Last updated: 2022-04-19
Checks: 5 2
Knit directory: cTWAS_analysis/
This reproducible R Markdown analysis was created with workflowr (version 1.7.0). The Checks tab describes the reproducibility checks that were applied when the results were created. The Past versions tab lists the development history.
The R Markdown file has unstaged changes. To know which version of the R Markdown file created these results, you’ll want to first commit it to the Git repo. If you’re still working on the analysis, you can ignore this warning. When you’re finished, you can run wflow_publish to commit the R Markdown file and build the HTML.
Great job! The global environment was empty. Objects defined in the global environment can affect the analysis in your R Markdown file in unknown ways. For reproduciblity it’s best to always run the code in an empty environment.
The command set.seed(20211220) was run prior to running the code in the R Markdown file. Setting a seed ensures that any results that rely on randomness, e.g. subsampling or permutations, are reproducible.
Great job! Recording the operating system, R version, and package versions is critical for reproducibility.
Nice! There were no cached chunks for this analysis, so you can be confident that you successfully produced the results during this run.
Using absolute paths to the files within your workflowr project makes it difficult for you and others to run your code on a different machine. Change the absolute path(s) below to the suggested relative path(s) to make your code more reproducible.
| absolute | relative |
|---|---|
| /project2/xinhe/shengqian/cTWAS/cTWAS_analysis/data/ | data |
| /project2/xinhe/shengqian/cTWAS/cTWAS_analysis/code/ctwas_config.R | code/ctwas_config.R |
Great! You are using Git for version control. Tracking code development and connecting the code version to the results is critical for reproducibility.
The results in this page were generated with repository version ba919ab. See the Past versions tab to see a history of the changes made to the R Markdown and HTML files.
Note that you need to be careful to ensure that all relevant files for the analysis have been committed to Git prior to generating the results (you can use wflow_publish or wflow_git_commit). workflowr only checks the R Markdown file, but you know if there are other scripts or data files that it depends on. Below is the status of the Git repository when the results were generated:
Ignored files:
Ignored: .ipynb_checkpoints/
Ignored: data/AF/
Untracked files:
Untracked: Rplot.png
Untracked: analysis/.ipynb_checkpoints/
Untracked: code/.ipynb_checkpoints/
Untracked: code/AF_out/
Untracked: code/Autism_out/
Untracked: code/BMI_S_out/
Untracked: code/BMI_out/
Untracked: code/Glucose_out/
Untracked: code/LDL_S_out/
Untracked: code/SCZ_2014_EUR_out/
Untracked: code/SCZ_2018_out/
Untracked: code/SCZ_2020_Single_out/
Untracked: code/SCZ_2020_out/
Untracked: code/SCZ_S_out/
Untracked: code/SCZ_out/
Untracked: code/T2D_out/
Untracked: code/ctwas_config.R
Untracked: code/mapping.R
Untracked: code/out/
Untracked: code/process_scz_2018_snps.R
Untracked: code/run_AF_analysis.sbatch
Untracked: code/run_AF_analysis.sh
Untracked: code/run_AF_ctwas_rss_LDR.R
Untracked: code/run_Autism_analysis.sbatch
Untracked: code/run_Autism_analysis.sh
Untracked: code/run_Autism_ctwas_rss_LDR.R
Untracked: code/run_BMI_analysis.sbatch
Untracked: code/run_BMI_analysis.sh
Untracked: code/run_BMI_analysis_S.sbatch
Untracked: code/run_BMI_analysis_S.sh
Untracked: code/run_BMI_ctwas_rss_LDR.R
Untracked: code/run_BMI_ctwas_rss_LDR_S.R
Untracked: code/run_Glucose_analysis.sbatch
Untracked: code/run_Glucose_analysis.sh
Untracked: code/run_Glucose_ctwas_rss_LDR.R
Untracked: code/run_LDL_analysis_S.sbatch
Untracked: code/run_LDL_analysis_S.sh
Untracked: code/run_LDL_ctwas_rss_LDR_S.R
Untracked: code/run_SCZ_2014_EUR_analysis.sbatch
Untracked: code/run_SCZ_2014_EUR_analysis.sh
Untracked: code/run_SCZ_2014_EUR_ctwas_rss_LDR.R
Untracked: code/run_SCZ_2018_analysis.sbatch
Untracked: code/run_SCZ_2018_analysis.sh
Untracked: code/run_SCZ_2018_ctwas_rss_LDR.R
Untracked: code/run_SCZ_2020_Single_analysis.sbatch
Untracked: code/run_SCZ_2020_Single_analysis.sh
Untracked: code/run_SCZ_2020_Single_ctwas_rss_LDR.R
Untracked: code/run_SCZ_2020_analysis.sbatch
Untracked: code/run_SCZ_2020_analysis.sh
Untracked: code/run_SCZ_2020_ctwas_rss_LDR.R
Untracked: code/run_SCZ_analysis.sbatch
Untracked: code/run_SCZ_analysis.sh
Untracked: code/run_SCZ_analysis_S.sbatch
Untracked: code/run_SCZ_analysis_S.sh
Untracked: code/run_SCZ_ctwas_rss_LDR.R
Untracked: code/run_SCZ_ctwas_rss_LDR_S.R
Untracked: code/run_T2D_analysis.sbatch
Untracked: code/run_T2D_analysis.sh
Untracked: code/run_T2D_ctwas_rss_LDR.R
Untracked: code/wflow_build.R
Untracked: code/wflow_build.sbatch
Untracked: data/.ipynb_checkpoints/
Untracked: data/BMI/
Untracked: data/GO_Terms/
Untracked: data/PGC3_SCZ_wave3_public.v2.tsv
Untracked: data/SCZ/
Untracked: data/SCZ_2014_EUR/
Untracked: data/SCZ_2018/
Untracked: data/SCZ_2020/
Untracked: data/SCZ_2020_Single/
Untracked: data/SCZ_S/
Untracked: data/Supplementary Table 15 - MAGMA.xlsx
Untracked: data/Supplementary Table 20 - Prioritised Genes.xlsx
Untracked: data/T2D/
Untracked: data/UKBB/
Untracked: data/UKBB_SNPs_Info.text
Untracked: data/gene_OMIM.txt
Untracked: data/gene_pip_0.8.txt
Untracked: data/mashr_Heart_Atrial_Appendage.db
Untracked: data/mashr_sqtl/
Untracked: data/scz_2018.RDS
Untracked: data/summary_known_genes_annotations.xlsx
Untracked: data/untitled.txt
Untracked: top_genes_32.txt
Untracked: top_genes_37.txt
Untracked: top_genes_43.txt
Untracked: top_genes_81.txt
Unstaged changes:
Modified: analysis/SCZ_2018_Brain_Amygdala.Rmd
Modified: analysis/SCZ_2018_Brain_Anterior_cingulate_cortex_BA24.Rmd
Modified: analysis/SCZ_2018_Brain_Caudate_basal_ganglia.Rmd
Modified: analysis/SCZ_2018_Brain_Cerebellar_Hemisphere.Rmd
Modified: analysis/SCZ_2018_Brain_Cerebellum.Rmd
Modified: analysis/SCZ_2018_Brain_Cortex.Rmd
Modified: analysis/SCZ_2018_Brain_Frontal_Cortex_BA9.Rmd
Modified: analysis/SCZ_2018_Brain_Hippocampus.Rmd
Modified: analysis/SCZ_2018_Brain_Hypothalamus.Rmd
Modified: analysis/SCZ_2018_Brain_Nucleus_accumbens_basal_ganglia.Rmd
Modified: analysis/SCZ_2018_Brain_Putamen_basal_ganglia.Rmd
Modified: analysis/SCZ_2018_Brain_Spinal_cord_cervical_c-1.Rmd
Modified: analysis/SCZ_2018_Brain_Substantia_nigra.Rmd
Modified: analysis/SCZ_Annotation_Analysis.Rmd
Note that any generated files, e.g. HTML, png, CSS, etc., are not included in this status report because it is ok for generated content to have uncommitted changes.
These are the previous versions of the repository in which changes were made to the R Markdown (analysis/SCZ_2018_Brain_Cerebellum.Rmd) and HTML (docs/SCZ_2018_Brain_Cerebellum.html) files. If you’ve configured a remote Git repository (see ?wflow_git_remote), click on the hyperlinks in the table below to view the files as they were in that past version.
| File | Version | Author | Date | Message |
|---|---|---|---|---|
| Rmd | 9ddc9c4 | sq-96 | 2022-04-18 | update |
| Rmd | f6e7062 | sq-96 | 2022-04-17 | update |
| html | f6e7062 | sq-96 | 2022-04-17 | update |
#number of imputed weights
nrow(qclist_all)
[1] 10083
#number of imputed weights by chromosome
table(qclist_all$chr)
1 2 3 4 5 6 7 8 9 10 11 12 13 14 15 16 17 18 19 20
983 727 594 372 493 544 499 367 399 397 614 571 207 339 339 436 631 157 814 300
21 22
29 271
#number of imputed weights without missing variants
sum(qclist_all$nmiss==0)
[1] 6721
#proportion of imputed weights without missing variants
mean(qclist_all$nmiss==0)
[1] 0.6666

#estimated group prior
estimated_group_prior <- group_prior_rec[,ncol(group_prior_rec)]
names(estimated_group_prior) <- c("gene", "snp")
estimated_group_prior["snp"] <- estimated_group_prior["snp"]*thin #adjust parameter to account for thin argument
print(estimated_group_prior)
gene snp
0.013760 0.000302
#estimated group prior variance
estimated_group_prior_var <- group_prior_var_rec[,ncol(group_prior_var_rec)]
names(estimated_group_prior_var) <- c("gene", "snp")
print(estimated_group_prior_var)
gene snp
11.45 10.62
#report sample size
print(sample_size)
[1] 105318
#report group size
group_size <- c(nrow(ctwas_gene_res), n_snps)
print(group_size)
[1] 10083 6309950
#estimated group PVE
estimated_group_pve <- estimated_group_prior_var*estimated_group_prior*group_size/sample_size #check PVE calculation
names(estimated_group_pve) <- c("gene", "snp")
print(estimated_group_pve)
gene snp
0.01509 0.19220
#compare sum(PIP*mu2/sample_size) with above PVE calculation
c(sum(ctwas_gene_res$PVE),sum(ctwas_snp_res$PVE))
[1] 0.06286 1.04766

genename region_tag susie_pip mu2 PVE z num_eqtl
11129 ZNF823 19_10 0.9867 37.18 0.0003483 6.219 2
10100 NPIPA1 16_15 0.9650 24.46 0.0002242 4.689 1
4195 FEZF1 7_74 0.9554 24.24 0.0002199 -4.812 1
12285 AC012074.2 2_15 0.9508 22.31 0.0002014 4.655 1
5873 GALNT2 1_117 0.9489 24.74 0.0002229 4.938 2
1753 PTK6 20_37 0.9122 23.13 0.0002003 -4.486 2
9127 MAP3K11 11_36 0.9062 31.57 0.0002716 -5.401 1
6968 LRP8 1_33 0.9003 26.80 0.0002291 5.050 2
3758 SSPN 12_18 0.8977 23.03 0.0001963 4.516 1
13670 RP11-408A13.3 9_13 0.8920 23.14 0.0001960 4.410 2
5753 SYTL1 1_19 0.8404 21.55 0.0001720 4.216 2
3127 SF3B1 2_117 0.8322 48.68 0.0003847 7.265 1
5541 FANCI 15_41 0.7944 24.01 0.0001811 -4.481 1
7188 TNFRSF13C 22_17 0.7931 40.96 0.0003084 -4.889 2
3233 LAMTOR2 1_76 0.7578 22.82 0.0001642 -4.307 1
6962 TIMP4 3_9 0.7246 21.49 0.0001478 4.200 2
11503 DISP3 1_9 0.6991 21.88 0.0001452 3.703 1
11381 LINC00222 6_73 0.6951 21.47 0.0001417 -4.403 1
412 CTNNA1 5_82 0.6828 26.22 0.0001700 5.512 1
2706 TRPV4 12_66 0.6703 20.76 0.0001321 3.346 1

genename region_tag susie_pip mu2 PVE z num_eqtl
12543 C4A 6_26 3.821e-07 200.22 7.264e-10 11.326 1
11441 RNF5 6_26 4.651e-08 160.52 7.088e-11 9.714 1
9739 HLA-DQB1 6_26 1.544e-07 149.23 2.188e-10 4.624 1
12183 CYP21A2 6_26 3.772e-12 137.34 4.919e-15 -8.406 2
11924 C4B 6_26 5.686e-11 130.56 7.048e-14 -9.001 1
11439 NOTCH4 6_26 2.414e-08 125.97 2.887e-11 7.767 2
11440 AGER 6_26 1.519e-08 121.48 1.753e-11 -9.071 1
12452 EGFL8 6_26 4.893e-06 110.84 5.150e-09 5.281 1
11449 SKIV2L 6_26 2.022e-09 110.05 2.113e-12 7.169 1
11442 AGPAT1 6_26 1.567e-06 106.76 1.588e-09 -5.190 1
2890 PRSS16 6_21 5.415e-02 106.12 5.456e-05 -11.598 2
10811 HLA-DRB1 6_26 2.172e-10 103.22 2.129e-13 4.363 2
13535 RP1-86C11.7 6_21 2.020e-01 102.16 1.959e-04 10.889 1
10943 ZSCAN16 6_22 1.704e-02 98.62 1.595e-05 -10.284 1
12064 HCG11 6_20 2.560e-02 96.69 2.350e-05 11.015 1
13097 CTA-14H9.5 6_20 2.560e-02 96.69 2.350e-05 11.015 1
11458 C6orf48 6_26 1.887e-11 96.32 1.726e-14 8.171 2
10933 HLA-DQA1 6_26 2.579e-11 95.10 2.329e-14 2.937 1
11437 BTNL2 6_26 8.903e-13 89.85 7.595e-16 4.857 1
5147 FLOT1 6_24 2.356e-01 85.79 1.920e-04 -11.181 1
genename region_tag susie_pip mu2 PVE z num_eqtl
3127 SF3B1 2_117 0.8322 48.68 0.0003847 7.265 1
11129 ZNF823 19_10 0.9867 37.18 0.0003483 6.219 2
7188 TNFRSF13C 22_17 0.7931 40.96 0.0003084 -4.889 2
9127 MAP3K11 11_36 0.9062 31.57 0.0002716 -5.401 1
6968 LRP8 1_33 0.9003 26.80 0.0002291 5.050 2
10100 NPIPA1 16_15 0.9650 24.46 0.0002242 4.689 1
5873 GALNT2 1_117 0.9489 24.74 0.0002229 4.938 2
4195 FEZF1 7_74 0.9554 24.24 0.0002199 -4.812 1
13918 LINC02033 3_28 0.5712 38.68 0.0002098 -6.280 1
2655 MDK 11_28 0.4340 49.04 0.0002021 -7.159 1
12285 AC012074.2 2_15 0.9508 22.31 0.0002014 4.655 1
1753 PTK6 20_37 0.9122 23.13 0.0002003 -4.486 2
3758 SSPN 12_18 0.8977 23.03 0.0001963 4.516 1
13670 RP11-408A13.3 9_13 0.8920 23.14 0.0001960 4.410 2
13535 RP1-86C11.7 6_21 0.2020 102.16 0.0001959 10.889 1
5147 FLOT1 6_24 0.2356 85.79 0.0001920 -11.181 1
11781 AS3MT 10_66 0.4650 43.09 0.0001903 8.051 1
5541 FANCI 15_41 0.7944 24.01 0.0001811 -4.481 1
4178 RNF112 17_17 0.6515 29.13 0.0001802 5.126 2
5753 SYTL1 1_19 0.8404 21.55 0.0001720 4.216 2
genename region_tag susie_pip mu2 PVE z num_eqtl
2890 PRSS16 6_21 5.415e-02 106.12 5.456e-05 -11.598 2
12543 C4A 6_26 3.821e-07 200.22 7.264e-10 11.326 1
5147 FLOT1 6_24 2.356e-01 85.79 1.920e-04 -11.181 1
12064 HCG11 6_20 2.560e-02 96.69 2.350e-05 11.015 1
13097 CTA-14H9.5 6_20 2.560e-02 96.69 2.350e-05 11.015 1
13535 RP1-86C11.7 6_21 2.020e-01 102.16 1.959e-04 10.889 1
10943 ZSCAN16 6_22 1.704e-02 98.62 1.595e-05 -10.284 1
9834 HIST1H2BC 6_20 3.402e-02 79.02 2.553e-05 -9.909 1
11441 RNF5 6_26 4.651e-08 160.52 7.088e-11 9.714 1
11484 CCHCR1 6_25 1.704e-02 71.45 1.156e-05 -9.521 5
10608 HIST1H1C 6_20 2.236e-02 67.08 1.424e-05 -9.193 2
10473 BTN3A2 6_20 2.312e-02 68.18 1.497e-05 9.184 2
11430 HLA-DMA 6_27 1.201e-01 75.68 8.630e-05 -9.139 2
11440 AGER 6_26 1.519e-08 121.48 1.753e-11 -9.071 1
11924 C4B 6_26 5.686e-11 130.56 7.048e-14 -9.001 1
5150 PGBD1 6_22 1.700e-02 65.77 1.062e-05 -8.437 3
12183 CYP21A2 6_26 3.772e-12 137.34 4.919e-15 -8.406 2
11479 MICB 6_25 8.254e-03 56.75 4.448e-06 -8.172 3
11458 C6orf48 6_26 1.887e-11 96.32 1.726e-14 8.171 2
11724 DDAH2 6_26 3.617e-11 72.62 2.494e-14 8.149 1


[1] 0.01507
high_z_genes_region <- unique(head(ctwas_gene_res[order(-abs(ctwas_gene_res$z)),report_cols],40)$region_tag)
sum <- 0
for(i in high_z_genes_region){
locus <- ctwas_res[ctwas_res$region_tag==i,]
locus <- head(locus[order(-locus$susie_pip),],20)
snp_pip <- sum(locus[locus$type == 'SNP','susie_pip'])
gene_pip <- sum(locus[locus$type == 'gene','susie_pip'])
print(snp_pip/(snp_pip+gene_pip))
}
[1] 0.7954
[1] 0.945
[1] 0.8661
[1] 0.7644
[1] 0.9396
[1] 0.8748
[1] 0.818
[1] 0.8457
[1] 0.1471
[1] 0.3721
[1] 0.8354
#number of genes for gene set enrichment
length(genes)
[1] 36
Uploading data to Enrichr... Done.
Querying GO_Biological_Process_2021... Done.
Querying GO_Cellular_Component_2021... Done.
Querying GO_Molecular_Function_2021... Done.
Parsing results... Done.
[1] "GO_Biological_Process_2021"

Term Overlap
1 regulation of protein tyrosine kinase activity (GO:0061097) 3/39
Adjusted.P.value Genes
1 0.01484 DLG4;PTK6;LRP8
[1] "GO_Cellular_Component_2021"

Term Overlap Adjusted.P.value
1 protein phosphatase type 2A complex (GO:0000159) 2/17 0.0358
Genes
1 PTPA;PPP2R5B
[1] "GO_Molecular_Function_2021"

Term Overlap Adjusted.P.value
1 protein phosphatase activator activity (GO:0072542) 2/13 0.01626
Genes
1 PTPA;PPP2R5B
Description FDR Ratio
11 Confusion 0.009834 1/16
60 Speech impairment 0.009834 1/16
61 Derealization 0.009834 1/16
67 Spondylometaphyseal dysplasia, Kozlowski type 0.009834 1/16
68 Metatropic dwarfism 0.009834 1/16
86 Brachyolmia Type 3 0.009834 1/16
91 Sexually disinhibited behavior 0.009834 1/16
98 Hypersomnia, Recurrent 0.009834 1/16
117 Immunodeficiency due to Defect in MAPBP-Interacting Protein 0.009834 1/16
118 FANCONI ANEMIA, COMPLEMENTATION GROUP I 0.009834 1/16
BgRatio
11 1/9703
60 1/9703
61 1/9703
67 1/9703
68 1/9703
86 1/9703
91 1/9703
98 1/9703
117 1/9703
118 1/9703
Loading the functional categories...
Loading the ID list...
Loading the reference list...
Performing the enrichment analysis...
Warning in oraEnrichment(interestGeneList, referenceGeneList, geneSet, minNum =
minNum, : No significant gene set is identified based on FDR 0.05!
NULL

#number of genes in known annotations
print(length(known_annotations))
[1] 130
#number of genes in known annotations with imputed expression
print(sum(known_annotations %in% ctwas_gene_res$genename))
[1] 63
#significance threshold for TWAS
print(sig_thresh)
[1] 4.567
#number of ctwas genes
length(ctwas_genes)
[1] 12
#number of TWAS genes
length(twas_genes)
[1] 152
#show novel genes (ctwas genes with not in TWAS genes)
ctwas_gene_res[ctwas_gene_res$genename %in% novel_genes,report_cols]
genename region_tag susie_pip mu2 PVE z num_eqtl
5753 SYTL1 1_19 0.8404 21.55 0.0001720 4.216 2
13670 RP11-408A13.3 9_13 0.8920 23.14 0.0001960 4.410 2
3758 SSPN 12_18 0.8977 23.03 0.0001963 4.516 1
1753 PTK6 20_37 0.9122 23.13 0.0002003 -4.486 2
#sensitivity / recall
print(sensitivity)
ctwas TWAS
0.01538 0.09231
#specificity
print(specificity)
ctwas TWAS
0.999 0.986
#precision / PPV
print(precision)
ctwas TWAS
0.16667 0.07895

#number of genes in known annotations (with imputed expression)
print(length(known_annotations))
[1] 63
#number of bystander genes (with imputed expression)
print(length(unrelated_genes))
[1] 659
#subset results to genes in known annotations or bystanders
ctwas_gene_res_subset <- ctwas_gene_res[ctwas_gene_res$genename %in% c(known_annotations, unrelated_genes),]
#assign ctwas and TWAS genes
ctwas_genes <- ctwas_gene_res_subset$genename[ctwas_gene_res_subset$susie_pip>0.8]
twas_genes <- ctwas_gene_res_subset$genename[abs(ctwas_gene_res_subset$z)>sig_thresh]
#significance threshold for TWAS
print(sig_thresh)
[1] 4.567
#number of ctwas genes (in known annotations or bystanders)
length(ctwas_genes)
[1] 3
#number of TWAS genes (in known annotations or bystanders)
length(twas_genes)
[1] 48
#sensitivity / recall
sensitivity
ctwas TWAS
0.03175 0.19048
#specificity / (1 - False Positive Rate)
specificity
ctwas TWAS
0.9985 0.9454
#precision / PPV / (1 - False Discovery Rate)
precision
ctwas TWAS
0.6667 0.2500


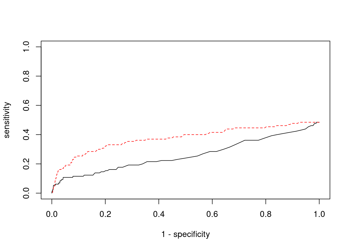
pip_range <- (0:1000)/1000
sensitivity <- rep(NA, length(pip_range))
specificity <- rep(NA, length(pip_range))
for (index in 1:length(pip_range)){
pip <- pip_range[index]
ctwas_genes <- ctwas_gene_res_subset$genename[ctwas_gene_res_subset$susie_pip>=pip]
sensitivity[index] <- sum(ctwas_genes %in% known_annotations)/length(known_annotations)
specificity[index] <- sum(!(unrelated_genes %in% ctwas_genes))/length(unrelated_genes)
}
plot(1-specificity, sensitivity, type="l", xlim=c(0,1), ylim=c(0,1), main="", xlab="1 - Specificity", ylab="Sensitivity")
title(expression("ROC Curve for cTWAS (black) and TWAS (" * phantom("red") * ")"))
title(expression(phantom("ROC Curve for cTWAS (black) and TWAS (") * "red" * phantom(")")), col.main="red")
sig_thresh_range <- seq(from=0, to=max(abs(ctwas_gene_res_subset$z)), length.out=length(pip_range))
for (index in 1:length(sig_thresh_range)){
sig_thresh_plot <- sig_thresh_range[index]
twas_genes <- ctwas_gene_res_subset$genename[abs(ctwas_gene_res_subset$z)>=sig_thresh_plot]
sensitivity[index] <- sum(twas_genes %in% known_annotations)/length(known_annotations)
specificity[index] <- sum(!(unrelated_genes %in% twas_genes))/length(unrelated_genes)
}
lines(1-specificity, sensitivity, xlim=c(0,1), ylim=c(0,1), col="red", lty=1)
abline(a=0,b=1,lty=3)
#add previously computed points from the analysis
ctwas_genes <- ctwas_gene_res_subset$genename[ctwas_gene_res_subset$susie_pip>0.8]
twas_genes <- ctwas_gene_res_subset$genename[abs(ctwas_gene_res_subset$z)>sig_thresh]
points(1-specificity_plot["ctwas"], sensitivity_plot["ctwas"], pch=21, bg="black")
points(1-specificity_plot["TWAS"], sensitivity_plot["TWAS"], pch=21, bg="red")

#table of outcomes for silver standard genes
-sort(-table(silver_standard_case))
silver_standard_case
Not Imputed Insignificant z-score Nearby SNP(s)
67 51 10
Detected (PIP > 0.8)
2
#show inconclusive genes
silver_standard_case[silver_standard_case=="Inconclusive"]
named character(0)

sessionInfo()
R version 3.6.1 (2019-07-05)
Platform: x86_64-pc-linux-gnu (64-bit)
Running under: Scientific Linux 7.4 (Nitrogen)
Matrix products: default
BLAS/LAPACK: /software/openblas-0.2.19-el7-x86_64/lib/libopenblas_haswellp-r0.2.19.so
locale:
[1] LC_CTYPE=en_US.UTF-8 LC_NUMERIC=C
[3] LC_TIME=en_US.UTF-8 LC_COLLATE=en_US.UTF-8
[5] LC_MONETARY=en_US.UTF-8 LC_MESSAGES=en_US.UTF-8
[7] LC_PAPER=en_US.UTF-8 LC_NAME=C
[9] LC_ADDRESS=C LC_TELEPHONE=C
[11] LC_MEASUREMENT=en_US.UTF-8 LC_IDENTIFICATION=C
attached base packages:
[1] parallel stats4 stats graphics grDevices utils datasets
[8] methods base
other attached packages:
[1] GenomicRanges_1.36.1 GenomeInfoDb_1.20.0 IRanges_2.18.1
[4] S4Vectors_0.22.1 BiocGenerics_0.30.0 biomaRt_2.40.1
[7] readxl_1.3.1 forcats_0.5.1 stringr_1.4.0
[10] dplyr_1.0.7 purrr_0.3.4 readr_2.1.1
[13] tidyr_1.1.4 tidyverse_1.3.1 tibble_3.1.6
[16] WebGestaltR_0.4.4 disgenet2r_0.99.2 enrichR_3.0
[19] cowplot_1.1.1 ggplot2_3.3.5 workflowr_1.7.0
loaded via a namespace (and not attached):
[1] ggbeeswarm_0.6.0 colorspace_2.0-2 rjson_0.2.20
[4] ellipsis_0.3.2 rprojroot_2.0.2 XVector_0.24.0
[7] fs_1.5.2 rstudioapi_0.13 farver_2.1.0
[10] ggrepel_0.9.1 bit64_4.0.5 AnnotationDbi_1.46.0
[13] fansi_1.0.2 lubridate_1.8.0 xml2_1.3.3
[16] codetools_0.2-16 doParallel_1.0.17 cachem_1.0.6
[19] knitr_1.36 jsonlite_1.7.2 apcluster_1.4.8
[22] Cairo_1.5-12.2 broom_0.7.10 dbplyr_2.1.1
[25] compiler_3.6.1 httr_1.4.2 backports_1.4.1
[28] assertthat_0.2.1 Matrix_1.2-18 fastmap_1.1.0
[31] cli_3.1.0 later_0.8.0 prettyunits_1.1.1
[34] htmltools_0.5.2 tools_3.6.1 igraph_1.2.10
[37] GenomeInfoDbData_1.2.1 gtable_0.3.0 glue_1.6.2
[40] reshape2_1.4.4 doRNG_1.8.2 Rcpp_1.0.8
[43] Biobase_2.44.0 cellranger_1.1.0 jquerylib_0.1.4
[46] vctrs_0.3.8 svglite_1.2.2 iterators_1.0.14
[49] xfun_0.29 ps_1.6.0 rvest_1.0.2
[52] lifecycle_1.0.1 rngtools_1.5.2 XML_3.99-0.3
[55] zlibbioc_1.30.0 getPass_0.2-2 scales_1.1.1
[58] vroom_1.5.7 hms_1.1.1 promises_1.0.1
[61] yaml_2.2.1 curl_4.3.2 memoise_2.0.1
[64] ggrastr_1.0.1 gdtools_0.1.9 stringi_1.7.6
[67] RSQLite_2.2.8 highr_0.9 foreach_1.5.2
[70] rlang_1.0.1 pkgconfig_2.0.3 bitops_1.0-7
[73] evaluate_0.14 lattice_0.20-38 labeling_0.4.2
[76] bit_4.0.4 processx_3.5.2 tidyselect_1.1.1
[79] plyr_1.8.6 magrittr_2.0.2 R6_2.5.1
[82] generics_0.1.1 DBI_1.1.2 pillar_1.6.4
[85] haven_2.4.3 whisker_0.3-2 withr_2.4.3
[88] RCurl_1.98-1.5 modelr_0.1.8 crayon_1.5.0
[91] utf8_1.2.2 tzdb_0.2.0 rmarkdown_2.11
[94] progress_1.2.2 grid_3.6.1 data.table_1.14.2
[97] blob_1.2.2 callr_3.7.0 git2r_0.26.1
[100] reprex_2.0.1 digest_0.6.29 httpuv_1.5.1
[103] munsell_0.5.0 beeswarm_0.2.3 vipor_0.4.5