Last updated: 2022-04-19
Checks: 5 2
Knit directory: cTWAS_analysis/
This reproducible R Markdown analysis was created with workflowr (version 1.7.0). The Checks tab describes the reproducibility checks that were applied when the results were created. The Past versions tab lists the development history.
The R Markdown file has unstaged changes. To know which version of the R Markdown file created these results, you’ll want to first commit it to the Git repo. If you’re still working on the analysis, you can ignore this warning. When you’re finished, you can run wflow_publish to commit the R Markdown file and build the HTML.
Great job! The global environment was empty. Objects defined in the global environment can affect the analysis in your R Markdown file in unknown ways. For reproduciblity it’s best to always run the code in an empty environment.
The command set.seed(20211220) was run prior to running the code in the R Markdown file. Setting a seed ensures that any results that rely on randomness, e.g. subsampling or permutations, are reproducible.
Great job! Recording the operating system, R version, and package versions is critical for reproducibility.
Nice! There were no cached chunks for this analysis, so you can be confident that you successfully produced the results during this run.
Using absolute paths to the files within your workflowr project makes it difficult for you and others to run your code on a different machine. Change the absolute path(s) below to the suggested relative path(s) to make your code more reproducible.
| absolute | relative |
|---|---|
| /project2/xinhe/shengqian/cTWAS/cTWAS_analysis/data/ | data |
| /project2/xinhe/shengqian/cTWAS/cTWAS_analysis/code/ctwas_config.R | code/ctwas_config.R |
Great! You are using Git for version control. Tracking code development and connecting the code version to the results is critical for reproducibility.
The results in this page were generated with repository version ba919ab. See the Past versions tab to see a history of the changes made to the R Markdown and HTML files.
Note that you need to be careful to ensure that all relevant files for the analysis have been committed to Git prior to generating the results (you can use wflow_publish or wflow_git_commit). workflowr only checks the R Markdown file, but you know if there are other scripts or data files that it depends on. Below is the status of the Git repository when the results were generated:
Ignored files:
Ignored: .ipynb_checkpoints/
Ignored: data/AF/
Untracked files:
Untracked: Rplot.png
Untracked: analysis/.ipynb_checkpoints/
Untracked: code/.ipynb_checkpoints/
Untracked: code/AF_out/
Untracked: code/Autism_out/
Untracked: code/BMI_S_out/
Untracked: code/BMI_out/
Untracked: code/Glucose_out/
Untracked: code/LDL_S_out/
Untracked: code/SCZ_2014_EUR_out/
Untracked: code/SCZ_2018_out/
Untracked: code/SCZ_2020_Single_out/
Untracked: code/SCZ_2020_out/
Untracked: code/SCZ_S_out/
Untracked: code/SCZ_out/
Untracked: code/T2D_out/
Untracked: code/ctwas_config.R
Untracked: code/mapping.R
Untracked: code/out/
Untracked: code/process_scz_2018_snps.R
Untracked: code/run_AF_analysis.sbatch
Untracked: code/run_AF_analysis.sh
Untracked: code/run_AF_ctwas_rss_LDR.R
Untracked: code/run_Autism_analysis.sbatch
Untracked: code/run_Autism_analysis.sh
Untracked: code/run_Autism_ctwas_rss_LDR.R
Untracked: code/run_BMI_analysis.sbatch
Untracked: code/run_BMI_analysis.sh
Untracked: code/run_BMI_analysis_S.sbatch
Untracked: code/run_BMI_analysis_S.sh
Untracked: code/run_BMI_ctwas_rss_LDR.R
Untracked: code/run_BMI_ctwas_rss_LDR_S.R
Untracked: code/run_Glucose_analysis.sbatch
Untracked: code/run_Glucose_analysis.sh
Untracked: code/run_Glucose_ctwas_rss_LDR.R
Untracked: code/run_LDL_analysis_S.sbatch
Untracked: code/run_LDL_analysis_S.sh
Untracked: code/run_LDL_ctwas_rss_LDR_S.R
Untracked: code/run_SCZ_2014_EUR_analysis.sbatch
Untracked: code/run_SCZ_2014_EUR_analysis.sh
Untracked: code/run_SCZ_2014_EUR_ctwas_rss_LDR.R
Untracked: code/run_SCZ_2018_analysis.sbatch
Untracked: code/run_SCZ_2018_analysis.sh
Untracked: code/run_SCZ_2018_ctwas_rss_LDR.R
Untracked: code/run_SCZ_2020_Single_analysis.sbatch
Untracked: code/run_SCZ_2020_Single_analysis.sh
Untracked: code/run_SCZ_2020_Single_ctwas_rss_LDR.R
Untracked: code/run_SCZ_2020_analysis.sbatch
Untracked: code/run_SCZ_2020_analysis.sh
Untracked: code/run_SCZ_2020_ctwas_rss_LDR.R
Untracked: code/run_SCZ_analysis.sbatch
Untracked: code/run_SCZ_analysis.sh
Untracked: code/run_SCZ_analysis_S.sbatch
Untracked: code/run_SCZ_analysis_S.sh
Untracked: code/run_SCZ_ctwas_rss_LDR.R
Untracked: code/run_SCZ_ctwas_rss_LDR_S.R
Untracked: code/run_T2D_analysis.sbatch
Untracked: code/run_T2D_analysis.sh
Untracked: code/run_T2D_ctwas_rss_LDR.R
Untracked: code/wflow_build.R
Untracked: code/wflow_build.sbatch
Untracked: data/.ipynb_checkpoints/
Untracked: data/BMI/
Untracked: data/GO_Terms/
Untracked: data/PGC3_SCZ_wave3_public.v2.tsv
Untracked: data/SCZ/
Untracked: data/SCZ_2014_EUR/
Untracked: data/SCZ_2018/
Untracked: data/SCZ_2020/
Untracked: data/SCZ_2020_Single/
Untracked: data/SCZ_S/
Untracked: data/Supplementary Table 15 - MAGMA.xlsx
Untracked: data/Supplementary Table 20 - Prioritised Genes.xlsx
Untracked: data/T2D/
Untracked: data/UKBB/
Untracked: data/UKBB_SNPs_Info.text
Untracked: data/gene_OMIM.txt
Untracked: data/gene_pip_0.8.txt
Untracked: data/mashr_Heart_Atrial_Appendage.db
Untracked: data/mashr_sqtl/
Untracked: data/scz_2018.RDS
Untracked: data/summary_known_genes_annotations.xlsx
Untracked: data/untitled.txt
Untracked: top_genes_32.txt
Untracked: top_genes_37.txt
Untracked: top_genes_43.txt
Untracked: top_genes_81.txt
Unstaged changes:
Modified: analysis/SCZ_2018_Brain_Amygdala.Rmd
Modified: analysis/SCZ_2018_Brain_Anterior_cingulate_cortex_BA24.Rmd
Modified: analysis/SCZ_2018_Brain_Caudate_basal_ganglia.Rmd
Modified: analysis/SCZ_2018_Brain_Cerebellar_Hemisphere.Rmd
Modified: analysis/SCZ_2018_Brain_Cerebellum.Rmd
Modified: analysis/SCZ_2018_Brain_Cortex.Rmd
Modified: analysis/SCZ_2018_Brain_Frontal_Cortex_BA9.Rmd
Modified: analysis/SCZ_2018_Brain_Hippocampus.Rmd
Modified: analysis/SCZ_2018_Brain_Hypothalamus.Rmd
Modified: analysis/SCZ_2018_Brain_Nucleus_accumbens_basal_ganglia.Rmd
Modified: analysis/SCZ_2018_Brain_Putamen_basal_ganglia.Rmd
Modified: analysis/SCZ_2018_Brain_Spinal_cord_cervical_c-1.Rmd
Modified: analysis/SCZ_2018_Brain_Substantia_nigra.Rmd
Modified: analysis/SCZ_Annotation_Analysis.Rmd
Note that any generated files, e.g. HTML, png, CSS, etc., are not included in this status report because it is ok for generated content to have uncommitted changes.
These are the previous versions of the repository in which changes were made to the R Markdown (analysis/SCZ_2018_Brain_Caudate_basal_ganglia.Rmd) and HTML (docs/SCZ_2018_Brain_Caudate_basal_ganglia.html) files. If you’ve configured a remote Git repository (see ?wflow_git_remote), click on the hyperlinks in the table below to view the files as they were in that past version.
| File | Version | Author | Date | Message |
|---|---|---|---|---|
| Rmd | 9ddc9c4 | sq-96 | 2022-04-18 | update |
| Rmd | f6e7062 | sq-96 | 2022-04-17 | update |
| html | f6e7062 | sq-96 | 2022-04-17 | update |
#number of imputed weights
nrow(qclist_all)
[1] 10066
#number of imputed weights by chromosome
table(qclist_all$chr)
1 2 3 4 5 6 7 8 9 10 11 12 13 14 15 16 17 18 19 20
968 746 594 401 487 566 483 364 374 392 606 585 220 344 352 410 648 165 785 297
21 22
31 248
#number of imputed weights without missing variants
sum(qclist_all$nmiss==0)
[1] 6936
#proportion of imputed weights without missing variants
mean(qclist_all$nmiss==0)
[1] 0.6891

#estimated group prior
estimated_group_prior <- group_prior_rec[,ncol(group_prior_rec)]
names(estimated_group_prior) <- c("gene", "snp")
estimated_group_prior["snp"] <- estimated_group_prior["snp"]*thin #adjust parameter to account for thin argument
print(estimated_group_prior)
gene snp
0.0118814 0.0003106
#estimated group prior variance
estimated_group_prior_var <- group_prior_var_rec[,ncol(group_prior_var_rec)]
names(estimated_group_prior_var) <- c("gene", "snp")
print(estimated_group_prior_var)
gene snp
12.48 10.34
#report sample size
print(sample_size)
[1] 105318
#report group size
group_size <- c(nrow(ctwas_gene_res), n_snps)
print(group_size)
[1] 10066 6309950
#estimated group PVE
estimated_group_pve <- estimated_group_prior_var*estimated_group_prior*group_size/sample_size #check PVE calculation
names(estimated_group_pve) <- c("gene", "snp")
print(estimated_group_pve)
gene snp
0.01418 0.19242
#compare sum(PIP*mu2/sample_size) with above PVE calculation
c(sum(ctwas_gene_res$PVE),sum(ctwas_snp_res$PVE))
[1] 0.05758 1.06338

genename region_tag susie_pip mu2 PVE z num_eqtl
11135 ZNF823 19_10 0.9832 37.43 0.0003494 6.187 2
12311 AC012074.2 2_16 0.9179 23.28 0.0002029 4.655 1
13782 RP11-408A13.3 9_12 0.9155 23.13 0.0002011 4.536 1
3750 BHLHE41 12_18 0.8837 23.34 0.0001958 -4.516 1
5717 SYTL1 1_19 0.8828 21.78 0.0001826 4.295 2
8043 PACSIN3 11_29 0.8708 32.42 0.0002681 5.654 2
10494 TMEM222 1_19 0.8413 21.56 0.0001722 4.303 1
3091 SF3B1 2_117 0.8375 49.42 0.0003930 7.265 1
1678 KIAA0391 14_9 0.7915 23.87 0.0001794 -4.843 1
9254 TMEM81 1_104 0.7869 25.90 0.0001935 4.816 1
1226 PPP1R13B 14_54 0.7811 49.97 0.0003706 7.546 3
321 KCNG1 20_31 0.7795 22.53 0.0001668 4.338 1
3502 PYROXD2 10_62 0.7720 21.23 0.0001556 3.952 1
5507 FANCI 15_41 0.7686 24.18 0.0001765 -4.481 1
5632 ZCCHC2 18_34 0.7557 20.39 0.0001463 -3.877 1
328 VRK2 2_38 0.7476 37.52 0.0002663 4.977 1
6401 ADRA2A 10_70 0.7418 23.13 0.0001629 -4.020 1
2944 PCCB 3_84 0.7127 42.04 0.0002845 -6.724 1
422 CTNNA1 5_82 0.7126 25.03 0.0001693 5.512 1
110 ELAC2 17_11 0.7028 23.20 0.0001548 4.654 1

genename region_tag susie_pip mu2 PVE z num_eqtl
11478 APOM 6_26 1.465e-04 221.06 3.076e-07 11.590 1
11462 C6orf48 6_26 1.029e-04 219.19 2.142e-07 11.542 1
11731 CLIC1 6_26 9.808e-05 217.62 2.027e-07 11.506 2
12582 C4A 6_26 9.505e-05 215.92 1.949e-07 11.437 2
11469 MSH5 6_26 5.961e-05 183.45 1.038e-07 10.005 2
10939 HLA-DQA1 6_26 3.109e-07 169.41 5.001e-10 3.389 1
12229 HLA-DQB2 6_26 3.521e-07 168.29 5.626e-10 -4.388 1
11444 PRRT1 6_26 4.594e-05 152.07 6.633e-08 10.061 1
11440 AGER 6_26 6.391e-06 129.99 7.888e-09 -9.693 2
12390 HLA-DQA2 6_26 2.824e-07 122.41 3.282e-10 -3.420 1
11458 EHMT2 6_26 6.246e-04 115.03 6.822e-07 6.899 1
10816 HLA-DRB1 6_26 1.674e-04 108.51 1.725e-07 -5.106 1
11441 RNF5 6_26 2.936e-07 102.06 2.845e-10 5.190 1
11442 AGPAT1 6_26 2.936e-07 102.06 2.845e-10 -5.190 1
5119 PGBD1 6_22 1.444e-02 98.90 1.356e-05 -10.231 1
10491 BTN3A2 6_20 1.784e-02 95.86 1.624e-05 10.719 2
11438 NOTCH4 6_26 3.256e-06 89.28 2.761e-09 7.600 2
11436 HLA-DRA 6_26 3.641e-05 85.16 2.944e-08 4.233 1
5116 FLOT1 6_24 5.944e-02 82.49 4.656e-05 -10.981 1
11732 DDAH2 6_26 1.611e-05 76.38 1.169e-08 8.149 1
genename region_tag susie_pip mu2 PVE z num_eqtl
3091 SF3B1 2_117 0.8375 49.42 0.0003930 7.265 1
1226 PPP1R13B 14_54 0.7811 49.97 0.0003706 7.546 3
11135 ZNF823 19_10 0.9832 37.43 0.0003494 6.187 2
2630 MDK 11_28 0.6687 47.50 0.0003016 -7.159 1
2944 PCCB 3_84 0.7127 42.04 0.0002845 -6.724 1
8639 INO80E 16_24 0.6084 47.47 0.0002742 6.995 1
8043 PACSIN3 11_29 0.8708 32.42 0.0002681 5.654 2
328 VRK2 2_38 0.7476 37.52 0.0002663 4.977 1
12311 AC012074.2 2_16 0.9179 23.28 0.0002029 4.655 1
13782 RP11-408A13.3 9_12 0.9155 23.13 0.0002011 4.536 1
3750 BHLHE41 12_18 0.8837 23.34 0.0001958 -4.516 1
9254 TMEM81 1_104 0.7869 25.90 0.0001935 4.816 1
5717 SYTL1 1_19 0.8828 21.78 0.0001826 4.295 2
7042 CDC25C 5_82 0.6761 28.31 0.0001818 -5.272 1
1678 KIAA0391 14_9 0.7915 23.87 0.0001794 -4.843 1
5507 FANCI 15_41 0.7686 24.18 0.0001765 -4.481 1
10494 TMEM222 1_19 0.8413 21.56 0.0001722 4.303 1
506 SDCCAG8 1_128 0.6759 26.64 0.0001710 -5.076 1
422 CTNNA1 5_82 0.7126 25.03 0.0001693 5.512 1
321 KCNG1 20_31 0.7795 22.53 0.0001668 4.338 1
genename region_tag susie_pip mu2 PVE z num_eqtl
11478 APOM 6_26 1.465e-04 221.06 3.076e-07 11.590 1
11462 C6orf48 6_26 1.029e-04 219.19 2.142e-07 11.542 1
11731 CLIC1 6_26 9.808e-05 217.62 2.027e-07 11.506 2
12582 C4A 6_26 9.505e-05 215.92 1.949e-07 11.437 2
5116 FLOT1 6_24 5.944e-02 82.49 4.656e-05 -10.981 1
10491 BTN3A2 6_20 1.784e-02 95.86 1.624e-05 10.719 2
5119 PGBD1 6_22 1.444e-02 98.90 1.356e-05 -10.231 1
11444 PRRT1 6_26 4.594e-05 152.07 6.633e-08 10.061 1
11469 MSH5 6_26 5.961e-05 183.45 1.038e-07 10.005 2
11440 AGER 6_26 6.391e-06 129.99 7.888e-09 -9.693 2
12520 HLA-DMB 6_27 9.919e-02 72.46 6.824e-05 -8.812 1
11431 HLA-DMA 6_27 4.273e-02 65.95 2.676e-05 -8.769 2
9851 HIST1H2BC 6_20 2.448e-02 67.33 1.565e-05 -8.743 2
7064 ZSCAN12 6_22 1.504e-02 47.49 6.784e-06 8.630 1
6289 CNNM2 10_66 7.127e-02 47.34 3.204e-05 -8.487 2
11732 DDAH2 6_26 1.611e-05 76.38 1.169e-08 8.149 1
11464 HSPA1L 6_26 1.901e-05 74.23 1.340e-08 8.075 1
9628 C2orf69 2_118 1.319e-01 43.56 5.455e-05 7.925 2
10599 ZKSCAN4 6_22 1.522e-02 60.98 8.811e-06 -7.881 1
12213 ZBED9 6_22 3.556e-02 44.85 1.515e-05 7.860 1


[1] 0.01242
#number of genes for gene set enrichment
length(genes)
[1] 37
Uploading data to Enrichr... Done.
Querying GO_Biological_Process_2021... Done.
Querying GO_Cellular_Component_2021... Done.
Querying GO_Molecular_Function_2021... Done.
Parsing results... Done.
[1] "GO_Biological_Process_2021"

[1] Term Overlap Adjusted.P.value Genes
<0 rows> (or 0-length row.names)
[1] "GO_Cellular_Component_2021"

[1] Term Overlap Adjusted.P.value Genes
<0 rows> (or 0-length row.names)
[1] "GO_Molecular_Function_2021"

[1] Term Overlap Adjusted.P.value Genes
<0 rows> (or 0-length row.names)
Description FDR
85 FANCONI ANEMIA, COMPLEMENTATION GROUP I 0.02142
88 HYPOTRICHOSIS-LYMPHEDEMA-TELANGIECTASIA SYNDROME 0.02142
93 Hematopoetic Myelodysplasia 0.02142
97 SENIOR-LOKEN SYNDROME 7 0.02142
100 MYELODYSPLASTIC SYNDROME 0.02142
101 PROSTATE CANCER, HEREDITARY, 2 0.02142
103 COMBINED OXIDATIVE PHOSPHORYLATION DEFICIENCY 17 0.02142
104 BARDET-BIEDL SYNDROME 16 0.02142
108 Hypotrichosis, lymphedema, telangiectasia, renal defect syndrome 0.02142
24 Leukemia, Myelocytic, Acute 0.02963
Ratio BgRatio
85 1/17 1/9703
88 1/17 1/9703
93 2/17 29/9703
97 1/17 1/9703
100 3/17 67/9703
101 1/17 1/9703
103 1/17 1/9703
104 1/17 1/9703
108 1/17 1/9703
24 3/17 173/9703
Loading the functional categories...
Loading the ID list...
Loading the reference list...
Performing the enrichment analysis...
Warning in oraEnrichment(interestGeneList, referenceGeneList, geneSet, minNum =
minNum, : No significant gene set is identified based on FDR 0.05!
NULL

#number of genes in known annotations
print(length(known_annotations))
[1] 130
#number of genes in known annotations with imputed expression
print(sum(known_annotations %in% ctwas_gene_res$genename))
[1] 60
#significance threshold for TWAS
print(sig_thresh)
[1] 4.566
#number of ctwas genes
length(ctwas_genes)
[1] 8
#number of TWAS genes
length(twas_genes)
[1] 125
#show novel genes (ctwas genes with not in TWAS genes)
ctwas_gene_res[ctwas_gene_res$genename %in% novel_genes,report_cols]
genename region_tag susie_pip mu2 PVE z num_eqtl
5717 SYTL1 1_19 0.8828 21.78 0.0001826 4.295 2
10494 TMEM222 1_19 0.8413 21.56 0.0001722 4.303 1
13782 RP11-408A13.3 9_12 0.9155 23.13 0.0002011 4.536 1
3750 BHLHE41 12_18 0.8837 23.34 0.0001958 -4.516 1
#sensitivity / recall
print(sensitivity)
ctwas TWAS
0.01538 0.11538
#specificity
print(specificity)
ctwas TWAS
0.9994 0.9890
#precision / PPV
print(precision)
ctwas TWAS
0.25 0.12

#number of genes in known annotations (with imputed expression)
print(length(known_annotations))
[1] 60
#number of bystander genes (with imputed expression)
print(length(unrelated_genes))
[1] 657
#subset results to genes in known annotations or bystanders
ctwas_gene_res_subset <- ctwas_gene_res[ctwas_gene_res$genename %in% c(known_annotations, unrelated_genes),]
#assign ctwas and TWAS genes
ctwas_genes <- ctwas_gene_res_subset$genename[ctwas_gene_res_subset$susie_pip>0.8]
twas_genes <- ctwas_gene_res_subset$genename[abs(ctwas_gene_res_subset$z)>sig_thresh]
#significance threshold for TWAS
print(sig_thresh)
[1] 4.566
#number of ctwas genes (in known annotations or bystanders)
length(ctwas_genes)
[1] 2
#number of TWAS genes (in known annotations or bystanders)
length(twas_genes)
[1] 43
#sensitivity / recall
sensitivity
ctwas TWAS
0.03333 0.25000
#specificity / (1 - False Positive Rate)
specificity
ctwas TWAS
1.0000 0.9574
#precision / PPV / (1 - False Discovery Rate)
precision
ctwas TWAS
1.0000 0.3488


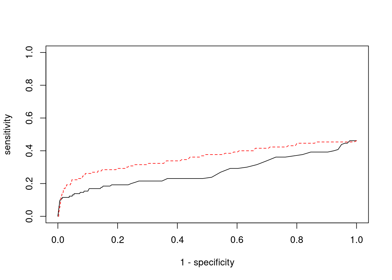
pip_range <- (0:1000)/1000
sensitivity <- rep(NA, length(pip_range))
specificity <- rep(NA, length(pip_range))
for (index in 1:length(pip_range)){
pip <- pip_range[index]
ctwas_genes <- ctwas_gene_res_subset$genename[ctwas_gene_res_subset$susie_pip>=pip]
sensitivity[index] <- sum(ctwas_genes %in% known_annotations)/length(known_annotations)
specificity[index] <- sum(!(unrelated_genes %in% ctwas_genes))/length(unrelated_genes)
}
plot(1-specificity, sensitivity, type="l", xlim=c(0,1), ylim=c(0,1), main="", xlab="1 - Specificity", ylab="Sensitivity")
title(expression("ROC Curve for cTWAS (black) and TWAS (" * phantom("red") * ")"))
title(expression(phantom("ROC Curve for cTWAS (black) and TWAS (") * "red" * phantom(")")), col.main="red")
sig_thresh_range <- seq(from=0, to=max(abs(ctwas_gene_res_subset$z)), length.out=length(pip_range))
for (index in 1:length(sig_thresh_range)){
sig_thresh_plot <- sig_thresh_range[index]
twas_genes <- ctwas_gene_res_subset$genename[abs(ctwas_gene_res_subset$z)>=sig_thresh_plot]
sensitivity[index] <- sum(twas_genes %in% known_annotations)/length(known_annotations)
specificity[index] <- sum(!(unrelated_genes %in% twas_genes))/length(unrelated_genes)
}
lines(1-specificity, sensitivity, xlim=c(0,1), ylim=c(0,1), col="red", lty=1)
abline(a=0,b=1,lty=3)
#add previously computed points from the analysis
ctwas_genes <- ctwas_gene_res_subset$genename[ctwas_gene_res_subset$susie_pip>0.8]
twas_genes <- ctwas_gene_res_subset$genename[abs(ctwas_gene_res_subset$z)>sig_thresh]
points(1-specificity_plot["ctwas"], sensitivity_plot["ctwas"], pch=21, bg="black")
points(1-specificity_plot["TWAS"], sensitivity_plot["TWAS"], pch=21, bg="red")

#table of outcomes for silver standard genes
-sort(-table(silver_standard_case))
silver_standard_case
Not Imputed Insignificant z-score Nearby SNP(s)
70 45 13
Detected (PIP > 0.8)
2
#show inconclusive genes
silver_standard_case[silver_standard_case=="Inconclusive"]
named character(0)

sessionInfo()
R version 3.6.1 (2019-07-05)
Platform: x86_64-pc-linux-gnu (64-bit)
Running under: Scientific Linux 7.4 (Nitrogen)
Matrix products: default
BLAS/LAPACK: /software/openblas-0.2.19-el7-x86_64/lib/libopenblas_haswellp-r0.2.19.so
locale:
[1] LC_CTYPE=en_US.UTF-8 LC_NUMERIC=C
[3] LC_TIME=en_US.UTF-8 LC_COLLATE=en_US.UTF-8
[5] LC_MONETARY=en_US.UTF-8 LC_MESSAGES=en_US.UTF-8
[7] LC_PAPER=en_US.UTF-8 LC_NAME=C
[9] LC_ADDRESS=C LC_TELEPHONE=C
[11] LC_MEASUREMENT=en_US.UTF-8 LC_IDENTIFICATION=C
attached base packages:
[1] parallel stats4 stats graphics grDevices utils datasets
[8] methods base
other attached packages:
[1] GenomicRanges_1.36.1 GenomeInfoDb_1.20.0 IRanges_2.18.1
[4] S4Vectors_0.22.1 BiocGenerics_0.30.0 biomaRt_2.40.1
[7] readxl_1.3.1 forcats_0.5.1 stringr_1.4.0
[10] dplyr_1.0.7 purrr_0.3.4 readr_2.1.1
[13] tidyr_1.1.4 tidyverse_1.3.1 tibble_3.1.6
[16] WebGestaltR_0.4.4 disgenet2r_0.99.2 enrichR_3.0
[19] cowplot_1.1.1 ggplot2_3.3.5 workflowr_1.7.0
loaded via a namespace (and not attached):
[1] ggbeeswarm_0.6.0 colorspace_2.0-2 rjson_0.2.20
[4] ellipsis_0.3.2 rprojroot_2.0.2 XVector_0.24.0
[7] fs_1.5.2 rstudioapi_0.13 farver_2.1.0
[10] ggrepel_0.9.1 bit64_4.0.5 AnnotationDbi_1.46.0
[13] fansi_1.0.2 lubridate_1.8.0 xml2_1.3.3
[16] codetools_0.2-16 doParallel_1.0.17 cachem_1.0.6
[19] knitr_1.36 jsonlite_1.7.2 apcluster_1.4.8
[22] Cairo_1.5-12.2 broom_0.7.10 dbplyr_2.1.1
[25] compiler_3.6.1 httr_1.4.2 backports_1.4.1
[28] assertthat_0.2.1 Matrix_1.2-18 fastmap_1.1.0
[31] cli_3.1.0 later_0.8.0 prettyunits_1.1.1
[34] htmltools_0.5.2 tools_3.6.1 igraph_1.2.10
[37] GenomeInfoDbData_1.2.1 gtable_0.3.0 glue_1.6.2
[40] reshape2_1.4.4 doRNG_1.8.2 Rcpp_1.0.8
[43] Biobase_2.44.0 cellranger_1.1.0 jquerylib_0.1.4
[46] vctrs_0.3.8 svglite_1.2.2 iterators_1.0.14
[49] xfun_0.29 ps_1.6.0 rvest_1.0.2
[52] lifecycle_1.0.1 rngtools_1.5.2 XML_3.99-0.3
[55] zlibbioc_1.30.0 getPass_0.2-2 scales_1.1.1
[58] vroom_1.5.7 hms_1.1.1 promises_1.0.1
[61] yaml_2.2.1 curl_4.3.2 memoise_2.0.1
[64] ggrastr_1.0.1 gdtools_0.1.9 stringi_1.7.6
[67] RSQLite_2.2.8 highr_0.9 foreach_1.5.2
[70] rlang_1.0.1 pkgconfig_2.0.3 bitops_1.0-7
[73] evaluate_0.14 lattice_0.20-38 labeling_0.4.2
[76] bit_4.0.4 processx_3.5.2 tidyselect_1.1.1
[79] plyr_1.8.6 magrittr_2.0.2 R6_2.5.1
[82] generics_0.1.1 DBI_1.1.2 pillar_1.6.4
[85] haven_2.4.3 whisker_0.3-2 withr_2.4.3
[88] RCurl_1.98-1.5 modelr_0.1.8 crayon_1.5.0
[91] utf8_1.2.2 tzdb_0.2.0 rmarkdown_2.11
[94] progress_1.2.2 grid_3.6.1 data.table_1.14.2
[97] blob_1.2.2 callr_3.7.0 git2r_0.26.1
[100] reprex_2.0.1 digest_0.6.29 httpuv_1.5.1
[103] munsell_0.5.0 beeswarm_0.2.3 vipor_0.4.5