Last updated: 2022-04-19
Checks: 5 2
Knit directory: cTWAS_analysis/
This reproducible R Markdown analysis was created with workflowr (version 1.7.0). The Checks tab describes the reproducibility checks that were applied when the results were created. The Past versions tab lists the development history.
The R Markdown file has unstaged changes. To know which version of the R Markdown file created these results, you’ll want to first commit it to the Git repo. If you’re still working on the analysis, you can ignore this warning. When you’re finished, you can run wflow_publish to commit the R Markdown file and build the HTML.
Great job! The global environment was empty. Objects defined in the global environment can affect the analysis in your R Markdown file in unknown ways. For reproduciblity it’s best to always run the code in an empty environment.
The command set.seed(20211220) was run prior to running the code in the R Markdown file. Setting a seed ensures that any results that rely on randomness, e.g. subsampling or permutations, are reproducible.
Great job! Recording the operating system, R version, and package versions is critical for reproducibility.
Nice! There were no cached chunks for this analysis, so you can be confident that you successfully produced the results during this run.
Using absolute paths to the files within your workflowr project makes it difficult for you and others to run your code on a different machine. Change the absolute path(s) below to the suggested relative path(s) to make your code more reproducible.
| absolute | relative |
|---|---|
| /project2/xinhe/shengqian/cTWAS/cTWAS_analysis/data/ | data |
| /project2/xinhe/shengqian/cTWAS/cTWAS_analysis/code/ctwas_config.R | code/ctwas_config.R |
Great! You are using Git for version control. Tracking code development and connecting the code version to the results is critical for reproducibility.
The results in this page were generated with repository version ba919ab. See the Past versions tab to see a history of the changes made to the R Markdown and HTML files.
Note that you need to be careful to ensure that all relevant files for the analysis have been committed to Git prior to generating the results (you can use wflow_publish or wflow_git_commit). workflowr only checks the R Markdown file, but you know if there are other scripts or data files that it depends on. Below is the status of the Git repository when the results were generated:
Ignored files:
Ignored: .ipynb_checkpoints/
Ignored: analysis/figure/
Ignored: data/AF/
Untracked files:
Untracked: Rplot.png
Untracked: analysis/.ipynb_checkpoints/
Untracked: code/.ipynb_checkpoints/
Untracked: code/AF_out/
Untracked: code/Autism_out/
Untracked: code/BMI_S_out/
Untracked: code/BMI_out/
Untracked: code/Glucose_out/
Untracked: code/LDL_S_out/
Untracked: code/SCZ_2014_EUR_out/
Untracked: code/SCZ_2018_out/
Untracked: code/SCZ_2020_Single_out/
Untracked: code/SCZ_2020_out/
Untracked: code/SCZ_S_out/
Untracked: code/SCZ_out/
Untracked: code/T2D_out/
Untracked: code/ctwas_config.R
Untracked: code/mapping.R
Untracked: code/out/
Untracked: code/process_scz_2018_snps.R
Untracked: code/run_AF_analysis.sbatch
Untracked: code/run_AF_analysis.sh
Untracked: code/run_AF_ctwas_rss_LDR.R
Untracked: code/run_Autism_analysis.sbatch
Untracked: code/run_Autism_analysis.sh
Untracked: code/run_Autism_ctwas_rss_LDR.R
Untracked: code/run_BMI_analysis.sbatch
Untracked: code/run_BMI_analysis.sh
Untracked: code/run_BMI_analysis_S.sbatch
Untracked: code/run_BMI_analysis_S.sh
Untracked: code/run_BMI_ctwas_rss_LDR.R
Untracked: code/run_BMI_ctwas_rss_LDR_S.R
Untracked: code/run_Glucose_analysis.sbatch
Untracked: code/run_Glucose_analysis.sh
Untracked: code/run_Glucose_ctwas_rss_LDR.R
Untracked: code/run_LDL_analysis_S.sbatch
Untracked: code/run_LDL_analysis_S.sh
Untracked: code/run_LDL_ctwas_rss_LDR_S.R
Untracked: code/run_SCZ_2014_EUR_analysis.sbatch
Untracked: code/run_SCZ_2014_EUR_analysis.sh
Untracked: code/run_SCZ_2014_EUR_ctwas_rss_LDR.R
Untracked: code/run_SCZ_2018_analysis.sbatch
Untracked: code/run_SCZ_2018_analysis.sh
Untracked: code/run_SCZ_2018_ctwas_rss_LDR.R
Untracked: code/run_SCZ_2020_Single_analysis.sbatch
Untracked: code/run_SCZ_2020_Single_analysis.sh
Untracked: code/run_SCZ_2020_Single_ctwas_rss_LDR.R
Untracked: code/run_SCZ_2020_analysis.sbatch
Untracked: code/run_SCZ_2020_analysis.sh
Untracked: code/run_SCZ_2020_ctwas_rss_LDR.R
Untracked: code/run_SCZ_analysis.sbatch
Untracked: code/run_SCZ_analysis.sh
Untracked: code/run_SCZ_analysis_S.sbatch
Untracked: code/run_SCZ_analysis_S.sh
Untracked: code/run_SCZ_ctwas_rss_LDR.R
Untracked: code/run_SCZ_ctwas_rss_LDR_S.R
Untracked: code/run_T2D_analysis.sbatch
Untracked: code/run_T2D_analysis.sh
Untracked: code/run_T2D_ctwas_rss_LDR.R
Untracked: code/wflow_build.R
Untracked: code/wflow_build.sbatch
Untracked: data/.ipynb_checkpoints/
Untracked: data/BMI/
Untracked: data/GO_Terms/
Untracked: data/PGC3_SCZ_wave3_public.v2.tsv
Untracked: data/SCZ/
Untracked: data/SCZ_2014_EUR/
Untracked: data/SCZ_2018/
Untracked: data/SCZ_2020/
Untracked: data/SCZ_2020_Single/
Untracked: data/SCZ_S/
Untracked: data/Supplementary Table 15 - MAGMA.xlsx
Untracked: data/Supplementary Table 20 - Prioritised Genes.xlsx
Untracked: data/T2D/
Untracked: data/UKBB/
Untracked: data/UKBB_SNPs_Info.text
Untracked: data/gene_OMIM.txt
Untracked: data/gene_pip_0.8.txt
Untracked: data/mashr_Heart_Atrial_Appendage.db
Untracked: data/mashr_sqtl/
Untracked: data/scz_2018.RDS
Untracked: data/summary_known_genes_annotations.xlsx
Untracked: data/untitled.txt
Untracked: top_genes_32.txt
Untracked: top_genes_37.txt
Untracked: top_genes_43.txt
Untracked: top_genes_81.txt
Unstaged changes:
Modified: analysis/SCZ_2018_Brain_Amygdala.Rmd
Modified: analysis/SCZ_2018_Brain_Anterior_cingulate_cortex_BA24.Rmd
Modified: analysis/SCZ_2018_Brain_Caudate_basal_ganglia.Rmd
Modified: analysis/SCZ_2018_Brain_Cerebellar_Hemisphere.Rmd
Modified: analysis/SCZ_2018_Brain_Cerebellum.Rmd
Modified: analysis/SCZ_2018_Brain_Cortex.Rmd
Modified: analysis/SCZ_2018_Brain_Frontal_Cortex_BA9.Rmd
Modified: analysis/SCZ_2018_Brain_Hippocampus.Rmd
Modified: analysis/SCZ_2018_Brain_Hypothalamus.Rmd
Modified: analysis/SCZ_2018_Brain_Nucleus_accumbens_basal_ganglia.Rmd
Modified: analysis/SCZ_2018_Brain_Putamen_basal_ganglia.Rmd
Modified: analysis/SCZ_2018_Brain_Spinal_cord_cervical_c-1.Rmd
Modified: analysis/SCZ_2018_Brain_Substantia_nigra.Rmd
Modified: analysis/SCZ_Annotation_Analysis.Rmd
Note that any generated files, e.g. HTML, png, CSS, etc., are not included in this status report because it is ok for generated content to have uncommitted changes.
These are the previous versions of the repository in which changes were made to the R Markdown (analysis/SCZ_2018_Brain_Amygdala.Rmd) and HTML (docs/SCZ_2018_Brain_Amygdala.html) files. If you’ve configured a remote Git repository (see ?wflow_git_remote), click on the hyperlinks in the table below to view the files as they were in that past version.
| File | Version | Author | Date | Message |
|---|---|---|---|---|
| Rmd | 9ddc9c4 | sq-96 | 2022-04-18 | update |
| Rmd | f6e7062 | sq-96 | 2022-04-17 | update |
| html | f6e7062 | sq-96 | 2022-04-17 | update |
#number of imputed weights
nrow(qclist_all)
[1] 8763
#number of imputed weights by chromosome
table(qclist_all$chr)
1 2 3 4 5 6 7 8 9 10 11 12 13 14 15 16 17 18 19 20
857 634 491 344 439 522 412 309 342 339 551 509 196 285 296 349 522 147 694 272
21 22
23 230
#number of imputed weights without missing variants
sum(qclist_all$nmiss==0)
[1] 6434
#proportion of imputed weights without missing variants
mean(qclist_all$nmiss==0)
[1] 0.7342

#estimated group prior
estimated_group_prior <- group_prior_rec[,ncol(group_prior_rec)]
names(estimated_group_prior) <- c("gene", "snp")
estimated_group_prior["snp"] <- estimated_group_prior["snp"]*thin #adjust parameter to account for thin argument
print(estimated_group_prior)
gene snp
0.0068728 0.0003262
#estimated group prior variance
estimated_group_prior_var <- group_prior_var_rec[,ncol(group_prior_var_rec)]
names(estimated_group_prior_var) <- c("gene", "snp")
print(estimated_group_prior_var)
gene snp
17.64 10.18
#report sample size
print(sample_size)
[1] 105318
#report group size
group_size <- c(nrow(ctwas_gene_res), n_snps)
print(group_size)
[1] 8763 6309950
#estimated group PVE
estimated_group_pve <- estimated_group_prior_var*estimated_group_prior*group_size/sample_size #check PVE calculation
names(estimated_group_pve) <- c("gene", "snp")
print(estimated_group_pve)
gene snp
0.01009 0.19900
#compare sum(PIP*mu2/sample_size) with above PVE calculation
c(sum(ctwas_gene_res$PVE),sum(ctwas_snp_res$PVE))
[1] 0.03318 1.09729

genename region_tag susie_pip mu2 PVE z num_eqtl
10169 ZNF823 19_10 0.9693 38.09 0.0003506 6.143 1
11179 HIST1H2BN 6_21 0.9271 147.71 0.0013003 13.396 1
11222 AC012074.2 2_15 0.9096 23.50 0.0002030 4.671 2
2362 B3GAT1 11_84 0.8902 30.20 0.0002553 -5.211 2
12505 RP11-408A13.3 9_12 0.8618 24.23 0.0001983 4.536 1
12183 RP11-247A12.7 9_66 0.8599 23.99 0.0001959 4.683 1
296 VRK2 2_38 0.6725 39.11 0.0002498 4.977 1
93 ELAC2 17_11 0.6609 25.64 0.0001609 4.752 1
2406 MDK 11_28 0.6495 49.33 0.0003042 -7.159 1
9695 HIST1H1C 6_20 0.6481 26.32 0.0001620 4.586 2
8298 RNASEH2C 11_36 0.6378 26.54 0.0001607 -4.491 1
3251 CYSTM1 5_83 0.6219 26.62 0.0001572 -4.480 1
2889 DLX2 2_104 0.5833 23.13 0.0001281 4.259 1
10971 LINC00390 13_17 0.5453 23.40 0.0001211 -4.536 1
2135 TLE4 9_38 0.5220 22.83 0.0001132 -4.279 1
5997 TMEM56 1_58 0.5177 29.60 0.0001455 -3.907 1
2782 LMAN2L 2_57 0.5148 30.65 0.0001498 -4.276 2
2951 ARHGEF2 1_76 0.5083 26.14 0.0001261 3.816 1
7221 MAMDC2 9_31 0.5037 25.77 0.0001232 4.125 1
377 CTNNA1 5_82 0.4793 27.63 0.0001257 5.491 1

genename region_tag susie_pip mu2 PVE z num_eqtl
10468 ABHD16A 6_27 4.173e-08 234.37 9.286e-11 11.526 1
10465 MSH5 6_27 3.268e-08 233.32 7.241e-11 11.506 1
11458 C4A 6_27 7.516e-09 225.88 1.612e-11 11.326 1
10473 APOM 6_27 6.379e-10 179.20 1.085e-12 9.901 2
11179 HIST1H2BN 6_21 9.271e-01 147.71 1.300e-03 13.396 1
10445 AGPAT1 6_27 1.035e-10 110.58 1.087e-13 -5.190 1
9573 BTN3A2 6_20 9.453e-03 98.01 8.797e-06 10.797 2
8899 HLA-DQB1 6_27 8.804e-09 95.42 7.977e-12 4.624 1
10707 DDAH2 6_27 8.193e-09 91.92 7.151e-12 8.149 1
9980 HLA-DQA1 6_27 1.524e-07 89.62 1.297e-10 4.441 1
10436 HLA-DMA 6_27 2.720e-04 88.71 2.291e-07 -8.845 1
4692 FLOT1 6_24 5.245e-02 85.97 4.282e-05 -10.981 1
9870 HLA-DRB1 6_27 3.229e-09 85.82 2.631e-12 5.077 1
8984 HIST1H2BC 6_20 1.367e-02 84.14 1.092e-05 -9.909 1
11286 HLA-DQA2 6_27 1.754e-08 80.00 1.332e-11 -3.704 2
1135 PPP1R13B 14_54 2.870e-01 63.46 1.729e-04 -7.019 2
11128 CYP21A2 6_27 2.000e-08 57.87 1.099e-11 5.267 2
437 MPHOSPH9 12_75 1.537e-01 56.89 8.301e-05 7.662 1
10231 ZKSCAN8 6_22 5.880e-03 56.79 3.171e-06 7.465 1
10458 SLC44A4 6_27 9.789e-06 55.82 5.188e-09 6.717 1
genename region_tag susie_pip mu2 PVE z num_eqtl
11179 HIST1H2BN 6_21 0.9271 147.71 0.0013003 13.396 1
10169 ZNF823 19_10 0.9693 38.09 0.0003506 6.143 1
2406 MDK 11_28 0.6495 49.33 0.0003042 -7.159 1
2362 B3GAT1 11_84 0.8902 30.20 0.0002553 -5.211 2
296 VRK2 2_38 0.6725 39.11 0.0002498 4.977 1
11222 AC012074.2 2_15 0.9096 23.50 0.0002030 4.671 2
12505 RP11-408A13.3 9_12 0.8618 24.23 0.0001983 4.536 1
12183 RP11-247A12.7 9_66 0.8599 23.99 0.0001959 4.683 1
1135 PPP1R13B 14_54 0.2870 63.46 0.0001729 -7.019 2
9695 HIST1H1C 6_20 0.6481 26.32 0.0001620 4.586 2
93 ELAC2 17_11 0.6609 25.64 0.0001609 4.752 1
8298 RNASEH2C 11_36 0.6378 26.54 0.0001607 -4.491 1
3251 CYSTM1 5_83 0.6219 26.62 0.0001572 -4.480 1
3591 CNOT1 16_31 0.4287 37.81 0.0001539 6.215 1
2782 LMAN2L 2_57 0.5148 30.65 0.0001498 -4.276 2
5997 TMEM56 1_58 0.5177 29.60 0.0001455 -3.907 1
677 PPP2R5B 11_36 0.4723 31.35 0.0001406 -5.093 1
2889 DLX2 2_104 0.5833 23.13 0.0001281 4.259 1
2951 ARHGEF2 1_76 0.5083 26.14 0.0001261 3.816 1
377 CTNNA1 5_82 0.4793 27.63 0.0001257 5.491 1
genename region_tag susie_pip mu2 PVE z num_eqtl
11179 HIST1H2BN 6_21 9.271e-01 147.71 1.300e-03 13.396 1
10468 ABHD16A 6_27 4.173e-08 234.37 9.286e-11 11.526 1
10465 MSH5 6_27 3.268e-08 233.32 7.241e-11 11.506 1
11458 C4A 6_27 7.516e-09 225.88 1.612e-11 11.326 1
4692 FLOT1 6_24 5.245e-02 85.97 4.282e-05 -10.981 1
9573 BTN3A2 6_20 9.453e-03 98.01 8.797e-06 10.797 2
8984 HIST1H2BC 6_20 1.367e-02 84.14 1.092e-05 -9.909 1
10473 APOM 6_27 6.379e-10 179.20 1.085e-12 9.901 2
10436 HLA-DMA 6_27 2.720e-04 88.71 2.291e-07 -8.845 1
5778 CNNM2 10_66 6.889e-02 47.06 3.078e-05 -8.161 1
10707 DDAH2 6_27 8.193e-09 91.92 7.151e-12 8.149 1
437 MPHOSPH9 12_75 1.537e-01 56.89 8.301e-05 7.662 1
10231 ZKSCAN8 6_22 5.880e-03 56.79 3.171e-06 7.465 1
11226 ZSCAN31 6_22 7.515e-03 35.76 2.552e-06 -7.444 2
2406 MDK 11_28 6.495e-01 49.33 3.042e-04 -7.159 1
9987 ZSCAN16 6_22 6.258e-03 49.25 2.927e-06 7.135 1
1135 PPP1R13B 14_54 2.870e-01 63.46 1.729e-04 -7.019 2
8969 HARBI1 11_28 2.046e-01 46.57 9.046e-05 6.977 1
10510 LINC01556 6_22 9.927e-03 37.31 3.517e-06 -6.865 1
2590 TRIM38 6_20 8.548e-03 39.73 3.225e-06 6.798 2


[1] 0.01004
#number of genes for gene set enrichment
length(genes)
[1] 19
Uploading data to Enrichr... Done.
Querying GO_Biological_Process_2021... Done.
Querying GO_Cellular_Component_2021... Done.
Querying GO_Molecular_Function_2021... Done.
Parsing results... Done.
[1] "GO_Biological_Process_2021"

Term Overlap Adjusted.P.value
1 positive regulation of neuron migration (GO:2001224) 2/13 0.01359
2 regulation of neuron migration (GO:2001222) 2/28 0.03264
Genes
1 MDK;ARHGEF2
2 MDK;ARHGEF2
[1] "GO_Cellular_Component_2021"

[1] Term Overlap Adjusted.P.value Genes
<0 rows> (or 0-length row.names)
[1] "GO_Molecular_Function_2021"

[1] Term Overlap Adjusted.P.value Genes
<0 rows> (or 0-length row.names)
Description
45 AICARDI-GOUTIERES SYNDROME 3
49 PROSTATE CANCER, HEREDITARY, 2
51 COMBINED OXIDATIVE PHOSPHORYLATION DEFICIENCY 17
53 MENTAL RETARDATION, AUTOSOMAL RECESSIVE 52
54 NEURODEVELOPMENTAL DISORDER WITH MIDBRAIN AND HINDBRAIN MALFORMATIONS
47 Prostate cancer, familial
18 Schizophrenia
32 AICARDI-GOUTIERES SYNDROME
1 Anxiety Disorders
7 Diabetic Nephropathy
FDR Ratio BgRatio
45 0.01134 1/10 1/9703
49 0.01134 1/10 1/9703
51 0.01134 1/10 1/9703
53 0.01134 1/10 1/9703
54 0.01134 1/10 1/9703
47 0.01982 2/10 69/9703
18 0.06298 4/10 883/9703
32 0.06298 1/10 8/9703
1 0.11644 1/10 44/9703
7 0.11644 1/10 44/9703
Loading the functional categories...
Loading the ID list...
Loading the reference list...
Performing the enrichment analysis...
Warning in oraEnrichment(interestGeneList, referenceGeneList, geneSet, minNum =
minNum, : No significant gene set is identified based on FDR 0.05!
NULL

#number of genes in known annotations
print(length(known_annotations))
[1] 130
#number of genes in known annotations with imputed expression
print(sum(known_annotations %in% ctwas_gene_res$genename))
[1] 46
#significance threshold for TWAS
print(sig_thresh)
[1] 4.537
#number of ctwas genes
length(ctwas_genes)
[1] 6
#number of TWAS genes
length(twas_genes)
[1] 88
#show novel genes (ctwas genes with not in TWAS genes)
ctwas_gene_res[ctwas_gene_res$genename %in% novel_genes,report_cols]
genename region_tag susie_pip mu2 PVE z num_eqtl
12505 RP11-408A13.3 9_12 0.8618 24.23 0.0001983 4.536 1
#sensitivity / recall
print(sensitivity)
ctwas TWAS
0.007692 0.061538
#specificity
print(specificity)
ctwas TWAS
0.9994 0.9908
#precision / PPV
print(precision)
ctwas TWAS
0.16667 0.09091

#number of genes in known annotations (with imputed expression)
print(length(known_annotations))
[1] 46
#number of bystander genes (with imputed expression)
print(length(unrelated_genes))
[1] 443
#subset results to genes in known annotations or bystanders
ctwas_gene_res_subset <- ctwas_gene_res[ctwas_gene_res$genename %in% c(known_annotations, unrelated_genes),]
#assign ctwas and TWAS genes
ctwas_genes <- ctwas_gene_res_subset$genename[ctwas_gene_res_subset$susie_pip>0.8]
twas_genes <- ctwas_gene_res_subset$genename[abs(ctwas_gene_res_subset$z)>sig_thresh]
#significance threshold for TWAS
print(sig_thresh)
[1] 4.537
#number of ctwas genes (in known annotations or bystanders)
length(ctwas_genes)
[1] 1
#number of TWAS genes (in known annotations or bystanders)
length(twas_genes)
[1] 18
#sensitivity / recall
sensitivity
ctwas TWAS
0.02174 0.17391
#specificity / (1 - False Positive Rate)
specificity
ctwas TWAS
1.0000 0.9774
#precision / PPV / (1 - False Discovery Rate)
precision
ctwas TWAS
1.0000 0.4444


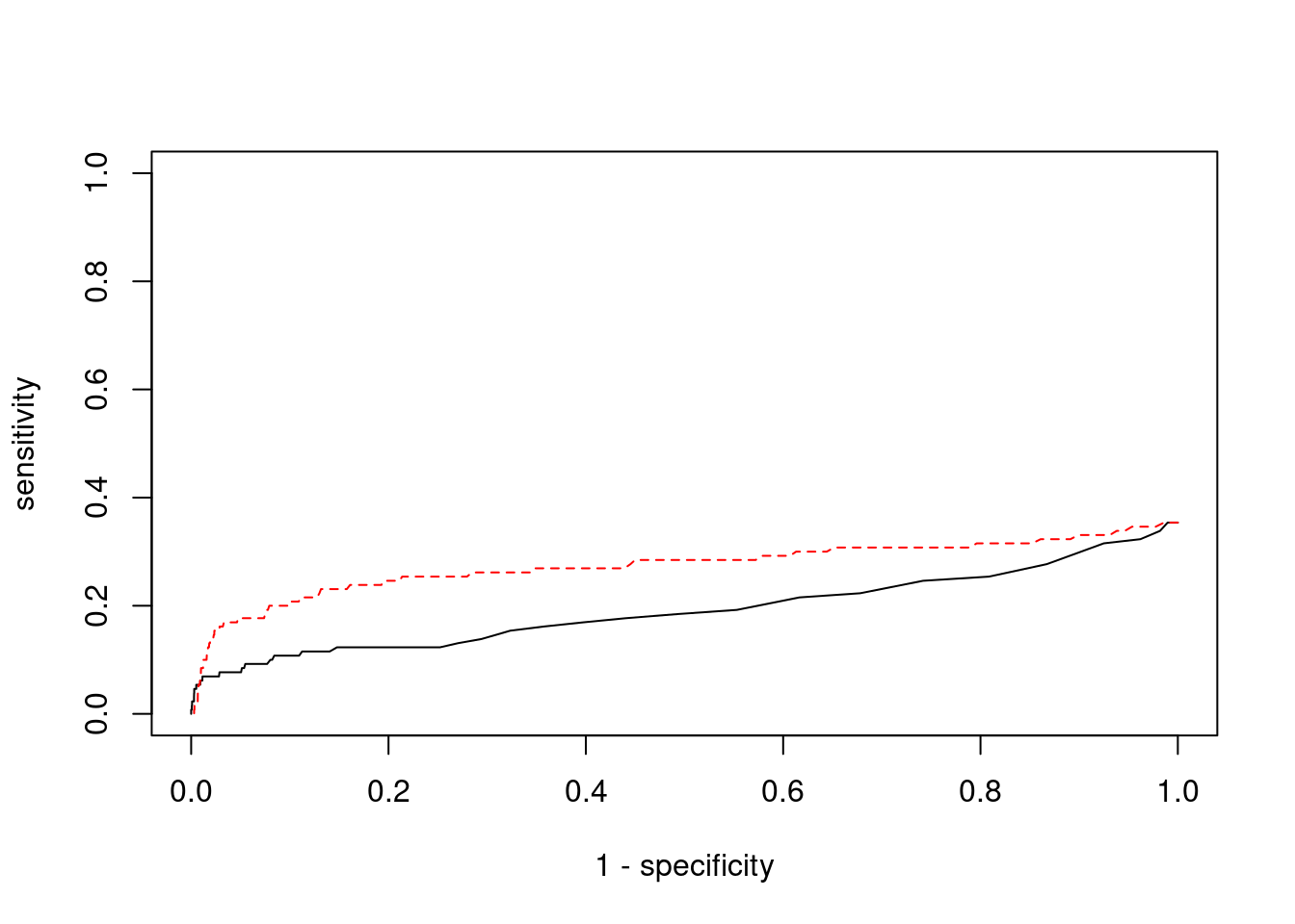
pip_range <- (0:1000)/1000
sensitivity <- rep(NA, length(pip_range))
specificity <- rep(NA, length(pip_range))
for (index in 1:length(pip_range)){
pip <- pip_range[index]
ctwas_genes <- ctwas_gene_res_subset$genename[ctwas_gene_res_subset$susie_pip>=pip]
sensitivity[index] <- sum(ctwas_genes %in% known_annotations)/length(known_annotations)
specificity[index] <- sum(!(unrelated_genes %in% ctwas_genes))/length(unrelated_genes)
}
plot(1-specificity, sensitivity, type="l", xlim=c(0,1), ylim=c(0,1), main="", xlab="1 - Specificity", ylab="Sensitivity")
title(expression("ROC Curve for cTWAS (black) and TWAS (" * phantom("red") * ")"))
title(expression(phantom("ROC Curve for cTWAS (black) and TWAS (") * "red" * phantom(")")), col.main="red")
sig_thresh_range <- seq(from=0, to=max(abs(ctwas_gene_res_subset$z)), length.out=length(pip_range))
for (index in 1:length(sig_thresh_range)){
sig_thresh_plot <- sig_thresh_range[index]
twas_genes <- ctwas_gene_res_subset$genename[abs(ctwas_gene_res_subset$z)>=sig_thresh_plot]
sensitivity[index] <- sum(twas_genes %in% known_annotations)/length(known_annotations)
specificity[index] <- sum(!(unrelated_genes %in% twas_genes))/length(unrelated_genes)
}
lines(1-specificity, sensitivity, xlim=c(0,1), ylim=c(0,1), col="red", lty=1)
abline(a=0,b=1,lty=3)
#add previously computed points from the analysis
ctwas_genes <- ctwas_gene_res_subset$genename[ctwas_gene_res_subset$susie_pip>0.8]
twas_genes <- ctwas_gene_res_subset$genename[abs(ctwas_gene_res_subset$z)>sig_thresh]
points(1-specificity_plot["ctwas"], sensitivity_plot["ctwas"], pch=21, bg="black")
points(1-specificity_plot["TWAS"], sensitivity_plot["TWAS"], pch=21, bg="red")

#table of outcomes for silver standard genes
-sort(-table(silver_standard_case))
silver_standard_case
Not Imputed Insignificant z-score Nearby SNP(s)
84 38 7
Detected (PIP > 0.8)
1
#show inconclusive genes
silver_standard_case[silver_standard_case=="Inconclusive"]
named character(0)

sessionInfo()
R version 3.6.1 (2019-07-05)
Platform: x86_64-pc-linux-gnu (64-bit)
Running under: Scientific Linux 7.4 (Nitrogen)
Matrix products: default
BLAS/LAPACK: /software/openblas-0.2.19-el7-x86_64/lib/libopenblas_haswellp-r0.2.19.so
locale:
[1] LC_CTYPE=en_US.UTF-8 LC_NUMERIC=C
[3] LC_TIME=en_US.UTF-8 LC_COLLATE=en_US.UTF-8
[5] LC_MONETARY=en_US.UTF-8 LC_MESSAGES=en_US.UTF-8
[7] LC_PAPER=en_US.UTF-8 LC_NAME=C
[9] LC_ADDRESS=C LC_TELEPHONE=C
[11] LC_MEASUREMENT=en_US.UTF-8 LC_IDENTIFICATION=C
attached base packages:
[1] parallel stats4 stats graphics grDevices utils datasets
[8] methods base
other attached packages:
[1] GenomicRanges_1.36.1 GenomeInfoDb_1.20.0 IRanges_2.18.1
[4] S4Vectors_0.22.1 BiocGenerics_0.30.0 biomaRt_2.40.1
[7] readxl_1.3.1 forcats_0.5.1 stringr_1.4.0
[10] dplyr_1.0.7 purrr_0.3.4 readr_2.1.1
[13] tidyr_1.1.4 tidyverse_1.3.1 tibble_3.1.6
[16] WebGestaltR_0.4.4 disgenet2r_0.99.2 enrichR_3.0
[19] cowplot_1.1.1 ggplot2_3.3.5 workflowr_1.7.0
loaded via a namespace (and not attached):
[1] ggbeeswarm_0.6.0 colorspace_2.0-2 rjson_0.2.20
[4] ellipsis_0.3.2 rprojroot_2.0.2 XVector_0.24.0
[7] fs_1.5.2 rstudioapi_0.13 farver_2.1.0
[10] ggrepel_0.9.1 bit64_4.0.5 AnnotationDbi_1.46.0
[13] fansi_1.0.2 lubridate_1.8.0 xml2_1.3.3
[16] codetools_0.2-16 doParallel_1.0.17 cachem_1.0.6
[19] knitr_1.36 jsonlite_1.7.2 apcluster_1.4.8
[22] Cairo_1.5-12.2 broom_0.7.10 dbplyr_2.1.1
[25] compiler_3.6.1 httr_1.4.2 backports_1.4.1
[28] assertthat_0.2.1 Matrix_1.2-18 fastmap_1.1.0
[31] cli_3.1.0 later_0.8.0 prettyunits_1.1.1
[34] htmltools_0.5.2 tools_3.6.1 igraph_1.2.10
[37] GenomeInfoDbData_1.2.1 gtable_0.3.0 glue_1.6.2
[40] reshape2_1.4.4 doRNG_1.8.2 Rcpp_1.0.8
[43] Biobase_2.44.0 cellranger_1.1.0 jquerylib_0.1.4
[46] vctrs_0.3.8 svglite_1.2.2 iterators_1.0.14
[49] xfun_0.29 ps_1.6.0 rvest_1.0.2
[52] lifecycle_1.0.1 rngtools_1.5.2 XML_3.99-0.3
[55] zlibbioc_1.30.0 getPass_0.2-2 scales_1.1.1
[58] vroom_1.5.7 hms_1.1.1 promises_1.0.1
[61] yaml_2.2.1 curl_4.3.2 memoise_2.0.1
[64] ggrastr_1.0.1 gdtools_0.1.9 stringi_1.7.6
[67] RSQLite_2.2.8 highr_0.9 foreach_1.5.2
[70] rlang_1.0.1 pkgconfig_2.0.3 bitops_1.0-7
[73] evaluate_0.14 lattice_0.20-38 labeling_0.4.2
[76] bit_4.0.4 processx_3.5.2 tidyselect_1.1.1
[79] plyr_1.8.6 magrittr_2.0.2 R6_2.5.1
[82] generics_0.1.1 DBI_1.1.2 pillar_1.6.4
[85] haven_2.4.3 whisker_0.3-2 withr_2.4.3
[88] RCurl_1.98-1.5 modelr_0.1.8 crayon_1.5.0
[91] utf8_1.2.2 tzdb_0.2.0 rmarkdown_2.11
[94] progress_1.2.2 grid_3.6.1 data.table_1.14.2
[97] blob_1.2.2 callr_3.7.0 git2r_0.26.1
[100] reprex_2.0.1 digest_0.6.29 httpuv_1.5.1
[103] munsell_0.5.0 beeswarm_0.2.3 vipor_0.4.5