Last updated: 2022-04-19

Checks: 5 2

Knit directory: cTWAS_analysis/

This reproducible R Markdown analysis was created with workflowr (version 1.7.0). The Checks tab describes the reproducibility checks that were applied when the results were created. The Past versions tab lists the development history.


The R Markdown file has unstaged changes. To know which version of the R Markdown file created these results, you’ll want to first commit it to the Git repo. If you’re still working on the analysis, you can ignore this warning. When you’re finished, you can run wflow_publish to commit the R Markdown file and build the HTML.

Great job! The global environment was empty. Objects defined in the global environment can affect the analysis in your R Markdown file in unknown ways. For reproduciblity it’s best to always run the code in an empty environment.

The command set.seed(20211220) was run prior to running the code in the R Markdown file. Setting a seed ensures that any results that rely on randomness, e.g. subsampling or permutations, are reproducible.

Great job! Recording the operating system, R version, and package versions is critical for reproducibility.

Nice! There were no cached chunks for this analysis, so you can be confident that you successfully produced the results during this run.

Using absolute paths to the files within your workflowr project makes it difficult for you and others to run your code on a different machine. Change the absolute path(s) below to the suggested relative path(s) to make your code more reproducible.

absolute relative
/project2/xinhe/shengqian/cTWAS/cTWAS_analysis/data/ data
/project2/xinhe/shengqian/cTWAS/cTWAS_analysis/code/ctwas_config.R code/ctwas_config.R

Great! You are using Git for version control. Tracking code development and connecting the code version to the results is critical for reproducibility.

The results in this page were generated with repository version ba919ab. See the Past versions tab to see a history of the changes made to the R Markdown and HTML files.

Note that you need to be careful to ensure that all relevant files for the analysis have been committed to Git prior to generating the results (you can use wflow_publish or wflow_git_commit). workflowr only checks the R Markdown file, but you know if there are other scripts or data files that it depends on. Below is the status of the Git repository when the results were generated:


Ignored files:
    Ignored:    .ipynb_checkpoints/
    Ignored:    data/AF/

Untracked files:
    Untracked:  Rplot.png
    Untracked:  analysis/.ipynb_checkpoints/
    Untracked:  code/.ipynb_checkpoints/
    Untracked:  code/AF_out/
    Untracked:  code/Autism_out/
    Untracked:  code/BMI_S_out/
    Untracked:  code/BMI_out/
    Untracked:  code/Glucose_out/
    Untracked:  code/LDL_S_out/
    Untracked:  code/SCZ_2014_EUR_out/
    Untracked:  code/SCZ_2018_out/
    Untracked:  code/SCZ_2020_Single_out/
    Untracked:  code/SCZ_2020_out/
    Untracked:  code/SCZ_S_out/
    Untracked:  code/SCZ_out/
    Untracked:  code/T2D_out/
    Untracked:  code/ctwas_config.R
    Untracked:  code/mapping.R
    Untracked:  code/out/
    Untracked:  code/process_scz_2018_snps.R
    Untracked:  code/run_AF_analysis.sbatch
    Untracked:  code/run_AF_analysis.sh
    Untracked:  code/run_AF_ctwas_rss_LDR.R
    Untracked:  code/run_Autism_analysis.sbatch
    Untracked:  code/run_Autism_analysis.sh
    Untracked:  code/run_Autism_ctwas_rss_LDR.R
    Untracked:  code/run_BMI_analysis.sbatch
    Untracked:  code/run_BMI_analysis.sh
    Untracked:  code/run_BMI_analysis_S.sbatch
    Untracked:  code/run_BMI_analysis_S.sh
    Untracked:  code/run_BMI_ctwas_rss_LDR.R
    Untracked:  code/run_BMI_ctwas_rss_LDR_S.R
    Untracked:  code/run_Glucose_analysis.sbatch
    Untracked:  code/run_Glucose_analysis.sh
    Untracked:  code/run_Glucose_ctwas_rss_LDR.R
    Untracked:  code/run_LDL_analysis_S.sbatch
    Untracked:  code/run_LDL_analysis_S.sh
    Untracked:  code/run_LDL_ctwas_rss_LDR_S.R
    Untracked:  code/run_SCZ_2014_EUR_analysis.sbatch
    Untracked:  code/run_SCZ_2014_EUR_analysis.sh
    Untracked:  code/run_SCZ_2014_EUR_ctwas_rss_LDR.R
    Untracked:  code/run_SCZ_2018_analysis.sbatch
    Untracked:  code/run_SCZ_2018_analysis.sh
    Untracked:  code/run_SCZ_2018_ctwas_rss_LDR.R
    Untracked:  code/run_SCZ_2020_Single_analysis.sbatch
    Untracked:  code/run_SCZ_2020_Single_analysis.sh
    Untracked:  code/run_SCZ_2020_Single_ctwas_rss_LDR.R
    Untracked:  code/run_SCZ_2020_analysis.sbatch
    Untracked:  code/run_SCZ_2020_analysis.sh
    Untracked:  code/run_SCZ_2020_ctwas_rss_LDR.R
    Untracked:  code/run_SCZ_analysis.sbatch
    Untracked:  code/run_SCZ_analysis.sh
    Untracked:  code/run_SCZ_analysis_S.sbatch
    Untracked:  code/run_SCZ_analysis_S.sh
    Untracked:  code/run_SCZ_ctwas_rss_LDR.R
    Untracked:  code/run_SCZ_ctwas_rss_LDR_S.R
    Untracked:  code/run_T2D_analysis.sbatch
    Untracked:  code/run_T2D_analysis.sh
    Untracked:  code/run_T2D_ctwas_rss_LDR.R
    Untracked:  code/wflow_build.R
    Untracked:  code/wflow_build.sbatch
    Untracked:  data/.ipynb_checkpoints/
    Untracked:  data/BMI/
    Untracked:  data/GO_Terms/
    Untracked:  data/PGC3_SCZ_wave3_public.v2.tsv
    Untracked:  data/SCZ/
    Untracked:  data/SCZ_2014_EUR/
    Untracked:  data/SCZ_2018/
    Untracked:  data/SCZ_2020/
    Untracked:  data/SCZ_2020_Single/
    Untracked:  data/SCZ_S/
    Untracked:  data/Supplementary Table 15 - MAGMA.xlsx
    Untracked:  data/Supplementary Table 20 - Prioritised Genes.xlsx
    Untracked:  data/T2D/
    Untracked:  data/UKBB/
    Untracked:  data/UKBB_SNPs_Info.text
    Untracked:  data/gene_OMIM.txt
    Untracked:  data/gene_pip_0.8.txt
    Untracked:  data/mashr_Heart_Atrial_Appendage.db
    Untracked:  data/mashr_sqtl/
    Untracked:  data/scz_2018.RDS
    Untracked:  data/summary_known_genes_annotations.xlsx
    Untracked:  data/untitled.txt
    Untracked:  top_genes_32.txt
    Untracked:  top_genes_37.txt
    Untracked:  top_genes_43.txt
    Untracked:  top_genes_81.txt

Unstaged changes:
    Modified:   analysis/SCZ_2018_Brain_Amygdala.Rmd
    Modified:   analysis/SCZ_2018_Brain_Anterior_cingulate_cortex_BA24.Rmd
    Modified:   analysis/SCZ_2018_Brain_Caudate_basal_ganglia.Rmd
    Modified:   analysis/SCZ_2018_Brain_Cerebellar_Hemisphere.Rmd
    Modified:   analysis/SCZ_2018_Brain_Cerebellum.Rmd
    Modified:   analysis/SCZ_2018_Brain_Cortex.Rmd
    Modified:   analysis/SCZ_2018_Brain_Frontal_Cortex_BA9.Rmd
    Modified:   analysis/SCZ_2018_Brain_Hippocampus.Rmd
    Modified:   analysis/SCZ_2018_Brain_Hypothalamus.Rmd
    Modified:   analysis/SCZ_2018_Brain_Nucleus_accumbens_basal_ganglia.Rmd
    Modified:   analysis/SCZ_2018_Brain_Putamen_basal_ganglia.Rmd
    Modified:   analysis/SCZ_2018_Brain_Spinal_cord_cervical_c-1.Rmd
    Modified:   analysis/SCZ_2018_Brain_Substantia_nigra.Rmd
    Modified:   analysis/SCZ_Annotation_Analysis.Rmd

Note that any generated files, e.g. HTML, png, CSS, etc., are not included in this status report because it is ok for generated content to have uncommitted changes.


These are the previous versions of the repository in which changes were made to the R Markdown (analysis/SCZ_2018_Brain_Hippocampus.Rmd) and HTML (docs/SCZ_2018_Brain_Hippocampus.html) files. If you’ve configured a remote Git repository (see ?wflow_git_remote), click on the hyperlinks in the table below to view the files as they were in that past version.

File Version Author Date Message
Rmd 9ddc9c4 sq-96 2022-04-18 update
Rmd f6e7062 sq-96 2022-04-17 update
html f6e7062 sq-96 2022-04-17 update

Weight QC

#number of imputed weights
nrow(qclist_all)
[1] 9529
#number of imputed weights by chromosome
table(qclist_all$chr)

  1   2   3   4   5   6   7   8   9  10  11  12  13  14  15  16  17  18  19  20 
933 692 571 374 467 524 440 350 368 387 579 538 199 328 331 401 589 153 755 277 
 21  22 
 25 248 
#number of imputed weights without missing variants
sum(qclist_all$nmiss==0)
[1] 6774
#proportion of imputed weights without missing variants
mean(qclist_all$nmiss==0)
[1] 0.7109

Check convergence of parameters

#estimated group prior
estimated_group_prior <- group_prior_rec[,ncol(group_prior_rec)]
names(estimated_group_prior) <- c("gene", "snp")
estimated_group_prior["snp"] <- estimated_group_prior["snp"]*thin #adjust parameter to account for thin argument
print(estimated_group_prior)
     gene       snp 
0.0127004 0.0003112 
#estimated group prior variance
estimated_group_prior_var <- group_prior_var_rec[,ncol(group_prior_var_rec)]
names(estimated_group_prior_var) <- c("gene", "snp")
print(estimated_group_prior_var)
 gene   snp 
15.52 10.20 
#report sample size
print(sample_size)
[1] 105318
#report group size
group_size <- c(nrow(ctwas_gene_res), n_snps)
print(group_size)
[1]    9529 6309950
#estimated group PVE
estimated_group_pve <- estimated_group_prior_var*estimated_group_prior*group_size/sample_size #check PVE calculation
names(estimated_group_pve) <- c("gene", "snp")
print(estimated_group_pve)
   gene     snp 
0.01783 0.19011 
#compare sum(PIP*mu2/sample_size) with above PVE calculation
c(sum(ctwas_gene_res$PVE),sum(ctwas_snp_res$PVE))
[1] 0.05526 1.06662

Genes with highest PIPs

           genename region_tag susie_pip    mu2       PVE      z num_eqtl
10687        ZNF823      19_10    0.9828  37.78 0.0003526  6.143        1
13199 RP11-408A13.3       9_12    0.9245  23.54 0.0002066  4.536        1
8759        MAP3K11      11_36    0.9130  32.10 0.0002782 -5.401        1
3607        BHLHE41      12_18    0.8948  23.72 0.0002016 -4.516        1
5515          SYTL1       1_19    0.8899  21.93 0.0001853  4.307        2
10255      C19orf35       19_3    0.8864  26.73 0.0002250 -4.525        1
11759     HIST1H2BN       6_21    0.8609 106.83 0.0008732 13.396        1
10075       TMEM222       1_19    0.8550  21.79 0.0001769  4.303        1
9632          GRID1      10_55    0.8518  21.94 0.0001774  4.415        2
12846 RP11-247A12.7       9_66    0.7983  23.61 0.0001790  4.683        1
12742       TBC1D29      17_18    0.7572  23.88 0.0001717  4.742        2
3085        ARHGEF2       1_76    0.7557  22.43 0.0001610 -3.816        1
1736       PPP1R16B      20_23    0.7508  60.85 0.0004338  7.738        1
10982         FKBPL       6_27    0.7437  56.86 0.0004015 -5.277        2
10261       SLC38A3       3_35    0.7374  45.50 0.0003186 -1.402        1
11532     LINC00390      13_17    0.7005  22.93 0.0001526 -4.540        1
12176        YJEFN3      19_15    0.6948  50.28 0.0003317 -6.827        1
2183          EIF3B        7_4    0.6790  23.43 0.0001511  4.478        2
10932         SOX18      20_38    0.6767  22.52 0.0001447  3.659        1
2597         DUSP16      12_11    0.6681  21.01 0.0001333 -3.779        1

Genes with largest effect sizes

         genename region_tag susie_pip    mu2       PVE       z num_eqtl
10999        VWA7       6_27 1.135e-08 245.13 2.642e-11  11.555        1
12063         C4A       6_27 2.120e-09 234.83 4.727e-12  11.326        1
11006        APOM       6_27 1.032e-09 216.99 2.126e-12  10.730        2
10981       PRRT1       6_27 1.709e-06 156.38 2.538e-09  10.061        1
10979        RNF5       6_27 1.564e-06 155.80 2.314e-09  10.045        1
10995     C6orf48       6_27 2.515e-11 140.32 3.351e-14   7.823        2
10976      NOTCH4       6_27 5.420e-07 120.86 6.220e-10   6.390        1
11759   HIST1H2BN       6_21 8.609e-01 106.83 8.732e-04  13.396        1
12628  CTA-14H9.5       6_20 2.080e-02 101.46 2.004e-05  11.015        1
10383    HLA-DRB1       6_27 9.548e-08  96.00 8.704e-11   5.077        1
10071      BTN3A2       6_20 1.819e-02  94.79 1.637e-05  10.733        2
12006     HLA-DMB       6_27 4.825e-04  87.87 4.025e-07  -8.860        1
10969     HLA-DMA       6_27 2.371e-04  85.86 1.933e-07  -8.774        2
4941        FLOT1       6_24 7.310e-02  84.59 5.872e-05 -10.944        1
9448    HIST1H2BC       6_20 2.786e-02  82.72 2.189e-05  -9.909        1
10546     ZSCAN26       6_22 1.373e-02  76.96 1.004e-05   9.757        2
2719       TRIM38       6_20 1.952e-02  74.97 1.389e-05  -9.572        2
13065 RP1-86C11.7       6_21 4.838e-02  73.98 3.398e-05 -10.889        1
10974       BTNL2       6_27 5.623e-10  62.87 3.357e-13   3.884        1
1736     PPP1R16B      20_23 7.508e-01  60.85 4.338e-04   7.738        1

Genes with highest PVE

           genename region_tag susie_pip    mu2       PVE      z num_eqtl
11759     HIST1H2BN       6_21    0.8609 106.83 0.0008732 13.396        1
1736       PPP1R16B      20_23    0.7508  60.85 0.0004338  7.738        1
10982         FKBPL       6_27    0.7437  56.86 0.0004015 -5.277        2
10687        ZNF823      19_10    0.9828  37.78 0.0003526  6.143        1
12176        YJEFN3      19_15    0.6948  50.28 0.0003317 -6.827        1
10261       SLC38A3       3_35    0.7374  45.50 0.0003186 -1.402        1
8759        MAP3K11      11_36    0.9130  32.10 0.0002782 -5.401        1
2535            MDK      11_28    0.5725  48.69 0.0002647 -7.159        1
626          SNAP91       6_57    0.6312  43.26 0.0002593  6.969        1
40             RBM6       3_35    0.4575  54.18 0.0002354  3.221        1
10255      C19orf35       19_3    0.8864  26.73 0.0002250 -4.525        1
8275         INO80E      16_24    0.4958  46.89 0.0002207  6.852        1
13199 RP11-408A13.3       9_12    0.9245  23.54 0.0002066  4.536        1
3607        BHLHE41      12_18    0.8948  23.72 0.0002016 -4.516        1
5515          SYTL1       1_19    0.8899  21.93 0.0001853  4.307        2
12846 RP11-247A12.7       9_66    0.7983  23.61 0.0001790  4.683        1
9632          GRID1      10_55    0.8518  21.94 0.0001774  4.415        2
10075       TMEM222       1_19    0.8550  21.79 0.0001769  4.303        1
8075          BATF2      11_36    0.5632  32.97 0.0001763 -5.318        2
12742       TBC1D29      17_18    0.7572  23.88 0.0001717  4.742        2

Genes with largest z scores

         genename region_tag susie_pip    mu2       PVE       z num_eqtl
11759   HIST1H2BN       6_21 8.609e-01 106.83 8.732e-04  13.396        1
10999        VWA7       6_27 1.135e-08 245.13 2.642e-11  11.555        1
12063         C4A       6_27 2.120e-09 234.83 4.727e-12  11.326        1
12628  CTA-14H9.5       6_20 2.080e-02 101.46 2.004e-05  11.015        1
4941        FLOT1       6_24 7.310e-02  84.59 5.872e-05 -10.944        1
13065 RP1-86C11.7       6_21 4.838e-02  73.98 3.398e-05 -10.889        1
10071      BTN3A2       6_20 1.819e-02  94.79 1.637e-05  10.733        2
11006        APOM       6_27 1.032e-09 216.99 2.126e-12  10.730        2
10981       PRRT1       6_27 1.709e-06 156.38 2.538e-09  10.061        1
10979        RNF5       6_27 1.564e-06 155.80 2.314e-09  10.045        1
9448    HIST1H2BC       6_20 2.786e-02  82.72 2.189e-05  -9.909        1
10546     ZSCAN26       6_22 1.373e-02  76.96 1.004e-05   9.757        2
2719       TRIM38       6_20 1.952e-02  74.97 1.389e-05  -9.572        2
12006     HLA-DMB       6_27 4.825e-04  87.87 4.025e-07  -8.860        1
10969     HLA-DMA       6_27 2.371e-04  85.86 1.933e-07  -8.774        2
10219     ZSCAN23       6_22 3.074e-02  50.74 1.481e-05  -8.180        1
6064        CNNM2      10_66 1.179e-01  44.36 4.968e-05  -8.161        1
10995     C6orf48       6_27 2.515e-11 140.32 3.351e-14   7.823        2
1736     PPP1R16B      20_23 7.508e-01  60.85 4.338e-04   7.738        1
10362     ZKSCAN3       6_22 1.549e-02  39.74 5.844e-06   7.690        1

Comparing z scores and PIPs

[1] 0.01175

GO enrichment analysis for genes with PIP>0.5

#number of genes for gene set enrichment
length(genes)
[1] 41
Uploading data to Enrichr... Done.
  Querying GO_Biological_Process_2021... Done.
  Querying GO_Cellular_Component_2021... Done.
  Querying GO_Molecular_Function_2021... Done.
Parsing results... Done.
[1] "GO_Biological_Process_2021"

                                                                        Term
1                    regulation of leukocyte cell-cell adhesion (GO:1903037)
2                       positive regulation of neuron migration (GO:2001224)
3 regulation of leukocyte adhesion to vascular endothelial cell (GO:1904994)
  Overlap Adjusted.P.value       Genes
1    2/12          0.04655    FUT9;MDK
2    2/13          0.04655 MDK;ARHGEF2
3    2/13          0.04655    FUT9;MDK
[1] "GO_Cellular_Component_2021"

[1] Term             Overlap          Adjusted.P.value Genes           
<0 rows> (or 0-length row.names)
[1] "GO_Molecular_Function_2021"

[1] Term             Overlap          Adjusted.P.value Genes           
<0 rows> (or 0-length row.names)

DisGeNET enrichment analysis for genes with PIP>0.5

                                                              Description
17                                                              Confusion
61                                                      Speech impairment
62                                                          Derealization
67                          Spondylometaphyseal dysplasia, Kozlowski type
68                                                    Metatropic dwarfism
86                                                     Brachyolmia Type 3
91                                         Sexually disinhibited behavior
98                                                 Hypersomnia, Recurrent
124 SPINAL MUSCULAR ATROPHY, DISTAL, CONGENITAL NONPROGRESSIVE (disorder)
125                      HYPOTRICHOSIS-LYMPHEDEMA-TELANGIECTASIA SYNDROME
        FDR Ratio BgRatio
17  0.01335  1/19  1/9703
61  0.01335  1/19  1/9703
62  0.01335  1/19  1/9703
67  0.01335  1/19  1/9703
68  0.01335  1/19  1/9703
86  0.01335  1/19  1/9703
91  0.01335  1/19  1/9703
98  0.01335  1/19  1/9703
124 0.01335  1/19  1/9703
125 0.01335  1/19  1/9703

WebGestalt enrichment analysis for genes with PIP>0.5

Loading the functional categories...
Loading the ID list...
Loading the reference list...
Performing the enrichment analysis...
Warning in oraEnrichment(interestGeneList, referenceGeneList, geneSet, minNum =
minNum, : No significant gene set is identified based on FDR 0.05!
NULL

PIP Manhattan Plot

Warning: ggrepel: 8 unlabeled data points (too many overlaps). Consider
increasing max.overlaps

Sensitivity, specificity and precision for silver standard genes

#number of genes in known annotations
print(length(known_annotations))
[1] 130
#number of genes in known annotations with imputed expression
print(sum(known_annotations %in% ctwas_gene_res$genename))
[1] 58
#significance threshold for TWAS
print(sig_thresh)
[1] 4.555
#number of ctwas genes
length(ctwas_genes)
[1] 9
#number of TWAS genes
length(twas_genes)
[1] 112
#show novel genes (ctwas genes with not in TWAS genes)
ctwas_gene_res[ctwas_gene_res$genename %in% novel_genes,report_cols]
           genename region_tag susie_pip   mu2       PVE      z num_eqtl
5515          SYTL1       1_19    0.8899 21.93 0.0001853  4.307        2
10075       TMEM222       1_19    0.8550 21.79 0.0001769  4.303        1
13199 RP11-408A13.3       9_12    0.9245 23.54 0.0002066  4.536        1
9632          GRID1      10_55    0.8518 21.94 0.0001774  4.415        2
3607        BHLHE41      12_18    0.8948 23.72 0.0002016 -4.516        1
10255      C19orf35       19_3    0.8864 26.73 0.0002250 -4.525        1
#sensitivity / recall
print(sensitivity)
   ctwas     TWAS 
0.007692 0.115385 
#specificity
print(specificity)
 ctwas   TWAS 
0.9992 0.9898 
#precision / PPV
print(precision)
 ctwas   TWAS 
0.1111 0.1339 

cTWAS is more precise than TWAS in distinguishing silver standard and bystander genes

#number of genes in known annotations (with imputed expression)
print(length(known_annotations))
[1] 58
#number of bystander genes (with imputed expression)
print(length(unrelated_genes))
[1] 670
#subset results to genes in known annotations or bystanders
ctwas_gene_res_subset <- ctwas_gene_res[ctwas_gene_res$genename %in% c(known_annotations, unrelated_genes),]

#assign ctwas and TWAS genes
ctwas_genes <- ctwas_gene_res_subset$genename[ctwas_gene_res_subset$susie_pip>0.8]
twas_genes <- ctwas_gene_res_subset$genename[abs(ctwas_gene_res_subset$z)>sig_thresh]

#significance threshold for TWAS
print(sig_thresh)
[1] 4.555
#number of ctwas genes (in known annotations or bystanders)
length(ctwas_genes)
[1] 2
#number of TWAS genes (in known annotations or bystanders)
length(twas_genes)
[1] 44
#sensitivity / recall
sensitivity
  ctwas    TWAS 
0.01724 0.25862 
#specificity / (1 - False Positive Rate)
specificity
 ctwas   TWAS 
0.9985 0.9567 
#precision / PPV / (1 - False Discovery Rate)
precision
 ctwas   TWAS 
0.5000 0.3409 

pip_range <- (0:1000)/1000
sensitivity <- rep(NA, length(pip_range))
specificity <- rep(NA, length(pip_range))

for (index in 1:length(pip_range)){
  pip <- pip_range[index]
  ctwas_genes <- ctwas_gene_res_subset$genename[ctwas_gene_res_subset$susie_pip>=pip]
  sensitivity[index] <- sum(ctwas_genes %in% known_annotations)/length(known_annotations)
  specificity[index] <- sum(!(unrelated_genes %in% ctwas_genes))/length(unrelated_genes)
}

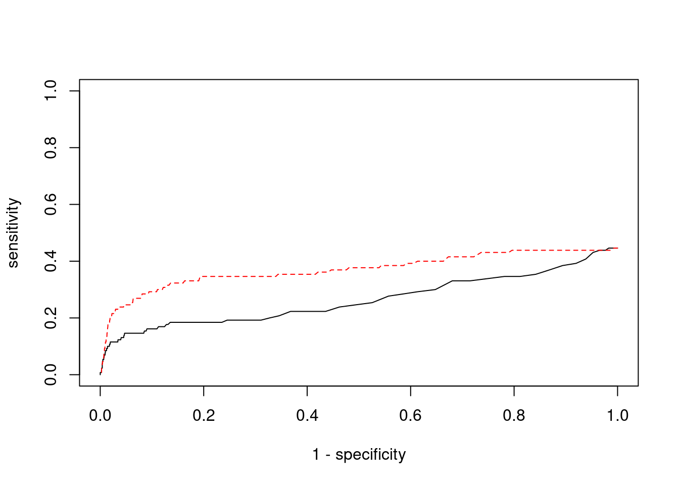
plot(1-specificity, sensitivity, type="l", xlim=c(0,1), ylim=c(0,1), main="", xlab="1 - Specificity", ylab="Sensitivity")
title(expression("ROC Curve for cTWAS (black) and TWAS (" * phantom("red") * ")"))
title(expression(phantom("ROC Curve for cTWAS (black) and TWAS (") * "red" * phantom(")")), col.main="red")

sig_thresh_range <- seq(from=0, to=max(abs(ctwas_gene_res_subset$z)), length.out=length(pip_range))

for (index in 1:length(sig_thresh_range)){
  sig_thresh_plot <- sig_thresh_range[index]
  twas_genes <- ctwas_gene_res_subset$genename[abs(ctwas_gene_res_subset$z)>=sig_thresh_plot]
  sensitivity[index] <- sum(twas_genes %in% known_annotations)/length(known_annotations)
  specificity[index] <- sum(!(unrelated_genes %in% twas_genes))/length(unrelated_genes)
}

lines(1-specificity, sensitivity, xlim=c(0,1), ylim=c(0,1), col="red", lty=1)

abline(a=0,b=1,lty=3)

#add previously computed points from the analysis
ctwas_genes <- ctwas_gene_res_subset$genename[ctwas_gene_res_subset$susie_pip>0.8]
twas_genes <- ctwas_gene_res_subset$genename[abs(ctwas_gene_res_subset$z)>sig_thresh]

points(1-specificity_plot["ctwas"], sensitivity_plot["ctwas"], pch=21, bg="black")
points(1-specificity_plot["TWAS"], sensitivity_plot["TWAS"], pch=21, bg="red")

Undetected silver standard genes have low TWAS z-scores or stronger signal from nearby variants

#table of outcomes for silver standard genes
-sort(-table(silver_standard_case))
silver_standard_case
          Not Imputed Insignificant z-score         Nearby SNP(s) 
                   72                    43                    14 
 Detected (PIP > 0.8) 
                    1 
#show inconclusive genes
silver_standard_case[silver_standard_case=="Inconclusive"]
named character(0)


sessionInfo()
R version 3.6.1 (2019-07-05)
Platform: x86_64-pc-linux-gnu (64-bit)
Running under: Scientific Linux 7.4 (Nitrogen)

Matrix products: default
BLAS/LAPACK: /software/openblas-0.2.19-el7-x86_64/lib/libopenblas_haswellp-r0.2.19.so

locale:
 [1] LC_CTYPE=en_US.UTF-8       LC_NUMERIC=C              
 [3] LC_TIME=en_US.UTF-8        LC_COLLATE=en_US.UTF-8    
 [5] LC_MONETARY=en_US.UTF-8    LC_MESSAGES=en_US.UTF-8   
 [7] LC_PAPER=en_US.UTF-8       LC_NAME=C                 
 [9] LC_ADDRESS=C               LC_TELEPHONE=C            
[11] LC_MEASUREMENT=en_US.UTF-8 LC_IDENTIFICATION=C       

attached base packages:
[1] parallel  stats4    stats     graphics  grDevices utils     datasets 
[8] methods   base     

other attached packages:
 [1] GenomicRanges_1.36.1 GenomeInfoDb_1.20.0  IRanges_2.18.1      
 [4] S4Vectors_0.22.1     BiocGenerics_0.30.0  biomaRt_2.40.1      
 [7] readxl_1.3.1         forcats_0.5.1        stringr_1.4.0       
[10] dplyr_1.0.7          purrr_0.3.4          readr_2.1.1         
[13] tidyr_1.1.4          tidyverse_1.3.1      tibble_3.1.6        
[16] WebGestaltR_0.4.4    disgenet2r_0.99.2    enrichR_3.0         
[19] cowplot_1.1.1        ggplot2_3.3.5        workflowr_1.7.0     

loaded via a namespace (and not attached):
  [1] ggbeeswarm_0.6.0       colorspace_2.0-2       rjson_0.2.20          
  [4] ellipsis_0.3.2         rprojroot_2.0.2        XVector_0.24.0        
  [7] fs_1.5.2               rstudioapi_0.13        farver_2.1.0          
 [10] ggrepel_0.9.1          bit64_4.0.5            AnnotationDbi_1.46.0  
 [13] fansi_1.0.2            lubridate_1.8.0        xml2_1.3.3            
 [16] codetools_0.2-16       doParallel_1.0.17      cachem_1.0.6          
 [19] knitr_1.36             jsonlite_1.7.2         apcluster_1.4.8       
 [22] Cairo_1.5-12.2         broom_0.7.10           dbplyr_2.1.1          
 [25] compiler_3.6.1         httr_1.4.2             backports_1.4.1       
 [28] assertthat_0.2.1       Matrix_1.2-18          fastmap_1.1.0         
 [31] cli_3.1.0              later_0.8.0            prettyunits_1.1.1     
 [34] htmltools_0.5.2        tools_3.6.1            igraph_1.2.10         
 [37] GenomeInfoDbData_1.2.1 gtable_0.3.0           glue_1.6.2            
 [40] reshape2_1.4.4         doRNG_1.8.2            Rcpp_1.0.8            
 [43] Biobase_2.44.0         cellranger_1.1.0       jquerylib_0.1.4       
 [46] vctrs_0.3.8            svglite_1.2.2          iterators_1.0.14      
 [49] xfun_0.29              ps_1.6.0               rvest_1.0.2           
 [52] lifecycle_1.0.1        rngtools_1.5.2         XML_3.99-0.3          
 [55] zlibbioc_1.30.0        getPass_0.2-2          scales_1.1.1          
 [58] vroom_1.5.7            hms_1.1.1              promises_1.0.1        
 [61] yaml_2.2.1             curl_4.3.2             memoise_2.0.1         
 [64] ggrastr_1.0.1          gdtools_0.1.9          stringi_1.7.6         
 [67] RSQLite_2.2.8          highr_0.9              foreach_1.5.2         
 [70] rlang_1.0.1            pkgconfig_2.0.3        bitops_1.0-7          
 [73] evaluate_0.14          lattice_0.20-38        labeling_0.4.2        
 [76] bit_4.0.4              processx_3.5.2         tidyselect_1.1.1      
 [79] plyr_1.8.6             magrittr_2.0.2         R6_2.5.1              
 [82] generics_0.1.1         DBI_1.1.2              pillar_1.6.4          
 [85] haven_2.4.3            whisker_0.3-2          withr_2.4.3           
 [88] RCurl_1.98-1.5         modelr_0.1.8           crayon_1.5.0          
 [91] utf8_1.2.2             tzdb_0.2.0             rmarkdown_2.11        
 [94] progress_1.2.2         grid_3.6.1             data.table_1.14.2     
 [97] blob_1.2.2             callr_3.7.0            git2r_0.26.1          
[100] reprex_2.0.1           digest_0.6.29          httpuv_1.5.1          
[103] munsell_0.5.0          beeswarm_0.2.3         vipor_0.4.5