_0.3.8 svglite_1.2.2 iterators_1.0.14
[49] xfun_0.29 ps_1.6.0 rvest_1.0.2
[52] lifecycle_1.0.1 rngtools_1.5.2 XML_3.99-0.3
[55] zlibbioc_1.30.0 getPass_0.2-2 scales_1.1.1
[58] vroom_1.5.7 hms_1.1.1 promises_1.0.1
[61] yaml_2.2.1 curl_4.3.2 memoise_2.0.1
[64] ggrastr_1.0.1 gdtools_0.1.9 stringi_1.7.6
[67] RSQLite_2.2.8 highr_0.9 foreach_1.5.2
[70] rlang_1.0.1 pkgconfig_2.0.3 bitops_1.0-7
[73] evaluate_0.14 lattice_0.20-38 labeling_0.4.2
[76] bit_4.0.4 processx_3.5.2 tidyselect_1.1.1
[79] plyr_1.8.6 magrittr_2.0.2 R6_2.5.1
[82] generics_0.1.1 DBI_1.1.2 pillar_1.6.4
[85] haven_2.4.3 whisker_0.3-2 withr_2.4.3
[88] RCurl_1.98-1.5 modelr_0.1.8 crayon_1.5.0
[91] utf8_1.2.2 tzdb_0.2.0 rmarkdown_2.11
[94] progress_1.2.2 grid_3.6.1 data.table_1.14.2
[97] blob_1.2.2 callr_3.7.0 git2r_0.26.1
[100] reprex_2.0.1 digest_0.6.29 httpuv_1.5.1
[103] munsell_0.5.0 beeswarm_0.2.3 vipor_0.4.5