Last updated: 2022-04-19

Checks: 5 2

Knit directory: cTWAS_analysis/

This reproducible R Markdown analysis was created with workflowr (version 1.7.0). The Checks tab describes the reproducibility checks that were applied when the results were created. The Past versions tab lists the development history.


The R Markdown file has unstaged changes. To know which version of the R Markdown file created these results, you’ll want to first commit it to the Git repo. If you’re still working on the analysis, you can ignore this warning. When you’re finished, you can run wflow_publish to commit the R Markdown file and build the HTML.

Great job! The global environment was empty. Objects defined in the global environment can affect the analysis in your R Markdown file in unknown ways. For reproduciblity it’s best to always run the code in an empty environment.

The command set.seed(20211220) was run prior to running the code in the R Markdown file. Setting a seed ensures that any results that rely on randomness, e.g. subsampling or permutations, are reproducible.

Great job! Recording the operating system, R version, and package versions is critical for reproducibility.

Nice! There were no cached chunks for this analysis, so you can be confident that you successfully produced the results during this run.

Using absolute paths to the files within your workflowr project makes it difficult for you and others to run your code on a different machine. Change the absolute path(s) below to the suggested relative path(s) to make your code more reproducible.

absolute relative
/project2/xinhe/shengqian/cTWAS/cTWAS_analysis/data/ data
/project2/xinhe/shengqian/cTWAS/cTWAS_analysis/code/ctwas_config.R code/ctwas_config.R

Great! You are using Git for version control. Tracking code development and connecting the code version to the results is critical for reproducibility.

The results in this page were generated with repository version ba919ab. See the Past versions tab to see a history of the changes made to the R Markdown and HTML files.

Note that you need to be careful to ensure that all relevant files for the analysis have been committed to Git prior to generating the results (you can use wflow_publish or wflow_git_commit). workflowr only checks the R Markdown file, but you know if there are other scripts or data files that it depends on. Below is the status of the Git repository when the results were generated:


Ignored files:
    Ignored:    .ipynb_checkpoints/
    Ignored:    data/AF/

Untracked files:
    Untracked:  Rplot.png
    Untracked:  analysis/.ipynb_checkpoints/
    Untracked:  code/.ipynb_checkpoints/
    Untracked:  code/AF_out/
    Untracked:  code/Autism_out/
    Untracked:  code/BMI_S_out/
    Untracked:  code/BMI_out/
    Untracked:  code/Glucose_out/
    Untracked:  code/LDL_S_out/
    Untracked:  code/SCZ_2014_EUR_out/
    Untracked:  code/SCZ_2018_out/
    Untracked:  code/SCZ_2020_Single_out/
    Untracked:  code/SCZ_2020_out/
    Untracked:  code/SCZ_S_out/
    Untracked:  code/SCZ_out/
    Untracked:  code/T2D_out/
    Untracked:  code/ctwas_config.R
    Untracked:  code/mapping.R
    Untracked:  code/out/
    Untracked:  code/process_scz_2018_snps.R
    Untracked:  code/run_AF_analysis.sbatch
    Untracked:  code/run_AF_analysis.sh
    Untracked:  code/run_AF_ctwas_rss_LDR.R
    Untracked:  code/run_Autism_analysis.sbatch
    Untracked:  code/run_Autism_analysis.sh
    Untracked:  code/run_Autism_ctwas_rss_LDR.R
    Untracked:  code/run_BMI_analysis.sbatch
    Untracked:  code/run_BMI_analysis.sh
    Untracked:  code/run_BMI_analysis_S.sbatch
    Untracked:  code/run_BMI_analysis_S.sh
    Untracked:  code/run_BMI_ctwas_rss_LDR.R
    Untracked:  code/run_BMI_ctwas_rss_LDR_S.R
    Untracked:  code/run_Glucose_analysis.sbatch
    Untracked:  code/run_Glucose_analysis.sh
    Untracked:  code/run_Glucose_ctwas_rss_LDR.R
    Untracked:  code/run_LDL_analysis_S.sbatch
    Untracked:  code/run_LDL_analysis_S.sh
    Untracked:  code/run_LDL_ctwas_rss_LDR_S.R
    Untracked:  code/run_SCZ_2014_EUR_analysis.sbatch
    Untracked:  code/run_SCZ_2014_EUR_analysis.sh
    Untracked:  code/run_SCZ_2014_EUR_ctwas_rss_LDR.R
    Untracked:  code/run_SCZ_2018_analysis.sbatch
    Untracked:  code/run_SCZ_2018_analysis.sh
    Untracked:  code/run_SCZ_2018_ctwas_rss_LDR.R
    Untracked:  code/run_SCZ_2020_Single_analysis.sbatch
    Untracked:  code/run_SCZ_2020_Single_analysis.sh
    Untracked:  code/run_SCZ_2020_Single_ctwas_rss_LDR.R
    Untracked:  code/run_SCZ_2020_analysis.sbatch
    Untracked:  code/run_SCZ_2020_analysis.sh
    Untracked:  code/run_SCZ_2020_ctwas_rss_LDR.R
    Untracked:  code/run_SCZ_analysis.sbatch
    Untracked:  code/run_SCZ_analysis.sh
    Untracked:  code/run_SCZ_analysis_S.sbatch
    Untracked:  code/run_SCZ_analysis_S.sh
    Untracked:  code/run_SCZ_ctwas_rss_LDR.R
    Untracked:  code/run_SCZ_ctwas_rss_LDR_S.R
    Untracked:  code/run_T2D_analysis.sbatch
    Untracked:  code/run_T2D_analysis.sh
    Untracked:  code/run_T2D_ctwas_rss_LDR.R
    Untracked:  code/wflow_build.R
    Untracked:  code/wflow_build.sbatch
    Untracked:  data/.ipynb_checkpoints/
    Untracked:  data/BMI/
    Untracked:  data/GO_Terms/
    Untracked:  data/PGC3_SCZ_wave3_public.v2.tsv
    Untracked:  data/SCZ/
    Untracked:  data/SCZ_2014_EUR/
    Untracked:  data/SCZ_2018/
    Untracked:  data/SCZ_2020/
    Untracked:  data/SCZ_2020_Single/
    Untracked:  data/SCZ_S/
    Untracked:  data/Supplementary Table 15 - MAGMA.xlsx
    Untracked:  data/Supplementary Table 20 - Prioritised Genes.xlsx
    Untracked:  data/T2D/
    Untracked:  data/UKBB/
    Untracked:  data/UKBB_SNPs_Info.text
    Untracked:  data/gene_OMIM.txt
    Untracked:  data/gene_pip_0.8.txt
    Untracked:  data/mashr_Heart_Atrial_Appendage.db
    Untracked:  data/mashr_sqtl/
    Untracked:  data/scz_2018.RDS
    Untracked:  data/summary_known_genes_annotations.xlsx
    Untracked:  data/untitled.txt
    Untracked:  top_genes_32.txt
    Untracked:  top_genes_37.txt
    Untracked:  top_genes_43.txt
    Untracked:  top_genes_81.txt

Unstaged changes:
    Modified:   analysis/SCZ_2018_Brain_Amygdala.Rmd
    Modified:   analysis/SCZ_2018_Brain_Anterior_cingulate_cortex_BA24.Rmd
    Modified:   analysis/SCZ_2018_Brain_Caudate_basal_ganglia.Rmd
    Modified:   analysis/SCZ_2018_Brain_Cerebellar_Hemisphere.Rmd
    Modified:   analysis/SCZ_2018_Brain_Cerebellum.Rmd
    Modified:   analysis/SCZ_2018_Brain_Cortex.Rmd
    Modified:   analysis/SCZ_2018_Brain_Frontal_Cortex_BA9.Rmd
    Modified:   analysis/SCZ_2018_Brain_Hippocampus.Rmd
    Modified:   analysis/SCZ_2018_Brain_Hypothalamus.Rmd
    Modified:   analysis/SCZ_2018_Brain_Nucleus_accumbens_basal_ganglia.Rmd
    Modified:   analysis/SCZ_2018_Brain_Putamen_basal_ganglia.Rmd
    Modified:   analysis/SCZ_2018_Brain_Spinal_cord_cervical_c-1.Rmd
    Modified:   analysis/SCZ_2018_Brain_Substantia_nigra.Rmd
    Modified:   analysis/SCZ_Annotation_Analysis.Rmd

Note that any generated files, e.g. HTML, png, CSS, etc., are not included in this status report because it is ok for generated content to have uncommitted changes.


These are the previous versions of the repository in which changes were made to the R Markdown (analysis/SCZ_2018_Brain_Cortex.Rmd) and HTML (docs/SCZ_2018_Brain_Cortex.html) files. If you’ve configured a remote Git repository (see ?wflow_git_remote), click on the hyperlinks in the table below to view the files as they were in that past version.

File Version Author Date Message
Rmd 9ddc9c4 sq-96 2022-04-18 update
Rmd f6e7062 sq-96 2022-04-17 update
html f6e7062 sq-96 2022-04-17 update

Weight QC

#number of imputed weights
nrow(qclist_all)
[1] 10248
#number of imputed weights by chromosome
table(qclist_all$chr)

   1    2    3    4    5    6    7    8    9   10   11   12   13   14   15   16 
1041  726  590  400  470  587  492  367  394  426  617  601  210  343  347  435 
  17   18   19   20   21   22 
 630  168  787  331   25  261 
#number of imputed weights without missing variants
sum(qclist_all$nmiss==0)
[1] 7027
#proportion of imputed weights without missing variants
mean(qclist_all$nmiss==0)
[1] 0.6857

Check convergence of parameters

#estimated group prior
estimated_group_prior <- group_prior_rec[,ncol(group_prior_rec)]
names(estimated_group_prior) <- c("gene", "snp")
estimated_group_prior["snp"] <- estimated_group_prior["snp"]*thin #adjust parameter to account for thin argument
print(estimated_group_prior)
     gene       snp 
0.0131343 0.0003062 
#estimated group prior variance
estimated_group_prior_var <- group_prior_var_rec[,ncol(group_prior_var_rec)]
names(estimated_group_prior_var) <- c("gene", "snp")
print(estimated_group_prior_var)
 gene   snp 
11.53 10.50 
#report sample size
print(sample_size)
[1] 105318
#report group size
group_size <- c(nrow(ctwas_gene_res), n_snps)
print(group_size)
[1]   10248 6309950
#estimated group PVE
estimated_group_pve <- estimated_group_prior_var*estimated_group_prior*group_size/sample_size #check PVE calculation
names(estimated_group_pve) <- c("gene", "snp")
print(estimated_group_pve)
   gene     snp 
0.01474 0.19261 
#compare sum(PIP*mu2/sample_size) with above PVE calculation
c(sum(ctwas_gene_res$PVE),sum(ctwas_snp_res$PVE))
[1] 0.06135 1.05163

Genes with highest PIPs

           genename region_tag susie_pip   mu2       PVE      z num_eqtl
11314        ZNF823      19_10    0.9852 37.03 0.0003464  6.181        2
13679  RP11-230C9.4      6_102    0.9579 23.05 0.0002097 -4.712        2
4002          ARMC7      17_42    0.9041 22.49 0.0001931  4.486        2
421           TRIT1       1_25    0.8947 20.82 0.0001768 -4.162        3
3085          SPCS1       3_36    0.8837 37.45 0.0003142 -6.807        1
11176         PCBP2      12_33    0.8775 26.41 0.0002200  5.065        1
3165          SF3B1      2_117    0.8357 48.83 0.0003875  7.265        1
5055         RCBTB1      13_21    0.8072 21.32 0.0001634 -4.251        2
13938 RP11-408A13.3       9_13    0.8005 23.18 0.0001762  4.362        2
2741          VPS29      12_67    0.7991 40.26 0.0003055 -6.461        1
3258          EDEM3       1_92    0.7964 21.59 0.0001633  4.223        2
4239         SPECC1      17_16    0.7887 25.56 0.0001914  4.822        1
376            CUL3      2_132    0.7630 30.14 0.0002184 -5.730        1
6035       METTL21A      2_122    0.7628 21.45 0.0001554 -4.284        1
2796         NT5DC3      12_62    0.7438 22.58 0.0001594 -4.142        2
5968          ITPKB      1_116    0.7154 22.29 0.0001514 -4.033        2
2476          CCDC6      10_39    0.6983 21.24 0.0001408 -3.918        2
3022           PCCB       3_84    0.6976 41.45 0.0002746 -6.724        1
2380           TLE4       9_38    0.6885 21.15 0.0001382  4.279        1
11572         SOX18      20_38    0.6812 21.85 0.0001413  3.659        1

Genes with largest effect sizes

          genename region_tag susie_pip    mu2       PVE       z num_eqtl
12783          C4A       6_26 5.201e-08 225.05 1.111e-10  11.515        3
11645       LY6G6C       6_26 5.684e-08 222.69 1.202e-10  11.531        1
11634       ZBTB12       6_26 3.825e-08 222.34 8.076e-11  11.521        1
12122          C4B       6_26 1.224e-08 214.67 2.496e-11 -11.326        1
11907        CLIC1       6_26 3.268e-07 211.75 6.571e-10  11.673        2
11649       GPANK1       6_26 3.425e-08 174.72 5.682e-11  10.267        1
11620         AGER       6_26 1.551e-07 148.77 2.191e-10  -9.715        2
11621         RNF5       6_26 7.341e-09 134.80 9.396e-12   9.377        1
11619       NOTCH4       6_26 2.287e-09 131.37 2.853e-12   7.827        3
11622       AGPAT1       6_26 1.380e-10 105.46 1.382e-13  -5.190        1
11908        DDAH2       6_26 1.301e-08  86.85 1.073e-11   8.149        1
11640       HSPA1L       6_26 2.529e-08  84.27 2.023e-11  -8.075        1
5217         FLOT1       6_24 5.756e-02  81.60 4.459e-05 -10.981        1
11657      NFKBIL1       6_26 9.624e-09  74.84 6.839e-12  -5.171        1
10662       BTN3A2       6_20 2.141e-02  68.91 1.401e-05   8.920        2
11611      HLA-DMA       6_27 4.338e-02  63.44 2.613e-05  -8.575        2
9902      HLA-DQB1       6_26 8.953e-10  58.64 4.985e-13  -1.990        1
12594     HLA-DQA2       6_26 2.070e-07  55.73 1.095e-10  -1.505        2
11618        BTNL2       6_26 5.964e-11  54.59 3.092e-14   4.920        2
13386 RP1-265C24.8       6_22 1.483e-02  53.16 7.487e-06  -7.445        1

Genes with highest PVE

           genename region_tag susie_pip   mu2       PVE      z num_eqtl
3165          SF3B1      2_117    0.8357 48.83 0.0003875  7.265        1
11314        ZNF823      19_10    0.9852 37.03 0.0003464  6.181        2
3085          SPCS1       3_36    0.8837 37.45 0.0003142 -6.807        1
2741          VPS29      12_67    0.7991 40.26 0.0003055 -6.461        1
3022           PCCB       3_84    0.6976 41.45 0.0002746 -6.724        1
2682            MDK      11_29    0.5619 48.86 0.0002607 -7.159        1
11176         PCBP2      12_33    0.8775 26.41 0.0002200  5.065        1
376            CUL3      2_132    0.7630 30.14 0.0002184 -5.730        1
7729          THOC7       3_43    0.5398 40.99 0.0002101 -6.363        3
13679  RP11-230C9.4      6_102    0.9579 23.05 0.0002097 -4.712        2
4002          ARMC7      17_42    0.9041 22.49 0.0001931  4.486        2
4239         SPECC1      17_16    0.7887 25.56 0.0001914  4.822        1
421           TRIT1       1_25    0.8947 20.82 0.0001768 -4.162        3
13938 RP11-408A13.3       9_13    0.8005 23.18 0.0001762  4.362        2
4088          XRCC3      14_54    0.3806 48.01 0.0001735  7.263        1
5055         RCBTB1      13_21    0.8072 21.32 0.0001634 -4.251        2
3258          EDEM3       1_92    0.7964 21.59 0.0001633  4.223        2
2796         NT5DC3      12_62    0.7438 22.58 0.0001594 -4.142        2
6035       METTL21A      2_122    0.7628 21.45 0.0001554 -4.284        1
5617          FURIN      15_42    0.4686 34.60 0.0001540 -5.772        1

Genes with largest z scores

          genename region_tag susie_pip    mu2       PVE       z num_eqtl
11907        CLIC1       6_26 3.268e-07 211.75 6.571e-10  11.673        2
11645       LY6G6C       6_26 5.684e-08 222.69 1.202e-10  11.531        1
11634       ZBTB12       6_26 3.825e-08 222.34 8.076e-11  11.521        1
12783          C4A       6_26 5.201e-08 225.05 1.111e-10  11.515        3
12122          C4B       6_26 1.224e-08 214.67 2.496e-11 -11.326        1
5217         FLOT1       6_24 5.756e-02  81.60 4.459e-05 -10.981        1
11649       GPANK1       6_26 3.425e-08 174.72 5.682e-11  10.267        1
11620         AGER       6_26 1.551e-07 148.77 2.191e-10  -9.715        2
11621         RNF5       6_26 7.341e-09 134.80 9.396e-12   9.377        1
10662       BTN3A2       6_20 2.141e-02  68.91 1.401e-05   8.920        2
11611      HLA-DMA       6_27 4.338e-02  63.44 2.613e-05  -8.575        2
6413         CNNM2      10_66 8.495e-02  46.45 3.747e-05  -8.161        1
11908        DDAH2       6_26 1.301e-08  86.85 1.073e-11   8.149        1
11640       HSPA1L       6_26 2.529e-08  84.27 2.023e-11  -8.075        1
10809      ZSCAN23       6_22 6.241e-02  47.43 2.811e-05  -7.829        1
11619       NOTCH4       6_26 2.287e-09 131.37 2.853e-12   7.827        3
6404           INA      10_66 6.172e-02  50.51 2.960e-05  -7.763        1
11171      ZSCAN26       6_22 1.494e-02  45.44 6.444e-06   7.504        3
13386 RP1-265C24.8       6_22 1.483e-02  53.16 7.487e-06  -7.445        1
11129      ZSCAN16       6_22 1.561e-02  49.13 7.281e-06   7.365        2

Comparing z scores and PIPs

[1] 0.01239

GO enrichment analysis for genes with PIP>0.5

#number of genes for gene set enrichment
length(genes)
[1] 36
Uploading data to Enrichr... Done.
  Querying GO_Biological_Process_2021... Done.
  Querying GO_Cellular_Component_2021... Done.
  Querying GO_Molecular_Function_2021... Done.
Parsing results... Done.
[1] "GO_Biological_Process_2021"

[1] Term             Overlap          Adjusted.P.value Genes           
<0 rows> (or 0-length row.names)
[1] "GO_Cellular_Component_2021"

[1] Term             Overlap          Adjusted.P.value Genes           
<0 rows> (or 0-length row.names)
[1] "GO_Molecular_Function_2021"

[1] Term             Overlap          Adjusted.P.value Genes           
<0 rows> (or 0-length row.names)

DisGeNET enrichment analysis for genes with PIP>0.5

                                                              Description
11                                                              Confusion
54                                                      Speech impairment
55                                                          Derealization
60                          Spondylometaphyseal dysplasia, Kozlowski type
61                                                    Metatropic dwarfism
84                                                     Brachyolmia Type 3
90                                         Sexually disinhibited behavior
96                                                 Hypersomnia, Recurrent
118 SPINAL MUSCULAR ATROPHY, DISTAL, CONGENITAL NONPROGRESSIVE (disorder)
120                      HYPOTRICHOSIS-LYMPHEDEMA-TELANGIECTASIA SYNDROME
         FDR Ratio BgRatio
11  0.008838  1/14  1/9703
54  0.008838  1/14  1/9703
55  0.008838  1/14  1/9703
60  0.008838  1/14  1/9703
61  0.008838  1/14  1/9703
84  0.008838  1/14  1/9703
90  0.008838  1/14  1/9703
96  0.008838  1/14  1/9703
118 0.008838  1/14  1/9703
120 0.008838  1/14  1/9703

WebGestalt enrichment analysis for genes with PIP>0.5

Loading the functional categories...
Loading the ID list...
Loading the reference list...
Performing the enrichment analysis...
Warning in oraEnrichment(interestGeneList, referenceGeneList, geneSet, minNum =
minNum, : No significant gene set is identified based on FDR 0.05!
NULL

PIP Manhattan Plot

Sensitivity, specificity and precision for silver standard genes

#number of genes in known annotations
print(length(known_annotations))
[1] 130
#number of genes in known annotations with imputed expression
print(sum(known_annotations %in% ctwas_gene_res$genename))
[1] 57
#significance threshold for TWAS
print(sig_thresh)
[1] 4.57
#number of ctwas genes
length(ctwas_genes)
[1] 9
#number of TWAS genes
length(twas_genes)
[1] 127
#show novel genes (ctwas genes with not in TWAS genes)
ctwas_gene_res[ctwas_gene_res$genename %in% novel_genes,report_cols]
           genename region_tag susie_pip   mu2       PVE      z num_eqtl
421           TRIT1       1_25    0.8947 20.82 0.0001768 -4.162        3
13938 RP11-408A13.3       9_13    0.8005 23.18 0.0001762  4.362        2
5055         RCBTB1      13_21    0.8072 21.32 0.0001634 -4.251        2
4002          ARMC7      17_42    0.9041 22.49 0.0001931  4.486        2
#sensitivity / recall
print(sensitivity)
  ctwas    TWAS 
0.01538 0.12308 
#specificity
print(specificity)
 ctwas   TWAS 
0.9993 0.9891 
#precision / PPV
print(precision)
 ctwas   TWAS 
0.2222 0.1260 

cTWAS is more precise than TWAS in distinguishing silver standard and bystander genes

#number of genes in known annotations (with imputed expression)
print(length(known_annotations))
[1] 57
#number of bystander genes (with imputed expression)
print(length(unrelated_genes))
[1] 583
#subset results to genes in known annotations or bystanders
ctwas_gene_res_subset <- ctwas_gene_res[ctwas_gene_res$genename %in% c(known_annotations, unrelated_genes),]

#assign ctwas and TWAS genes
ctwas_genes <- ctwas_gene_res_subset$genename[ctwas_gene_res_subset$susie_pip>0.8]
twas_genes <- ctwas_gene_res_subset$genename[abs(ctwas_gene_res_subset$z)>sig_thresh]

#significance threshold for TWAS
print(sig_thresh)
[1] 4.57
#number of ctwas genes (in known annotations or bystanders)
length(ctwas_genes)
[1] 2
#number of TWAS genes (in known annotations or bystanders)
length(twas_genes)
[1] 42
#sensitivity / recall
sensitivity
  ctwas    TWAS 
0.03509 0.28070 
#specificity / (1 - False Positive Rate)
specificity
 ctwas   TWAS 
1.0000 0.9554 
#precision / PPV / (1 - False Discovery Rate)
precision
ctwas  TWAS 
1.000 0.381 

pip_range <- (0:1000)/1000
sensitivity <- rep(NA, length(pip_range))
specificity <- rep(NA, length(pip_range))

for (index in 1:length(pip_range)){
  pip <- pip_range[index]
  ctwas_genes <- ctwas_gene_res_subset$genename[ctwas_gene_res_subset$susie_pip>=pip]
  sensitivity[index] <- sum(ctwas_genes %in% known_annotations)/length(known_annotations)
  specificity[index] <- sum(!(unrelated_genes %in% ctwas_genes))/length(unrelated_genes)
}

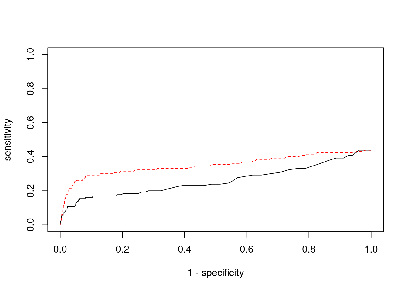
plot(1-specificity, sensitivity, type="l", xlim=c(0,1), ylim=c(0,1), main="", xlab="1 - Specificity", ylab="Sensitivity")
title(expression("ROC Curve for cTWAS (black) and TWAS (" * phantom("red") * ")"))
title(expression(phantom("ROC Curve for cTWAS (black) and TWAS (") * "red" * phantom(")")), col.main="red")

sig_thresh_range <- seq(from=0, to=max(abs(ctwas_gene_res_subset$z)), length.out=length(pip_range))

for (index in 1:length(sig_thresh_range)){
  sig_thresh_plot <- sig_thresh_range[index]
  twas_genes <- ctwas_gene_res_subset$genename[abs(ctwas_gene_res_subset$z)>=sig_thresh_plot]
  sensitivity[index] <- sum(twas_genes %in% known_annotations)/length(known_annotations)
  specificity[index] <- sum(!(unrelated_genes %in% twas_genes))/length(unrelated_genes)
}

lines(1-specificity, sensitivity, xlim=c(0,1), ylim=c(0,1), col="red", lty=1)

abline(a=0,b=1,lty=3)

#add previously computed points from the analysis
ctwas_genes <- ctwas_gene_res_subset$genename[ctwas_gene_res_subset$susie_pip>0.8]
twas_genes <- ctwas_gene_res_subset$genename[abs(ctwas_gene_res_subset$z)>sig_thresh]

points(1-specificity_plot["ctwas"], sensitivity_plot["ctwas"], pch=21, bg="black")
points(1-specificity_plot["TWAS"], sensitivity_plot["TWAS"], pch=21, bg="red")

Undetected silver standard genes have low TWAS z-scores or stronger signal from nearby variants

#table of outcomes for silver standard genes
-sort(-table(silver_standard_case))
silver_standard_case
          Not Imputed Insignificant z-score         Nearby SNP(s) 
                   73                    41                    14 
 Detected (PIP > 0.8) 
                    2 
#show inconclusive genes
silver_standard_case[silver_standard_case=="Inconclusive"]
named character(0)


sessionInfo()
R version 3.6.1 (2019-07-05)
Platform: x86_64-pc-linux-gnu (64-bit)
Running under: Scientific Linux 7.4 (Nitrogen)

Matrix products: default
BLAS/LAPACK: /software/openblas-0.2.19-el7-x86_64/lib/libopenblas_haswellp-r0.2.19.so

locale:
 [1] LC_CTYPE=en_US.UTF-8       LC_NUMERIC=C              
 [3] LC_TIME=en_US.UTF-8        LC_COLLATE=en_US.UTF-8    
 [5] LC_MONETARY=en_US.UTF-8    LC_MESSAGES=en_US.UTF-8   
 [7] LC_PAPER=en_US.UTF-8       LC_NAME=C                 
 [9] LC_ADDRESS=C               LC_TELEPHONE=C            
[11] LC_MEASUREMENT=en_US.UTF-8 LC_IDENTIFICATION=C       

attached base packages:
[1] parallel  stats4    stats     graphics  grDevices utils     datasets 
[8] methods   base     

other attached packages:
 [1] GenomicRanges_1.36.1 GenomeInfoDb_1.20.0  IRanges_2.18.1      
 [4] S4Vectors_0.22.1     BiocGenerics_0.30.0  biomaRt_2.40.1      
 [7] readxl_1.3.1         forcats_0.5.1        stringr_1.4.0       
[10] dplyr_1.0.7          purrr_0.3.4          readr_2.1.1         
[13] tidyr_1.1.4          tidyverse_1.3.1      tibble_3.1.6        
[16] WebGestaltR_0.4.4    disgenet2r_0.99.2    enrichR_3.0         
[19] cowplot_1.1.1        ggplot2_3.3.5        workflowr_1.7.0     

loaded via a namespace (and not attached):
  [1] ggbeeswarm_0.6.0       colorspace_2.0-2       rjson_0.2.20          
  [4] ellipsis_0.3.2         rprojroot_2.0.2        XVector_0.24.0        
  [7] fs_1.5.2               rstudioapi_0.13        farver_2.1.0          
 [10] ggrepel_0.9.1          bit64_4.0.5            AnnotationDbi_1.46.0  
 [13] fansi_1.0.2            lubridate_1.8.0        xml2_1.3.3            
 [16] codetools_0.2-16       doParallel_1.0.17      cachem_1.0.6          
 [19] knitr_1.36             jsonlite_1.7.2         apcluster_1.4.8       
 [22] Cairo_1.5-12.2         broom_0.7.10           dbplyr_2.1.1          
 [25] compiler_3.6.1         httr_1.4.2             backports_1.4.1       
 [28] assertthat_0.2.1       Matrix_1.2-18          fastmap_1.1.0         
 [31] cli_3.1.0              later_0.8.0            prettyunits_1.1.1     
 [34] htmltools_0.5.2        tools_3.6.1            igraph_1.2.10         
 [37] GenomeInfoDbData_1.2.1 gtable_0.3.0           glue_1.6.2            
 [40] reshape2_1.4.4         doRNG_1.8.2            Rcpp_1.0.8            
 [43] Biobase_2.44.0         cellranger_1.1.0       jquerylib_0.1.4       
 [46] vctrs_0.3.8            svglite_1.2.2          iterators_1.0.14      
 [49] xfun_0.29              ps_1.6.0               rvest_1.0.2           
 [52] lifecycle_1.0.1        rngtools_1.5.2         XML_3.99-0.3          
 [55] zlibbioc_1.30.0        getPass_0.2-2          scales_1.1.1          
 [58] vroom_1.5.7            hms_1.1.1              promises_1.0.1        
 [61] yaml_2.2.1             curl_4.3.2             memoise_2.0.1         
 [64] ggrastr_1.0.1          gdtools_0.1.9          stringi_1.7.6         
 [67] RSQLite_2.2.8          highr_0.9              foreach_1.5.2         
 [70] rlang_1.0.1            pkgconfig_2.0.3        bitops_1.0-7          
 [73] evaluate_0.14          lattice_0.20-38        labeling_0.4.2        
 [76] bit_4.0.4              processx_3.5.2         tidyselect_1.1.1      
 [79] plyr_1.8.6             magrittr_2.0.2         R6_2.5.1              
 [82] generics_0.1.1         DBI_1.1.2              pillar_1.6.4          
 [85] haven_2.4.3            whisker_0.3-2          withr_2.4.3           
 [88] RCurl_1.98-1.5         modelr_0.1.8           crayon_1.5.0          
 [91] utf8_1.2.2             tzdb_0.2.0             rmarkdown_2.11        
 [94] progress_1.2.2         grid_3.6.1             data.table_1.14.2     
 [97] blob_1.2.2             callr_3.7.0            git2r_0.26.1          
[100] reprex_2.0.1           digest_0.6.29          httpuv_1.5.1          
[103] munsell_0.5.0          beeswarm_0.2.3         vipor_0.4.5