Last updated: 2022-04-19
Checks: 5 2
Knit directory: cTWAS_analysis/
This reproducible R Markdown analysis was created with workflowr (version 1.7.0). The Checks tab describes the reproducibility checks that were applied when the results were created. The Past versions tab lists the development history.
The R Markdown file has unstaged changes. To know which version of the R Markdown file created these results, you’ll want to first commit it to the Git repo. If you’re still working on the analysis, you can ignore this warning. When you’re finished, you can run wflow_publish to commit the R Markdown file and build the HTML.
Great job! The global environment was empty. Objects defined in the global environment can affect the analysis in your R Markdown file in unknown ways. For reproduciblity it’s best to always run the code in an empty environment.
The command set.seed(20211220) was run prior to running the code in the R Markdown file. Setting a seed ensures that any results that rely on randomness, e.g. subsampling or permutations, are reproducible.
Great job! Recording the operating system, R version, and package versions is critical for reproducibility.
Nice! There were no cached chunks for this analysis, so you can be confident that you successfully produced the results during this run.
Using absolute paths to the files within your workflowr project makes it difficult for you and others to run your code on a different machine. Change the absolute path(s) below to the suggested relative path(s) to make your code more reproducible.
| absolute | relative |
|---|---|
| /project2/xinhe/shengqian/cTWAS/cTWAS_analysis/data/ | data |
| /project2/xinhe/shengqian/cTWAS/cTWAS_analysis/code/ctwas_config.R | code/ctwas_config.R |
Great! You are using Git for version control. Tracking code development and connecting the code version to the results is critical for reproducibility.
The results in this page were generated with repository version ba919ab. See the Past versions tab to see a history of the changes made to the R Markdown and HTML files.
Note that you need to be careful to ensure that all relevant files for the analysis have been committed to Git prior to generating the results (you can use wflow_publish or wflow_git_commit). workflowr only checks the R Markdown file, but you know if there are other scripts or data files that it depends on. Below is the status of the Git repository when the results were generated:
Ignored files:
Ignored: .ipynb_checkpoints/
Ignored: data/AF/
Untracked files:
Untracked: Rplot.png
Untracked: analysis/.ipynb_checkpoints/
Untracked: code/.ipynb_checkpoints/
Untracked: code/AF_out/
Untracked: code/Autism_out/
Untracked: code/BMI_S_out/
Untracked: code/BMI_out/
Untracked: code/Glucose_out/
Untracked: code/LDL_S_out/
Untracked: code/SCZ_2014_EUR_out/
Untracked: code/SCZ_2018_out/
Untracked: code/SCZ_2020_Single_out/
Untracked: code/SCZ_2020_out/
Untracked: code/SCZ_S_out/
Untracked: code/SCZ_out/
Untracked: code/T2D_out/
Untracked: code/ctwas_config.R
Untracked: code/mapping.R
Untracked: code/out/
Untracked: code/process_scz_2018_snps.R
Untracked: code/run_AF_analysis.sbatch
Untracked: code/run_AF_analysis.sh
Untracked: code/run_AF_ctwas_rss_LDR.R
Untracked: code/run_Autism_analysis.sbatch
Untracked: code/run_Autism_analysis.sh
Untracked: code/run_Autism_ctwas_rss_LDR.R
Untracked: code/run_BMI_analysis.sbatch
Untracked: code/run_BMI_analysis.sh
Untracked: code/run_BMI_analysis_S.sbatch
Untracked: code/run_BMI_analysis_S.sh
Untracked: code/run_BMI_ctwas_rss_LDR.R
Untracked: code/run_BMI_ctwas_rss_LDR_S.R
Untracked: code/run_Glucose_analysis.sbatch
Untracked: code/run_Glucose_analysis.sh
Untracked: code/run_Glucose_ctwas_rss_LDR.R
Untracked: code/run_LDL_analysis_S.sbatch
Untracked: code/run_LDL_analysis_S.sh
Untracked: code/run_LDL_ctwas_rss_LDR_S.R
Untracked: code/run_SCZ_2014_EUR_analysis.sbatch
Untracked: code/run_SCZ_2014_EUR_analysis.sh
Untracked: code/run_SCZ_2014_EUR_ctwas_rss_LDR.R
Untracked: code/run_SCZ_2018_analysis.sbatch
Untracked: code/run_SCZ_2018_analysis.sh
Untracked: code/run_SCZ_2018_ctwas_rss_LDR.R
Untracked: code/run_SCZ_2020_Single_analysis.sbatch
Untracked: code/run_SCZ_2020_Single_analysis.sh
Untracked: code/run_SCZ_2020_Single_ctwas_rss_LDR.R
Untracked: code/run_SCZ_2020_analysis.sbatch
Untracked: code/run_SCZ_2020_analysis.sh
Untracked: code/run_SCZ_2020_ctwas_rss_LDR.R
Untracked: code/run_SCZ_analysis.sbatch
Untracked: code/run_SCZ_analysis.sh
Untracked: code/run_SCZ_analysis_S.sbatch
Untracked: code/run_SCZ_analysis_S.sh
Untracked: code/run_SCZ_ctwas_rss_LDR.R
Untracked: code/run_SCZ_ctwas_rss_LDR_S.R
Untracked: code/run_T2D_analysis.sbatch
Untracked: code/run_T2D_analysis.sh
Untracked: code/run_T2D_ctwas_rss_LDR.R
Untracked: code/wflow_build.R
Untracked: code/wflow_build.sbatch
Untracked: data/.ipynb_checkpoints/
Untracked: data/BMI/
Untracked: data/GO_Terms/
Untracked: data/PGC3_SCZ_wave3_public.v2.tsv
Untracked: data/SCZ/
Untracked: data/SCZ_2014_EUR/
Untracked: data/SCZ_2018/
Untracked: data/SCZ_2020/
Untracked: data/SCZ_2020_Single/
Untracked: data/SCZ_S/
Untracked: data/Supplementary Table 15 - MAGMA.xlsx
Untracked: data/Supplementary Table 20 - Prioritised Genes.xlsx
Untracked: data/T2D/
Untracked: data/UKBB/
Untracked: data/UKBB_SNPs_Info.text
Untracked: data/gene_OMIM.txt
Untracked: data/gene_pip_0.8.txt
Untracked: data/mashr_Heart_Atrial_Appendage.db
Untracked: data/mashr_sqtl/
Untracked: data/scz_2018.RDS
Untracked: data/summary_known_genes_annotations.xlsx
Untracked: data/untitled.txt
Untracked: top_genes_32.txt
Untracked: top_genes_37.txt
Untracked: top_genes_43.txt
Untracked: top_genes_81.txt
Unstaged changes:
Modified: analysis/SCZ_2018_Brain_Amygdala.Rmd
Modified: analysis/SCZ_2018_Brain_Anterior_cingulate_cortex_BA24.Rmd
Modified: analysis/SCZ_2018_Brain_Caudate_basal_ganglia.Rmd
Modified: analysis/SCZ_2018_Brain_Cerebellar_Hemisphere.Rmd
Modified: analysis/SCZ_2018_Brain_Cerebellum.Rmd
Modified: analysis/SCZ_2018_Brain_Cortex.Rmd
Modified: analysis/SCZ_2018_Brain_Frontal_Cortex_BA9.Rmd
Modified: analysis/SCZ_2018_Brain_Hippocampus.Rmd
Modified: analysis/SCZ_2018_Brain_Hypothalamus.Rmd
Modified: analysis/SCZ_2018_Brain_Nucleus_accumbens_basal_ganglia.Rmd
Modified: analysis/SCZ_2018_Brain_Putamen_basal_ganglia.Rmd
Modified: analysis/SCZ_2018_Brain_Spinal_cord_cervical_c-1.Rmd
Modified: analysis/SCZ_2018_Brain_Substantia_nigra.Rmd
Modified: analysis/SCZ_Annotation_Analysis.Rmd
Note that any generated files, e.g. HTML, png, CSS, etc., are not included in this status report because it is ok for generated content to have uncommitted changes.
These are the previous versions of the repository in which changes were made to the R Markdown (analysis/SCZ_2018_Brain_Substantia_nigra.Rmd) and HTML (docs/SCZ_2018_Brain_Substantia_nigra.html) files. If you’ve configured a remote Git repository (see ?wflow_git_remote), click on the hyperlinks in the table below to view the files as they were in that past version.
| File | Version | Author | Date | Message |
|---|---|---|---|---|
| Rmd | 9ddc9c4 | sq-96 | 2022-04-18 | update |
| Rmd | f6e7062 | sq-96 | 2022-04-17 | update |
| html | f6e7062 | sq-96 | 2022-04-17 | update |
#number of imputed weights
nrow(qclist_all)
[1] 8570
#number of imputed weights by chromosome
table(qclist_all$chr)
1 2 3 4 5 6 7 8 9 10 11 12 13 14 15 16 17 18 19 20
829 624 516 332 398 493 408 333 342 337 526 487 193 288 303 365 520 138 653 274
21 22
19 192
#number of imputed weights without missing variants
sum(qclist_all$nmiss==0)
[1] 6346
#proportion of imputed weights without missing variants
mean(qclist_all$nmiss==0)
[1] 0.7405

#estimated group prior
estimated_group_prior <- group_prior_rec[,ncol(group_prior_rec)]
names(estimated_group_prior) <- c("gene", "snp")
estimated_group_prior["snp"] <- estimated_group_prior["snp"]*thin #adjust parameter to account for thin argument
print(estimated_group_prior)
gene snp
0.0082354 0.0003216
#estimated group prior variance
estimated_group_prior_var <- group_prior_var_rec[,ncol(group_prior_var_rec)]
names(estimated_group_prior_var) <- c("gene", "snp")
print(estimated_group_prior_var)
gene snp
19.02 10.17
#report sample size
print(sample_size)
[1] 105318
#report group size
group_size <- c(nrow(ctwas_gene_res), n_snps)
print(group_size)
[1] 8570 6309950
#estimated group PVE
estimated_group_pve <- estimated_group_prior_var*estimated_group_prior*group_size/sample_size #check PVE calculation
names(estimated_group_pve) <- c("gene", "snp")
print(estimated_group_pve)
gene snp
0.01275 0.19603
#compare sum(PIP*mu2/sample_size) with above PVE calculation
c(sum(ctwas_gene_res$PVE),sum(ctwas_snp_res$PVE))
[1] 0.03796 1.08936

genename region_tag susie_pip mu2 PVE z num_eqtl
10000 ZNF823 19_10 0.9754 38.28 0.0003545 6.143 1
4961 FURIN 15_42 0.9605 48.81 0.0004452 -6.990 1
10995 HIST1H2BN 6_21 0.9534 149.81 0.0013562 13.396 1
8772 PDXDC1 16_15 0.9397 25.36 0.0002263 4.689 1
11036 AC012074.2 2_15 0.9217 23.42 0.0002050 4.653 2
6911 SLC51A 3_120 0.7982 22.50 0.0001705 -4.325 3
12007 RP11-247A12.7 9_66 0.7964 23.34 0.0001765 4.536 2
1618 PPP1R16B 20_23 0.7066 62.48 0.0004192 7.738 1
2371 MDK 11_28 0.6752 49.92 0.0003201 -7.159 1
5588 FAM135B 8_91 0.6482 24.06 0.0001481 -3.923 2
8526 LY6H 8_94 0.6142 22.29 0.0001300 4.165 2
2111 TLE4 9_38 0.5725 22.66 0.0001232 4.279 1
9960 NMB 15_39 0.5660 37.46 0.0002013 5.881 1
2046 EIF3B 7_4 0.5428 26.01 0.0001341 4.502 2
4118 TRPC4 13_14 0.5341 30.75 0.0001560 -4.275 2
1515 EFS 14_3 0.5254 27.17 0.0001355 3.814 1
7095 LETM2 8_34 0.5252 39.76 0.0001983 -6.067 1
2170 ARHGAP21 10_18 0.5192 30.00 0.0001479 -3.735 1
8797 TDRD6 6_35 0.5167 21.60 0.0001060 3.793 1
9787 ANAPC7 12_67 0.5014 43.19 0.0002056 -6.557 2

genename region_tag susie_pip mu2 PVE z num_eqtl
10995 HIST1H2BN 6_21 9.534e-01 149.81 1.356e-03 13.396 1
10307 APOM 6_26 2.307e-01 132.47 2.902e-04 11.590 1
10309 BAG6 6_26 2.307e-01 132.47 2.902e-04 11.590 1
10295 VWA7 6_26 1.734e-01 132.13 2.176e-04 11.555 1
10301 ABHD16A 6_26 1.500e-01 130.74 1.862e-04 11.526 1
11280 C4A 6_26 2.070e-02 130.45 2.564e-05 11.326 1
10276 PRRT1 6_26 3.949e-03 114.02 4.275e-06 -10.061 1
4600 PGBD1 6_22 7.984e-03 105.03 7.962e-06 -10.231 1
9418 BTN3A2 6_20 1.175e-02 100.11 1.117e-05 10.797 2
10274 AGPAT1 6_26 2.536e-07 87.39 2.104e-10 -5.190 1
8739 HLA-DQB1 6_26 8.512e-09 86.31 6.976e-12 4.388 1
8834 HIST1H2BC 6_20 1.731e-02 86.12 1.415e-05 -9.909 1
11109 HLA-DQA2 6_26 5.668e-09 76.66 4.126e-12 -4.779 1
2539 TRIM38 6_20 1.234e-02 75.59 8.857e-06 -9.382 2
10265 HLA-DMA 6_27 3.249e-02 74.13 2.287e-05 -8.883 2
1618 PPP1R16B 20_23 7.066e-01 62.48 4.192e-04 7.738 1
9552 ZSCAN23 6_22 2.420e-02 59.59 1.369e-05 -8.732 2
10065 ZKSCAN8 6_22 7.065e-03 56.89 3.816e-06 7.473 1
10527 DDAH2 6_26 1.001e-07 55.18 5.245e-11 8.149 1
10292 HSPA1A 6_26 1.573e-07 54.93 8.203e-11 8.075 1
genename region_tag susie_pip mu2 PVE z num_eqtl
10995 HIST1H2BN 6_21 0.9534 149.81 0.0013562 13.396 1
4961 FURIN 15_42 0.9605 48.81 0.0004452 -6.990 1
1618 PPP1R16B 20_23 0.7066 62.48 0.0004192 7.738 1
10000 ZNF823 19_10 0.9754 38.28 0.0003545 6.143 1
2371 MDK 11_28 0.6752 49.92 0.0003201 -7.159 1
10307 APOM 6_26 0.2307 132.47 0.0002902 11.590 1
10309 BAG6 6_26 0.2307 132.47 0.0002902 11.590 1
8772 PDXDC1 16_15 0.9397 25.36 0.0002263 4.689 1
10295 VWA7 6_26 0.1734 132.13 0.0002176 11.555 1
9787 ANAPC7 12_67 0.5014 43.19 0.0002056 -6.557 2
11036 AC012074.2 2_15 0.9217 23.42 0.0002050 4.653 2
9960 NMB 15_39 0.5660 37.46 0.0002013 5.881 1
7095 LETM2 8_34 0.5252 39.76 0.0001983 -6.067 1
10301 ABHD16A 6_26 0.1500 130.74 0.0001862 11.526 1
12007 RP11-247A12.7 9_66 0.7964 23.34 0.0001765 4.536 2
6911 SLC51A 3_120 0.7982 22.50 0.0001705 -4.325 3
10577 AS3MT 10_66 0.3835 46.30 0.0001686 8.051 1
2418 VPS29 12_67 0.3991 42.62 0.0001615 -6.461 1
4118 TRPC4 13_14 0.5341 30.75 0.0001560 -4.275 2
5588 FAM135B 8_91 0.6482 24.06 0.0001481 -3.923 2
genename region_tag susie_pip mu2 PVE z num_eqtl
10995 HIST1H2BN 6_21 9.534e-01 149.81 1.356e-03 13.396 1
10307 APOM 6_26 2.307e-01 132.47 2.902e-04 11.590 1
10309 BAG6 6_26 2.307e-01 132.47 2.902e-04 11.590 1
10295 VWA7 6_26 1.734e-01 132.13 2.176e-04 11.555 1
10301 ABHD16A 6_26 1.500e-01 130.74 1.862e-04 11.526 1
11280 C4A 6_26 2.070e-02 130.45 2.564e-05 11.326 1
9418 BTN3A2 6_20 1.175e-02 100.11 1.117e-05 10.797 2
4600 PGBD1 6_22 7.984e-03 105.03 7.962e-06 -10.231 1
10276 PRRT1 6_26 3.949e-03 114.02 4.275e-06 -10.061 1
8834 HIST1H2BC 6_20 1.731e-02 86.12 1.415e-05 -9.909 1
2539 TRIM38 6_20 1.234e-02 75.59 8.857e-06 -9.382 2
10265 HLA-DMA 6_27 3.249e-02 74.13 2.287e-05 -8.883 2
9552 ZSCAN23 6_22 2.420e-02 59.59 1.369e-05 -8.732 2
6323 ZSCAN12 6_22 1.202e-02 52.09 5.946e-06 8.559 2
10527 DDAH2 6_26 1.001e-07 55.18 5.245e-11 8.149 1
10292 HSPA1A 6_26 1.573e-07 54.93 8.203e-11 8.075 1
10577 AS3MT 10_66 3.835e-01 46.30 1.686e-04 8.051 1
1618 PPP1R16B 20_23 7.066e-01 62.48 4.192e-04 7.738 1
10317 POU5F1 6_25 9.700e-03 41.80 3.850e-06 -7.485 1
10065 ZKSCAN8 6_22 7.065e-03 56.89 3.816e-06 7.473 1


[1] 0.01225
#number of genes for gene set enrichment
length(genes)
[1] 20
Uploading data to Enrichr... Done.
Querying GO_Biological_Process_2021... Done.
Querying GO_Cellular_Component_2021... Done.
Querying GO_Molecular_Function_2021... Done.
Parsing results... Done.
[1] "GO_Biological_Process_2021"

[1] Term Overlap Adjusted.P.value Genes
<0 rows> (or 0-length row.names)
[1] "GO_Cellular_Component_2021"

[1] Term Overlap Adjusted.P.value Genes
<0 rows> (or 0-length row.names)
[1] "GO_Molecular_Function_2021"

Term Overlap Adjusted.P.value
1 nerve growth factor binding (GO:0048406) 1/5 0.04536
2 protein phosphatase binding (GO:0019903) 2/123 0.04536
3 aldehyde-lyase activity (GO:0016832) 1/8 0.04536
4 acetylcholine receptor binding (GO:0033130) 1/8 0.04536
5 neurotrophin binding (GO:0043121) 1/8 0.04536
6 store-operated calcium channel activity (GO:0015279) 1/10 0.04536
7 inositol 1,4,5 trisphosphate binding (GO:0070679) 1/11 0.04536
Genes
1 FURIN
2 PPP1R16B;ANAPC7
3 PDXDC1
4 LY6H
5 FURIN
6 TRPC4
7 TRPC4
Description FDR Ratio BgRatio
3 Carcinoma 0.03906 2/8 164/9703
14 Animal Mammary Neoplasms 0.03906 2/8 142/9703
15 Mammary Neoplasms, Experimental 0.03906 2/8 155/9703
19 Anaplastic carcinoma 0.03906 2/8 163/9703
20 Carcinoma, Spindle-Cell 0.03906 2/8 163/9703
21 Undifferentiated carcinoma 0.03906 2/8 163/9703
22 Carcinomatosis 0.03906 2/8 163/9703
35 Mammary Carcinoma, Animal 0.03906 2/8 142/9703
27 Complications of Diabetes Mellitus 0.04218 1/8 11/9703
1 Anxiety Disorders 0.06252 1/8 44/9703
Loading the functional categories...
Loading the ID list...
Loading the reference list...
Performing the enrichment analysis...
Warning in oraEnrichment(interestGeneList, referenceGeneList, geneSet, minNum =
minNum, : No significant gene set is identified based on FDR 0.05!
NULL

#number of genes in known annotations
print(length(known_annotations))
[1] 130
#number of genes in known annotations with imputed expression
print(sum(known_annotations %in% ctwas_gene_res$genename))
[1] 46
#significance threshold for TWAS
print(sig_thresh)
[1] 4.532
#number of ctwas genes
length(ctwas_genes)
[1] 5
#number of TWAS genes
length(twas_genes)
[1] 105
#show novel genes (ctwas genes with not in TWAS genes)
ctwas_gene_res[ctwas_gene_res$genename %in% novel_genes,report_cols]
[1] genename region_tag susie_pip mu2 PVE z num_eqtl
<0 rows> (or 0-length row.names)
#sensitivity / recall
print(sensitivity)
ctwas TWAS
0.01538 0.07692
#specificity
print(specificity)
ctwas TWAS
0.9996 0.9889
#precision / PPV
print(precision)
ctwas TWAS
0.40000 0.09524

#number of genes in known annotations (with imputed expression)
print(length(known_annotations))
[1] 46
#number of bystander genes (with imputed expression)
print(length(unrelated_genes))
[1] 422
#subset results to genes in known annotations or bystanders
ctwas_gene_res_subset <- ctwas_gene_res[ctwas_gene_res$genename %in% c(known_annotations, unrelated_genes),]
#assign ctwas and TWAS genes
ctwas_genes <- ctwas_gene_res_subset$genename[ctwas_gene_res_subset$susie_pip>0.8]
twas_genes <- ctwas_gene_res_subset$genename[abs(ctwas_gene_res_subset$z)>sig_thresh]
#significance threshold for TWAS
print(sig_thresh)
[1] 4.532
#number of ctwas genes (in known annotations or bystanders)
length(ctwas_genes)
[1] 2
#number of TWAS genes (in known annotations or bystanders)
length(twas_genes)
[1] 29
#sensitivity / recall
sensitivity
ctwas TWAS
0.04348 0.21739
#specificity / (1 - False Positive Rate)
specificity
ctwas TWAS
1.000 0.955
#precision / PPV / (1 - False Discovery Rate)
precision
ctwas TWAS
1.0000 0.3448


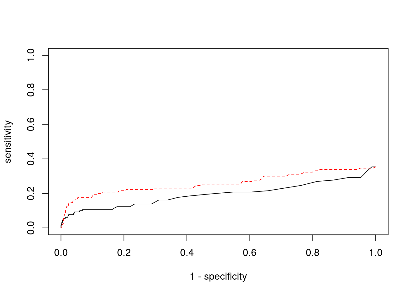
pip_range <- (0:1000)/1000
sensitivity <- rep(NA, length(pip_range))
specificity <- rep(NA, length(pip_range))
for (index in 1:length(pip_range)){
pip <- pip_range[index]
ctwas_genes <- ctwas_gene_res_subset$genename[ctwas_gene_res_subset$susie_pip>=pip]
sensitivity[index] <- sum(ctwas_genes %in% known_annotations)/length(known_annotations)
specificity[index] <- sum(!(unrelated_genes %in% ctwas_genes))/length(unrelated_genes)
}
plot(1-specificity, sensitivity, type="l", xlim=c(0,1), ylim=c(0,1), main="", xlab="1 - Specificity", ylab="Sensitivity")
title(expression("ROC Curve for cTWAS (black) and TWAS (" * phantom("red") * ")"))
title(expression(phantom("ROC Curve for cTWAS (black) and TWAS (") * "red" * phantom(")")), col.main="red")
sig_thresh_range <- seq(from=0, to=max(abs(ctwas_gene_res_subset$z)), length.out=length(pip_range))
for (index in 1:length(sig_thresh_range)){
sig_thresh_plot <- sig_thresh_range[index]
twas_genes <- ctwas_gene_res_subset$genename[abs(ctwas_gene_res_subset$z)>=sig_thresh_plot]
sensitivity[index] <- sum(twas_genes %in% known_annotations)/length(known_annotations)
specificity[index] <- sum(!(unrelated_genes %in% twas_genes))/length(unrelated_genes)
}
lines(1-specificity, sensitivity, xlim=c(0,1), ylim=c(0,1), col="red", lty=1)
abline(a=0,b=1,lty=3)
#add previously computed points from the analysis
ctwas_genes <- ctwas_gene_res_subset$genename[ctwas_gene_res_subset$susie_pip>0.8]
twas_genes <- ctwas_gene_res_subset$genename[abs(ctwas_gene_res_subset$z)>sig_thresh]
points(1-specificity_plot["ctwas"], sensitivity_plot["ctwas"], pch=21, bg="black")
points(1-specificity_plot["TWAS"], sensitivity_plot["TWAS"], pch=21, bg="red")

#table of outcomes for silver standard genes
-sort(-table(silver_standard_case))
silver_standard_case
Not Imputed Insignificant z-score Nearby SNP(s)
84 36 8
Detected (PIP > 0.8)
2
#show inconclusive genes
silver_standard_case[silver_standard_case=="Inconclusive"]
named character(0)

sessionInfo()
R version 3.6.1 (2019-07-05)
Platform: x86_64-pc-linux-gnu (64-bit)
Running under: Scientific Linux 7.4 (Nitrogen)
Matrix products: default
BLAS/LAPACK: /software/openblas-0.2.19-el7-x86_64/lib/libopenblas_haswellp-r0.2.19.so
locale:
[1] LC_CTYPE=en_US.UTF-8 LC_NUMERIC=C
[3] LC_TIME=en_US.UTF-8 LC_COLLATE=en_US.UTF-8
[5] LC_MONETARY=en_US.UTF-8 LC_MESSAGES=en_US.UTF-8
[7] LC_PAPER=en_US.UTF-8 LC_NAME=C
[9] LC_ADDRESS=C LC_TELEPHONE=C
[11] LC_MEASUREMENT=en_US.UTF-8 LC_IDENTIFICATION=C
attached base packages:
[1] parallel stats4 stats graphics grDevices utils datasets
[8] methods base
other attached packages:
[1] GenomicRanges_1.36.1 GenomeInfoDb_1.20.0 IRanges_2.18.1
[4] S4Vectors_0.22.1 BiocGenerics_0.30.0 biomaRt_2.40.1
[7] readxl_1.3.1 forcats_0.5.1 stringr_1.4.0
[10] dplyr_1.0.7 purrr_0.3.4 readr_2.1.1
[13] tidyr_1.1.4 tidyverse_1.3.1 tibble_3.1.6
[16] WebGestaltR_0.4.4 disgenet2r_0.99.2 enrichR_3.0
[19] cowplot_1.1.1 ggplot2_3.3.5 workflowr_1.7.0
loaded via a namespace (and not attached):
[1] ggbeeswarm_0.6.0 colorspace_2.0-2 rjson_0.2.20
[4] ellipsis_0.3.2 rprojroot_2.0.2 XVector_0.24.0
[7] fs_1.5.2 rstudioapi_0.13 farver_2.1.0
[10] ggrepel_0.9.1 bit64_4.0.5 AnnotationDbi_1.46.0
[13] fansi_1.0.2 lubridate_1.8.0 xml2_1.3.3
[16] codetools_0.2-16 doParallel_1.0.17 cachem_1.0.6
[19] knitr_1.36 jsonlite_1.7.2 apcluster_1.4.8
[22] Cairo_1.5-12.2 broom_0.7.10 dbplyr_2.1.1
[25] compiler_3.6.1 httr_1.4.2 backports_1.4.1
[28] assertthat_0.2.1 Matrix_1.2-18 fastmap_1.1.0
[31] cli_3.1.0 later_0.8.0 prettyunits_1.1.1
[34] htmltools_0.5.2 tools_3.6.1 igraph_1.2.10
[37] GenomeInfoDbData_1.2.1 gtable_0.3.0 glue_1.6.2
[40] reshape2_1.4.4 doRNG_1.8.2 Rcpp_1.0.8
[43] Biobase_2.44.0 cellranger_1.1.0 jquerylib_0.1.4
[46] vctrs_0.3.8 svglite_1.2.2 iterators_1.0.14
[49] xfun_0.29 ps_1.6.0 rvest_1.0.2
[52] lifecycle_1.0.1 rngtools_1.5.2 XML_3.99-0.3
[55] zlibbioc_1.30.0 getPass_0.2-2 scales_1.1.1
[58] vroom_1.5.7 hms_1.1.1 promises_1.0.1
[61] yaml_2.2.1 curl_4.3.2 memoise_2.0.1
[64] ggrastr_1.0.1 gdtools_0.1.9 stringi_1.7.6
[67] RSQLite_2.2.8 highr_0.9 foreach_1.5.2
[70] rlang_1.0.1 pkgconfig_2.0.3 bitops_1.0-7
[73] evaluate_0.14 lattice_0.20-38 labeling_0.4.2
[76] bit_4.0.4 processx_3.5.2 tidyselect_1.1.1
[79] plyr_1.8.6 magrittr_2.0.2 R6_2.5.1
[82] generics_0.1.1 DBI_1.1.2 pillar_1.6.4
[85] haven_2.4.3 whisker_0.3-2 withr_2.4.3
[88] RCurl_1.98-1.5 modelr_0.1.8 crayon_1.5.0
[91] utf8_1.2.2 tzdb_0.2.0 rmarkdown_2.11
[94] progress_1.2.2 grid_3.6.1 data.table_1.14.2
[97] blob_1.2.2 callr_3.7.0 git2r_0.26.1
[100] reprex_2.0.1 digest_0.6.29 httpuv_1.5.1
[103] munsell_0.5.0 beeswarm_0.2.3 vipor_0.4.5