Last updated: 2022-03-16
Checks: 5 2
Knit directory: cTWAS_analysis/
This reproducible R Markdown analysis was created with workflowr (version 1.7.0). The Checks tab describes the reproducibility checks that were applied when the results were created. The Past versions tab lists the development history.
The R Markdown is untracked by Git. To know which version of the R Markdown file created these results, you’ll want to first commit it to the Git repo. If you’re still working on the analysis, you can ignore this warning. When you’re finished, you can run wflow_publish to commit the R Markdown file and build the HTML.
Great job! The global environment was empty. Objects defined in the global environment can affect the analysis in your R Markdown file in unknown ways. For reproduciblity it’s best to always run the code in an empty environment.
The command set.seed(20211220) was run prior to running the code in the R Markdown file. Setting a seed ensures that any results that rely on randomness, e.g. subsampling or permutations, are reproducible.
Great job! Recording the operating system, R version, and package versions is critical for reproducibility.
Nice! There were no cached chunks for this analysis, so you can be confident that you successfully produced the results during this run.
Using absolute paths to the files within your workflowr project makes it difficult for you and others to run your code on a different machine. Change the absolute path(s) below to the suggested relative path(s) to make your code more reproducible.
| absolute | relative |
|---|---|
| /project2/xinhe/shengqian/cTWAS/cTWAS_analysis/data/ | data |
| /project2/xinhe/shengqian/cTWAS/cTWAS_analysis/code/ctwas_config.R | code/ctwas_config.R |
Great! You are using Git for version control. Tracking code development and connecting the code version to the results is critical for reproducibility.
The results in this page were generated with repository version d57314b. See the Past versions tab to see a history of the changes made to the R Markdown and HTML files.
Note that you need to be careful to ensure that all relevant files for the analysis have been committed to Git prior to generating the results (you can use wflow_publish or wflow_git_commit). workflowr only checks the R Markdown file, but you know if there are other scripts or data files that it depends on. Below is the status of the Git repository when the results were generated:
Ignored files:
Ignored: .ipynb_checkpoints/
Ignored: data/AF/
Untracked files:
Untracked: Rplot.png
Untracked: analysis/.ipynb_checkpoints/
Untracked: analysis/SCZ_2020_Brain_Amygdala.Rmd
Untracked: analysis/SCZ_2020_Brain_Anterior_cingulate_cortex_BA24.Rmd
Untracked: analysis/SCZ_2020_Brain_Caudate_basal_ganglia.Rmd
Untracked: analysis/SCZ_2020_Brain_Cerebellar_Hemisphere.Rmd
Untracked: analysis/SCZ_2020_Brain_Cerebellum.Rmd
Untracked: analysis/SCZ_2020_Brain_Hippocampus.Rmd
Untracked: analysis/SCZ_2020_Brain_Nucleus_accumbens_basal_ganglia.Rmd
Untracked: analysis/SCZ_2020_Brain_Spinal_cord_cervical_c-1.Rmd
Untracked: analysis/SCZ_2020_Brain_Substantia_nigra.Rmd
Untracked: code/.ipynb_checkpoints/
Untracked: code/AF_out/
Untracked: code/Autism_out/
Untracked: code/BMI_S_out/
Untracked: code/BMI_out/
Untracked: code/Glucose_out/
Untracked: code/LDL_S_out/
Untracked: code/SCZ_2014_EUR_out/
Untracked: code/SCZ_2020_out/
Untracked: code/SCZ_S_out/
Untracked: code/SCZ_out/
Untracked: code/T2D_out/
Untracked: code/ctwas_config.R
Untracked: code/mapping.R
Untracked: code/out/
Untracked: code/run_AF_analysis.sbatch
Untracked: code/run_AF_analysis.sh
Untracked: code/run_AF_ctwas_rss_LDR.R
Untracked: code/run_Autism_analysis.sbatch
Untracked: code/run_Autism_analysis.sh
Untracked: code/run_Autism_ctwas_rss_LDR.R
Untracked: code/run_BMI_analysis.sbatch
Untracked: code/run_BMI_analysis.sh
Untracked: code/run_BMI_analysis_S.sbatch
Untracked: code/run_BMI_analysis_S.sh
Untracked: code/run_BMI_ctwas_rss_LDR.R
Untracked: code/run_BMI_ctwas_rss_LDR_S.R
Untracked: code/run_Glucose_analysis.sbatch
Untracked: code/run_Glucose_analysis.sh
Untracked: code/run_Glucose_ctwas_rss_LDR.R
Untracked: code/run_LDL_analysis_S.sbatch
Untracked: code/run_LDL_analysis_S.sh
Untracked: code/run_LDL_ctwas_rss_LDR_S.R
Untracked: code/run_SCZ_2014_EUR_analysis.sbatch
Untracked: code/run_SCZ_2014_EUR_analysis.sh
Untracked: code/run_SCZ_2014_EUR_ctwas_rss_LDR.R
Untracked: code/run_SCZ_2020_analysis.sbatch
Untracked: code/run_SCZ_2020_analysis.sh
Untracked: code/run_SCZ_2020_ctwas_rss_LDR.R
Untracked: code/run_SCZ_analysis.sbatch
Untracked: code/run_SCZ_analysis.sh
Untracked: code/run_SCZ_analysis_S.sbatch
Untracked: code/run_SCZ_analysis_S.sh
Untracked: code/run_SCZ_ctwas_rss_LDR.R
Untracked: code/run_SCZ_ctwas_rss_LDR_S.R
Untracked: code/run_T2D_analysis.sbatch
Untracked: code/run_T2D_analysis.sh
Untracked: code/run_T2D_ctwas_rss_LDR.R
Untracked: code/wflow_build.R
Untracked: code/wflow_build.sbatch
Untracked: data/.ipynb_checkpoints/
Untracked: data/BMI/
Untracked: data/PGC3_SCZ_wave3_public.v2.tsv
Untracked: data/SCZ/
Untracked: data/SCZ_2014_EUR/
Untracked: data/SCZ_2020/
Untracked: data/SCZ_S/
Untracked: data/T2D/
Untracked: data/UKBB/
Untracked: data/UKBB_SNPs_Info.text
Untracked: data/gene_OMIM.txt
Untracked: data/gene_pip_0.8.txt
Untracked: data/mashr_Heart_Atrial_Appendage.db
Untracked: data/mashr_sqtl/
Untracked: data/summary_known_genes_annotations.xlsx
Untracked: data/untitled.txt
Unstaged changes:
Modified: analysis/SCZ_2020_Brain_Cortex.Rmd
Modified: analysis/SCZ_2020_Brain_Frontal_Cortex_BA9.Rmd
Modified: analysis/SCZ_2020_Brain_Hypothalamus.Rmd
Modified: analysis/SCZ_2020_Brain_Putamen_basal_ganglia.Rmd
Note that any generated files, e.g. HTML, png, CSS, etc., are not included in this status report because it is ok for generated content to have uncommitted changes.
There are no past versions. Publish this analysis with wflow_publish() to start tracking its development.
#number of imputed weights
nrow(qclist_all)
[1] 10065
#number of imputed weights by chromosome
table(qclist_all$chr)
1 2 3 4 5 6 7 8 9 10 11 12 13 14 15 16 17 18 19 20
962 709 601 389 485 582 471 392 396 396 599 566 214 331 336 458 601 154 778 312
21 22
111 222
#number of imputed weights without missing variants
sum(qclist_all$nmiss==0)
[1] 8276
#proportion of imputed weights without missing variants
mean(qclist_all$nmiss==0)
[1] 0.8223

#estimated group prior
estimated_group_prior <- group_prior_rec[,ncol(group_prior_rec)]
names(estimated_group_prior) <- c("gene", "snp")
estimated_group_prior["snp"] <- estimated_group_prior["snp"]*thin #adjust parameter to account for thin argument
print(estimated_group_prior)
gene snp
0.0125223 0.0002773
#estimated group prior variance
estimated_group_prior_var <- group_prior_var_rec[,ncol(group_prior_var_rec)]
names(estimated_group_prior_var) <- c("gene", "snp")
print(estimated_group_prior_var)
gene snp
16.18 12.40
#report sample size
print(sample_size)
[1] 161405
#report group size
group_size <- c(nrow(ctwas_gene_res), n_snps)
print(group_size)
[1] 10065 7394310
#estimated group PVE
estimated_group_pve <- estimated_group_prior_var*estimated_group_prior*group_size/sample_size #check PVE calculation
names(estimated_group_pve) <- c("gene", "snp")
print(estimated_group_pve)
gene snp
0.01263 0.15760
#compare sum(PIP*mu2/sample_size) with above PVE calculation
c(sum(ctwas_gene_res$PVE),sum(ctwas_snp_res$PVE))
[1] 0.05106 0.81854

genename region_tag susie_pip mu2 PVE z num_eqtl
655 RASSF1 3_35 0.9946 1055.15 0.0065017 4.532 1
4961 FURIN 15_42 0.9891 93.31 0.0005718 -9.913 1
5588 FAM135B 8_91 0.9828 26.59 0.0001619 -4.167 2
10000 ZNF823 19_10 0.9821 40.70 0.0002476 6.311 1
11036 AC012074.2 2_15 0.9805 30.93 0.0001879 5.469 2
8526 LY6H 8_94 0.9146 29.90 0.0001694 5.333 2
10016 C1orf122 1_23 0.9000 24.51 0.0001367 4.415 1
2111 TLE4 9_38 0.8920 26.97 0.0001491 5.000 1
855 KLHL20 1_85 0.8911 40.22 0.0002220 -5.800 1
6398 ACE 17_37 0.8673 34.74 0.0001867 -5.876 1
4878 C12orf10 12_33 0.8638 24.47 0.0001309 -4.963 1
10995 HIST1H2BN 6_21 0.8557 187.74 0.0009953 13.182 1
4265 DAGLA 11_34 0.8463 22.28 0.0001168 -4.263 1
10007 RPL12 9_66 0.8284 24.28 0.0001246 4.670 2
8783 PUF60 8_94 0.8260 33.93 0.0001736 -5.793 1
3052 DNAH7 2_116 0.8045 26.31 0.0001312 -4.857 2
10823 LINC01268 6_75 0.7995 22.06 0.0001093 -4.406 1
9054 FAM43B 1_14 0.7940 20.66 0.0001017 3.990 2
3209 PTK2B 8_27 0.7930 23.31 0.0001145 3.846 1
2194 NUFIP2 17_18 0.7923 22.64 0.0001111 -4.626 1

genename region_tag susie_pip mu2 PVE z num_eqtl
655 RASSF1 3_35 9.946e-01 1055.2 6.502e-03 4.5324 1
8753 LSMEM2 3_35 5.384e-03 1047.1 3.493e-05 4.2709 1
11280 C4A 6_26 4.002e-02 663.0 1.644e-04 10.4180 1
10295 VWA7 6_26 9.998e-02 636.9 3.945e-04 10.5945 1
10301 ABHD16A 6_26 3.507e-01 635.9 1.382e-03 10.7104 1
10307 APOM 6_26 1.703e-01 635.7 6.707e-04 10.6484 1
10276 PRRT1 6_26 4.747e-13 378.2 1.112e-15 -9.2761 1
10273 RNF5 6_26 4.777e-13 378.0 1.119e-15 9.2761 1
10309 BAG6 6_26 4.362e-11 303.2 8.193e-14 9.3662 2
10527 DDAH2 6_26 1.132e-14 255.8 1.795e-17 7.5859 1
119 CACNA2D2 3_35 1.549e-06 239.0 2.293e-09 -0.1044 1
9 SEMA3F 3_35 1.677e-07 229.6 2.385e-10 -1.4379 1
10292 HSPA1A 6_26 1.099e-14 221.5 1.508e-17 7.0119 1
2703 HEMK1 3_35 4.714e-06 203.3 5.936e-09 0.4441 1
33 RBM6 3_35 5.332e-01 194.3 6.420e-04 4.4688 1
10995 HIST1H2BN 6_21 8.557e-01 187.7 9.953e-04 13.1822 1
11109 HLA-DQA2 6_26 1.665e-15 187.6 1.936e-18 -4.4886 1
9447 HYAL3 3_35 7.237e-08 174.5 7.826e-11 -2.5066 1
6937 CAMKV 3_35 1.334e-05 169.2 1.399e-08 -1.7107 1
10957 HLA-DQB2 6_26 1.332e-15 161.1 1.329e-18 1.1165 1
genename region_tag susie_pip mu2 PVE z num_eqtl
655 RASSF1 3_35 0.99456 1055.15 0.0065017 4.532 1
10301 ABHD16A 6_26 0.35071 635.94 0.0013818 10.710 1
10995 HIST1H2BN 6_21 0.85573 187.74 0.0009953 13.182 1
10307 APOM 6_26 0.17029 635.73 0.0006707 10.648 1
33 RBM6 3_35 0.53320 194.34 0.0006420 4.469 1
4961 FURIN 15_42 0.98906 93.31 0.0005718 -9.913 1
10295 VWA7 6_26 0.09998 636.86 0.0003945 10.594 1
10265 HLA-DMA 6_27 0.75856 78.24 0.0003677 -9.498 2
62 KMT2E 7_65 0.78830 54.27 0.0002650 -7.571 2
10000 ZNF823 19_10 0.98211 40.70 0.0002476 6.311 1
855 KLHL20 1_85 0.89108 40.22 0.0002220 -5.800 1
9960 NMB 15_39 0.66224 49.34 0.0002025 7.121 1
8821 HARBI1 11_28 0.50383 60.64 0.0001893 8.046 1
11036 AC012074.2 2_15 0.98046 30.93 0.0001879 5.469 2
6398 ACE 17_37 0.86729 34.74 0.0001867 -5.876 1
9787 ANAPC7 12_67 0.42218 70.21 0.0001836 -7.255 2
8783 PUF60 8_94 0.82596 33.93 0.0001736 -5.793 1
8526 LY6H 8_94 0.91463 29.90 0.0001694 5.333 2
1618 PPP1R16B 20_23 0.54611 49.81 0.0001685 7.550 1
11280 C4A 6_26 0.04002 662.98 0.0001644 10.418 1
genename region_tag susie_pip mu2 PVE z num_eqtl
10995 HIST1H2BN 6_21 8.557e-01 187.74 9.953e-04 13.182 1
10301 ABHD16A 6_26 3.507e-01 635.94 1.382e-03 10.710 1
10307 APOM 6_26 1.703e-01 635.73 6.707e-04 10.648 1
10295 VWA7 6_26 9.998e-02 636.86 3.945e-04 10.594 1
11280 C4A 6_26 4.002e-02 662.98 1.644e-04 10.418 1
4961 FURIN 15_42 9.891e-01 93.31 5.718e-04 -9.913 1
10265 HLA-DMA 6_27 7.586e-01 78.24 3.677e-04 -9.498 2
10309 BAG6 6_26 4.362e-11 303.17 8.193e-14 9.366 2
10276 PRRT1 6_26 4.747e-13 378.21 1.112e-15 -9.276 1
10273 RNF5 6_26 4.777e-13 378.02 1.119e-15 9.276 1
9418 BTN3A2 6_20 1.389e-02 113.44 9.761e-06 9.235 3
6906 PBRM1 3_36 3.983e-02 58.03 1.432e-05 -8.722 1
9143 KMT5A 12_75 3.585e-03 56.08 1.246e-06 -8.158 2
8821 HARBI1 11_28 5.038e-01 60.64 1.893e-04 8.046 1
8834 HIST1H2BC 6_20 1.328e-02 87.23 7.178e-06 -7.993 1
2371 MDK 11_28 1.739e-01 58.15 6.264e-05 -7.898 1
10439 DNAJC19 3_111 3.309e-02 56.57 1.160e-05 7.788 1
3921 C12orf65 12_75 2.607e-04 51.46 8.311e-08 -7.731 1
10527 DDAH2 6_26 1.132e-14 255.83 1.795e-17 7.586 1
62 KMT2E 7_65 7.883e-01 54.27 2.650e-04 -7.571 2


[1] 0.0147
#number of genes for gene set enrichment
length(genes)
[1] 57
Uploading data to Enrichr... Done.
Querying GO_Biological_Process_2021... Done.
Querying GO_Cellular_Component_2021... Done.
Querying GO_Molecular_Function_2021... Done.
Parsing results... Done.
[1] "GO_Biological_Process_2021"

[1] Term Overlap Adjusted.P.value Genes
<0 rows> (or 0-length row.names)
[1] "GO_Cellular_Component_2021"

[1] Term Overlap Adjusted.P.value Genes
<0 rows> (or 0-length row.names)
[1] "GO_Molecular_Function_2021"

[1] Term Overlap Adjusted.P.value Genes
<0 rows> (or 0-length row.names)
Description FDR Ratio BgRatio
31 Dementia, Vascular 0.01978 1/21 1/9703
49 Infant, Premature, Diseases 0.01978 1/21 1/9703
73 Pneumonia, Viral 0.01978 1/21 1/9703
117 Binswanger Disease 0.01978 1/21 1/9703
128 Vascular Dementia, Acute Onset 0.01978 1/21 1/9703
129 Subcortical Vascular Dementia 0.01978 1/21 1/9703
136 Arteriosclerotic Dementia 0.01978 1/21 1/9703
153 Severe Acute Respiratory Syndrome 0.01978 1/21 1/9703
165 THYROID HORMONE RESISTANCE, SELECTIVE PITUITARY 0.01978 1/21 1/9703
166 Deafness, Autosomal Recessive 22 0.01978 1/21 1/9703
Loading the functional categories...
Loading the ID list...
Loading the reference list...
Performing the enrichment analysis...
Warning in oraEnrichment(interestGeneList, referenceGeneList, geneSet, minNum =
minNum, : No significant gene set is identified based on FDR 0.05!
NULL
Warning: 'timedatectl' indicates the non-existent timezone name 'n/a'
Warning: Your system is mis-configured: '/etc/localtime' is not a symlink
Warning: It is strongly recommended to set envionment variable TZ to 'America/
Chicago' (or equivalent)
Warning: ggrepel: 2 unlabeled data points (too many overlaps). Consider
increasing max.overlaps

#number of genes in known annotations
print(length(known_annotations))
[1] 130
#number of genes in known annotations with imputed expression
print(sum(known_annotations %in% ctwas_gene_res$genename))
[1] 55
#significance threshold for TWAS
print(sig_thresh)
[1] 4.566
#number of ctwas genes
length(ctwas_genes)
[1] 16
#number of TWAS genes
length(twas_genes)
[1] 148
#show novel genes (ctwas genes with not in TWAS genes)
ctwas_gene_res[ctwas_gene_res$genename %in% novel_genes,report_cols]
genename region_tag susie_pip mu2 PVE z num_eqtl
10016 C1orf122 1_23 0.9000 24.51 0.0001367 4.415 1
655 RASSF1 3_35 0.9946 1055.15 0.0065017 4.532 1
5588 FAM135B 8_91 0.9828 26.59 0.0001619 -4.167 2
4265 DAGLA 11_34 0.8463 22.28 0.0001168 -4.263 1
#sensitivity / recall
print(sensitivity)
ctwas TWAS
0.02308 0.10769
#specificity
print(specificity)
ctwas TWAS
0.9987 0.9866
#precision / PPV
print(precision)
ctwas TWAS
0.18750 0.09459

#number of genes in known annotations (with imputed expression)
print(length(known_annotations))
[1] 55
#number of bystander genes (with imputed expression)
print(length(unrelated_genes))
[1] 620
#subset results to genes in known annotations or bystanders
ctwas_gene_res_subset <- ctwas_gene_res[ctwas_gene_res$genename %in% c(known_annotations, unrelated_genes),]
#assign ctwas and TWAS genes
ctwas_genes <- ctwas_gene_res_subset$genename[ctwas_gene_res_subset$susie_pip>0.8]
twas_genes <- ctwas_gene_res_subset$genename[abs(ctwas_gene_res_subset$z)>sig_thresh]
#significance threshold for TWAS
print(sig_thresh)
[1] 4.566
#number of ctwas genes (in known annotations or bystanders)
length(ctwas_genes)
[1] 5
#number of TWAS genes (in known annotations or bystanders)
length(twas_genes)
[1] 45
#sensitivity / recall
sensitivity
ctwas TWAS
0.05455 0.25455
#specificity / (1 - False Positive Rate)
specificity
ctwas TWAS
0.9968 0.9500
#precision / PPV / (1 - False Discovery Rate)
precision
ctwas TWAS
0.6000 0.3111


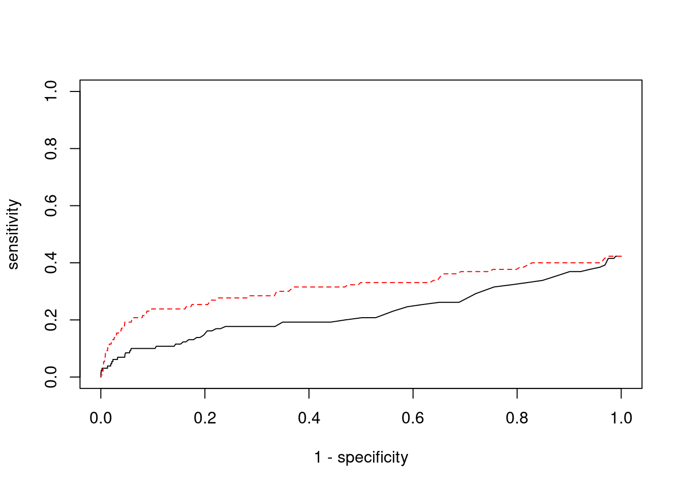
pip_range <- (0:1000)/1000
sensitivity <- rep(NA, length(pip_range))
specificity <- rep(NA, length(pip_range))
for (index in 1:length(pip_range)){
pip <- pip_range[index]
ctwas_genes <- ctwas_gene_res_subset$genename[ctwas_gene_res_subset$susie_pip>=pip]
sensitivity[index] <- sum(ctwas_genes %in% known_annotations)/length(known_annotations)
specificity[index] <- sum(!(unrelated_genes %in% ctwas_genes))/length(unrelated_genes)
}
plot(1-specificity, sensitivity, type="l", xlim=c(0,1), ylim=c(0,1), main="", xlab="1 - Specificity", ylab="Sensitivity")
title(expression("ROC Curve for cTWAS (black) and TWAS (" * phantom("red") * ")"))
title(expression(phantom("ROC Curve for cTWAS (black) and TWAS (") * "red" * phantom(")")), col.main="red")
sig_thresh_range <- seq(from=0, to=max(abs(ctwas_gene_res_subset$z)), length.out=length(pip_range))
for (index in 1:length(sig_thresh_range)){
sig_thresh_plot <- sig_thresh_range[index]
twas_genes <- ctwas_gene_res_subset$genename[abs(ctwas_gene_res_subset$z)>=sig_thresh_plot]
sensitivity[index] <- sum(twas_genes %in% known_annotations)/length(known_annotations)
specificity[index] <- sum(!(unrelated_genes %in% twas_genes))/length(unrelated_genes)
}
lines(1-specificity, sensitivity, xlim=c(0,1), ylim=c(0,1), col="red", lty=1)
abline(a=0,b=1,lty=3)
#add previously computed points from the analysis
ctwas_genes <- ctwas_gene_res_subset$genename[ctwas_gene_res_subset$susie_pip>0.8]
twas_genes <- ctwas_gene_res_subset$genename[abs(ctwas_gene_res_subset$z)>sig_thresh]
points(1-specificity_plot["ctwas"], sensitivity_plot["ctwas"], pch=21, bg="black")
points(1-specificity_plot["TWAS"], sensitivity_plot["TWAS"], pch=21, bg="red")

#table of outcomes for silver standard genes
-sort(-table(silver_standard_case))
silver_standard_case
Not Imputed Insignificant z-score Nearby SNP(s)
75 41 10
Detected (PIP > 0.8) Nearby Bystander Gene
3 1
#show inconclusive genes
silver_standard_case[silver_standard_case=="Inconclusive"]
named character(0)

sessionInfo()
R version 3.6.1 (2019-07-05)
Platform: x86_64-pc-linux-gnu (64-bit)
Running under: Scientific Linux 7.4 (Nitrogen)
Matrix products: default
BLAS/LAPACK: /software/openblas-0.2.19-el7-x86_64/lib/libopenblas_haswellp-r0.2.19.so
locale:
[1] LC_CTYPE=en_US.UTF-8 LC_NUMERIC=C
[3] LC_TIME=en_US.UTF-8 LC_COLLATE=en_US.UTF-8
[5] LC_MONETARY=en_US.UTF-8 LC_MESSAGES=en_US.UTF-8
[7] LC_PAPER=en_US.UTF-8 LC_NAME=C
[9] LC_ADDRESS=C LC_TELEPHONE=C
[11] LC_MEASUREMENT=en_US.UTF-8 LC_IDENTIFICATION=C
attached base packages:
[1] parallel stats4 stats graphics grDevices utils datasets
[8] methods base
other attached packages:
[1] GenomicRanges_1.36.1 GenomeInfoDb_1.20.0 IRanges_2.18.1
[4] S4Vectors_0.22.1 BiocGenerics_0.30.0 biomaRt_2.40.1
[7] readxl_1.3.1 forcats_0.5.1 stringr_1.4.0
[10] dplyr_1.0.7 purrr_0.3.4 readr_2.1.1
[13] tidyr_1.1.4 tidyverse_1.3.1 tibble_3.1.6
[16] WebGestaltR_0.4.4 disgenet2r_0.99.2 enrichR_3.0
[19] cowplot_1.1.1 ggplot2_3.3.5 workflowr_1.7.0
loaded via a namespace (and not attached):
[1] ggbeeswarm_0.6.0 colorspace_2.0-2 rjson_0.2.20
[4] ellipsis_0.3.2 rprojroot_2.0.2 XVector_0.24.0
[7] fs_1.5.2 rstudioapi_0.13 farver_2.1.0
[10] ggrepel_0.9.1 bit64_4.0.5 AnnotationDbi_1.46.0
[13] fansi_1.0.2 lubridate_1.8.0 xml2_1.3.3
[16] codetools_0.2-16 doParallel_1.0.17 cachem_1.0.6
[19] knitr_1.36 jsonlite_1.7.2 apcluster_1.4.8
[22] Cairo_1.5-12.2 broom_0.7.10 dbplyr_2.1.1
[25] compiler_3.6.1 httr_1.4.2 backports_1.4.1
[28] assertthat_0.2.1 Matrix_1.2-18 fastmap_1.1.0
[31] cli_3.1.0 later_0.8.0 prettyunits_1.1.1
[34] htmltools_0.5.2 tools_3.6.1 igraph_1.2.10
[37] GenomeInfoDbData_1.2.1 gtable_0.3.0 glue_1.6.2
[40] reshape2_1.4.4 doRNG_1.8.2 Rcpp_1.0.8
[43] Biobase_2.44.0 cellranger_1.1.0 jquerylib_0.1.4
[46] vctrs_0.3.8 svglite_1.2.2 iterators_1.0.14
[49] xfun_0.29 ps_1.6.0 rvest_1.0.2
[52] lifecycle_1.0.1 rngtools_1.5.2 XML_3.99-0.3
[55] zlibbioc_1.30.0 getPass_0.2-2 scales_1.1.1
[58] vroom_1.5.7 hms_1.1.1 promises_1.0.1
[61] yaml_2.2.1 curl_4.3.2 memoise_2.0.1
[64] ggrastr_1.0.1 gdtools_0.1.9 stringi_1.7.6
[67] RSQLite_2.2.8 highr_0.9 foreach_1.5.2
[70] rlang_1.0.1 pkgconfig_2.0.3 bitops_1.0-7
[73] evaluate_0.14 lattice_0.20-38 labeling_0.4.2
[76] bit_4.0.4 processx_3.5.2 tidyselect_1.1.1
[79] plyr_1.8.6 magrittr_2.0.2 R6_2.5.1
[82] generics_0.1.1 DBI_1.1.2 pillar_1.6.4
[85] haven_2.4.3 whisker_0.3-2 withr_2.4.3
[88] RCurl_1.98-1.5 modelr_0.1.8 crayon_1.5.0
[91] utf8_1.2.2 tzdb_0.2.0 rmarkdown_2.11
[94] progress_1.2.2 grid_3.6.1 data.table_1.14.2
[97] blob_1.2.2 callr_3.7.0 git2r_0.26.1
[100] reprex_2.0.1 digest_0.6.29 httpuv_1.5.1
[103] munsell_0.5.0 beeswarm_0.2.3 vipor_0.4.5