Last updated: 2022-03-16
Checks: 5 2
Knit directory: cTWAS_analysis/
This reproducible R Markdown analysis was created with workflowr (version 1.7.0). The Checks tab describes the reproducibility checks that were applied when the results were created. The Past versions tab lists the development history.
The R Markdown is untracked by Git. To know which version of the R Markdown file created these results, you’ll want to first commit it to the Git repo. If you’re still working on the analysis, you can ignore this warning. When you’re finished, you can run wflow_publish to commit the R Markdown file and build the HTML.
Great job! The global environment was empty. Objects defined in the global environment can affect the analysis in your R Markdown file in unknown ways. For reproduciblity it’s best to always run the code in an empty environment.
The command set.seed(20211220) was run prior to running the code in the R Markdown file. Setting a seed ensures that any results that rely on randomness, e.g. subsampling or permutations, are reproducible.
Great job! Recording the operating system, R version, and package versions is critical for reproducibility.
Nice! There were no cached chunks for this analysis, so you can be confident that you successfully produced the results during this run.
Using absolute paths to the files within your workflowr project makes it difficult for you and others to run your code on a different machine. Change the absolute path(s) below to the suggested relative path(s) to make your code more reproducible.
| absolute | relative |
|---|---|
| /project2/xinhe/shengqian/cTWAS/cTWAS_analysis/data/ | data |
| /project2/xinhe/shengqian/cTWAS/cTWAS_analysis/code/ctwas_config.R | code/ctwas_config.R |
Great! You are using Git for version control. Tracking code development and connecting the code version to the results is critical for reproducibility.
The results in this page were generated with repository version d57314b. See the Past versions tab to see a history of the changes made to the R Markdown and HTML files.
Note that you need to be careful to ensure that all relevant files for the analysis have been committed to Git prior to generating the results (you can use wflow_publish or wflow_git_commit). workflowr only checks the R Markdown file, but you know if there are other scripts or data files that it depends on. Below is the status of the Git repository when the results were generated:
Ignored files:
Ignored: .ipynb_checkpoints/
Ignored: data/AF/
Untracked files:
Untracked: Rplot.png
Untracked: analysis/.ipynb_checkpoints/
Untracked: analysis/SCZ_2020_Brain_Amygdala.Rmd
Untracked: analysis/SCZ_2020_Brain_Anterior_cingulate_cortex_BA24.Rmd
Untracked: analysis/SCZ_2020_Brain_Caudate_basal_ganglia.Rmd
Untracked: analysis/SCZ_2020_Brain_Cerebellar_Hemisphere.Rmd
Untracked: analysis/SCZ_2020_Brain_Cerebellum.Rmd
Untracked: analysis/SCZ_2020_Brain_Hippocampus.Rmd
Untracked: analysis/SCZ_2020_Brain_Nucleus_accumbens_basal_ganglia.Rmd
Untracked: analysis/SCZ_2020_Brain_Spinal_cord_cervical_c-1.Rmd
Untracked: analysis/SCZ_2020_Brain_Substantia_nigra.Rmd
Untracked: code/.ipynb_checkpoints/
Untracked: code/AF_out/
Untracked: code/Autism_out/
Untracked: code/BMI_S_out/
Untracked: code/BMI_out/
Untracked: code/Glucose_out/
Untracked: code/LDL_S_out/
Untracked: code/SCZ_2014_EUR_out/
Untracked: code/SCZ_2020_out/
Untracked: code/SCZ_S_out/
Untracked: code/SCZ_out/
Untracked: code/T2D_out/
Untracked: code/ctwas_config.R
Untracked: code/mapping.R
Untracked: code/out/
Untracked: code/run_AF_analysis.sbatch
Untracked: code/run_AF_analysis.sh
Untracked: code/run_AF_ctwas_rss_LDR.R
Untracked: code/run_Autism_analysis.sbatch
Untracked: code/run_Autism_analysis.sh
Untracked: code/run_Autism_ctwas_rss_LDR.R
Untracked: code/run_BMI_analysis.sbatch
Untracked: code/run_BMI_analysis.sh
Untracked: code/run_BMI_analysis_S.sbatch
Untracked: code/run_BMI_analysis_S.sh
Untracked: code/run_BMI_ctwas_rss_LDR.R
Untracked: code/run_BMI_ctwas_rss_LDR_S.R
Untracked: code/run_Glucose_analysis.sbatch
Untracked: code/run_Glucose_analysis.sh
Untracked: code/run_Glucose_ctwas_rss_LDR.R
Untracked: code/run_LDL_analysis_S.sbatch
Untracked: code/run_LDL_analysis_S.sh
Untracked: code/run_LDL_ctwas_rss_LDR_S.R
Untracked: code/run_SCZ_2014_EUR_analysis.sbatch
Untracked: code/run_SCZ_2014_EUR_analysis.sh
Untracked: code/run_SCZ_2014_EUR_ctwas_rss_LDR.R
Untracked: code/run_SCZ_2020_analysis.sbatch
Untracked: code/run_SCZ_2020_analysis.sh
Untracked: code/run_SCZ_2020_ctwas_rss_LDR.R
Untracked: code/run_SCZ_analysis.sbatch
Untracked: code/run_SCZ_analysis.sh
Untracked: code/run_SCZ_analysis_S.sbatch
Untracked: code/run_SCZ_analysis_S.sh
Untracked: code/run_SCZ_ctwas_rss_LDR.R
Untracked: code/run_SCZ_ctwas_rss_LDR_S.R
Untracked: code/run_T2D_analysis.sbatch
Untracked: code/run_T2D_analysis.sh
Untracked: code/run_T2D_ctwas_rss_LDR.R
Untracked: code/wflow_build.R
Untracked: code/wflow_build.sbatch
Untracked: data/.ipynb_checkpoints/
Untracked: data/BMI/
Untracked: data/PGC3_SCZ_wave3_public.v2.tsv
Untracked: data/SCZ/
Untracked: data/SCZ_2014_EUR/
Untracked: data/SCZ_2020/
Untracked: data/SCZ_S/
Untracked: data/T2D/
Untracked: data/UKBB/
Untracked: data/UKBB_SNPs_Info.text
Untracked: data/gene_OMIM.txt
Untracked: data/gene_pip_0.8.txt
Untracked: data/mashr_Heart_Atrial_Appendage.db
Untracked: data/mashr_sqtl/
Untracked: data/summary_known_genes_annotations.xlsx
Untracked: data/untitled.txt
Unstaged changes:
Modified: analysis/SCZ_2020_Brain_Cortex.Rmd
Modified: analysis/SCZ_2020_Brain_Frontal_Cortex_BA9.Rmd
Modified: analysis/SCZ_2020_Brain_Hypothalamus.Rmd
Modified: analysis/SCZ_2020_Brain_Putamen_basal_ganglia.Rmd
Note that any generated files, e.g. HTML, png, CSS, etc., are not included in this status report because it is ok for generated content to have uncommitted changes.
There are no past versions. Publish this analysis with wflow_publish() to start tracking its development.
#number of imputed weights
nrow(qclist_all)
[1] 11501
#number of imputed weights by chromosome
table(qclist_all$chr)
1 2 3 4 5 6 7 8 9 10 11 12 13 14 15 16
1130 797 686 449 570 650 551 432 411 456 694 641 218 385 374 524
17 18 19 20 21 22
671 184 904 356 131 287
#number of imputed weights without missing variants
sum(qclist_all$nmiss==0)
[1] 9026
#proportion of imputed weights without missing variants
mean(qclist_all$nmiss==0)
[1] 0.7848

#estimated group prior
estimated_group_prior <- group_prior_rec[,ncol(group_prior_rec)]
names(estimated_group_prior) <- c("gene", "snp")
estimated_group_prior["snp"] <- estimated_group_prior["snp"]*thin #adjust parameter to account for thin argument
print(estimated_group_prior)
gene snp
0.0129648 0.0002708
#estimated group prior variance
estimated_group_prior_var <- group_prior_var_rec[,ncol(group_prior_var_rec)]
names(estimated_group_prior_var) <- c("gene", "snp")
print(estimated_group_prior_var)
gene snp
13.24 12.79
#report sample size
print(sample_size)
[1] 161405
#report group size
group_size <- c(nrow(ctwas_gene_res), n_snps)
print(group_size)
[1] 11501 7394310
#estimated group PVE
estimated_group_pve <- estimated_group_prior_var*estimated_group_prior*group_size/sample_size #check PVE calculation
names(estimated_group_pve) <- c("gene", "snp")
print(estimated_group_pve)
gene snp
0.01223 0.15869
#compare sum(PIP*mu2/sample_size) with above PVE calculation
c(sum(ctwas_gene_res$PVE),sum(ctwas_snp_res$PVE))
[1] 0.05491 0.79298

genename region_tag susie_pip mu2 PVE z num_eqtl
5491 FURIN 15_42 0.9817 91.36 5.556e-04 -9.913 1
11067 ZNF823 19_10 0.9804 40.18 2.441e-04 6.309 2
6304 DRD2 11_67 0.9731 54.28 3.273e-04 -8.047 2
705 RASSF1 3_35 0.9608 912.47 5.432e-03 4.532 1
6509 TMEM56 1_58 0.9143 31.11 1.762e-04 -4.834 1
13954 MYO19 17_22 0.9113 28.01 1.582e-04 -4.970 2
2651 TRPV4 12_66 0.9008 24.40 1.362e-04 4.416 1
11074 RPL12 9_66 0.8963 23.65 1.313e-04 4.672 2
98 FARP2 2_144 0.8647 21.50 1.152e-04 4.230 3
6180 FAM135B 8_91 0.8575 22.13 1.176e-04 -3.461 1
7086 ACE 17_37 0.8032 32.87 1.636e-04 -5.802 1
4535 ACY3 11_37 0.7800 19.84 9.586e-05 -3.260 1
11957 LINC00606 3_8 0.7601 22.69 1.068e-04 -4.150 1
11400 CSNK2B 6_26 0.7594 31.77 1.495e-04 -6.916 1
13453 RP11-230C9.4 6_102 0.7539 26.85 1.254e-04 -4.906 2
7493 ANTXR2 4_54 0.7518 21.39 9.965e-05 3.831 1
9 ENPP4 6_35 0.7365 21.39 9.760e-05 -3.642 1
8724 FOXN2 2_31 0.7278 25.29 1.140e-04 -5.173 1
6130 GIGYF1 7_62 0.7192 29.31 1.306e-04 5.333 2
4719 SOX5 12_17 0.7112 23.42 1.032e-04 4.089 1

genename region_tag susie_pip mu2 PVE z num_eqtl
705 RASSF1 3_35 9.608e-01 912.47 5.432e-03 4.5324 1
9699 LSMEM2 3_35 2.549e-01 909.76 1.437e-03 -4.2709 1
10604 SLC38A3 3_35 1.850e-12 230.45 2.642e-15 -2.7756 1
128 CACNA2D2 3_35 0.000e+00 211.01 0.000e+00 -0.1044 1
36 RBM6 3_35 3.893e-01 199.37 4.808e-04 4.4688 1
1217 C3orf18 3_35 0.000e+00 183.45 0.000e+00 -0.4441 1
7671 CAMKV 3_35 1.162e-04 176.27 1.269e-07 -2.5322 2
10442 HYAL3 3_35 5.816e-13 160.77 5.794e-16 -2.5066 1
7673 MST1R 3_35 2.594e-05 151.71 2.438e-08 -4.0250 1
213 SEMA3B 3_35 0.000e+00 115.71 0.000e+00 0.6250 1
10415 BTN3A2 6_20 1.576e-02 113.26 1.106e-05 9.1957 3
13719 LINC02019 3_35 0.000e+00 111.07 0.000e+00 0.3173 1
2972 CISH 3_35 0.000e+00 105.29 0.000e+00 -0.1383 1
7668 RNF123 3_35 4.441e-16 98.43 2.708e-19 -2.3252 1
5491 FURIN 15_42 9.817e-01 91.36 5.556e-04 -9.9133 1
9788 HIST1H2BC 6_20 1.480e-02 86.91 7.967e-06 -7.9928 1
11404 APOM 6_26 4.314e-01 82.97 2.217e-04 10.6484 1
2947 CYB561D2 3_35 0.000e+00 81.60 0.000e+00 3.5093 1
12513 C4A 6_26 7.574e-02 78.98 3.706e-05 10.4180 1
11359 HLA-DMA 6_27 4.761e-01 76.52 2.257e-04 -9.4080 1
genename region_tag susie_pip mu2 PVE z num_eqtl
705 RASSF1 3_35 0.9608 912.47 0.0054316 4.532 1
9699 LSMEM2 3_35 0.2549 909.76 0.0014366 -4.271 1
5491 FURIN 15_42 0.9817 91.36 0.0005556 -9.913 1
36 RBM6 3_35 0.3893 199.37 0.0004808 4.469 1
6304 DRD2 11_67 0.9731 54.28 0.0003273 -8.047 2
11067 ZNF823 19_10 0.9804 40.18 0.0002441 6.309 2
7634 GNL3 3_36 0.6297 61.42 0.0002396 9.369 2
11359 HLA-DMA 6_27 0.4761 76.52 0.0002257 -9.408 1
11404 APOM 6_26 0.4314 82.97 0.0002217 10.648 1
3067 SF3B1 2_117 0.6674 52.57 0.0002174 7.605 1
8229 GATAD2A 19_15 0.6189 52.47 0.0002012 -7.411 2
6509 TMEM56 1_58 0.9143 31.11 0.0001762 -4.834 1
9771 HARBI1 11_28 0.4557 58.37 0.0001648 8.046 1
7086 ACE 17_37 0.8032 32.87 0.0001636 -5.802 1
13954 MYO19 17_22 0.9113 28.01 0.0001582 -4.970 2
11400 CSNK2B 6_26 0.7594 31.77 0.0001495 -6.916 1
8168 PDIA3 15_16 0.6229 37.53 0.0001448 6.314 1
2651 TRPV4 12_66 0.9008 24.40 0.0001362 4.416 1
11074 RPL12 9_66 0.8963 23.65 0.0001313 4.672 2
6130 GIGYF1 7_62 0.7192 29.31 0.0001306 5.333 2
genename region_tag susie_pip mu2 PVE z num_eqtl
11404 APOM 6_26 0.4313616 82.97 2.217e-04 10.648 1
12513 C4A 6_26 0.0757433 78.98 3.706e-05 10.418 1
5491 FURIN 15_42 0.9816533 91.36 5.556e-04 -9.913 1
11395 MSH5 6_26 0.0161372 75.88 7.586e-06 9.692 2
6275 CNNM2 10_66 0.0933454 38.45 2.224e-05 -9.577 2
11359 HLA-DMA 6_27 0.4760564 76.52 2.257e-04 -9.408 1
7634 GNL3 3_36 0.6297371 61.42 2.396e-04 9.369 2
10415 BTN3A2 6_20 0.0157564 113.26 1.106e-05 9.196 3
12454 HLA-DMB 6_27 0.0774689 73.39 3.522e-05 -9.090 2
6404 ABCB9 12_75 0.0007483 63.16 2.928e-07 8.638 1
9922 ARL6IP4 12_75 0.0006857 62.75 2.666e-07 8.615 1
8377 GLYCTK 3_36 0.1285609 69.60 5.544e-05 8.577 1
8384 SMIM4 3_36 0.0214386 53.83 7.150e-06 -8.494 1
10915 ZSCAN26 6_22 0.0204790 60.98 7.737e-06 8.222 3
6304 DRD2 11_67 0.9731089 54.28 3.273e-04 -8.047 2
9771 HARBI1 11_28 0.4556658 58.37 1.648e-04 8.046 1
9788 HIST1H2BC 6_20 0.0147966 86.91 7.967e-06 -7.993 1
2602 MDK 11_28 0.1623680 55.90 5.624e-05 -7.898 1
2996 NEK4 3_36 0.0113554 44.05 3.099e-06 7.846 1
2995 SPCS1 3_36 0.0111611 43.64 3.018e-06 -7.821 1


[1] 0.01322
#number of genes for gene set enrichment
length(genes)
[1] 52
Uploading data to Enrichr... Done.
Querying GO_Biological_Process_2021... Done.
Querying GO_Cellular_Component_2021... Done.
Querying GO_Molecular_Function_2021... Done.
Parsing results... Done.
[1] "GO_Biological_Process_2021"

[1] Term Overlap Adjusted.P.value Genes
<0 rows> (or 0-length row.names)
[1] "GO_Cellular_Component_2021"

[1] Term Overlap Adjusted.P.value Genes
<0 rows> (or 0-length row.names)
[1] "GO_Molecular_Function_2021"

[1] Term Overlap Adjusted.P.value Genes
<0 rows> (or 0-length row.names)
Description FDR Ratio BgRatio
34 Confusion 0.02784 1/21 1/9703
60 Gingival Hypertrophy 0.02784 1/21 1/9703
74 Infant, Premature, Diseases 0.02784 1/21 1/9703
117 Pneumonia, Viral 0.02784 1/21 1/9703
155 Left Ventricular Hypertrophy 0.02784 2/21 25/9703
180 Speech impairment 0.02784 1/21 1/9703
181 Derealization 0.02784 1/21 1/9703
198 Spondylometaphyseal dysplasia, Kozlowski type 0.02784 1/21 1/9703
199 Metatropic dwarfism 0.02784 1/21 1/9703
237 Brachyolmia Type 3 0.02784 1/21 1/9703
Loading the functional categories...
Loading the ID list...
Loading the reference list...
Performing the enrichment analysis...
Warning in oraEnrichment(interestGeneList, referenceGeneList, geneSet, minNum =
minNum, : No significant gene set is identified based on FDR 0.05!
NULL
Warning: 'timedatectl' indicates the non-existent timezone name 'n/a'
Warning: Your system is mis-configured: '/etc/localtime' is not a symlink
Warning: It is strongly recommended to set envionment variable TZ to 'America/
Chicago' (or equivalent)
Warning: ggrepel: 14 unlabeled data points (too many overlaps). Consider
increasing max.overlaps

#number of genes in known annotations
print(length(known_annotations))
[1] 130
#number of genes in known annotations with imputed expression
print(sum(known_annotations %in% ctwas_gene_res$genename))
[1] 59
#significance threshold for TWAS
print(sig_thresh)
[1] 4.594
#number of ctwas genes
length(ctwas_genes)
[1] 11
#number of TWAS genes
length(twas_genes)
[1] 152
#show novel genes (ctwas genes with not in TWAS genes)
ctwas_gene_res[ctwas_gene_res$genename %in% novel_genes,report_cols]
genename region_tag susie_pip mu2 PVE z num_eqtl
98 FARP2 2_144 0.8647 21.50 0.0001152 4.230 3
705 RASSF1 3_35 0.9608 912.47 0.0054316 4.532 1
6180 FAM135B 8_91 0.8575 22.13 0.0001176 -3.461 1
2651 TRPV4 12_66 0.9008 24.40 0.0001362 4.416 1
#sensitivity / recall
print(sensitivity)
ctwas TWAS
0.02308 0.18462
#specificity
print(specificity)
ctwas TWAS
0.9993 0.9888
#precision / PPV
print(precision)
ctwas TWAS
0.2727 0.1579

#number of genes in known annotations (with imputed expression)
print(length(known_annotations))
[1] 59
#number of bystander genes (with imputed expression)
print(length(unrelated_genes))
[1] 734
#subset results to genes in known annotations or bystanders
ctwas_gene_res_subset <- ctwas_gene_res[ctwas_gene_res$genename %in% c(known_annotations, unrelated_genes),]
#assign ctwas and TWAS genes
ctwas_genes <- ctwas_gene_res_subset$genename[ctwas_gene_res_subset$susie_pip>0.8]
twas_genes <- ctwas_gene_res_subset$genename[abs(ctwas_gene_res_subset$z)>sig_thresh]
#significance threshold for TWAS
print(sig_thresh)
[1] 4.594
#number of ctwas genes (in known annotations or bystanders)
length(ctwas_genes)
[1] 3
#number of TWAS genes (in known annotations or bystanders)
length(twas_genes)
[1] 50
#sensitivity / recall
sensitivity
ctwas TWAS
0.05085 0.40678
#specificity / (1 - False Positive Rate)
specificity
ctwas TWAS
1.0000 0.9646
#precision / PPV / (1 - False Discovery Rate)
precision
ctwas TWAS
1.00 0.48


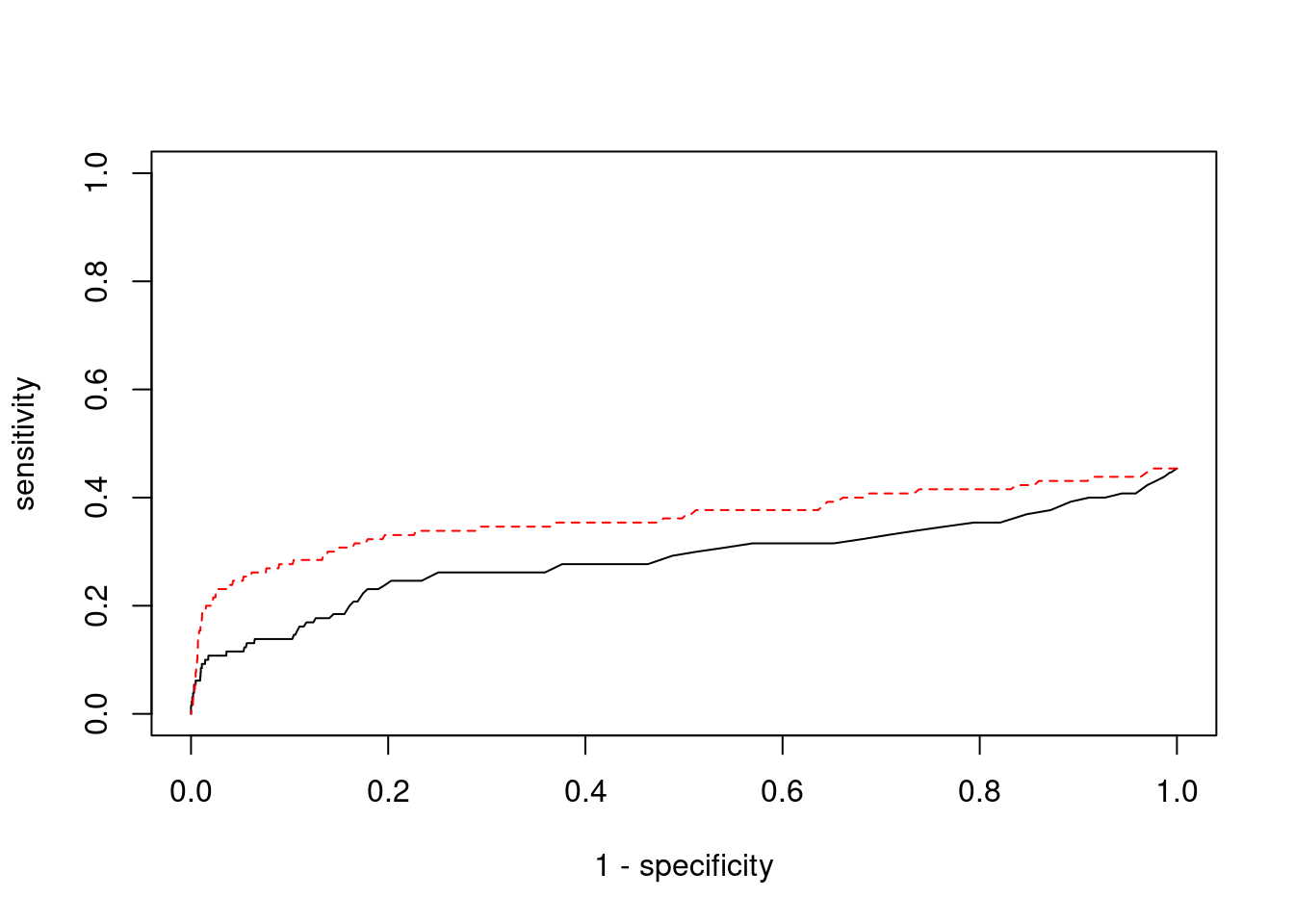
pip_range <- (0:1000)/1000
sensitivity <- rep(NA, length(pip_range))
specificity <- rep(NA, length(pip_range))
for (index in 1:length(pip_range)){
pip <- pip_range[index]
ctwas_genes <- ctwas_gene_res_subset$genename[ctwas_gene_res_subset$susie_pip>=pip]
sensitivity[index] <- sum(ctwas_genes %in% known_annotations)/length(known_annotations)
specificity[index] <- sum(!(unrelated_genes %in% ctwas_genes))/length(unrelated_genes)
}
plot(1-specificity, sensitivity, type="l", xlim=c(0,1), ylim=c(0,1), main="", xlab="1 - Specificity", ylab="Sensitivity")
title(expression("ROC Curve for cTWAS (black) and TWAS (" * phantom("red") * ")"))
title(expression(phantom("ROC Curve for cTWAS (black) and TWAS (") * "red" * phantom(")")), col.main="red")
sig_thresh_range <- seq(from=0, to=max(abs(ctwas_gene_res_subset$z)), length.out=length(pip_range))
for (index in 1:length(sig_thresh_range)){
sig_thresh_plot <- sig_thresh_range[index]
twas_genes <- ctwas_gene_res_subset$genename[abs(ctwas_gene_res_subset$z)>=sig_thresh_plot]
sensitivity[index] <- sum(twas_genes %in% known_annotations)/length(known_annotations)
specificity[index] <- sum(!(unrelated_genes %in% twas_genes))/length(unrelated_genes)
}
lines(1-specificity, sensitivity, xlim=c(0,1), ylim=c(0,1), col="red", lty=1)
abline(a=0,b=1,lty=3)
#add previously computed points from the analysis
ctwas_genes <- ctwas_gene_res_subset$genename[ctwas_gene_res_subset$susie_pip>0.8]
twas_genes <- ctwas_gene_res_subset$genename[abs(ctwas_gene_res_subset$z)>sig_thresh]
points(1-specificity_plot["ctwas"], sensitivity_plot["ctwas"], pch=21, bg="black")
points(1-specificity_plot["TWAS"], sensitivity_plot["TWAS"], pch=21, bg="red")

#table of outcomes for silver standard genes
-sort(-table(silver_standard_case))
silver_standard_case
Not Imputed Insignificant z-score Nearby SNP(s)
71 35 21
Detected (PIP > 0.8)
3
#show inconclusive genes
silver_standard_case[silver_standard_case=="Inconclusive"]
named character(0)

sessionInfo()
R version 3.6.1 (2019-07-05)
Platform: x86_64-pc-linux-gnu (64-bit)
Running under: Scientific Linux 7.4 (Nitrogen)
Matrix products: default
BLAS/LAPACK: /software/openblas-0.2.19-el7-x86_64/lib/libopenblas_haswellp-r0.2.19.so
locale:
[1] LC_CTYPE=en_US.UTF-8 LC_NUMERIC=C
[3] LC_TIME=en_US.UTF-8 LC_COLLATE=en_US.UTF-8
[5] LC_MONETARY=en_US.UTF-8 LC_MESSAGES=en_US.UTF-8
[7] LC_PAPER=en_US.UTF-8 LC_NAME=C
[9] LC_ADDRESS=C LC_TELEPHONE=C
[11] LC_MEASUREMENT=en_US.UTF-8 LC_IDENTIFICATION=C
attached base packages:
[1] parallel stats4 stats graphics grDevices utils datasets
[8] methods base
other attached packages:
[1] GenomicRanges_1.36.1 GenomeInfoDb_1.20.0 IRanges_2.18.1
[4] S4Vectors_0.22.1 BiocGenerics_0.30.0 biomaRt_2.40.1
[7] readxl_1.3.1 forcats_0.5.1 stringr_1.4.0
[10] dplyr_1.0.7 purrr_0.3.4 readr_2.1.1
[13] tidyr_1.1.4 tidyverse_1.3.1 tibble_3.1.6
[16] WebGestaltR_0.4.4 disgenet2r_0.99.2 enrichR_3.0
[19] cowplot_1.1.1 ggplot2_3.3.5 workflowr_1.7.0
loaded via a namespace (and not attached):
[1] ggbeeswarm_0.6.0 colorspace_2.0-2 rjson_0.2.20
[4] ellipsis_0.3.2 rprojroot_2.0.2 XVector_0.24.0
[7] fs_1.5.2 rstudioapi_0.13 farver_2.1.0
[10] ggrepel_0.9.1 bit64_4.0.5 AnnotationDbi_1.46.0
[13] fansi_1.0.2 lubridate_1.8.0 xml2_1.3.3
[16] codetools_0.2-16 doParallel_1.0.17 cachem_1.0.6
[19] knitr_1.36 jsonlite_1.7.2 apcluster_1.4.8
[22] Cairo_1.5-12.2 broom_0.7.10 dbplyr_2.1.1
[25] compiler_3.6.1 httr_1.4.2 backports_1.4.1
[28] assertthat_0.2.1 Matrix_1.2-18 fastmap_1.1.0
[31] cli_3.1.0 later_0.8.0 prettyunits_1.1.1
[34] htmltools_0.5.2 tools_3.6.1 igraph_1.2.10
[37] GenomeInfoDbData_1.2.1 gtable_0.3.0 glue_1.6.2
[40] reshape2_1.4.4 doRNG_1.8.2 Rcpp_1.0.8
[43] Biobase_2.44.0 cellranger_1.1.0 jquerylib_0.1.4
[46] vctrs_0.3.8 svglite_1.2.2 iterators_1.0.14
[49] xfun_0.29 ps_1.6.0 rvest_1.0.2
[52] lifecycle_1.0.1 rngtools_1.5.2 XML_3.99-0.3
[55] zlibbioc_1.30.0 getPass_0.2-2 scales_1.1.1
[58] vroom_1.5.7 hms_1.1.1 promises_1.0.1
[61] yaml_2.2.1 curl_4.3.2 memoise_2.0.1
[64] ggrastr_1.0.1 gdtools_0.1.9 stringi_1.7.6
[67] RSQLite_2.2.8 highr_0.9 foreach_1.5.2
[70] rlang_1.0.1 pkgconfig_2.0.3 bitops_1.0-7
[73] evaluate_0.14 lattice_0.20-38 labeling_0.4.2
[76] bit_4.0.4 processx_3.5.2 tidyselect_1.1.1
[79] plyr_1.8.6 magrittr_2.0.2 R6_2.5.1
[82] generics_0.1.1 DBI_1.1.2 pillar_1.6.4
[85] haven_2.4.3 whisker_0.3-2 withr_2.4.3
[88] RCurl_1.98-1.5 modelr_0.1.8 crayon_1.5.0
[91] utf8_1.2.2 tzdb_0.2.0 rmarkdown_2.11
[94] progress_1.2.2 grid_3.6.1 data.table_1.14.2
[97] blob_1.2.2 callr_3.7.0 git2r_0.26.1
[100] reprex_2.0.1 digest_0.6.29 httpuv_1.5.1
[103] munsell_0.5.0 beeswarm_0.2.3 vipor_0.4.5