Last updated: 2022-03-16
Checks: 5 2
Knit directory: cTWAS_analysis/
This reproducible R Markdown analysis was created with workflowr (version 1.7.0). The Checks tab describes the reproducibility checks that were applied when the results were created. The Past versions tab lists the development history.
The R Markdown file has unstaged changes. To know which version of the R Markdown file created these results, you’ll want to first commit it to the Git repo. If you’re still working on the analysis, you can ignore this warning. When you’re finished, you can run wflow_publish to commit the R Markdown file and build the HTML.
Great job! The global environment was empty. Objects defined in the global environment can affect the analysis in your R Markdown file in unknown ways. For reproduciblity it’s best to always run the code in an empty environment.
The command set.seed(20211220) was run prior to running the code in the R Markdown file. Setting a seed ensures that any results that rely on randomness, e.g. subsampling or permutations, are reproducible.
Great job! Recording the operating system, R version, and package versions is critical for reproducibility.
Nice! There were no cached chunks for this analysis, so you can be confident that you successfully produced the results during this run.
Using absolute paths to the files within your workflowr project makes it difficult for you and others to run your code on a different machine. Change the absolute path(s) below to the suggested relative path(s) to make your code more reproducible.
| absolute | relative |
|---|---|
| /project2/xinhe/shengqian/cTWAS/cTWAS_analysis/data/ | data |
| /project2/xinhe/shengqian/cTWAS/cTWAS_analysis/code/ctwas_config.R | code/ctwas_config.R |
Great! You are using Git for version control. Tracking code development and connecting the code version to the results is critical for reproducibility.
The results in this page were generated with repository version d57314b. See the Past versions tab to see a history of the changes made to the R Markdown and HTML files.
Note that you need to be careful to ensure that all relevant files for the analysis have been committed to Git prior to generating the results (you can use wflow_publish or wflow_git_commit). workflowr only checks the R Markdown file, but you know if there are other scripts or data files that it depends on. Below is the status of the Git repository when the results were generated:
Ignored files:
Ignored: .ipynb_checkpoints/
Ignored: data/AF/
Untracked files:
Untracked: Rplot.png
Untracked: analysis/.ipynb_checkpoints/
Untracked: analysis/SCZ_2020_Brain_Amygdala.Rmd
Untracked: analysis/SCZ_2020_Brain_Anterior_cingulate_cortex_BA24.Rmd
Untracked: analysis/SCZ_2020_Brain_Caudate_basal_ganglia.Rmd
Untracked: analysis/SCZ_2020_Brain_Cerebellar_Hemisphere.Rmd
Untracked: analysis/SCZ_2020_Brain_Cerebellum.Rmd
Untracked: analysis/SCZ_2020_Brain_Hippocampus.Rmd
Untracked: analysis/SCZ_2020_Brain_Nucleus_accumbens_basal_ganglia.Rmd
Untracked: analysis/SCZ_2020_Brain_Spinal_cord_cervical_c-1.Rmd
Untracked: analysis/SCZ_2020_Brain_Substantia_nigra.Rmd
Untracked: code/.ipynb_checkpoints/
Untracked: code/AF_out/
Untracked: code/Autism_out/
Untracked: code/BMI_S_out/
Untracked: code/BMI_out/
Untracked: code/Glucose_out/
Untracked: code/LDL_S_out/
Untracked: code/SCZ_2014_EUR_out/
Untracked: code/SCZ_2020_out/
Untracked: code/SCZ_S_out/
Untracked: code/SCZ_out/
Untracked: code/T2D_out/
Untracked: code/ctwas_config.R
Untracked: code/mapping.R
Untracked: code/out/
Untracked: code/run_AF_analysis.sbatch
Untracked: code/run_AF_analysis.sh
Untracked: code/run_AF_ctwas_rss_LDR.R
Untracked: code/run_Autism_analysis.sbatch
Untracked: code/run_Autism_analysis.sh
Untracked: code/run_Autism_ctwas_rss_LDR.R
Untracked: code/run_BMI_analysis.sbatch
Untracked: code/run_BMI_analysis.sh
Untracked: code/run_BMI_analysis_S.sbatch
Untracked: code/run_BMI_analysis_S.sh
Untracked: code/run_BMI_ctwas_rss_LDR.R
Untracked: code/run_BMI_ctwas_rss_LDR_S.R
Untracked: code/run_Glucose_analysis.sbatch
Untracked: code/run_Glucose_analysis.sh
Untracked: code/run_Glucose_ctwas_rss_LDR.R
Untracked: code/run_LDL_analysis_S.sbatch
Untracked: code/run_LDL_analysis_S.sh
Untracked: code/run_LDL_ctwas_rss_LDR_S.R
Untracked: code/run_SCZ_2014_EUR_analysis.sbatch
Untracked: code/run_SCZ_2014_EUR_analysis.sh
Untracked: code/run_SCZ_2014_EUR_ctwas_rss_LDR.R
Untracked: code/run_SCZ_2020_analysis.sbatch
Untracked: code/run_SCZ_2020_analysis.sh
Untracked: code/run_SCZ_2020_ctwas_rss_LDR.R
Untracked: code/run_SCZ_analysis.sbatch
Untracked: code/run_SCZ_analysis.sh
Untracked: code/run_SCZ_analysis_S.sbatch
Untracked: code/run_SCZ_analysis_S.sh
Untracked: code/run_SCZ_ctwas_rss_LDR.R
Untracked: code/run_SCZ_ctwas_rss_LDR_S.R
Untracked: code/run_T2D_analysis.sbatch
Untracked: code/run_T2D_analysis.sh
Untracked: code/run_T2D_ctwas_rss_LDR.R
Untracked: code/wflow_build.R
Untracked: code/wflow_build.sbatch
Untracked: data/.ipynb_checkpoints/
Untracked: data/BMI/
Untracked: data/PGC3_SCZ_wave3_public.v2.tsv
Untracked: data/SCZ/
Untracked: data/SCZ_2014_EUR/
Untracked: data/SCZ_2020/
Untracked: data/SCZ_S/
Untracked: data/T2D/
Untracked: data/UKBB/
Untracked: data/UKBB_SNPs_Info.text
Untracked: data/gene_OMIM.txt
Untracked: data/gene_pip_0.8.txt
Untracked: data/mashr_Heart_Atrial_Appendage.db
Untracked: data/mashr_sqtl/
Untracked: data/summary_known_genes_annotations.xlsx
Untracked: data/untitled.txt
Unstaged changes:
Modified: analysis/SCZ_2020_Brain_Cortex.Rmd
Modified: analysis/SCZ_2020_Brain_Frontal_Cortex_BA9.Rmd
Modified: analysis/SCZ_2020_Brain_Hypothalamus.Rmd
Modified: analysis/SCZ_2020_Brain_Putamen_basal_ganglia.Rmd
Note that any generated files, e.g. HTML, png, CSS, etc., are not included in this status report because it is ok for generated content to have uncommitted changes.
These are the previous versions of the repository in which changes were made to the R Markdown (analysis/SCZ_2020_Brain_Cortex.Rmd) and HTML (docs/SCZ_2020_Brain_Cortex.html) files. If you’ve configured a remote Git repository (see ?wflow_git_remote), click on the hyperlinks in the table below to view the files as they were in that past version.
| File | Version | Author | Date | Message |
|---|---|---|---|---|
| Rmd | d57314b | sq-96 | 2022-03-15 | update |
#number of imputed weights
nrow(qclist_all)
[1] 11781
#number of imputed weights by chromosome
table(qclist_all$chr)
1 2 3 4 5 6 7 8 9 10 11 12 13 14 15 16
1186 815 684 457 554 665 563 437 444 482 707 665 228 388 388 542
17 18 19 20 21 22
708 183 889 368 129 299
#number of imputed weights without missing variants
sum(qclist_all$nmiss==0)
[1] 9161
#proportion of imputed weights without missing variants
mean(qclist_all$nmiss==0)
[1] 0.7776

#estimated group prior
estimated_group_prior <- group_prior_rec[,ncol(group_prior_rec)]
names(estimated_group_prior) <- c("gene", "snp")
estimated_group_prior["snp"] <- estimated_group_prior["snp"]*thin #adjust parameter to account for thin argument
print(estimated_group_prior)
gene snp
0.0140025 0.0002678
#estimated group prior variance
estimated_group_prior_var <- group_prior_var_rec[,ncol(group_prior_var_rec)]
names(estimated_group_prior_var) <- c("gene", "snp")
print(estimated_group_prior_var)
gene snp
12.74 12.76
#report sample size
print(sample_size)
[1] 161405
#report group size
group_size <- c(nrow(ctwas_gene_res), n_snps)
print(group_size)
[1] 11781 7394310
#estimated group PVE
estimated_group_pve <- estimated_group_prior_var*estimated_group_prior*group_size/sample_size #check PVE calculation
names(estimated_group_pve) <- c("gene", "snp")
print(estimated_group_pve)
gene snp
0.01302 0.15660
#compare sum(PIP*mu2/sample_size) with above PVE calculation
c(sum(ctwas_gene_res$PVE),sum(ctwas_snp_res$PVE))
[1] 0.05811 0.78306

genename region_tag susie_pip mu2 PVE z num_eqtl
11314 ZNF823 19_10 0.9923 41.26 2.537e-04 6.363 2
3258 EDEM3 1_92 0.9809 26.07 1.584e-04 4.945 2
735 RASSF1 3_35 0.9562 892.21 5.285e-03 4.532 1
13518 LINC01415 18_30 0.9411 41.13 2.398e-04 -7.082 2
2734 TRPV4 12_66 0.9077 24.28 1.365e-04 4.416 1
2380 TLE4 9_38 0.8988 26.30 1.465e-04 5.000 1
2569 MMD 17_32 0.8833 24.70 1.352e-04 -4.451 1
5055 RCBTB1 13_21 0.8808 30.32 1.655e-04 -5.360 2
8644 SNTB2 16_37 0.8304 26.15 1.345e-04 -4.819 2
5640 CPNE2 16_30 0.8261 20.99 1.074e-04 -4.125 1
13209 CEP95 17_37 0.8207 19.35 9.838e-05 -3.800 1
7241 ACE 17_37 0.8149 32.77 1.655e-04 -5.802 1
7703 SERPINI1 3_103 0.7903 23.11 1.132e-04 -4.181 2
8418 CACNB3 12_31 0.7860 20.76 1.011e-04 -3.513 1
2091 LIN7B 19_34 0.7849 22.58 1.098e-04 4.444 1
9648 LY6H 8_94 0.7779 28.94 1.395e-04 5.143 1
4646 ACY3 11_37 0.7687 19.29 9.188e-05 -3.356 2
3457 ABCG2 4_60 0.7625 21.93 1.036e-04 -3.954 1
3565 SLF2 10_64 0.7605 23.55 1.110e-04 -4.404 1
8593 TNXB 6_26 0.7500 26.01 1.209e-04 2.804 1

genename region_tag susie_pip mu2 PVE z num_eqtl
735 RASSF1 3_35 9.562e-01 892.2 5.285e-03 4.5324 1
9919 LSMEM2 3_35 2.499e-01 889.5 1.377e-03 4.2709 1
10857 SLC38A3 3_35 3.204e-03 874.9 1.737e-05 -0.8019 1
11 SEMA3F 3_35 6.736e-07 237.5 9.911e-10 0.2075 1
1243 C3orf18 3_35 0.000e+00 203.9 0.000e+00 -0.4916 1
40 RBM6 3_35 3.731e-01 196.5 4.541e-04 4.4688 1
30 RBM5 3_35 1.060e-02 194.3 1.276e-05 3.9872 1
3064 HEMK1 3_35 0.000e+00 179.5 0.000e+00 0.4441 1
7839 CAMKV 3_35 8.993e-08 164.4 9.158e-11 -1.7107 1
10692 HYAL3 3_35 7.226e-13 157.6 7.056e-16 -2.5066 1
12740 NAT6 3_35 0.000e+00 151.3 0.000e+00 0.8525 3
7841 MST1R 3_35 2.688e-05 149.6 2.492e-08 -4.0250 1
11645 LY6G6C 6_26 3.513e-01 114.9 2.501e-04 10.7311 1
12783 C4A 6_26 2.100e-01 114.4 1.489e-04 10.6645 3
11634 ZBTB12 6_26 2.292e-01 113.9 1.617e-04 10.6827 1
11907 CLIC1 6_26 3.574e-02 113.6 2.515e-05 10.8749 2
216 SEMA3B 3_35 0.000e+00 113.2 0.000e+00 0.6250 1
13933 LINC02019 3_35 0.000e+00 108.7 0.000e+00 0.3114 2
12122 C4B 6_26 1.677e-02 108.1 1.123e-05 -10.4180 1
12395 CYP21A2 6_26 8.142e-03 107.6 5.426e-06 -10.4143 1
genename region_tag susie_pip mu2 PVE z num_eqtl
735 RASSF1 3_35 0.9562 892.21 0.0052854 4.532 1
9919 LSMEM2 3_35 0.2499 889.53 0.0013775 4.271 1
40 RBM6 3_35 0.3731 196.45 0.0004541 4.469 1
7799 GNL3 3_36 0.7014 65.32 0.0002839 9.429 1
11314 ZNF823 19_10 0.9923 41.26 0.0002537 6.363 2
11645 LY6G6C 6_26 0.3513 114.93 0.0002501 10.731 1
13518 LINC01415 18_30 0.9411 41.13 0.0002398 -7.082 2
3165 SF3B1 2_117 0.6745 51.54 0.0002154 7.605 1
12719 HLA-DMB 6_27 0.3690 76.90 0.0001758 -9.380 1
5055 RCBTB1 13_21 0.8808 30.32 0.0001655 -5.360 2
7241 ACE 17_37 0.8149 32.77 0.0001655 -5.802 1
8410 GATAD2A 19_16 0.5065 52.13 0.0001636 -7.419 1
11634 ZBTB12 6_26 0.2292 113.88 0.0001617 10.683 1
3258 EDEM3 1_92 0.9809 26.07 0.0001584 4.945 2
12783 C4A 6_26 0.2100 114.43 0.0001489 10.665 3
2380 TLE4 9_38 0.8988 26.30 0.0001465 5.000 1
3616 SNX19 11_81 0.6390 35.62 0.0001410 5.808 2
9648 LY6H 8_94 0.7779 28.94 0.0001395 5.143 1
376 CUL3 2_132 0.6169 36.03 0.0001377 -6.181 1
2734 TRPV4 12_66 0.9077 24.28 0.0001365 4.416 1
genename region_tag susie_pip mu2 PVE z num_eqtl
11907 CLIC1 6_26 0.0357375 113.57 2.515e-05 10.875 2
11645 LY6G6C 6_26 0.3512849 114.93 2.501e-04 10.731 1
11634 ZBTB12 6_26 0.2291866 113.88 1.617e-04 10.683 1
12783 C4A 6_26 0.2099955 114.43 1.489e-04 10.665 3
12122 C4B 6_26 0.0167691 108.07 1.123e-05 -10.418 1
12395 CYP21A2 6_26 0.0081419 107.57 5.426e-06 -10.414 1
2927 PRSS16 6_21 0.1397855 104.23 9.027e-05 -10.014 2
958 NT5C2 10_66 0.2328363 42.26 6.096e-05 -9.705 1
6413 CNNM2 10_66 0.1764505 41.45 4.532e-05 -9.686 1
7799 GNL3 3_36 0.7013995 65.32 2.839e-04 9.429 1
12719 HLA-DMB 6_27 0.3689835 76.90 1.758e-04 -9.380 1
11611 HLA-DMA 6_27 0.1213633 73.52 5.528e-05 -9.171 2
11621 RNF5 6_26 0.0044675 73.14 2.024e-06 9.003 2
3085 SPCS1 3_36 0.0443594 62.45 1.716e-05 -8.936 1
11649 GPANK1 6_26 0.0017242 74.40 7.947e-07 8.879 1
6550 ABCB9 12_75 0.0007927 62.49 3.069e-07 8.638 1
2756 OGFOD2 12_75 0.0007535 62.22 2.905e-07 8.627 1
8561 SMIM4 3_36 0.0208015 56.08 7.227e-06 -8.494 1
11620 AGER 6_26 0.0014929 56.30 5.208e-07 -8.415 2
9472 ATG13 11_29 0.3160288 60.68 1.188e-04 -8.046 1


[1] 0.01596
#number of genes for gene set enrichment
length(genes)
[1] 65
Uploading data to Enrichr... Done.
Querying GO_Biological_Process_2021... Done.
Querying GO_Cellular_Component_2021... Done.
Querying GO_Molecular_Function_2021... Done.
Parsing results... Done.
[1] "GO_Biological_Process_2021"

[1] Term Overlap Adjusted.P.value Genes
<0 rows> (or 0-length row.names)
[1] "GO_Cellular_Component_2021"

[1] Term Overlap Adjusted.P.value Genes
<0 rows> (or 0-length row.names)
[1] "GO_Molecular_Function_2021"

[1] Term Overlap Adjusted.P.value Genes
<0 rows> (or 0-length row.names)
Description FDR Ratio BgRatio
20 Bone Diseases 0.02505 2/27 10/9703
37 Confusion 0.02505 1/27 1/9703
59 Gingival Hypertrophy 0.02505 1/27 1/9703
77 Infant, Premature, Diseases 0.02505 1/27 1/9703
85 Kienbock Disease 0.02505 1/27 1/9703
104 Maxillary Diseases 0.02505 1/27 1/9703
116 Avascular necrosis of bone 0.02505 1/27 1/9703
120 Nose Neoplasms 0.02505 1/27 1/9703
125 Bone necrosis 0.02505 1/27 1/9703
132 Pneumonia, Viral 0.02505 1/27 1/9703
Loading the functional categories...
Loading the ID list...
Loading the reference list...
Performing the enrichment analysis...
Warning in oraEnrichment(interestGeneList, referenceGeneList, geneSet, minNum =
minNum, : No significant gene set is identified based on FDR 0.05!
NULL
Warning: ggrepel: 24 unlabeled data points (too many overlaps). Consider
increasing max.overlaps

#number of genes in known annotations
print(length(known_annotations))
[1] 130
#number of genes in known annotations with imputed expression
print(sum(known_annotations %in% ctwas_gene_res$genename))
[1] 66
#significance threshold for TWAS
print(sig_thresh)
[1] 4.599
#number of ctwas genes
length(ctwas_genes)
[1] 12
#number of TWAS genes
length(twas_genes)
[1] 188
#show novel genes (ctwas genes with not in TWAS genes)
ctwas_gene_res[ctwas_gene_res$genename %in% novel_genes,report_cols]
genename region_tag susie_pip mu2 PVE z num_eqtl
735 RASSF1 3_35 0.9562 892.21 5.285e-03 4.532 1
2734 TRPV4 12_66 0.9077 24.28 1.365e-04 4.416 1
5640 CPNE2 16_30 0.8261 20.99 1.074e-04 -4.125 1
2569 MMD 17_32 0.8833 24.70 1.352e-04 -4.451 1
13209 CEP95 17_37 0.8207 19.35 9.838e-05 -3.800 1
#sensitivity / recall
print(sensitivity)
ctwas TWAS
0.01538 0.17692
#specificity
print(specificity)
ctwas TWAS
0.9991 0.9859
#precision / PPV
print(precision)
ctwas TWAS
0.1667 0.1223

#number of genes in known annotations (with imputed expression)
print(length(known_annotations))
[1] 66
#number of bystander genes (with imputed expression)
print(length(unrelated_genes))
[1] 852
#subset results to genes in known annotations or bystanders
ctwas_gene_res_subset <- ctwas_gene_res[ctwas_gene_res$genename %in% c(known_annotations, unrelated_genes),]
#assign ctwas and TWAS genes
ctwas_genes <- ctwas_gene_res_subset$genename[ctwas_gene_res_subset$susie_pip>0.8]
twas_genes <- ctwas_gene_res_subset$genename[abs(ctwas_gene_res_subset$z)>sig_thresh]
#significance threshold for TWAS
print(sig_thresh)
[1] 4.599
#number of ctwas genes (in known annotations or bystanders)
length(ctwas_genes)
[1] 3
#number of TWAS genes (in known annotations or bystanders)
length(twas_genes)
[1] 72
#sensitivity / recall
sensitivity
ctwas TWAS
0.0303 0.3485
#specificity / (1 - False Positive Rate)
specificity
ctwas TWAS
0.9988 0.9425
#precision / PPV / (1 - False Discovery Rate)
precision
ctwas TWAS
0.6667 0.3194


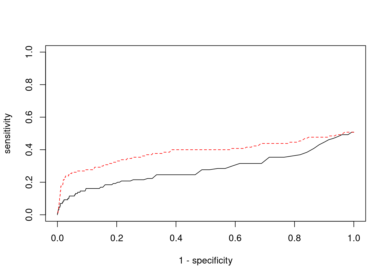
pip_range <- (0:1000)/1000
sensitivity <- rep(NA, length(pip_range))
specificity <- rep(NA, length(pip_range))
for (index in 1:length(pip_range)){
pip <- pip_range[index]
ctwas_genes <- ctwas_gene_res_subset$genename[ctwas_gene_res_subset$susie_pip>=pip]
sensitivity[index] <- sum(ctwas_genes %in% known_annotations)/length(known_annotations)
specificity[index] <- sum(!(unrelated_genes %in% ctwas_genes))/length(unrelated_genes)
}
plot(1-specificity, sensitivity, type="l", xlim=c(0,1), ylim=c(0,1), main="", xlab="1 - Specificity", ylab="Sensitivity")
title(expression("ROC Curve for cTWAS (black) and TWAS (" * phantom("red") * ")"))
title(expression(phantom("ROC Curve for cTWAS (black) and TWAS (") * "red" * phantom(")")), col.main="red")
sig_thresh_range <- seq(from=0, to=max(abs(ctwas_gene_res_subset$z)), length.out=length(pip_range))
for (index in 1:length(sig_thresh_range)){
sig_thresh_plot <- sig_thresh_range[index]
twas_genes <- ctwas_gene_res_subset$genename[abs(ctwas_gene_res_subset$z)>=sig_thresh_plot]
sensitivity[index] <- sum(twas_genes %in% known_annotations)/length(known_annotations)
specificity[index] <- sum(!(unrelated_genes %in% twas_genes))/length(unrelated_genes)
}
lines(1-specificity, sensitivity, xlim=c(0,1), ylim=c(0,1), col="red", lty=1)
abline(a=0,b=1,lty=3)
#add previously computed points from the analysis
ctwas_genes <- ctwas_gene_res_subset$genename[ctwas_gene_res_subset$susie_pip>0.8]
twas_genes <- ctwas_gene_res_subset$genename[abs(ctwas_gene_res_subset$z)>sig_thresh]
points(1-specificity_plot["ctwas"], sensitivity_plot["ctwas"], pch=21, bg="black")
points(1-specificity_plot["TWAS"], sensitivity_plot["TWAS"], pch=21, bg="red")

#table of outcomes for silver standard genes
-sort(-table(silver_standard_case))
silver_standard_case
Not Imputed Insignificant z-score Nearby SNP(s)
64 43 21
Detected (PIP > 0.8)
2
#show inconclusive genes
silver_standard_case[silver_standard_case=="Inconclusive"]
named character(0)

sessionInfo()
R version 3.6.1 (2019-07-05)
Platform: x86_64-pc-linux-gnu (64-bit)
Running under: Scientific Linux 7.4 (Nitrogen)
Matrix products: default
BLAS/LAPACK: /software/openblas-0.2.19-el7-x86_64/lib/libopenblas_haswellp-r0.2.19.so
locale:
[1] LC_CTYPE=en_US.UTF-8 LC_NUMERIC=C
[3] LC_TIME=en_US.UTF-8 LC_COLLATE=en_US.UTF-8
[5] LC_MONETARY=en_US.UTF-8 LC_MESSAGES=en_US.UTF-8
[7] LC_PAPER=en_US.UTF-8 LC_NAME=C
[9] LC_ADDRESS=C LC_TELEPHONE=C
[11] LC_MEASUREMENT=en_US.UTF-8 LC_IDENTIFICATION=C
attached base packages:
[1] parallel stats4 stats graphics grDevices utils datasets
[8] methods base
other attached packages:
[1] GenomicRanges_1.36.1 GenomeInfoDb_1.20.0 IRanges_2.18.1
[4] S4Vectors_0.22.1 BiocGenerics_0.30.0 biomaRt_2.40.1
[7] readxl_1.3.1 forcats_0.5.1 stringr_1.4.0
[10] dplyr_1.0.7 purrr_0.3.4 readr_2.1.1
[13] tidyr_1.1.4 tidyverse_1.3.1 tibble_3.1.6
[16] WebGestaltR_0.4.4 disgenet2r_0.99.2 enrichR_3.0
[19] cowplot_1.1.1 ggplot2_3.3.5 workflowr_1.7.0
loaded via a namespace (and not attached):
[1] ggbeeswarm_0.6.0 colorspace_2.0-2 rjson_0.2.20
[4] ellipsis_0.3.2 rprojroot_2.0.2 XVector_0.24.0
[7] fs_1.5.2 rstudioapi_0.13 farver_2.1.0
[10] ggrepel_0.9.1 bit64_4.0.5 AnnotationDbi_1.46.0
[13] fansi_1.0.2 lubridate_1.8.0 xml2_1.3.3
[16] codetools_0.2-16 doParallel_1.0.17 cachem_1.0.6
[19] knitr_1.36 jsonlite_1.7.2 apcluster_1.4.8
[22] Cairo_1.5-12.2 broom_0.7.10 dbplyr_2.1.1
[25] compiler_3.6.1 httr_1.4.2 backports_1.4.1
[28] assertthat_0.2.1 Matrix_1.2-18 fastmap_1.1.0
[31] cli_3.1.0 later_0.8.0 prettyunits_1.1.1
[34] htmltools_0.5.2 tools_3.6.1 igraph_1.2.10
[37] GenomeInfoDbData_1.2.1 gtable_0.3.0 glue_1.6.2
[40] reshape2_1.4.4 doRNG_1.8.2 Rcpp_1.0.8
[43] Biobase_2.44.0 cellranger_1.1.0 jquerylib_0.1.4
[46] vctrs_0.3.8 svglite_1.2.2 iterators_1.0.14
[49] xfun_0.29 ps_1.6.0 rvest_1.0.2
[52] lifecycle_1.0.1 rngtools_1.5.2 XML_3.99-0.3
[55] zlibbioc_1.30.0 getPass_0.2-2 scales_1.1.1
[58] vroom_1.5.7 hms_1.1.1 promises_1.0.1
[61] yaml_2.2.1 curl_4.3.2 memoise_2.0.1
[64] ggrastr_1.0.1 gdtools_0.1.9 stringi_1.7.6
[67] RSQLite_2.2.8 highr_0.9 foreach_1.5.2
[70] rlang_1.0.1 pkgconfig_2.0.3 bitops_1.0-7
[73] evaluate_0.14 lattice_0.20-38 labeling_0.4.2
[76] bit_4.0.4 processx_3.5.2 tidyselect_1.1.1
[79] plyr_1.8.6 magrittr_2.0.2 R6_2.5.1
[82] generics_0.1.1 DBI_1.1.2 pillar_1.6.4
[85] haven_2.4.3 whisker_0.3-2 withr_2.4.3
[88] RCurl_1.98-1.5 modelr_0.1.8 crayon_1.5.0
[91] utf8_1.2.2 tzdb_0.2.0 rmarkdown_2.11
[94] progress_1.2.2 grid_3.6.1 data.table_1.14.2
[97] blob_1.2.2 callr_3.7.0 git2r_0.26.1
[100] reprex_2.0.1 digest_0.6.29 httpuv_1.5.1
[103] munsell_0.5.0 beeswarm_0.2.3 vipor_0.4.5