Last updated: 2022-03-16
Checks: 5 2
Knit directory: cTWAS_analysis/
This reproducible R Markdown analysis was created with workflowr (version 1.7.0). The Checks tab describes the reproducibility checks that were applied when the results were created. The Past versions tab lists the development history.
The R Markdown is untracked by Git. To know which version of the R Markdown file created these results, you’ll want to first commit it to the Git repo. If you’re still working on the analysis, you can ignore this warning. When you’re finished, you can run wflow_publish to commit the R Markdown file and build the HTML.
Great job! The global environment was empty. Objects defined in the global environment can affect the analysis in your R Markdown file in unknown ways. For reproduciblity it’s best to always run the code in an empty environment.
The command set.seed(20211220) was run prior to running the code in the R Markdown file. Setting a seed ensures that any results that rely on randomness, e.g. subsampling or permutations, are reproducible.
Great job! Recording the operating system, R version, and package versions is critical for reproducibility.
Nice! There were no cached chunks for this analysis, so you can be confident that you successfully produced the results during this run.
Using absolute paths to the files within your workflowr project makes it difficult for you and others to run your code on a different machine. Change the absolute path(s) below to the suggested relative path(s) to make your code more reproducible.
| absolute | relative |
|---|---|
| /project2/xinhe/shengqian/cTWAS/cTWAS_analysis/data/ | data |
| /project2/xinhe/shengqian/cTWAS/cTWAS_analysis/code/ctwas_config.R | code/ctwas_config.R |
Great! You are using Git for version control. Tracking code development and connecting the code version to the results is critical for reproducibility.
The results in this page were generated with repository version d57314b. See the Past versions tab to see a history of the changes made to the R Markdown and HTML files.
Note that you need to be careful to ensure that all relevant files for the analysis have been committed to Git prior to generating the results (you can use wflow_publish or wflow_git_commit). workflowr only checks the R Markdown file, but you know if there are other scripts or data files that it depends on. Below is the status of the Git repository when the results were generated:
Ignored files:
Ignored: .ipynb_checkpoints/
Ignored: data/AF/
Untracked files:
Untracked: Rplot.png
Untracked: analysis/.ipynb_checkpoints/
Untracked: analysis/SCZ_2020_Brain_Amygdala.Rmd
Untracked: analysis/SCZ_2020_Brain_Anterior_cingulate_cortex_BA24.Rmd
Untracked: analysis/SCZ_2020_Brain_Caudate_basal_ganglia.Rmd
Untracked: analysis/SCZ_2020_Brain_Cerebellar_Hemisphere.Rmd
Untracked: analysis/SCZ_2020_Brain_Cerebellum.Rmd
Untracked: analysis/SCZ_2020_Brain_Hippocampus.Rmd
Untracked: analysis/SCZ_2020_Brain_Nucleus_accumbens_basal_ganglia.Rmd
Untracked: analysis/SCZ_2020_Brain_Spinal_cord_cervical_c-1.Rmd
Untracked: analysis/SCZ_2020_Brain_Substantia_nigra.Rmd
Untracked: code/.ipynb_checkpoints/
Untracked: code/AF_out/
Untracked: code/Autism_out/
Untracked: code/BMI_S_out/
Untracked: code/BMI_out/
Untracked: code/Glucose_out/
Untracked: code/LDL_S_out/
Untracked: code/SCZ_2014_EUR_out/
Untracked: code/SCZ_2020_out/
Untracked: code/SCZ_S_out/
Untracked: code/SCZ_out/
Untracked: code/T2D_out/
Untracked: code/ctwas_config.R
Untracked: code/mapping.R
Untracked: code/out/
Untracked: code/run_AF_analysis.sbatch
Untracked: code/run_AF_analysis.sh
Untracked: code/run_AF_ctwas_rss_LDR.R
Untracked: code/run_Autism_analysis.sbatch
Untracked: code/run_Autism_analysis.sh
Untracked: code/run_Autism_ctwas_rss_LDR.R
Untracked: code/run_BMI_analysis.sbatch
Untracked: code/run_BMI_analysis.sh
Untracked: code/run_BMI_analysis_S.sbatch
Untracked: code/run_BMI_analysis_S.sh
Untracked: code/run_BMI_ctwas_rss_LDR.R
Untracked: code/run_BMI_ctwas_rss_LDR_S.R
Untracked: code/run_Glucose_analysis.sbatch
Untracked: code/run_Glucose_analysis.sh
Untracked: code/run_Glucose_ctwas_rss_LDR.R
Untracked: code/run_LDL_analysis_S.sbatch
Untracked: code/run_LDL_analysis_S.sh
Untracked: code/run_LDL_ctwas_rss_LDR_S.R
Untracked: code/run_SCZ_2014_EUR_analysis.sbatch
Untracked: code/run_SCZ_2014_EUR_analysis.sh
Untracked: code/run_SCZ_2014_EUR_ctwas_rss_LDR.R
Untracked: code/run_SCZ_2020_analysis.sbatch
Untracked: code/run_SCZ_2020_analysis.sh
Untracked: code/run_SCZ_2020_ctwas_rss_LDR.R
Untracked: code/run_SCZ_analysis.sbatch
Untracked: code/run_SCZ_analysis.sh
Untracked: code/run_SCZ_analysis_S.sbatch
Untracked: code/run_SCZ_analysis_S.sh
Untracked: code/run_SCZ_ctwas_rss_LDR.R
Untracked: code/run_SCZ_ctwas_rss_LDR_S.R
Untracked: code/run_T2D_analysis.sbatch
Untracked: code/run_T2D_analysis.sh
Untracked: code/run_T2D_ctwas_rss_LDR.R
Untracked: code/wflow_build.R
Untracked: code/wflow_build.sbatch
Untracked: data/.ipynb_checkpoints/
Untracked: data/BMI/
Untracked: data/PGC3_SCZ_wave3_public.v2.tsv
Untracked: data/SCZ/
Untracked: data/SCZ_2014_EUR/
Untracked: data/SCZ_2020/
Untracked: data/SCZ_S/
Untracked: data/T2D/
Untracked: data/UKBB/
Untracked: data/UKBB_SNPs_Info.text
Untracked: data/gene_OMIM.txt
Untracked: data/gene_pip_0.8.txt
Untracked: data/mashr_Heart_Atrial_Appendage.db
Untracked: data/mashr_sqtl/
Untracked: data/summary_known_genes_annotations.xlsx
Untracked: data/untitled.txt
Unstaged changes:
Modified: analysis/SCZ_2020_Brain_Cortex.Rmd
Modified: analysis/SCZ_2020_Brain_Frontal_Cortex_BA9.Rmd
Modified: analysis/SCZ_2020_Brain_Hypothalamus.Rmd
Modified: analysis/SCZ_2020_Brain_Putamen_basal_ganglia.Rmd
Note that any generated files, e.g. HTML, png, CSS, etc., are not included in this status report because it is ok for generated content to have uncommitted changes.
There are no past versions. Publish this analysis with wflow_publish() to start tracking its development.
#number of imputed weights
nrow(qclist_all)
[1] 10982
#number of imputed weights by chromosome
table(qclist_all$chr)
1 2 3 4 5 6 7 8 9 10 11 12 13 14 15 16
1073 766 643 425 536 614 506 404 414 437 662 613 219 376 368 514
17 18 19 20 21 22
661 165 859 332 117 278
#number of imputed weights without missing variants
sum(qclist_all$nmiss==0)
[1] 8766
#proportion of imputed weights without missing variants
mean(qclist_all$nmiss==0)
[1] 0.7982

#estimated group prior
estimated_group_prior <- group_prior_rec[,ncol(group_prior_rec)]
names(estimated_group_prior) <- c("gene", "snp")
estimated_group_prior["snp"] <- estimated_group_prior["snp"]*thin #adjust parameter to account for thin argument
print(estimated_group_prior)
gene snp
0.0122103 0.0002749
#estimated group prior variance
estimated_group_prior_var <- group_prior_var_rec[,ncol(group_prior_var_rec)]
names(estimated_group_prior_var) <- c("gene", "snp")
print(estimated_group_prior_var)
gene snp
20.01 12.33
#report sample size
print(sample_size)
[1] 161405
#report group size
group_size <- c(nrow(ctwas_gene_res), n_snps)
print(group_size)
[1] 10982 7394310
#estimated group PVE
estimated_group_pve <- estimated_group_prior_var*estimated_group_prior*group_size/sample_size #check PVE calculation
names(estimated_group_pve) <- c("gene", "snp")
print(estimated_group_pve)
gene snp
0.01662 0.15536
#compare sum(PIP*mu2/sample_size) with above PVE calculation
c(sum(ctwas_gene_res$PVE),sum(ctwas_snp_res$PVE))
[1] 0.05229 0.79965

genename region_tag susie_pip mu2 PVE z num_eqtl
9365 LSMEM2 3_35 0.9999 1155.66 0.0071596 4.271 1
10687 ZNF823 19_10 0.9838 41.72 0.0002543 6.311 1
2925 ACTR1B 2_57 0.9648 32.65 0.0001952 -5.640 2
11759 HIST1H2BN 6_21 0.9439 194.49 0.0011373 13.182 1
2583 TRPV4 12_66 0.9313 26.68 0.0001539 4.456 2
10694 RPL12 9_66 0.8931 24.30 0.0001345 4.671 2
901 KLHL20 1_85 0.8889 39.92 0.0002199 5.800 1
9488 METTL23 17_43 0.8866 23.19 0.0001274 4.235 1
8759 MAP3K11 11_36 0.8600 34.41 0.0001833 -5.570 1
357 NSUN2 5_6 0.8535 22.20 0.0001174 -4.105 3
5229 C12orf10 12_33 0.8528 24.93 0.0001317 -4.963 1
5977 FAM135B 8_91 0.8516 23.00 0.0001213 -3.461 1
2373 NUP88 17_5 0.8482 28.00 0.0001471 4.765 1
7971 CACNB3 12_32 0.8257 23.40 0.0001197 -3.941 2
6860 ACE 17_37 0.8194 34.16 0.0001734 -5.802 1
3272 ABCG2 4_59 0.8050 21.38 0.0001066 -3.954 1
4606 DAGLA 11_35 0.7909 24.00 0.0001176 -4.263 1
8540 CXXC5 5_82 0.7734 32.98 0.0001580 -5.620 1
11534 LINC00606 3_8 0.7586 23.20 0.0001090 -4.150 1
9119 LY6H 8_94 0.7577 29.41 0.0001380 5.143 1

genename region_tag susie_pip mu2 PVE z num_eqtl
9365 LSMEM2 3_35 9.999e-01 1155.66 7.160e-03 4.2709 1
201 SEMA3B 3_35 1.528e-05 1136.66 1.076e-07 1.0870 1
10261 SLC38A3 3_35 2.154e-07 273.81 3.653e-10 -2.7756 1
123 CACNA2D2 3_35 1.241e-06 258.74 1.989e-09 -0.1392 1
10 SEMA3F 3_35 1.595e-07 249.41 2.465e-10 -1.4379 1
40 RBM6 3_35 6.623e-01 209.39 8.592e-04 4.4688 1
10101 HYAL3 3_35 6.148e-08 198.84 7.574e-11 -1.8436 2
11759 HIST1H2BN 6_21 9.439e-01 194.49 1.137e-03 13.1822 1
12024 NAT6 3_35 2.290e-07 180.42 2.560e-10 0.8292 1
6779 ZSCAN12 6_22 6.233e-01 170.52 6.585e-04 12.8250 1
7425 MST1R 3_35 1.250e-04 155.83 1.207e-07 -4.0250 1
13065 RP1-86C11.7 6_21 1.130e-01 133.35 9.340e-05 -10.5382 1
1182 DOCK3 3_35 2.161e-06 128.31 1.718e-09 -0.3011 1
2889 CISH 3_35 7.474e-07 124.47 5.764e-10 -0.1383 1
12628 CTA-14H9.5 6_20 1.210e-02 120.91 9.061e-06 9.8443 1
4941 FLOT1 6_24 3.037e-02 118.32 2.226e-05 -10.5577 1
10071 BTN3A2 6_20 1.452e-02 110.88 9.972e-06 9.0193 2
7420 RNF123 3_35 5.818e-08 102.19 3.684e-11 -2.3622 1
9448 HIST1H2BC 6_20 1.208e-02 86.81 6.496e-06 -7.9928 1
10999 VWA7 6_26 4.905e-01 86.62 2.632e-04 10.5945 1
genename region_tag susie_pip mu2 PVE z num_eqtl
9365 LSMEM2 3_35 0.9999 1155.66 0.0071596 4.271 1
11759 HIST1H2BN 6_21 0.9439 194.49 0.0011373 13.182 1
40 RBM6 3_35 0.6623 209.39 0.0008592 4.469 1
6779 ZSCAN12 6_22 0.6233 170.52 0.0006585 12.825 1
12006 HLA-DMB 6_27 0.5544 80.44 0.0002763 -9.474 1
10999 VWA7 6_26 0.4905 86.62 0.0002632 10.594 1
7966 GATAD2A 19_15 0.7512 55.30 0.0002574 -7.430 2
10687 ZNF823 19_10 0.9838 41.72 0.0002543 6.311 1
7391 GNL3 3_36 0.6233 62.90 0.0002429 9.102 2
901 KLHL20 1_85 0.8889 39.92 0.0002199 5.800 1
2925 ACTR1B 2_57 0.9648 32.65 0.0001952 -5.640 2
8759 MAP3K11 11_36 0.8600 34.41 0.0001833 -5.570 1
1736 PPP1R16B 20_23 0.5822 50.79 0.0001832 7.550 1
6860 ACE 17_37 0.8194 34.16 0.0001734 -5.802 1
7908 PDIA3 15_16 0.6620 39.22 0.0001608 6.314 1
8540 CXXC5 5_82 0.7734 32.98 0.0001580 -5.620 1
10969 HLA-DMA 6_27 0.3201 79.05 0.0001568 -9.408 1
910 NT5C2 10_66 0.4488 56.09 0.0001560 -9.584 2
4482 TMTC1 12_20 0.6119 40.87 0.0001549 6.192 1
2583 TRPV4 12_66 0.9313 26.68 0.0001539 4.456 2
genename region_tag susie_pip mu2 PVE z num_eqtl
11759 HIST1H2BN 6_21 0.9438741 194.49 1.137e-03 13.182 1
6779 ZSCAN12 6_22 0.6232611 170.52 6.585e-04 12.825 1
10999 VWA7 6_26 0.4905408 86.62 2.632e-04 10.594 1
4941 FLOT1 6_24 0.0303682 118.32 2.226e-05 -10.558 1
13065 RP1-86C11.7 6_21 0.1130468 133.35 9.340e-05 -10.538 1
12063 C4A 6_26 0.1575984 85.02 8.302e-05 10.504 2
12628 CTA-14H9.5 6_20 0.0120960 120.91 9.061e-06 9.844 1
6064 CNNM2 10_66 0.1001205 53.83 3.339e-05 -9.686 1
910 NT5C2 10_66 0.4487794 56.09 1.560e-04 -9.584 2
11006 APOM 6_26 0.0054508 73.07 2.468e-06 9.579 2
12006 HLA-DMB 6_27 0.5544120 80.44 2.763e-04 -9.474 1
10969 HLA-DMA 6_27 0.3200844 79.05 1.568e-04 -9.408 1
10981 PRRT1 6_26 0.0109939 59.83 4.075e-06 9.276 1
10979 RNF5 6_26 0.0108010 59.55 3.985e-06 9.267 1
7391 GNL3 3_36 0.6233135 62.90 2.429e-04 9.102 2
10071 BTN3A2 6_20 0.0145171 110.88 9.972e-06 9.019 2
6186 ABCB9 12_75 0.0008569 66.15 3.512e-07 8.638 1
8097 GLYCTK 3_36 0.1279415 74.32 5.891e-05 8.577 1
9772 KMT5A 12_75 0.0008842 55.06 3.016e-07 -8.551 2
10546 ZSCAN26 6_22 0.0153736 65.33 6.222e-06 8.138 2


[1] 0.01457
#number of genes for gene set enrichment
length(genes)
[1] 54
Uploading data to Enrichr... Done.
Querying GO_Biological_Process_2021... Done.
Querying GO_Cellular_Component_2021... Done.
Querying GO_Molecular_Function_2021... Done.
Parsing results... Done.
[1] "GO_Biological_Process_2021"

[1] Term Overlap Adjusted.P.value Genes
<0 rows> (or 0-length row.names)
[1] "GO_Cellular_Component_2021"

[1] Term Overlap Adjusted.P.value Genes
<0 rows> (or 0-length row.names)
[1] "GO_Molecular_Function_2021"

[1] Term Overlap Adjusted.P.value Genes
<0 rows> (or 0-length row.names)
Description FDR Ratio BgRatio
25 Confusion 0.01728 1/18 1/9703
50 Gingival Hypertrophy 0.01728 1/18 1/9703
64 Infant, Premature, Diseases 0.01728 1/18 1/9703
74 Chronic Obstructive Airway Disease 0.01728 2/18 33/9703
94 Pneumonia, Viral 0.01728 1/18 1/9703
123 Left Ventricular Hypertrophy 0.01728 2/18 25/9703
143 Speech impairment 0.01728 1/18 1/9703
144 Derealization 0.01728 1/18 1/9703
155 Spondylometaphyseal dysplasia, Kozlowski type 0.01728 1/18 1/9703
156 Metatropic dwarfism 0.01728 1/18 1/9703
Loading the functional categories...
Loading the ID list...
Loading the reference list...
Performing the enrichment analysis...
Warning in oraEnrichment(interestGeneList, referenceGeneList, geneSet, minNum =
minNum, : No significant gene set is identified based on FDR 0.05!
NULL
Warning: 'timedatectl' indicates the non-existent timezone name 'n/a'
Warning: Your system is mis-configured: '/etc/localtime' is not a symlink
Warning: It is strongly recommended to set envionment variable TZ to 'America/
Chicago' (or equivalent)
Warning: ggrepel: 3 unlabeled data points (too many overlaps). Consider
increasing max.overlaps

#number of genes in known annotations
print(length(known_annotations))
[1] 130
#number of genes in known annotations with imputed expression
print(sum(known_annotations %in% ctwas_gene_res$genename))
[1] 62
#significance threshold for TWAS
print(sig_thresh)
[1] 4.584
#number of ctwas genes
length(ctwas_genes)
[1] 16
#number of TWAS genes
length(twas_genes)
[1] 160
#show novel genes (ctwas genes with not in TWAS genes)
ctwas_gene_res[ctwas_gene_res$genename %in% novel_genes,report_cols]
genename region_tag susie_pip mu2 PVE z num_eqtl
9365 LSMEM2 3_35 0.9999 1155.66 0.0071596 4.271 1
3272 ABCG2 4_59 0.8050 21.38 0.0001066 -3.954 1
357 NSUN2 5_6 0.8535 22.20 0.0001174 -4.105 3
5977 FAM135B 8_91 0.8516 23.00 0.0001213 -3.461 1
7971 CACNB3 12_32 0.8257 23.40 0.0001197 -3.941 2
2583 TRPV4 12_66 0.9313 26.68 0.0001539 4.456 2
9488 METTL23 17_43 0.8866 23.19 0.0001274 4.235 1
#sensitivity / recall
print(sensitivity)
ctwas TWAS
0.02308 0.20000
#specificity
print(specificity)
ctwas TWAS
0.9988 0.9877
#precision / PPV
print(precision)
ctwas TWAS
0.1875 0.1625

#number of genes in known annotations (with imputed expression)
print(length(known_annotations))
[1] 62
#number of bystander genes (with imputed expression)
print(length(unrelated_genes))
[1] 824
#subset results to genes in known annotations or bystanders
ctwas_gene_res_subset <- ctwas_gene_res[ctwas_gene_res$genename %in% c(known_annotations, unrelated_genes),]
#assign ctwas and TWAS genes
ctwas_genes <- ctwas_gene_res_subset$genename[ctwas_gene_res_subset$susie_pip>0.8]
twas_genes <- ctwas_gene_res_subset$genename[abs(ctwas_gene_res_subset$z)>sig_thresh]
#significance threshold for TWAS
print(sig_thresh)
[1] 4.584
#number of ctwas genes (in known annotations or bystanders)
length(ctwas_genes)
[1] 5
#number of TWAS genes (in known annotations or bystanders)
length(twas_genes)
[1] 70
#sensitivity / recall
sensitivity
ctwas TWAS
0.04839 0.41935
#specificity / (1 - False Positive Rate)
specificity
ctwas TWAS
0.9976 0.9466
#precision / PPV / (1 - False Discovery Rate)
precision
ctwas TWAS
0.6000 0.3714


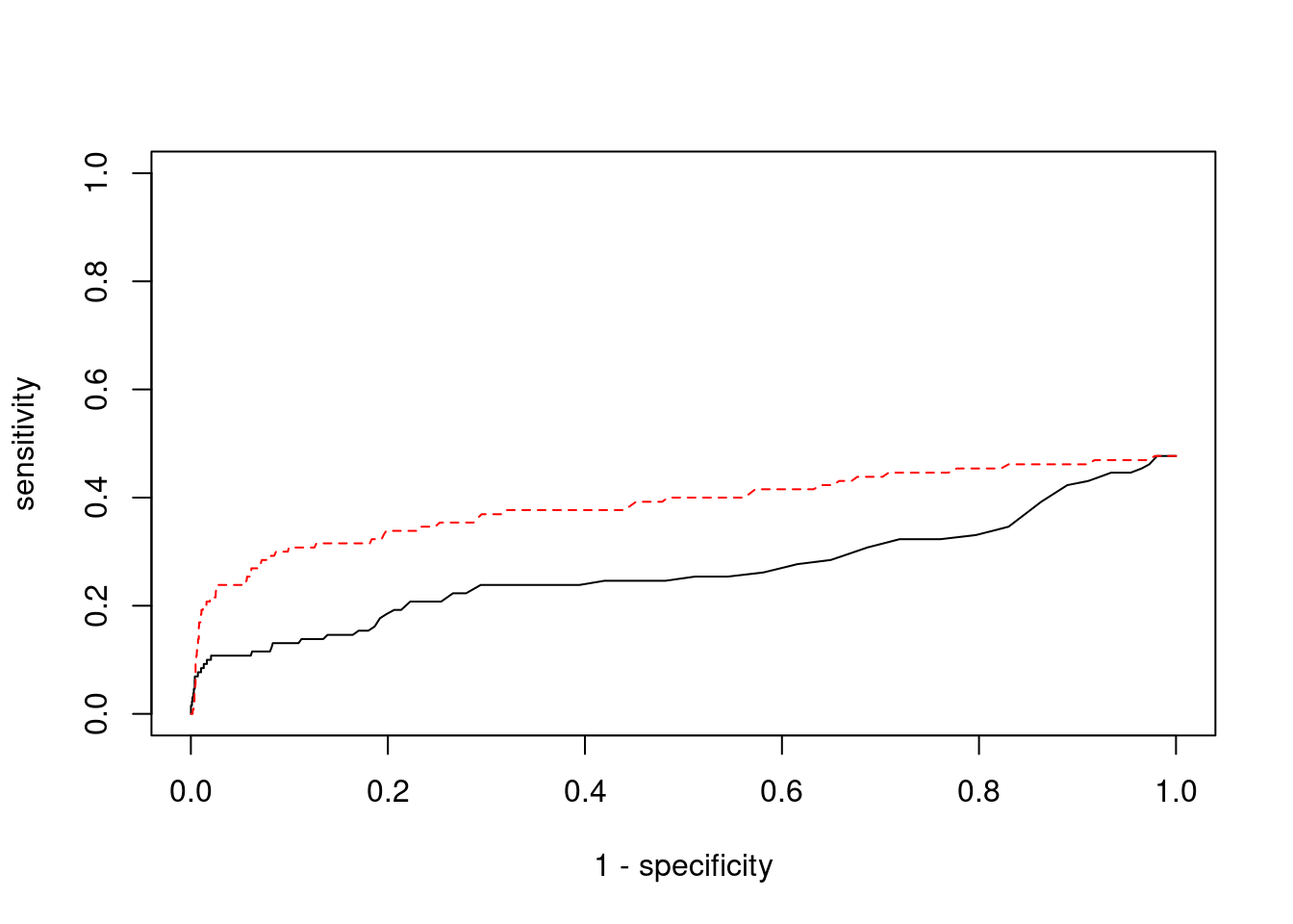
pip_range <- (0:1000)/1000
sensitivity <- rep(NA, length(pip_range))
specificity <- rep(NA, length(pip_range))
for (index in 1:length(pip_range)){
pip <- pip_range[index]
ctwas_genes <- ctwas_gene_res_subset$genename[ctwas_gene_res_subset$susie_pip>=pip]
sensitivity[index] <- sum(ctwas_genes %in% known_annotations)/length(known_annotations)
specificity[index] <- sum(!(unrelated_genes %in% ctwas_genes))/length(unrelated_genes)
}
plot(1-specificity, sensitivity, type="l", xlim=c(0,1), ylim=c(0,1), main="", xlab="1 - Specificity", ylab="Sensitivity")
title(expression("ROC Curve for cTWAS (black) and TWAS (" * phantom("red") * ")"))
title(expression(phantom("ROC Curve for cTWAS (black) and TWAS (") * "red" * phantom(")")), col.main="red")
sig_thresh_range <- seq(from=0, to=max(abs(ctwas_gene_res_subset$z)), length.out=length(pip_range))
for (index in 1:length(sig_thresh_range)){
sig_thresh_plot <- sig_thresh_range[index]
twas_genes <- ctwas_gene_res_subset$genename[abs(ctwas_gene_res_subset$z)>=sig_thresh_plot]
sensitivity[index] <- sum(twas_genes %in% known_annotations)/length(known_annotations)
specificity[index] <- sum(!(unrelated_genes %in% twas_genes))/length(unrelated_genes)
}
lines(1-specificity, sensitivity, xlim=c(0,1), ylim=c(0,1), col="red", lty=1)
abline(a=0,b=1,lty=3)
#add previously computed points from the analysis
ctwas_genes <- ctwas_gene_res_subset$genename[ctwas_gene_res_subset$susie_pip>0.8]
twas_genes <- ctwas_gene_res_subset$genename[abs(ctwas_gene_res_subset$z)>sig_thresh]
points(1-specificity_plot["ctwas"], sensitivity_plot["ctwas"], pch=21, bg="black")
points(1-specificity_plot["TWAS"], sensitivity_plot["TWAS"], pch=21, bg="red")

#table of outcomes for silver standard genes
-sort(-table(silver_standard_case))
silver_standard_case
Not Imputed Insignificant z-score Nearby SNP(s)
68 36 22
Detected (PIP > 0.8) Nearby Bystander Gene
3 1
#show inconclusive genes
silver_standard_case[silver_standard_case=="Inconclusive"]
named character(0)

sessionInfo()
R version 3.6.1 (2019-07-05)
Platform: x86_64-pc-linux-gnu (64-bit)
Running under: Scientific Linux 7.4 (Nitrogen)
Matrix products: default
BLAS/LAPACK: /software/openblas-0.2.19-el7-x86_64/lib/libopenblas_haswellp-r0.2.19.so
locale:
[1] LC_CTYPE=en_US.UTF-8 LC_NUMERIC=C
[3] LC_TIME=en_US.UTF-8 LC_COLLATE=en_US.UTF-8
[5] LC_MONETARY=en_US.UTF-8 LC_MESSAGES=en_US.UTF-8
[7] LC_PAPER=en_US.UTF-8 LC_NAME=C
[9] LC_ADDRESS=C LC_TELEPHONE=C
[11] LC_MEASUREMENT=en_US.UTF-8 LC_IDENTIFICATION=C
attached base packages:
[1] parallel stats4 stats graphics grDevices utils datasets
[8] methods base
other attached packages:
[1] GenomicRanges_1.36.1 GenomeInfoDb_1.20.0 IRanges_2.18.1
[4] S4Vectors_0.22.1 BiocGenerics_0.30.0 biomaRt_2.40.1
[7] readxl_1.3.1 forcats_0.5.1 stringr_1.4.0
[10] dplyr_1.0.7 purrr_0.3.4 readr_2.1.1
[13] tidyr_1.1.4 tidyverse_1.3.1 tibble_3.1.6
[16] WebGestaltR_0.4.4 disgenet2r_0.99.2 enrichR_3.0
[19] cowplot_1.1.1 ggplot2_3.3.5 workflowr_1.7.0
loaded via a namespace (and not attached):
[1] ggbeeswarm_0.6.0 colorspace_2.0-2 rjson_0.2.20
[4] ellipsis_0.3.2 rprojroot_2.0.2 XVector_0.24.0
[7] fs_1.5.2 rstudioapi_0.13 farver_2.1.0
[10] ggrepel_0.9.1 bit64_4.0.5 AnnotationDbi_1.46.0
[13] fansi_1.0.2 lubridate_1.8.0 xml2_1.3.3
[16] codetools_0.2-16 doParallel_1.0.17 cachem_1.0.6
[19] knitr_1.36 jsonlite_1.7.2 apcluster_1.4.8
[22] Cairo_1.5-12.2 broom_0.7.10 dbplyr_2.1.1
[25] compiler_3.6.1 httr_1.4.2 backports_1.4.1
[28] assertthat_0.2.1 Matrix_1.2-18 fastmap_1.1.0
[31] cli_3.1.0 later_0.8.0 prettyunits_1.1.1
[34] htmltools_0.5.2 tools_3.6.1 igraph_1.2.10
[37] GenomeInfoDbData_1.2.1 gtable_0.3.0 glue_1.6.2
[40] reshape2_1.4.4 doRNG_1.8.2 Rcpp_1.0.8
[43] Biobase_2.44.0 cellranger_1.1.0 jquerylib_0.1.4
[46] vctrs_0.3.8 svglite_1.2.2 iterators_1.0.14
[49] xfun_0.29 ps_1.6.0 rvest_1.0.2
[52] lifecycle_1.0.1 rngtools_1.5.2 XML_3.99-0.3
[55] zlibbioc_1.30.0 getPass_0.2-2 scales_1.1.1
[58] vroom_1.5.7 hms_1.1.1 promises_1.0.1
[61] yaml_2.2.1 curl_4.3.2 memoise_2.0.1
[64] ggrastr_1.0.1 gdtools_0.1.9 stringi_1.7.6
[67] RSQLite_2.2.8 highr_0.9 foreach_1.5.2
[70] rlang_1.0.1 pkgconfig_2.0.3 bitops_1.0-7
[73] evaluate_0.14 lattice_0.20-38 labeling_0.4.2
[76] bit_4.0.4 processx_3.5.2 tidyselect_1.1.1
[79] plyr_1.8.6 magrittr_2.0.2 R6_2.5.1
[82] generics_0.1.1 DBI_1.1.2 pillar_1.6.4
[85] haven_2.4.3 whisker_0.3-2 withr_2.4.3
[88] RCurl_1.98-1.5 modelr_0.1.8 crayon_1.5.0
[91] utf8_1.2.2 tzdb_0.2.0 rmarkdown_2.11
[94] progress_1.2.2 grid_3.6.1 data.table_1.14.2
[97] blob_1.2.2 callr_3.7.0 git2r_0.26.1
[100] reprex_2.0.1 digest_0.6.29 httpuv_1.5.1
[103] munsell_0.5.0 beeswarm_0.2.3 vipor_0.4.5