Last updated: 2022-03-16
Checks: 5 2
Knit directory: cTWAS_analysis/
This reproducible R Markdown analysis was created with workflowr (version 1.7.0). The Checks tab describes the reproducibility checks that were applied when the results were created. The Past versions tab lists the development history.
The R Markdown is untracked by Git. To know which version of the R Markdown file created these results, you’ll want to first commit it to the Git repo. If you’re still working on the analysis, you can ignore this warning. When you’re finished, you can run wflow_publish to commit the R Markdown file and build the HTML.
Great job! The global environment was empty. Objects defined in the global environment can affect the analysis in your R Markdown file in unknown ways. For reproduciblity it’s best to always run the code in an empty environment.
The command set.seed(20211220) was run prior to running the code in the R Markdown file. Setting a seed ensures that any results that rely on randomness, e.g. subsampling or permutations, are reproducible.
Great job! Recording the operating system, R version, and package versions is critical for reproducibility.
Nice! There were no cached chunks for this analysis, so you can be confident that you successfully produced the results during this run.
Using absolute paths to the files within your workflowr project makes it difficult for you and others to run your code on a different machine. Change the absolute path(s) below to the suggested relative path(s) to make your code more reproducible.
| absolute | relative |
|---|---|
| /project2/xinhe/shengqian/cTWAS/cTWAS_analysis/data/ | data |
| /project2/xinhe/shengqian/cTWAS/cTWAS_analysis/code/ctwas_config.R | code/ctwas_config.R |
Great! You are using Git for version control. Tracking code development and connecting the code version to the results is critical for reproducibility.
The results in this page were generated with repository version d57314b. See the Past versions tab to see a history of the changes made to the R Markdown and HTML files.
Note that you need to be careful to ensure that all relevant files for the analysis have been committed to Git prior to generating the results (you can use wflow_publish or wflow_git_commit). workflowr only checks the R Markdown file, but you know if there are other scripts or data files that it depends on. Below is the status of the Git repository when the results were generated:
Ignored files:
Ignored: .ipynb_checkpoints/
Ignored: data/AF/
Untracked files:
Untracked: Rplot.png
Untracked: analysis/.ipynb_checkpoints/
Untracked: analysis/SCZ_2020_Brain_Amygdala.Rmd
Untracked: analysis/SCZ_2020_Brain_Anterior_cingulate_cortex_BA24.Rmd
Untracked: analysis/SCZ_2020_Brain_Caudate_basal_ganglia.Rmd
Untracked: analysis/SCZ_2020_Brain_Cerebellar_Hemisphere.Rmd
Untracked: analysis/SCZ_2020_Brain_Cerebellum.Rmd
Untracked: analysis/SCZ_2020_Brain_Hippocampus.Rmd
Untracked: analysis/SCZ_2020_Brain_Nucleus_accumbens_basal_ganglia.Rmd
Untracked: analysis/SCZ_2020_Brain_Spinal_cord_cervical_c-1.Rmd
Untracked: analysis/SCZ_2020_Brain_Substantia_nigra.Rmd
Untracked: code/.ipynb_checkpoints/
Untracked: code/AF_out/
Untracked: code/Autism_out/
Untracked: code/BMI_S_out/
Untracked: code/BMI_out/
Untracked: code/Glucose_out/
Untracked: code/LDL_S_out/
Untracked: code/SCZ_2014_EUR_out/
Untracked: code/SCZ_2020_out/
Untracked: code/SCZ_S_out/
Untracked: code/SCZ_out/
Untracked: code/T2D_out/
Untracked: code/ctwas_config.R
Untracked: code/mapping.R
Untracked: code/out/
Untracked: code/run_AF_analysis.sbatch
Untracked: code/run_AF_analysis.sh
Untracked: code/run_AF_ctwas_rss_LDR.R
Untracked: code/run_Autism_analysis.sbatch
Untracked: code/run_Autism_analysis.sh
Untracked: code/run_Autism_ctwas_rss_LDR.R
Untracked: code/run_BMI_analysis.sbatch
Untracked: code/run_BMI_analysis.sh
Untracked: code/run_BMI_analysis_S.sbatch
Untracked: code/run_BMI_analysis_S.sh
Untracked: code/run_BMI_ctwas_rss_LDR.R
Untracked: code/run_BMI_ctwas_rss_LDR_S.R
Untracked: code/run_Glucose_analysis.sbatch
Untracked: code/run_Glucose_analysis.sh
Untracked: code/run_Glucose_ctwas_rss_LDR.R
Untracked: code/run_LDL_analysis_S.sbatch
Untracked: code/run_LDL_analysis_S.sh
Untracked: code/run_LDL_ctwas_rss_LDR_S.R
Untracked: code/run_SCZ_2014_EUR_analysis.sbatch
Untracked: code/run_SCZ_2014_EUR_analysis.sh
Untracked: code/run_SCZ_2014_EUR_ctwas_rss_LDR.R
Untracked: code/run_SCZ_2020_analysis.sbatch
Untracked: code/run_SCZ_2020_analysis.sh
Untracked: code/run_SCZ_2020_ctwas_rss_LDR.R
Untracked: code/run_SCZ_analysis.sbatch
Untracked: code/run_SCZ_analysis.sh
Untracked: code/run_SCZ_analysis_S.sbatch
Untracked: code/run_SCZ_analysis_S.sh
Untracked: code/run_SCZ_ctwas_rss_LDR.R
Untracked: code/run_SCZ_ctwas_rss_LDR_S.R
Untracked: code/run_T2D_analysis.sbatch
Untracked: code/run_T2D_analysis.sh
Untracked: code/run_T2D_ctwas_rss_LDR.R
Untracked: code/wflow_build.R
Untracked: code/wflow_build.sbatch
Untracked: data/.ipynb_checkpoints/
Untracked: data/BMI/
Untracked: data/PGC3_SCZ_wave3_public.v2.tsv
Untracked: data/SCZ/
Untracked: data/SCZ_2014_EUR/
Untracked: data/SCZ_2020/
Untracked: data/SCZ_S/
Untracked: data/T2D/
Untracked: data/UKBB/
Untracked: data/UKBB_SNPs_Info.text
Untracked: data/gene_OMIM.txt
Untracked: data/gene_pip_0.8.txt
Untracked: data/mashr_Heart_Atrial_Appendage.db
Untracked: data/mashr_sqtl/
Untracked: data/summary_known_genes_annotations.xlsx
Untracked: data/untitled.txt
Unstaged changes:
Modified: analysis/SCZ_2020_Brain_Cortex.Rmd
Modified: analysis/SCZ_2020_Brain_Frontal_Cortex_BA9.Rmd
Modified: analysis/SCZ_2020_Brain_Hypothalamus.Rmd
Modified: analysis/SCZ_2020_Brain_Putamen_basal_ganglia.Rmd
Note that any generated files, e.g. HTML, png, CSS, etc., are not included in this status report because it is ok for generated content to have uncommitted changes.
There are no past versions. Publish this analysis with wflow_publish() to start tracking its development.
#number of imputed weights
nrow(qclist_all)
[1] 10286
#number of imputed weights by chromosome
table(qclist_all$chr)
1 2 3 4 5 6 7 8 9 10 11 12 13 14 15 16
1006 733 594 399 509 598 475 371 400 392 626 587 221 325 335 447
17 18 19 20 21 22
599 161 817 312 117 262
#number of imputed weights without missing variants
sum(qclist_all$nmiss==0)
[1] 8327
#proportion of imputed weights without missing variants
mean(qclist_all$nmiss==0)
[1] 0.8095

#estimated group prior
estimated_group_prior <- group_prior_rec[,ncol(group_prior_rec)]
names(estimated_group_prior) <- c("gene", "snp")
estimated_group_prior["snp"] <- estimated_group_prior["snp"]*thin #adjust parameter to account for thin argument
print(estimated_group_prior)
gene snp
0.0154121 0.0002731
#estimated group prior variance
estimated_group_prior_var <- group_prior_var_rec[,ncol(group_prior_var_rec)]
names(estimated_group_prior_var) <- c("gene", "snp")
print(estimated_group_prior_var)
gene snp
15.33 12.45
#report sample size
print(sample_size)
[1] 161405
#report group size
group_size <- c(nrow(ctwas_gene_res), n_snps)
print(group_size)
[1] 10286 7394310
#estimated group PVE
estimated_group_pve <- estimated_group_prior_var*estimated_group_prior*group_size/sample_size #check PVE calculation
names(estimated_group_pve) <- c("gene", "snp")
print(estimated_group_pve)
gene snp
0.01505 0.15578
#compare sum(PIP*mu2/sample_size) with above PVE calculation
c(sum(ctwas_gene_res$PVE),sum(ctwas_snp_res$PVE))
[1] 0.04957 0.79248

genename region_tag susie_pip mu2 PVE z num_eqtl
2362 B3GAT1 11_84 0.9924 37.59 0.0002311 -6.495 2
10169 ZNF823 19_10 0.9851 40.56 0.0002475 6.311 1
11222 AC012074.2 2_15 0.9837 30.89 0.0001883 5.474 2
5997 TMEM56 1_58 0.9321 31.82 0.0001838 -4.834 1
2451 TRPV4 12_66 0.9155 24.52 0.0001391 4.416 1
2135 TLE4 9_38 0.9110 26.81 0.0001513 -5.000 1
3264 SNX19 11_81 0.8837 35.54 0.0001946 6.046 3
10793 UBXN2B 8_45 0.8776 25.14 0.0001367 -4.429 2
4374 DAGLA 11_34 0.8749 21.89 0.0001186 -4.263 1
7247 PIGO 9_27 0.8659 24.34 0.0001306 4.667 1
1564 CD40 20_28 0.8547 22.95 0.0001215 -4.470 2
11179 HIST1H2BN 6_21 0.8455 184.26 0.0009652 13.182 1
10176 RPL12 9_66 0.8422 23.98 0.0001251 4.663 2
6535 ACE 17_37 0.8414 33.78 0.0001761 -5.802 1
5060 CPNE2 16_30 0.8396 21.17 0.0001101 -4.125 1
8947 TDRD6 6_35 0.7941 20.44 0.0001006 3.520 2
8675 LY6H 8_94 0.7935 28.77 0.0001415 5.143 1
5344 RIT1 1_76 0.7935 23.31 0.0001146 -4.023 1
6891 ANTXR2 4_54 0.7883 20.64 0.0001008 3.831 1
3212 BCL11A 2_40 0.7823 21.17 0.0001026 -4.103 1

genename region_tag susie_pip mu2 PVE z num_eqtl
111 CACNA2D2 3_35 7.165e-01 347.96 1.545e-03 -0.1392 1
2756 HEMK1 3_35 3.617e-04 297.72 6.672e-07 0.4441 1
12501 LINC02019 3_35 1.176e-04 247.07 1.800e-07 0.3204 2
2757 CISH 3_35 7.702e-05 244.27 1.166e-07 0.1383 1
11179 HIST1H2BN 6_21 8.455e-01 184.26 9.652e-04 13.1822 1
7065 TEX264 3_35 9.295e-05 121.51 6.998e-08 1.8775 1
7061 CAMKV 3_35 3.879e-04 118.19 2.840e-07 1.7107 1
9573 BTN3A2 6_20 1.722e-02 112.82 1.203e-05 9.2080 3
7063 MST1R 3_35 1.137e-02 112.82 7.946e-06 -4.0250 1
36 ZMYND10 3_35 3.134e-03 111.88 2.172e-06 -1.0310 1
9746 SLC38A3 3_35 2.053e-02 109.15 1.388e-05 -2.7756 1
8984 HIST1H2BC 6_20 1.627e-02 86.78 8.746e-06 -7.9928 1
10465 MSH5 6_27 4.464e-01 85.35 2.361e-04 10.7311 1
10436 HLA-DMA 6_27 5.637e-01 85.16 2.974e-04 -9.4080 1
10468 ABHD16A 6_27 3.851e-01 85.03 2.029e-04 10.7104 1
11458 C4A 6_27 3.384e-02 79.73 1.672e-05 10.4180 1
192 SEMA3B 3_35 8.086e-03 78.31 3.923e-06 1.4494 2
437 MPHOSPH9 12_75 1.091e-01 75.83 5.126e-05 9.4596 1
7058 RNF123 3_35 9.276e-05 75.75 4.353e-08 -2.3252 1
5903 ABCB9 12_75 6.975e-04 65.88 2.847e-07 8.6382 1
genename region_tag susie_pip mu2 PVE z num_eqtl
111 CACNA2D2 3_35 0.7165 347.96 0.0015447 -0.1392 1
11179 HIST1H2BN 6_21 0.8455 184.26 0.0009652 13.1822 1
10436 HLA-DMA 6_27 0.5637 85.16 0.0002974 -9.4080 1
10169 ZNF823 19_10 0.9851 40.56 0.0002475 6.3109 1
10465 MSH5 6_27 0.4464 85.35 0.0002361 10.7311 1
2362 B3GAT1 11_84 0.9924 37.59 0.0002311 -6.4953 2
10468 ABHD16A 6_27 0.3851 85.03 0.0002029 10.7104 1
7026 GNL3 3_36 0.5387 60.39 0.0002015 9.0984 2
3264 SNX19 11_81 0.8837 35.54 0.0001946 6.0459 3
8969 HARBI1 11_28 0.5259 59.61 0.0001942 8.0462 1
11222 AC012074.2 2_15 0.9837 30.89 0.0001883 5.4735 2
242 VSIG2 11_77 0.7263 41.40 0.0001863 -5.2191 1
5997 TMEM56 1_58 0.9321 31.82 0.0001838 -4.8337 1
6535 ACE 17_37 0.8414 33.78 0.0001761 -5.8021 1
5866 TAOK2 16_24 0.5441 51.21 0.0001726 7.4740 1
7515 PDIA3 15_16 0.6646 38.12 0.0001569 6.3137 1
2135 TLE4 9_38 0.9110 26.81 0.0001513 -4.9996 1
10458 SLC44A4 6_27 0.7186 33.90 0.0001509 6.8910 1
3591 CNOT1 16_31 0.7412 31.46 0.0001445 5.4349 1
8675 LY6H 8_94 0.7935 28.77 0.0001415 5.1432 1
genename region_tag susie_pip mu2 PVE z num_eqtl
11179 HIST1H2BN 6_21 0.8454839 184.26 9.652e-04 13.182 1
10465 MSH5 6_27 0.4463900 85.35 2.361e-04 10.731 1
10468 ABHD16A 6_27 0.3851216 85.03 2.029e-04 10.710 1
11458 C4A 6_27 0.0338413 79.73 1.672e-05 10.418 1
5778 CNNM2 10_66 0.2323050 53.26 7.666e-05 -9.686 1
437 MPHOSPH9 12_75 0.1091160 75.83 5.126e-05 9.460 1
10436 HLA-DMA 6_27 0.5636670 85.16 2.974e-04 -9.408 1
10444 RNF5 6_27 0.0045866 62.10 1.765e-06 9.276 1
9573 BTN3A2 6_20 0.0172168 112.82 1.203e-05 9.208 3
10469 LY6G5C 6_27 0.0018383 56.61 6.447e-07 9.105 1
7026 GNL3 3_36 0.5386542 60.39 2.015e-04 9.098 2
10473 APOM 6_27 0.0012429 58.04 4.470e-07 8.655 2
5903 ABCB9 12_75 0.0006975 65.88 2.847e-07 8.638 1
7705 SMIM4 3_36 0.0275029 54.84 9.344e-06 -8.494 1
8969 HARBI1 11_28 0.5259293 59.61 1.942e-04 8.046 1
8984 HIST1H2BC 6_20 0.0162680 86.78 8.746e-06 -7.993 1
2406 MDK 11_28 0.1835682 57.12 6.497e-05 -7.898 1
2778 NEK4 3_36 0.0156524 46.67 4.526e-06 7.898 1
10617 DNAJC19 3_111 0.0396696 56.33 1.385e-05 7.788 1
10520 TCTN1 12_67 0.3150257 57.66 1.125e-04 7.586 1


[1] 0.01361
#number of genes for gene set enrichment
length(genes)
[1] 73
Uploading data to Enrichr... Done.
Querying GO_Biological_Process_2021... Done.
Querying GO_Cellular_Component_2021... Done.
Querying GO_Molecular_Function_2021... Done.
Parsing results... Done.
[1] "GO_Biological_Process_2021"

[1] Term Overlap Adjusted.P.value Genes
<0 rows> (or 0-length row.names)
[1] "GO_Cellular_Component_2021"

[1] Term Overlap Adjusted.P.value Genes
<0 rows> (or 0-length row.names)
[1] "GO_Molecular_Function_2021"

Term
1 calcium-dependent protein serine/threonine phosphatase activity (GO:0004723)
2 mitogen-activated protein kinase kinase binding (GO:0031434)
Overlap Adjusted.P.value Genes
1 2/7 0.02013 PPP3R1;PPP3CC
2 2/8 0.02013 ACE;TAOK2
Description FDR Ratio BgRatio
30 Confusion 0.02608 1/31 1/9703
38 Dementia, Vascular 0.02608 1/31 1/9703
53 Gingival Hypertrophy 0.02608 1/31 1/9703
68 Infant, Premature, Diseases 0.02608 1/31 1/9703
104 Pneumonia, Viral 0.02608 1/31 1/9703
133 Left Ventricular Hypertrophy 0.02608 2/31 25/9703
155 Speech impairment 0.02608 1/31 1/9703
156 Derealization 0.02608 1/31 1/9703
169 Spondylometaphyseal dysplasia, Kozlowski type 0.02608 1/31 1/9703
170 Metatropic dwarfism 0.02608 1/31 1/9703
Loading the functional categories...
Loading the ID list...
Loading the reference list...
Performing the enrichment analysis...
Warning in oraEnrichment(interestGeneList, referenceGeneList, geneSet, minNum =
minNum, : No significant gene set is identified based on FDR 0.05!
NULL
Warning: 'timedatectl' indicates the non-existent timezone name 'n/a'
Warning: Your system is mis-configured: '/etc/localtime' is not a symlink
Warning: It is strongly recommended to set envionment variable TZ to 'America/
Chicago' (or equivalent)
Warning: ggrepel: 28 unlabeled data points (too many overlaps). Consider
increasing max.overlaps

#number of genes in known annotations
print(length(known_annotations))
[1] 130
#number of genes in known annotations with imputed expression
print(sum(known_annotations %in% ctwas_gene_res$genename))
[1] 51
#significance threshold for TWAS
print(sig_thresh)
[1] 4.571
#number of ctwas genes
length(ctwas_genes)
[1] 15
#number of TWAS genes
length(twas_genes)
[1] 140
#show novel genes (ctwas genes with not in TWAS genes)
ctwas_gene_res[ctwas_gene_res$genename %in% novel_genes,report_cols]
genename region_tag susie_pip mu2 PVE z num_eqtl
10793 UBXN2B 8_45 0.8776 25.14 0.0001367 -4.429 2
4374 DAGLA 11_34 0.8749 21.89 0.0001186 -4.263 1
2451 TRPV4 12_66 0.9155 24.52 0.0001391 4.416 1
5060 CPNE2 16_30 0.8396 21.17 0.0001101 -4.125 1
1564 CD40 20_28 0.8547 22.95 0.0001215 -4.470 2
#sensitivity / recall
print(sensitivity)
ctwas TWAS
0.01538 0.12308
#specificity
print(specificity)
ctwas TWAS
0.9987 0.9879
#precision / PPV
print(precision)
ctwas TWAS
0.1333 0.1143

#number of genes in known annotations (with imputed expression)
print(length(known_annotations))
[1] 51
#number of bystander genes (with imputed expression)
print(length(unrelated_genes))
[1] 610
#subset results to genes in known annotations or bystanders
ctwas_gene_res_subset <- ctwas_gene_res[ctwas_gene_res$genename %in% c(known_annotations, unrelated_genes),]
#assign ctwas and TWAS genes
ctwas_genes <- ctwas_gene_res_subset$genename[ctwas_gene_res_subset$susie_pip>0.8]
twas_genes <- ctwas_gene_res_subset$genename[abs(ctwas_gene_res_subset$z)>sig_thresh]
#significance threshold for TWAS
print(sig_thresh)
[1] 4.571
#number of ctwas genes (in known annotations or bystanders)
length(ctwas_genes)
[1] 2
#number of TWAS genes (in known annotations or bystanders)
length(twas_genes)
[1] 40
#sensitivity / recall
sensitivity
ctwas TWAS
0.03922 0.31373
#specificity / (1 - False Positive Rate)
specificity
ctwas TWAS
1.0000 0.9607
#precision / PPV / (1 - False Discovery Rate)
precision
ctwas TWAS
1.0 0.4


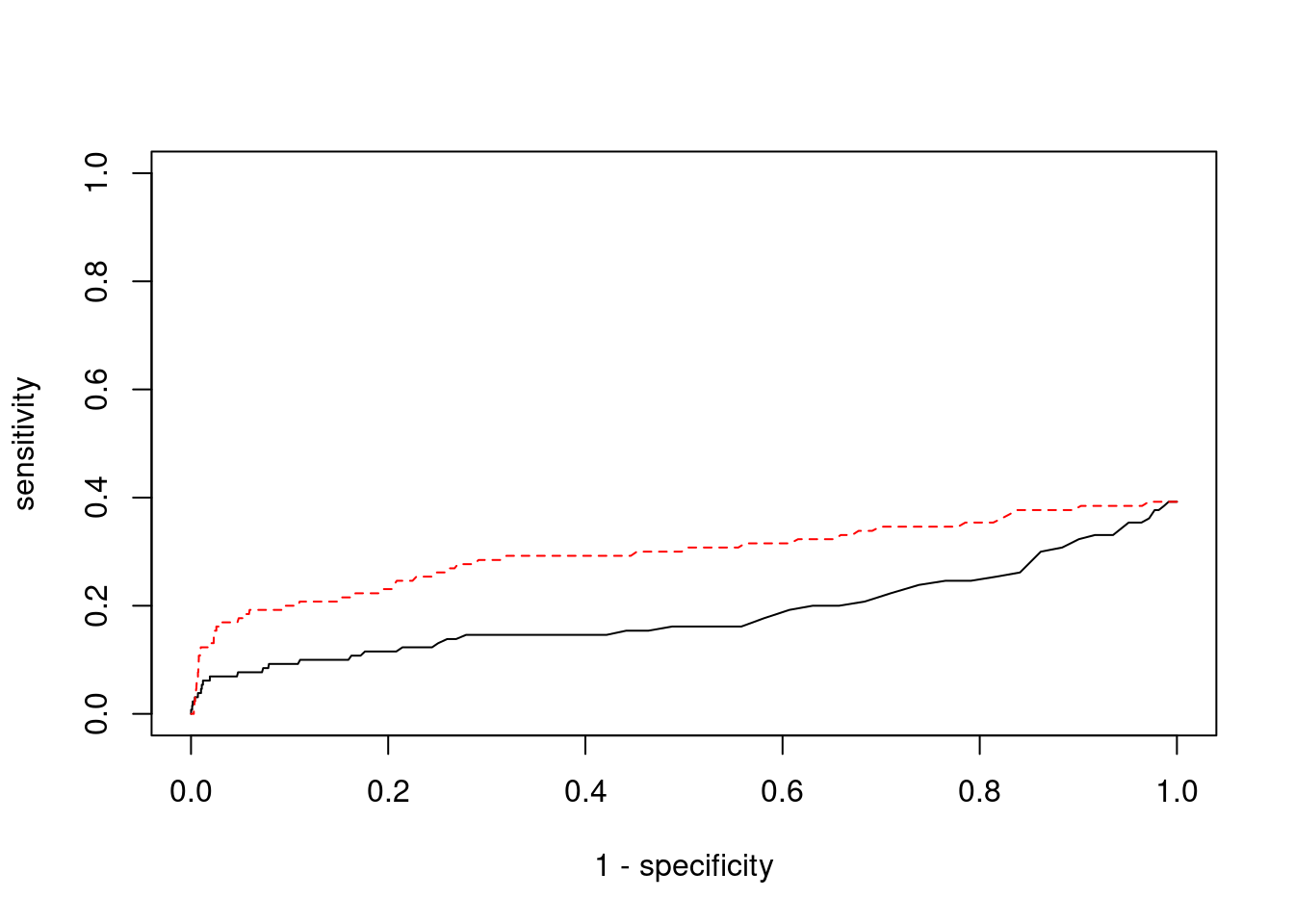
pip_range <- (0:1000)/1000
sensitivity <- rep(NA, length(pip_range))
specificity <- rep(NA, length(pip_range))
for (index in 1:length(pip_range)){
pip <- pip_range[index]
ctwas_genes <- ctwas_gene_res_subset$genename[ctwas_gene_res_subset$susie_pip>=pip]
sensitivity[index] <- sum(ctwas_genes %in% known_annotations)/length(known_annotations)
specificity[index] <- sum(!(unrelated_genes %in% ctwas_genes))/length(unrelated_genes)
}
plot(1-specificity, sensitivity, type="l", xlim=c(0,1), ylim=c(0,1), main="", xlab="1 - Specificity", ylab="Sensitivity")
title(expression("ROC Curve for cTWAS (black) and TWAS (" * phantom("red") * ")"))
title(expression(phantom("ROC Curve for cTWAS (black) and TWAS (") * "red" * phantom(")")), col.main="red")
sig_thresh_range <- seq(from=0, to=max(abs(ctwas_gene_res_subset$z)), length.out=length(pip_range))
for (index in 1:length(sig_thresh_range)){
sig_thresh_plot <- sig_thresh_range[index]
twas_genes <- ctwas_gene_res_subset$genename[abs(ctwas_gene_res_subset$z)>=sig_thresh_plot]
sensitivity[index] <- sum(twas_genes %in% known_annotations)/length(known_annotations)
specificity[index] <- sum(!(unrelated_genes %in% twas_genes))/length(unrelated_genes)
}
lines(1-specificity, sensitivity, xlim=c(0,1), ylim=c(0,1), col="red", lty=1)
abline(a=0,b=1,lty=3)
#add previously computed points from the analysis
ctwas_genes <- ctwas_gene_res_subset$genename[ctwas_gene_res_subset$susie_pip>0.8]
twas_genes <- ctwas_gene_res_subset$genename[abs(ctwas_gene_res_subset$z)>sig_thresh]
points(1-specificity_plot["ctwas"], sensitivity_plot["ctwas"], pch=21, bg="black")
points(1-specificity_plot["TWAS"], sensitivity_plot["TWAS"], pch=21, bg="red")

#table of outcomes for silver standard genes
-sort(-table(silver_standard_case))
silver_standard_case
Not Imputed Insignificant z-score Nearby SNP(s)
79 35 14
Detected (PIP > 0.8)
2
#show inconclusive genes
silver_standard_case[silver_standard_case=="Inconclusive"]
named character(0)

sessionInfo()
R version 3.6.1 (2019-07-05)
Platform: x86_64-pc-linux-gnu (64-bit)
Running under: Scientific Linux 7.4 (Nitrogen)
Matrix products: default
BLAS/LAPACK: /software/openblas-0.2.19-el7-x86_64/lib/libopenblas_haswellp-r0.2.19.so
locale:
[1] LC_CTYPE=en_US.UTF-8 LC_NUMERIC=C
[3] LC_TIME=en_US.UTF-8 LC_COLLATE=en_US.UTF-8
[5] LC_MONETARY=en_US.UTF-8 LC_MESSAGES=en_US.UTF-8
[7] LC_PAPER=en_US.UTF-8 LC_NAME=C
[9] LC_ADDRESS=C LC_TELEPHONE=C
[11] LC_MEASUREMENT=en_US.UTF-8 LC_IDENTIFICATION=C
attached base packages:
[1] parallel stats4 stats graphics grDevices utils datasets
[8] methods base
other attached packages:
[1] GenomicRanges_1.36.1 GenomeInfoDb_1.20.0 IRanges_2.18.1
[4] S4Vectors_0.22.1 BiocGenerics_0.30.0 biomaRt_2.40.1
[7] readxl_1.3.1 forcats_0.5.1 stringr_1.4.0
[10] dplyr_1.0.7 purrr_0.3.4 readr_2.1.1
[13] tidyr_1.1.4 tidyverse_1.3.1 tibble_3.1.6
[16] WebGestaltR_0.4.4 disgenet2r_0.99.2 enrichR_3.0
[19] cowplot_1.1.1 ggplot2_3.3.5 workflowr_1.7.0
loaded via a namespace (and not attached):
[1] ggbeeswarm_0.6.0 colorspace_2.0-2 rjson_0.2.20
[4] ellipsis_0.3.2 rprojroot_2.0.2 XVector_0.24.0
[7] fs_1.5.2 rstudioapi_0.13 farver_2.1.0
[10] ggrepel_0.9.1 bit64_4.0.5 AnnotationDbi_1.46.0
[13] fansi_1.0.2 lubridate_1.8.0 xml2_1.3.3
[16] codetools_0.2-16 doParallel_1.0.17 cachem_1.0.6
[19] knitr_1.36 jsonlite_1.7.2 apcluster_1.4.8
[22] Cairo_1.5-12.2 broom_0.7.10 dbplyr_2.1.1
[25] compiler_3.6.1 httr_1.4.2 backports_1.4.1
[28] assertthat_0.2.1 Matrix_1.2-18 fastmap_1.1.0
[31] cli_3.1.0 later_0.8.0 prettyunits_1.1.1
[34] htmltools_0.5.2 tools_3.6.1 igraph_1.2.10
[37] GenomeInfoDbData_1.2.1 gtable_0.3.0 glue_1.6.2
[40] reshape2_1.4.4 doRNG_1.8.2 Rcpp_1.0.8
[43] Biobase_2.44.0 cellranger_1.1.0 jquerylib_0.1.4
[46] vctrs_0.3.8 svglite_1.2.2 iterators_1.0.14
[49] xfun_0.29 ps_1.6.0 rvest_1.0.2
[52] lifecycle_1.0.1 rngtools_1.5.2 XML_3.99-0.3
[55] zlibbioc_1.30.0 getPass_0.2-2 scales_1.1.1
[58] vroom_1.5.7 hms_1.1.1 promises_1.0.1
[61] yaml_2.2.1 curl_4.3.2 memoise_2.0.1
[64] ggrastr_1.0.1 gdtools_0.1.9 stringi_1.7.6
[67] RSQLite_2.2.8 highr_0.9 foreach_1.5.2
[70] rlang_1.0.1 pkgconfig_2.0.3 bitops_1.0-7
[73] evaluate_0.14 lattice_0.20-38 labeling_0.4.2
[76] bit_4.0.4 processx_3.5.2 tidyselect_1.1.1
[79] plyr_1.8.6 magrittr_2.0.2 R6_2.5.1
[82] generics_0.1.1 DBI_1.1.2 pillar_1.6.4
[85] haven_2.4.3 whisker_0.3-2 withr_2.4.3
[88] RCurl_1.98-1.5 modelr_0.1.8 crayon_1.5.0
[91] utf8_1.2.2 tzdb_0.2.0 rmarkdown_2.11
[94] progress_1.2.2 grid_3.6.1 data.table_1.14.2
[97] blob_1.2.2 callr_3.7.0 git2r_0.26.1
[100] reprex_2.0.1 digest_0.6.29 httpuv_1.5.1
[103] munsell_0.5.0 beeswarm_0.2.3 vipor_0.4.5