Last updated: 2022-03-16
Checks: 5 2
Knit directory: cTWAS_analysis/
This reproducible R Markdown analysis was created with workflowr (version 1.7.0). The Checks tab describes the reproducibility checks that were applied when the results were created. The Past versions tab lists the development history.
The R Markdown file has unstaged changes. To know which version of the R Markdown file created these results, you’ll want to first commit it to the Git repo. If you’re still working on the analysis, you can ignore this warning. When you’re finished, you can run wflow_publish to commit the R Markdown file and build the HTML.
Great job! The global environment was empty. Objects defined in the global environment can affect the analysis in your R Markdown file in unknown ways. For reproduciblity it’s best to always run the code in an empty environment.
The command set.seed(20211220) was run prior to running the code in the R Markdown file. Setting a seed ensures that any results that rely on randomness, e.g. subsampling or permutations, are reproducible.
Great job! Recording the operating system, R version, and package versions is critical for reproducibility.
Nice! There were no cached chunks for this analysis, so you can be confident that you successfully produced the results during this run.
Using absolute paths to the files within your workflowr project makes it difficult for you and others to run your code on a different machine. Change the absolute path(s) below to the suggested relative path(s) to make your code more reproducible.
| absolute | relative |
|---|---|
| /project2/xinhe/shengqian/cTWAS/cTWAS_analysis/data/ | data |
| /project2/xinhe/shengqian/cTWAS/cTWAS_analysis/code/ctwas_config.R | code/ctwas_config.R |
Great! You are using Git for version control. Tracking code development and connecting the code version to the results is critical for reproducibility.
The results in this page were generated with repository version d57314b. See the Past versions tab to see a history of the changes made to the R Markdown and HTML files.
Note that you need to be careful to ensure that all relevant files for the analysis have been committed to Git prior to generating the results (you can use wflow_publish or wflow_git_commit). workflowr only checks the R Markdown file, but you know if there are other scripts or data files that it depends on. Below is the status of the Git repository when the results were generated:
Ignored files:
Ignored: .ipynb_checkpoints/
Ignored: data/AF/
Untracked files:
Untracked: Rplot.png
Untracked: analysis/.ipynb_checkpoints/
Untracked: analysis/SCZ_2020_Brain_Amygdala.Rmd
Untracked: analysis/SCZ_2020_Brain_Anterior_cingulate_cortex_BA24.Rmd
Untracked: analysis/SCZ_2020_Brain_Caudate_basal_ganglia.Rmd
Untracked: analysis/SCZ_2020_Brain_Cerebellar_Hemisphere.Rmd
Untracked: analysis/SCZ_2020_Brain_Cerebellum.Rmd
Untracked: analysis/SCZ_2020_Brain_Hippocampus.Rmd
Untracked: analysis/SCZ_2020_Brain_Nucleus_accumbens_basal_ganglia.Rmd
Untracked: analysis/SCZ_2020_Brain_Spinal_cord_cervical_c-1.Rmd
Untracked: analysis/SCZ_2020_Brain_Substantia_nigra.Rmd
Untracked: code/.ipynb_checkpoints/
Untracked: code/AF_out/
Untracked: code/Autism_out/
Untracked: code/BMI_S_out/
Untracked: code/BMI_out/
Untracked: code/Glucose_out/
Untracked: code/LDL_S_out/
Untracked: code/SCZ_2014_EUR_out/
Untracked: code/SCZ_2020_out/
Untracked: code/SCZ_S_out/
Untracked: code/SCZ_out/
Untracked: code/T2D_out/
Untracked: code/ctwas_config.R
Untracked: code/mapping.R
Untracked: code/out/
Untracked: code/run_AF_analysis.sbatch
Untracked: code/run_AF_analysis.sh
Untracked: code/run_AF_ctwas_rss_LDR.R
Untracked: code/run_Autism_analysis.sbatch
Untracked: code/run_Autism_analysis.sh
Untracked: code/run_Autism_ctwas_rss_LDR.R
Untracked: code/run_BMI_analysis.sbatch
Untracked: code/run_BMI_analysis.sh
Untracked: code/run_BMI_analysis_S.sbatch
Untracked: code/run_BMI_analysis_S.sh
Untracked: code/run_BMI_ctwas_rss_LDR.R
Untracked: code/run_BMI_ctwas_rss_LDR_S.R
Untracked: code/run_Glucose_analysis.sbatch
Untracked: code/run_Glucose_analysis.sh
Untracked: code/run_Glucose_ctwas_rss_LDR.R
Untracked: code/run_LDL_analysis_S.sbatch
Untracked: code/run_LDL_analysis_S.sh
Untracked: code/run_LDL_ctwas_rss_LDR_S.R
Untracked: code/run_SCZ_2014_EUR_analysis.sbatch
Untracked: code/run_SCZ_2014_EUR_analysis.sh
Untracked: code/run_SCZ_2014_EUR_ctwas_rss_LDR.R
Untracked: code/run_SCZ_2020_analysis.sbatch
Untracked: code/run_SCZ_2020_analysis.sh
Untracked: code/run_SCZ_2020_ctwas_rss_LDR.R
Untracked: code/run_SCZ_analysis.sbatch
Untracked: code/run_SCZ_analysis.sh
Untracked: code/run_SCZ_analysis_S.sbatch
Untracked: code/run_SCZ_analysis_S.sh
Untracked: code/run_SCZ_ctwas_rss_LDR.R
Untracked: code/run_SCZ_ctwas_rss_LDR_S.R
Untracked: code/run_T2D_analysis.sbatch
Untracked: code/run_T2D_analysis.sh
Untracked: code/run_T2D_ctwas_rss_LDR.R
Untracked: code/wflow_build.R
Untracked: code/wflow_build.sbatch
Untracked: data/.ipynb_checkpoints/
Untracked: data/BMI/
Untracked: data/PGC3_SCZ_wave3_public.v2.tsv
Untracked: data/SCZ/
Untracked: data/SCZ_2014_EUR/
Untracked: data/SCZ_2020/
Untracked: data/SCZ_S/
Untracked: data/T2D/
Untracked: data/UKBB/
Untracked: data/UKBB_SNPs_Info.text
Untracked: data/gene_OMIM.txt
Untracked: data/gene_pip_0.8.txt
Untracked: data/mashr_Heart_Atrial_Appendage.db
Untracked: data/mashr_sqtl/
Untracked: data/summary_known_genes_annotations.xlsx
Untracked: data/untitled.txt
Unstaged changes:
Modified: analysis/SCZ_2020_Brain_Cortex.Rmd
Modified: analysis/SCZ_2020_Brain_Frontal_Cortex_BA9.Rmd
Modified: analysis/SCZ_2020_Brain_Hypothalamus.Rmd
Modified: analysis/SCZ_2020_Brain_Putamen_basal_ganglia.Rmd
Note that any generated files, e.g. HTML, png, CSS, etc., are not included in this status report because it is ok for generated content to have uncommitted changes.
These are the previous versions of the repository in which changes were made to the R Markdown (analysis/SCZ_2020_Brain_Putamen_basal_ganglia.Rmd) and HTML (docs/SCZ_2020_Brain_Putamen_basal_ganglia.html) files. If you’ve configured a remote Git repository (see ?wflow_git_remote), click on the hyperlinks in the table below to view the files as they were in that past version.
| File | Version | Author | Date | Message |
|---|---|---|---|---|
| Rmd | d57314b | sq-96 | 2022-03-15 | update |
#number of imputed weights
nrow(qclist_all)
[1] 11271
#number of imputed weights by chromosome
table(qclist_all$chr)
1 2 3 4 5 6 7 8 9 10 11 12 13 14 15 16
1120 786 659 444 526 660 552 400 410 451 667 642 225 382 381 514
17 18 19 20 21 22
684 177 856 347 121 267
#number of imputed weights without missing variants
sum(qclist_all$nmiss==0)
[1] 8824
#proportion of imputed weights without missing variants
mean(qclist_all$nmiss==0)
[1] 0.7829

#estimated group prior
estimated_group_prior <- group_prior_rec[,ncol(group_prior_rec)]
names(estimated_group_prior) <- c("gene", "snp")
estimated_group_prior["snp"] <- estimated_group_prior["snp"]*thin #adjust parameter to account for thin argument
print(estimated_group_prior)
gene snp
0.0103659 0.0002745
#estimated group prior variance
estimated_group_prior_var <- group_prior_var_rec[,ncol(group_prior_var_rec)]
names(estimated_group_prior_var) <- c("gene", "snp")
print(estimated_group_prior_var)
gene snp
16.2 12.6
#report sample size
print(sample_size)
[1] 161405
#report group size
group_size <- c(nrow(ctwas_gene_res), n_snps)
print(group_size)
[1] 11271 7394310
#estimated group PVE
estimated_group_pve <- estimated_group_prior_var*estimated_group_prior*group_size/sample_size #check PVE calculation
names(estimated_group_pve) <- c("gene", "snp")
print(estimated_group_pve)
gene snp
0.01173 0.15837
#compare sum(PIP*mu2/sample_size) with above PVE calculation
c(sum(ctwas_gene_res$PVE),sum(ctwas_snp_res$PVE))
[1] 0.04683 0.79781

genename region_tag susie_pip mu2 PVE z num_eqtl
6842 SPPL3 12_74 0.9849 34.38 2.098e-04 -5.6124 2
9521 LSMEM2 3_35 0.9794 1012.56 6.144e-03 4.2709 1
10867 ZNF823 19_10 0.9784 40.71 2.467e-04 6.3109 1
11990 AC012074.2 2_15 0.9765 31.00 1.876e-04 5.4694 1
4092 FEZF1 7_74 0.9513 24.14 1.423e-04 -4.6555 1
3781 BTN2A2 6_20 0.9347 26.05 1.508e-04 -0.9406 2
2638 TRPV4 12_66 0.8883 25.17 1.385e-04 4.4157 1
4466 ACY3 11_37 0.8301 20.36 1.047e-04 -3.3965 1
7789 GTF2A1 14_39 0.8059 24.82 1.239e-04 -4.8497 1
75 OSBPL7 17_28 0.7966 23.11 1.141e-04 4.3242 2
3080 QPCT 2_23 0.7948 38.26 1.884e-04 6.2812 2
10872 RPL12 9_66 0.7918 24.58 1.206e-04 4.6699 2
9612 GSX2 4_39 0.7915 24.78 1.215e-04 4.7860 1
2678 MRPL51 12_7 0.7804 22.34 1.080e-04 3.9435 1
6521 SLC25A27 6_35 0.7746 23.03 1.105e-04 -3.8945 3
5424 CPNE2 16_30 0.7725 22.06 1.056e-04 -4.1250 1
11945 HIST1H2BN 6_21 0.7651 177.22 8.400e-04 13.1822 1
5311 C12orf10 12_33 0.7513 26.18 1.219e-04 -4.9630 1
13295 RP11-47A8.5 10_66 0.7454 36.08 1.666e-04 4.2823 1
12644 CEP95 17_37 0.7366 21.37 9.752e-05 -3.8003 1

genename region_tag susie_pip mu2 PVE z num_eqtl
9521 LSMEM2 3_35 9.794e-01 1012.56 6.144e-03 4.2709 1
206 SEMA3B 3_35 9.526e-07 989.37 5.839e-09 1.0870 1
10436 SLC38A3 3_35 1.970e-07 247.64 3.022e-10 -2.7756 1
123 CACNA2D2 3_35 9.002e-07 225.92 1.260e-09 -0.1392 1
36 RBM6 3_35 4.844e-01 193.33 5.802e-04 4.4688 1
12210 NAT6 3_35 6.637e-08 179.02 7.361e-11 1.8009 2
11945 HIST1H2BN 6_21 7.651e-01 177.22 8.400e-04 13.1822 1
10270 HYAL3 3_35 6.470e-08 170.13 6.820e-11 -2.5066 1
7563 CAMKV 3_35 9.880e-06 168.16 1.029e-08 -1.7107 1
7565 MST1R 3_35 1.296e-04 145.52 1.168e-07 -4.0250 1
13230 RP1-86C11.7 6_21 1.374e-01 123.77 1.054e-04 10.5382 1
10244 BTN3A2 6_20 1.059e-02 116.76 7.657e-06 8.0974 3
1208 DOCK3 3_35 1.604e-06 112.81 1.121e-09 0.3011 1
7560 RNF123 3_35 6.096e-08 94.80 3.580e-11 -2.3622 1
11197 APOM 6_26 3.717e-01 87.55 2.016e-04 10.6484 1
12247 C4A 6_26 3.016e-01 87.12 1.628e-04 10.6070 1
11156 HLA-DMA 6_27 5.528e-01 78.48 2.688e-04 -9.4095 2
13228 U91328.19 6_20 6.651e-02 72.58 2.991e-05 -6.2195 1
11190 MSH5 6_26 8.706e-04 69.73 3.761e-07 9.0192 2
6302 ABCB9 12_75 5.159e-04 66.63 2.130e-07 8.6382 1
genename region_tag susie_pip mu2 PVE z num_eqtl
9521 LSMEM2 3_35 0.9794 1012.56 0.0061444 4.2709 1
11945 HIST1H2BN 6_21 0.7651 177.22 0.0008400 13.1822 1
36 RBM6 3_35 0.4844 193.33 0.0005802 4.4688 1
11156 HLA-DMA 6_27 0.5528 78.48 0.0002688 -9.4095 2
3950 IRF3 19_34 0.7190 55.82 0.0002487 -7.5059 1
10867 ZNF823 19_10 0.9784 40.71 0.0002467 6.3109 1
3043 SF3B1 2_117 0.6646 52.94 0.0002180 7.6053 1
6842 SPPL3 12_74 0.9849 34.38 0.0002098 -5.6124 2
8111 GATAD2A 19_16 0.6292 52.66 0.0002053 -7.4194 1
11197 APOM 6_26 0.3717 87.55 0.0002016 10.6484 1
7527 GNL3 3_36 0.4880 63.17 0.0001910 9.0882 2
10828 NMB 15_39 0.6170 49.70 0.0001900 7.1213 1
3080 QPCT 2_23 0.7948 38.26 0.0001884 6.2812 2
11990 AC012074.2 2_15 0.9765 31.00 0.0001876 5.4694 1
9596 HARBI1 11_28 0.4666 60.14 0.0001739 8.0462 1
13295 RP11-47A8.5 10_66 0.7454 36.08 0.0001666 4.2823 1
12247 C4A 6_26 0.3016 87.12 0.0001628 10.6070 1
3781 BTN2A2 6_20 0.9347 26.05 0.0001508 -0.9406 2
4092 FEZF1 7_74 0.9513 24.14 0.0001423 -4.6555 1
2638 TRPV4 12_66 0.8883 25.17 0.0001385 4.4157 1
genename region_tag susie_pip mu2 PVE z num_eqtl
11945 HIST1H2BN 6_21 0.7650567 177.22 8.400e-04 13.182 1
11197 APOM 6_26 0.3717378 87.55 2.016e-04 10.648 1
12247 C4A 6_26 0.3016414 87.12 1.628e-04 10.607 1
13230 RP1-86C11.7 6_21 0.1374458 123.77 1.054e-04 10.538 1
905 NT5C2 10_66 0.1439382 53.47 4.769e-05 -9.705 1
6164 CNNM2 10_66 0.1187419 52.87 3.889e-05 -9.686 1
11156 HLA-DMA 6_27 0.5528062 78.48 2.688e-04 -9.409 2
7527 GNL3 3_36 0.4880252 63.17 1.910e-04 9.088 2
11190 MSH5 6_26 0.0008706 69.73 3.761e-07 9.019 2
7528 PBRM1 3_36 0.0213831 59.35 7.863e-06 -8.722 1
6302 ABCB9 12_75 0.0005159 66.63 2.130e-07 8.638 1
8250 SMIM4 3_36 0.0180570 56.86 6.361e-06 -8.494 1
11497 AS3MT 10_66 0.0020186 57.12 7.144e-07 8.363 1
10244 BTN3A2 6_20 0.0105851 116.76 7.657e-06 8.097 3
9596 HARBI1 11_28 0.4665954 60.14 1.739e-04 8.046 1
10593 TUBB 6_24 0.0083018 59.21 3.046e-06 -7.980 1
2590 MDK 11_28 0.1614738 57.66 5.768e-05 -7.898 1
2971 NEK4 3_36 0.0103125 48.29 3.085e-06 7.898 1
11346 DNAJC19 3_111 0.0216825 56.90 7.644e-06 7.788 1
245 GLT8D1 3_36 0.0092730 46.07 2.647e-06 7.782 1


#proportion of significant z scores
mean(abs(ctwas_gene_res$z) > sig_thresh)
[1] 0.01473
#number of genes for gene set enrichment
length(genes)
[1] 57
Uploading data to Enrichr... Done.
Querying GO_Biological_Process_2021... Done.
Querying GO_Cellular_Component_2021... Done.
Querying GO_Molecular_Function_2021... Done.
Parsing results... Done.
[1] "GO_Biological_Process_2021"

[1] Term Overlap Adjusted.P.value Genes
<0 rows> (or 0-length row.names)
[1] "GO_Cellular_Component_2021"

[1] Term Overlap Adjusted.P.value Genes
<0 rows> (or 0-length row.names)
[1] "GO_Molecular_Function_2021"

[1] Term Overlap Adjusted.P.value Genes
<0 rows> (or 0-length row.names)
Description
15 Confusion
30 Chronic Lymphocytic Leukemia
72 Speech impairment
73 Derealization
82 Spondylometaphyseal dysplasia, Kozlowski type
83 Metatropic dwarfism
107 Brachyolmia Type 3
114 Sexually disinhibited behavior
123 Hypersomnia, Recurrent
145 SPINAL MUSCULAR ATROPHY, DISTAL, CONGENITAL NONPROGRESSIVE (disorder)
FDR Ratio BgRatio
15 0.01737 1/25 1/9703
30 0.01737 3/25 55/9703
72 0.01737 1/25 1/9703
73 0.01737 1/25 1/9703
82 0.01737 1/25 1/9703
83 0.01737 1/25 1/9703
107 0.01737 1/25 1/9703
114 0.01737 1/25 1/9703
123 0.01737 1/25 1/9703
145 0.01737 1/25 1/9703
Loading the functional categories...
Loading the ID list...
Loading the reference list...
Performing the enrichment analysis...
Warning in oraEnrichment(interestGeneList, referenceGeneList, geneSet, minNum =
minNum, : No significant gene set is identified based on FDR 0.05!
NULL
Warning: ggrepel: 13 unlabeled data points (too many overlaps). Consider
increasing max.overlaps

#number of genes in known annotations
print(length(known_annotations))
[1] 130
#number of genes in known annotations with imputed expression
print(sum(known_annotations %in% ctwas_gene_res$genename))
[1] 61
#significance threshold for TWAS
print(sig_thresh)
[1] 4.59
#number of ctwas genes
length(ctwas_genes)
[1] 9
#number of TWAS genes
length(twas_genes)
[1] 166
#show novel genes (ctwas genes with not in TWAS genes)
ctwas_gene_res[ctwas_gene_res$genename %in% novel_genes,report_cols]
genename region_tag susie_pip mu2 PVE z num_eqtl
9521 LSMEM2 3_35 0.9794 1012.56 0.0061444 4.2709 1
3781 BTN2A2 6_20 0.9347 26.05 0.0001508 -0.9406 2
4466 ACY3 11_37 0.8301 20.36 0.0001047 -3.3965 1
2638 TRPV4 12_66 0.8883 25.17 0.0001385 4.4157 1
#sensitivity / recall
print(sensitivity)
ctwas TWAS
0.007692 0.138462
#specificity
print(specificity)
ctwas TWAS
0.9993 0.9868
#precision / PPV
print(precision)
ctwas TWAS
0.1111 0.1084

#number of genes in known annotations (with imputed expression)
print(length(known_annotations))
[1] 61
#number of bystander genes (with imputed expression)
print(length(unrelated_genes))
[1] 820
#subset results to genes in known annotations or bystanders
ctwas_gene_res_subset <- ctwas_gene_res[ctwas_gene_res$genename %in% c(known_annotations, unrelated_genes),]
#assign ctwas and TWAS genes
ctwas_genes <- ctwas_gene_res_subset$genename[ctwas_gene_res_subset$susie_pip>0.8]
twas_genes <- ctwas_gene_res_subset$genename[abs(ctwas_gene_res_subset$z)>sig_thresh]
#significance threshold for TWAS
print(sig_thresh)
[1] 4.59
#number of ctwas genes (in known annotations or bystanders)
length(ctwas_genes)
[1] 1
#number of TWAS genes (in known annotations or bystanders)
length(twas_genes)
[1] 57
#sensitivity / recall
sensitivity
ctwas TWAS
0.01639 0.29508
#specificity / (1 - False Positive Rate)
specificity
ctwas TWAS
1.0000 0.9524
#precision / PPV / (1 - False Discovery Rate)
precision
ctwas TWAS
1.0000 0.3158


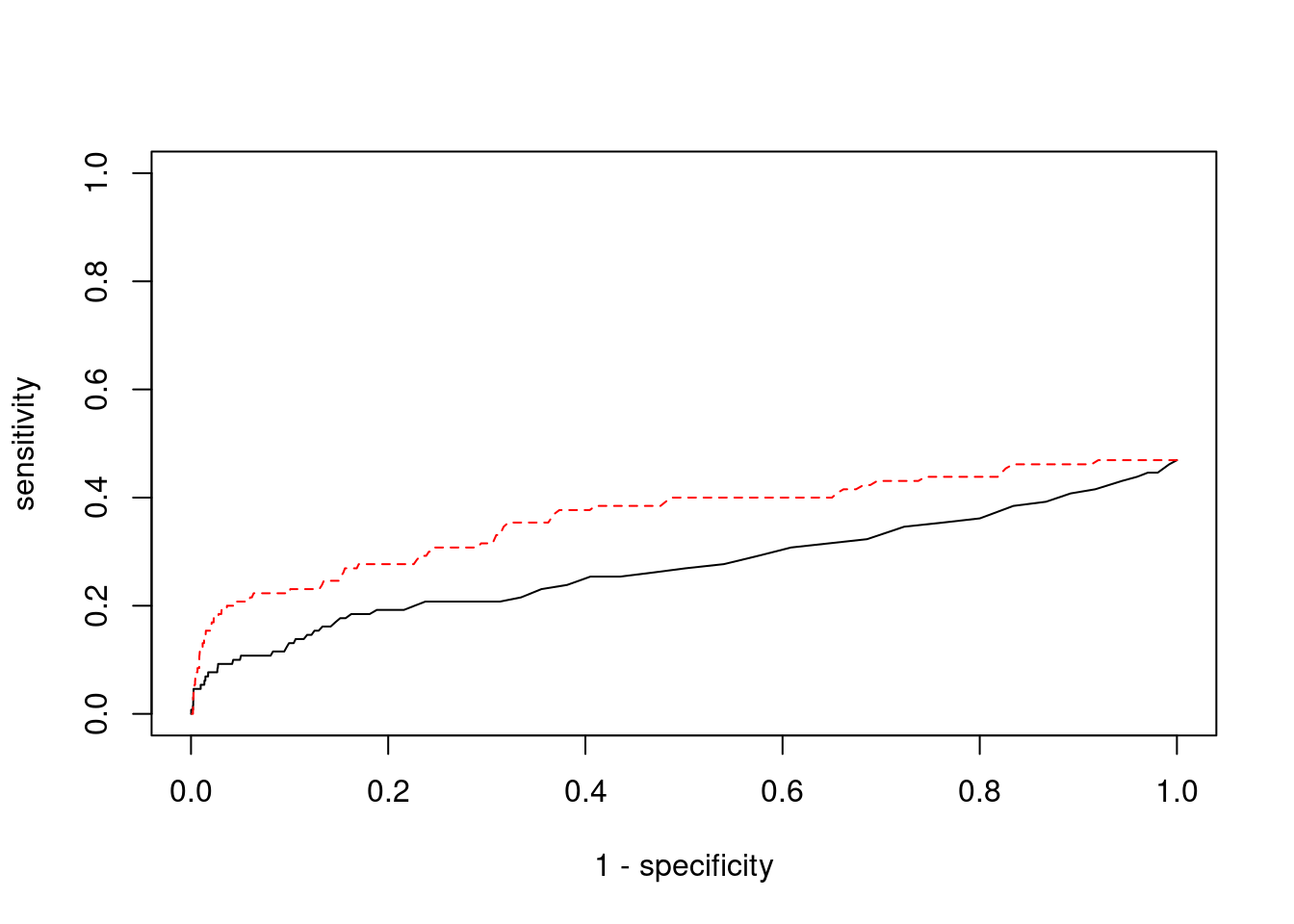
pip_range <- (0:1000)/1000
sensitivity <- rep(NA, length(pip_range))
specificity <- rep(NA, length(pip_range))
for (index in 1:length(pip_range)){
pip <- pip_range[index]
ctwas_genes <- ctwas_gene_res_subset$genename[ctwas_gene_res_subset$susie_pip>=pip]
sensitivity[index] <- sum(ctwas_genes %in% known_annotations)/length(known_annotations)
specificity[index] <- sum(!(unrelated_genes %in% ctwas_genes))/length(unrelated_genes)
}
plot(1-specificity, sensitivity, type="l", xlim=c(0,1), ylim=c(0,1), main="", xlab="1 - Specificity", ylab="Sensitivity")
title(expression("ROC Curve for cTWAS (black) and TWAS (" * phantom("red") * ")"))
title(expression(phantom("ROC Curve for cTWAS (black) and TWAS (") * "red" * phantom(")")), col.main="red")
sig_thresh_range <- seq(from=0, to=max(abs(ctwas_gene_res_subset$z)), length.out=length(pip_range))
for (index in 1:length(sig_thresh_range)){
sig_thresh_plot <- sig_thresh_range[index]
twas_genes <- ctwas_gene_res_subset$genename[abs(ctwas_gene_res_subset$z)>=sig_thresh_plot]
sensitivity[index] <- sum(twas_genes %in% known_annotations)/length(known_annotations)
specificity[index] <- sum(!(unrelated_genes %in% twas_genes))/length(unrelated_genes)
}
lines(1-specificity, sensitivity, xlim=c(0,1), ylim=c(0,1), col="red", lty=1)
abline(a=0,b=1,lty=3)
#add previously computed points from the analysis
ctwas_genes <- ctwas_gene_res_subset$genename[ctwas_gene_res_subset$susie_pip>0.8]
twas_genes <- ctwas_gene_res_subset$genename[abs(ctwas_gene_res_subset$z)>sig_thresh]
points(1-specificity_plot["ctwas"], sensitivity_plot["ctwas"], pch=21, bg="black")
points(1-specificity_plot["TWAS"], sensitivity_plot["TWAS"], pch=21, bg="red")

#table of outcomes for silver standard genes
-sort(-table(silver_standard_case))
silver_standard_case
Not Imputed Insignificant z-score Nearby SNP(s)
69 43 17
Detected (PIP > 0.8)
1
#show inconclusive genes
silver_standard_case[silver_standard_case=="Inconclusive"]
named character(0)

sessionInfo()
R version 3.6.1 (2019-07-05)
Platform: x86_64-pc-linux-gnu (64-bit)
Running under: Scientific Linux 7.4 (Nitrogen)
Matrix products: default
BLAS/LAPACK: /software/openblas-0.2.19-el7-x86_64/lib/libopenblas_haswellp-r0.2.19.so
locale:
[1] LC_CTYPE=en_US.UTF-8 LC_NUMERIC=C
[3] LC_TIME=en_US.UTF-8 LC_COLLATE=en_US.UTF-8
[5] LC_MONETARY=en_US.UTF-8 LC_MESSAGES=en_US.UTF-8
[7] LC_PAPER=en_US.UTF-8 LC_NAME=C
[9] LC_ADDRESS=C LC_TELEPHONE=C
[11] LC_MEASUREMENT=en_US.UTF-8 LC_IDENTIFICATION=C
attached base packages:
[1] parallel stats4 stats graphics grDevices utils datasets
[8] methods base
other attached packages:
[1] GenomicRanges_1.36.1 GenomeInfoDb_1.20.0 IRanges_2.18.1
[4] S4Vectors_0.22.1 BiocGenerics_0.30.0 biomaRt_2.40.1
[7] readxl_1.3.1 forcats_0.5.1 stringr_1.4.0
[10] dplyr_1.0.7 purrr_0.3.4 readr_2.1.1
[13] tidyr_1.1.4 tidyverse_1.3.1 tibble_3.1.6
[16] WebGestaltR_0.4.4 disgenet2r_0.99.2 enrichR_3.0
[19] cowplot_1.1.1 ggplot2_3.3.5 workflowr_1.7.0
loaded via a namespace (and not attached):
[1] ggbeeswarm_0.6.0 colorspace_2.0-2 rjson_0.2.20
[4] ellipsis_0.3.2 rprojroot_2.0.2 XVector_0.24.0
[7] fs_1.5.2 rstudioapi_0.13 farver_2.1.0
[10] ggrepel_0.9.1 bit64_4.0.5 AnnotationDbi_1.46.0
[13] fansi_1.0.2 lubridate_1.8.0 xml2_1.3.3
[16] codetools_0.2-16 doParallel_1.0.17 cachem_1.0.6
[19] knitr_1.36 jsonlite_1.7.2 apcluster_1.4.8
[22] Cairo_1.5-12.2 broom_0.7.10 dbplyr_2.1.1
[25] compiler_3.6.1 httr_1.4.2 backports_1.4.1
[28] assertthat_0.2.1 Matrix_1.2-18 fastmap_1.1.0
[31] cli_3.1.0 later_0.8.0 prettyunits_1.1.1
[34] htmltools_0.5.2 tools_3.6.1 igraph_1.2.10
[37] GenomeInfoDbData_1.2.1 gtable_0.3.0 glue_1.6.2
[40] reshape2_1.4.4 doRNG_1.8.2 Rcpp_1.0.8
[43] Biobase_2.44.0 cellranger_1.1.0 jquerylib_0.1.4
[46] vctrs_0.3.8 svglite_1.2.2 iterators_1.0.14
[49] xfun_0.29 ps_1.6.0 rvest_1.0.2
[52] lifecycle_1.0.1 rngtools_1.5.2 XML_3.99-0.3
[55] zlibbioc_1.30.0 getPass_0.2-2 scales_1.1.1
[58] vroom_1.5.7 hms_1.1.1 promises_1.0.1
[61] yaml_2.2.1 curl_4.3.2 memoise_2.0.1
[64] ggrastr_1.0.1 gdtools_0.1.9 stringi_1.7.6
[67] RSQLite_2.2.8 highr_0.9 foreach_1.5.2
[70] rlang_1.0.1 pkgconfig_2.0.3 bitops_1.0-7
[73] evaluate_0.14 lattice_0.20-38 labeling_0.4.2
[76] bit_4.0.4 processx_3.5.2 tidyselect_1.1.1
[79] plyr_1.8.6 magrittr_2.0.2 R6_2.5.1
[82] generics_0.1.1 DBI_1.1.2 pillar_1.6.4
[85] haven_2.4.3 whisker_0.3-2 withr_2.4.3
[88] RCurl_1.98-1.5 modelr_0.1.8 crayon_1.5.0
[91] utf8_1.2.2 tzdb_0.2.0 rmarkdown_2.11
[94] progress_1.2.2 grid_3.6.1 data.table_1.14.2
[97] blob_1.2.2 callr_3.7.0 git2r_0.26.1
[100] reprex_2.0.1 digest_0.6.29 httpuv_1.5.1
[103] munsell_0.5.0 beeswarm_0.2.3 vipor_0.4.5