Last updated: 2022-04-19
Checks: 5 2
Knit directory: cTWAS_analysis/
This reproducible R Markdown analysis was created with workflowr (version 1.7.0). The Checks tab describes the reproducibility checks that were applied when the results were created. The Past versions tab lists the development history.
The R Markdown file has unstaged changes. To know which version of the R Markdown file created these results, you’ll want to first commit it to the Git repo. If you’re still working on the analysis, you can ignore this warning. When you’re finished, you can run wflow_publish to commit the R Markdown file and build the HTML.
Great job! The global environment was empty. Objects defined in the global environment can affect the analysis in your R Markdown file in unknown ways. For reproduciblity it’s best to always run the code in an empty environment.
The command set.seed(20211220) was run prior to running the code in the R Markdown file. Setting a seed ensures that any results that rely on randomness, e.g. subsampling or permutations, are reproducible.
Great job! Recording the operating system, R version, and package versions is critical for reproducibility.
Nice! There were no cached chunks for this analysis, so you can be confident that you successfully produced the results during this run.
Using absolute paths to the files within your workflowr project makes it difficult for you and others to run your code on a different machine. Change the absolute path(s) below to the suggested relative path(s) to make your code more reproducible.
| absolute | relative |
|---|---|
| /project2/xinhe/shengqian/cTWAS/cTWAS_analysis/data/ | data |
| /project2/xinhe/shengqian/cTWAS/cTWAS_analysis/code/ctwas_config.R | code/ctwas_config.R |
Great! You are using Git for version control. Tracking code development and connecting the code version to the results is critical for reproducibility.
The results in this page were generated with repository version ba919ab. See the Past versions tab to see a history of the changes made to the R Markdown and HTML files.
Note that you need to be careful to ensure that all relevant files for the analysis have been committed to Git prior to generating the results (you can use wflow_publish or wflow_git_commit). workflowr only checks the R Markdown file, but you know if there are other scripts or data files that it depends on. Below is the status of the Git repository when the results were generated:
Ignored files:
Ignored: .ipynb_checkpoints/
Ignored: data/AF/
Untracked files:
Untracked: Rplot.png
Untracked: analysis/.ipynb_checkpoints/
Untracked: code/.ipynb_checkpoints/
Untracked: code/AF_out/
Untracked: code/Autism_out/
Untracked: code/BMI_S_out/
Untracked: code/BMI_out/
Untracked: code/Glucose_out/
Untracked: code/LDL_S_out/
Untracked: code/SCZ_2014_EUR_out/
Untracked: code/SCZ_2018_out/
Untracked: code/SCZ_2020_Single_out/
Untracked: code/SCZ_2020_out/
Untracked: code/SCZ_S_out/
Untracked: code/SCZ_out/
Untracked: code/T2D_out/
Untracked: code/ctwas_config.R
Untracked: code/mapping.R
Untracked: code/out/
Untracked: code/process_scz_2018_snps.R
Untracked: code/run_AF_analysis.sbatch
Untracked: code/run_AF_analysis.sh
Untracked: code/run_AF_ctwas_rss_LDR.R
Untracked: code/run_Autism_analysis.sbatch
Untracked: code/run_Autism_analysis.sh
Untracked: code/run_Autism_ctwas_rss_LDR.R
Untracked: code/run_BMI_analysis.sbatch
Untracked: code/run_BMI_analysis.sh
Untracked: code/run_BMI_analysis_S.sbatch
Untracked: code/run_BMI_analysis_S.sh
Untracked: code/run_BMI_ctwas_rss_LDR.R
Untracked: code/run_BMI_ctwas_rss_LDR_S.R
Untracked: code/run_Glucose_analysis.sbatch
Untracked: code/run_Glucose_analysis.sh
Untracked: code/run_Glucose_ctwas_rss_LDR.R
Untracked: code/run_LDL_analysis_S.sbatch
Untracked: code/run_LDL_analysis_S.sh
Untracked: code/run_LDL_ctwas_rss_LDR_S.R
Untracked: code/run_SCZ_2014_EUR_analysis.sbatch
Untracked: code/run_SCZ_2014_EUR_analysis.sh
Untracked: code/run_SCZ_2014_EUR_ctwas_rss_LDR.R
Untracked: code/run_SCZ_2018_analysis.sbatch
Untracked: code/run_SCZ_2018_analysis.sh
Untracked: code/run_SCZ_2018_ctwas_rss_LDR.R
Untracked: code/run_SCZ_2020_Single_analysis.sbatch
Untracked: code/run_SCZ_2020_Single_analysis.sh
Untracked: code/run_SCZ_2020_Single_ctwas_rss_LDR.R
Untracked: code/run_SCZ_2020_analysis.sbatch
Untracked: code/run_SCZ_2020_analysis.sh
Untracked: code/run_SCZ_2020_ctwas_rss_LDR.R
Untracked: code/run_SCZ_analysis.sbatch
Untracked: code/run_SCZ_analysis.sh
Untracked: code/run_SCZ_analysis_S.sbatch
Untracked: code/run_SCZ_analysis_S.sh
Untracked: code/run_SCZ_ctwas_rss_LDR.R
Untracked: code/run_SCZ_ctwas_rss_LDR_S.R
Untracked: code/run_T2D_analysis.sbatch
Untracked: code/run_T2D_analysis.sh
Untracked: code/run_T2D_ctwas_rss_LDR.R
Untracked: code/wflow_build.R
Untracked: code/wflow_build.sbatch
Untracked: data/.ipynb_checkpoints/
Untracked: data/BMI/
Untracked: data/GO_Terms/
Untracked: data/PGC3_SCZ_wave3_public.v2.tsv
Untracked: data/SCZ/
Untracked: data/SCZ_2014_EUR/
Untracked: data/SCZ_2018/
Untracked: data/SCZ_2020/
Untracked: data/SCZ_2020_Single/
Untracked: data/SCZ_S/
Untracked: data/Supplementary Table 15 - MAGMA.xlsx
Untracked: data/Supplementary Table 20 - Prioritised Genes.xlsx
Untracked: data/T2D/
Untracked: data/UKBB/
Untracked: data/UKBB_SNPs_Info.text
Untracked: data/gene_OMIM.txt
Untracked: data/gene_pip_0.8.txt
Untracked: data/mashr_Heart_Atrial_Appendage.db
Untracked: data/mashr_sqtl/
Untracked: data/scz_2018.RDS
Untracked: data/summary_known_genes_annotations.xlsx
Untracked: data/untitled.txt
Untracked: top_genes_32.txt
Untracked: top_genes_37.txt
Untracked: top_genes_43.txt
Untracked: top_genes_81.txt
Unstaged changes:
Modified: analysis/SCZ_2018_Brain_Amygdala.Rmd
Modified: analysis/SCZ_2018_Brain_Anterior_cingulate_cortex_BA24.Rmd
Modified: analysis/SCZ_2018_Brain_Caudate_basal_ganglia.Rmd
Modified: analysis/SCZ_2018_Brain_Cerebellar_Hemisphere.Rmd
Modified: analysis/SCZ_2018_Brain_Cerebellum.Rmd
Modified: analysis/SCZ_2018_Brain_Cortex.Rmd
Modified: analysis/SCZ_2018_Brain_Frontal_Cortex_BA9.Rmd
Modified: analysis/SCZ_2018_Brain_Hippocampus.Rmd
Modified: analysis/SCZ_2018_Brain_Hypothalamus.Rmd
Modified: analysis/SCZ_2018_Brain_Nucleus_accumbens_basal_ganglia.Rmd
Modified: analysis/SCZ_2018_Brain_Putamen_basal_ganglia.Rmd
Modified: analysis/SCZ_2018_Brain_Spinal_cord_cervical_c-1.Rmd
Modified: analysis/SCZ_2018_Brain_Substantia_nigra.Rmd
Modified: analysis/SCZ_Annotation_Analysis.Rmd
Note that any generated files, e.g. HTML, png, CSS, etc., are not included in this status report because it is ok for generated content to have uncommitted changes.
These are the previous versions of the repository in which changes were made to the R Markdown (analysis/SCZ_2018_Brain_Nucleus_accumbens_basal_ganglia.Rmd) and HTML (docs/SCZ_2018_Brain_Nucleus_accumbens_basal_ganglia.html) files. If you’ve configured a remote Git repository (see ?wflow_git_remote), click on the hyperlinks in the table below to view the files as they were in that past version.
| File | Version | Author | Date | Message |
|---|---|---|---|---|
| Rmd | 9ddc9c4 | sq-96 | 2022-04-18 | update |
| Rmd | f6e7062 | sq-96 | 2022-04-17 | update |
| html | f6e7062 | sq-96 | 2022-04-17 | update |
#number of imputed weights
nrow(qclist_all)
[1] 10019
#number of imputed weights by chromosome
table(qclist_all$chr)
1 2 3 4 5 6 7 8 9 10 11 12 13 14 15 16 17 18 19 20
984 716 600 396 489 570 494 366 377 401 621 577 200 337 331 411 611 164 776 316
21 22
32 250
#number of imputed weights without missing variants
sum(qclist_all$nmiss==0)
[1] 6976
#proportion of imputed weights without missing variants
mean(qclist_all$nmiss==0)
[1] 0.6963

#estimated group prior
estimated_group_prior <- group_prior_rec[,ncol(group_prior_rec)]
names(estimated_group_prior) <- c("gene", "snp")
estimated_group_prior["snp"] <- estimated_group_prior["snp"]*thin #adjust parameter to account for thin argument
print(estimated_group_prior)
gene snp
0.0135548 0.0003062
#estimated group prior variance
estimated_group_prior_var <- group_prior_var_rec[,ncol(group_prior_var_rec)]
names(estimated_group_prior_var) <- c("gene", "snp")
print(estimated_group_prior_var)
gene snp
10.98 10.50
#report sample size
print(sample_size)
[1] 105318
#report group size
group_size <- c(nrow(ctwas_gene_res), n_snps)
print(group_size)
[1] 10019 6309950
#estimated group PVE
estimated_group_pve <- estimated_group_prior_var*estimated_group_prior*group_size/sample_size #check PVE calculation
names(estimated_group_pve) <- c("gene", "snp")
print(estimated_group_pve)
gene snp
0.01416 0.19266
#compare sum(PIP*mu2/sample_size) with above PVE calculation
c(sum(ctwas_gene_res$PVE),sum(ctwas_snp_res$PVE))
[1] 0.06609 1.10055

genename region_tag susie_pip mu2 PVE z num_eqtl
11067 ZNF823 19_10 0.9830 36.50 0.0003406 6.184 2
4131 SPECC1 17_16 0.9649 28.01 0.0002566 5.295 2
13453 RP11-230C9.4 6_102 0.9623 23.13 0.0002113 -4.738 2
5491 FURIN 15_42 0.9589 46.05 0.0004193 -6.990 1
13724 RP11-408A13.3 9_12 0.9236 22.78 0.0001998 4.536 1
10921 PCBP2 12_33 0.8789 26.37 0.0002201 5.065 1
3067 SF3B1 2_117 0.8314 48.79 0.0003852 7.265 1
10418 TMEM222 1_19 0.8165 22.08 0.0001712 4.303 1
6509 TMEM56 1_58 0.8064 20.82 0.0001594 -3.907 1
268 VSIG2 11_77 0.7953 30.05 0.0002269 -4.616 2
3468 PYROXD2 10_62 0.7908 20.64 0.0001550 3.952 1
320 VRK2 2_38 0.7514 36.84 0.0002628 4.977 1
5689 SYTL1 1_19 0.7452 24.35 0.0001723 4.306 2
13743 CWC25 17_23 0.7406 21.86 0.0001537 -4.095 3
11955 LINC00390 13_17 0.6989 22.10 0.0001467 -4.536 1
1843 SETD6 16_31 0.6968 37.01 0.0002448 -6.343 1
4135 CDHR3 7_65 0.6967 22.67 0.0001499 4.315 1
7855 MAMDC2 9_31 0.6876 21.71 0.0001418 4.125 1
11298 LINC00862 1_101 0.6826 22.93 0.0001486 4.339 2
7266 DBF4B 17_26 0.6789 19.28 0.0001243 3.890 1

genename region_tag susie_pip mu2 PVE z num_eqtl
12325 HLA-DQA2 6_26 0.000e+00 1505.7 0.000e+00 -0.6489 2
12152 HLA-DQB2 6_26 0.000e+00 797.3 0.000e+00 -3.4195 1
12513 C4A 6_26 4.570e-02 674.8 2.928e-04 11.3259 1
11404 APOM 6_26 4.547e-01 647.0 2.793e-03 11.5895 1
11389 C6orf48 6_26 9.823e-05 601.4 5.609e-07 10.9169 2
11395 MSH5 6_26 2.863e-06 580.6 1.578e-08 10.5589 2
11386 EHMT2 6_26 0.000e+00 436.6 0.000e+00 7.5336 1
10865 HLA-DQA1 6_26 0.000e+00 411.1 0.000e+00 3.6960 2
11372 AGPAT1 6_26 0.000e+00 405.0 0.000e+00 -5.1903 1
11371 AGER 6_26 1.776e-15 402.3 6.786e-18 -9.0708 1
11369 NOTCH4 6_26 0.000e+00 315.7 0.000e+00 7.5989 2
11367 BTNL2 6_26 0.000e+00 302.3 0.000e+00 3.4859 1
11391 HSPA1L 6_26 0.000e+00 286.0 0.000e+00 1.4874 1
11648 DDAH2 6_26 0.000e+00 259.2 0.000e+00 8.1494 1
11397 LY6G6C 6_26 0.000e+00 243.4 0.000e+00 -7.8392 3
11375 FKBPL 6_26 0.000e+00 187.8 0.000e+00 -5.2840 2
11647 CLIC1 6_26 0.000e+00 160.9 0.000e+00 0.0146 1
11366 HLA-DRA 6_26 0.000e+00 159.0 0.000e+00 3.7977 1
11642 ATF6B 6_26 0.000e+00 157.2 0.000e+00 4.3893 1
11370 PBX2 6_26 0.000e+00 153.9 0.000e+00 -1.0290 2
genename region_tag susie_pip mu2 PVE z num_eqtl
11404 APOM 6_26 0.4547 647.02 0.0027931 11.590 1
5491 FURIN 15_42 0.9589 46.05 0.0004193 -6.990 1
3067 SF3B1 2_117 0.8314 48.79 0.0003852 7.265 1
11067 ZNF823 19_10 0.9830 36.50 0.0003406 6.184 2
2602 MDK 11_28 0.6640 46.66 0.0002941 -7.159 1
12513 C4A 6_26 0.0457 674.80 0.0002928 11.326 1
320 VRK2 2_38 0.7514 36.84 0.0002628 4.977 1
4131 SPECC1 17_16 0.9649 28.01 0.0002566 5.295 2
1843 SETD6 16_31 0.6968 37.01 0.0002448 -6.343 1
268 VSIG2 11_77 0.7953 30.05 0.0002269 -4.616 2
10921 PCBP2 12_33 0.8789 26.37 0.0002201 5.065 1
13453 RP11-230C9.4 6_102 0.9623 23.13 0.0002113 -4.738 2
13724 RP11-408A13.3 9_12 0.9236 22.78 0.0001998 4.536 1
7851 LETM2 8_34 0.5510 37.51 0.0001962 -6.067 1
5689 SYTL1 1_19 0.7452 24.35 0.0001723 4.306 2
10418 TMEM222 1_19 0.8165 22.08 0.0001712 4.303 1
410 CTNNA1 5_82 0.6507 26.43 0.0001633 5.512 1
6509 TMEM56 1_58 0.8064 20.82 0.0001594 -3.907 1
3468 PYROXD2 10_62 0.7908 20.64 0.0001550 3.952 1
13743 CWC25 17_23 0.7406 21.86 0.0001537 -4.095 3
genename region_tag susie_pip mu2 PVE z num_eqtl
11404 APOM 6_26 4.547e-01 647.02 2.793e-03 11.590 1
12513 C4A 6_26 4.570e-02 674.80 2.928e-04 11.326 1
5093 FLOT1 6_24 5.725e-02 79.39 4.315e-05 -10.981 1
11389 C6orf48 6_26 9.823e-05 601.40 5.609e-07 10.917 2
10415 BTN3A2 6_20 2.445e-02 94.77 2.200e-05 10.822 3
11395 MSH5 6_26 2.863e-06 580.55 1.578e-08 10.559 2
10915 ZSCAN26 6_22 1.614e-02 73.96 1.134e-05 10.158 3
2826 BTN2A1 6_20 5.570e-02 83.47 4.415e-05 -10.131 1
9788 HIST1H2BC 6_20 3.494e-02 81.03 2.688e-05 -9.909 1
11431 RNF39 6_24 1.261e-01 59.40 7.110e-05 9.536 1
11371 AGER 6_26 1.776e-15 402.34 6.786e-18 -9.071 1
2790 TRIM38 6_20 2.329e-02 65.72 1.453e-05 -9.032 2
11359 HLA-DMA 6_27 5.353e-02 66.65 3.388e-05 -8.845 1
12454 HLA-DMB 6_27 6.309e-02 67.59 4.049e-05 -8.701 2
11648 DDAH2 6_26 0.000e+00 259.20 0.000e+00 8.149 1
6275 CNNM2 10_66 3.990e-02 40.21 1.523e-05 -8.125 2
11397 LY6G6C 6_26 0.000e+00 243.41 0.000e+00 -7.839 3
10558 ZSCAN23 6_22 7.201e-02 47.91 3.275e-05 -7.769 2
11369 NOTCH4 6_26 0.000e+00 315.72 0.000e+00 7.599 2
11386 EHMT2 6_26 0.000e+00 436.64 0.000e+00 7.534 1


[1] 0.01008
#number of genes for gene set enrichment
length(genes)
[1] 39
Uploading data to Enrichr... Done.
Querying GO_Biological_Process_2021... Done.
Querying GO_Cellular_Component_2021... Done.
Querying GO_Molecular_Function_2021... Done.
Parsing results... Done.
[1] "GO_Biological_Process_2021"

Term Overlap
1 positive regulation of neuron migration (GO:2001224) 2/13
2 cell-cell junction assembly (GO:0007043) 3/66
3 cell-cell junction organization (GO:0045216) 3/82
4 positive regulation of cartilage development (GO:0061036) 2/18
5 regulation of cartilage development (GO:0061035) 2/18
6 cellular response to osmotic stress (GO:0071470) 2/22
7 cellular response to chemical stress (GO:0062197) 3/101
8 regulation of microtubule depolymerization (GO:0031114) 2/25
9 regulation of regulatory T cell differentiation (GO:0045589) 2/26
10 regulation of chondrocyte differentiation (GO:0032330) 2/26
Adjusted.P.value Genes
1 0.04580 MDK;ARHGEF2
2 0.04580 TRPV4;CTNNA1;CDHR3
3 0.04580 TRPV4;CTNNA1;CDHR3
4 0.04580 MDK;SOX5
5 0.04580 MDK;SOX5
6 0.04817 TRPV4;ARHGEF2
7 0.04817 PRDX2;TRPV4;VRK2
8 0.04817 TRPV4;ARHGEF2
9 0.04817 MDK;CD46
10 0.04817 MDK;SOX5
[1] "GO_Cellular_Component_2021"

Term Overlap Adjusted.P.value
1 focal adhesion (GO:0005925) 6/387 0.003283
2 cell-substrate junction (GO:0030055) 6/394 0.003283
3 catenin complex (GO:0016342) 2/31 0.033461
4 adherens junction (GO:0005912) 3/132 0.033461
Genes
1 RPL12;TRPV4;PCBP2;CTNNA1;ARHGEF2;CD46
2 RPL12;TRPV4;PCBP2;CTNNA1;ARHGEF2;CD46
3 CTNNA1;CDHR3
4 TRPV4;CTNNA1;CDHR3
[1] "GO_Molecular_Function_2021"

[1] Term Overlap Adjusted.P.value Genes
<0 rows> (or 0-length row.names)
Description
15 Confusion
40 Measles
66 Speech impairment
67 Derealization
73 Spondylometaphyseal dysplasia, Kozlowski type
74 Metatropic dwarfism
91 Brachyolmia Type 3
99 Sexually disinhibited behavior
106 Hypersomnia, Recurrent
129 SPINAL MUSCULAR ATROPHY, DISTAL, CONGENITAL NONPROGRESSIVE (disorder)
FDR Ratio BgRatio
15 0.01027 1/15 1/9703
40 0.01027 1/15 1/9703
66 0.01027 1/15 1/9703
67 0.01027 1/15 1/9703
73 0.01027 1/15 1/9703
74 0.01027 1/15 1/9703
91 0.01027 1/15 1/9703
99 0.01027 1/15 1/9703
106 0.01027 1/15 1/9703
129 0.01027 1/15 1/9703
Loading the functional categories...
Loading the ID list...
Loading the reference list...
Performing the enrichment analysis...
Warning in oraEnrichment(interestGeneList, referenceGeneList, geneSet, minNum =
minNum, : No significant gene set is identified based on FDR 0.05!
NULL

#number of genes in known annotations
print(length(known_annotations))
[1] 130
#number of genes in known annotations with imputed expression
print(sum(known_annotations %in% ctwas_gene_res$genename))
[1] 52
#significance threshold for TWAS
print(sig_thresh)
[1] 4.565
#number of ctwas genes
length(ctwas_genes)
[1] 9
#number of TWAS genes
length(twas_genes)
[1] 101
#show novel genes (ctwas genes with not in TWAS genes)
ctwas_gene_res[ctwas_gene_res$genename %in% novel_genes,report_cols]
genename region_tag susie_pip mu2 PVE z num_eqtl
10418 TMEM222 1_19 0.8165 22.08 0.0001712 4.303 1
6509 TMEM56 1_58 0.8064 20.82 0.0001594 -3.907 1
13724 RP11-408A13.3 9_12 0.9236 22.78 0.0001998 4.536 1
#sensitivity / recall
print(sensitivity)
ctwas TWAS
0.02308 0.12308
#specificity
print(specificity)
ctwas TWAS
0.9994 0.9915
#precision / PPV
print(precision)
ctwas TWAS
0.3333 0.1584

#number of genes in known annotations (with imputed expression)
print(length(known_annotations))
[1] 52
#number of bystander genes (with imputed expression)
print(length(unrelated_genes))
[1] 539
#subset results to genes in known annotations or bystanders
ctwas_gene_res_subset <- ctwas_gene_res[ctwas_gene_res$genename %in% c(known_annotations, unrelated_genes),]
#assign ctwas and TWAS genes
ctwas_genes <- ctwas_gene_res_subset$genename[ctwas_gene_res_subset$susie_pip>0.8]
twas_genes <- ctwas_gene_res_subset$genename[abs(ctwas_gene_res_subset$z)>sig_thresh]
#significance threshold for TWAS
print(sig_thresh)
[1] 4.565
#number of ctwas genes (in known annotations or bystanders)
length(ctwas_genes)
[1] 3
#number of TWAS genes (in known annotations or bystanders)
length(twas_genes)
[1] 27
#sensitivity / recall
sensitivity
ctwas TWAS
0.05769 0.30769
#specificity / (1 - False Positive Rate)
specificity
ctwas TWAS
1.0000 0.9796
#precision / PPV / (1 - False Discovery Rate)
precision
ctwas TWAS
1.0000 0.5926


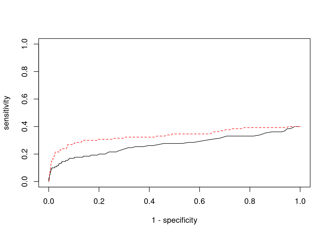
pip_range <- (0:1000)/1000
sensitivity <- rep(NA, length(pip_range))
specificity <- rep(NA, length(pip_range))
for (index in 1:length(pip_range)){
pip <- pip_range[index]
ctwas_genes <- ctwas_gene_res_subset$genename[ctwas_gene_res_subset$susie_pip>=pip]
sensitivity[index] <- sum(ctwas_genes %in% known_annotations)/length(known_annotations)
specificity[index] <- sum(!(unrelated_genes %in% ctwas_genes))/length(unrelated_genes)
}
plot(1-specificity, sensitivity, type="l", xlim=c(0,1), ylim=c(0,1), main="", xlab="1 - Specificity", ylab="Sensitivity")
title(expression("ROC Curve for cTWAS (black) and TWAS (" * phantom("red") * ")"))
title(expression(phantom("ROC Curve for cTWAS (black) and TWAS (") * "red" * phantom(")")), col.main="red")
sig_thresh_range <- seq(from=0, to=max(abs(ctwas_gene_res_subset$z)), length.out=length(pip_range))
for (index in 1:length(sig_thresh_range)){
sig_thresh_plot <- sig_thresh_range[index]
twas_genes <- ctwas_gene_res_subset$genename[abs(ctwas_gene_res_subset$z)>=sig_thresh_plot]
sensitivity[index] <- sum(twas_genes %in% known_annotations)/length(known_annotations)
specificity[index] <- sum(!(unrelated_genes %in% twas_genes))/length(unrelated_genes)
}
lines(1-specificity, sensitivity, xlim=c(0,1), ylim=c(0,1), col="red", lty=1)
abline(a=0,b=1,lty=3)
#add previously computed points from the analysis
ctwas_genes <- ctwas_gene_res_subset$genename[ctwas_gene_res_subset$susie_pip>0.8]
twas_genes <- ctwas_gene_res_subset$genename[abs(ctwas_gene_res_subset$z)>sig_thresh]
points(1-specificity_plot["ctwas"], sensitivity_plot["ctwas"], pch=21, bg="black")
points(1-specificity_plot["TWAS"], sensitivity_plot["TWAS"], pch=21, bg="red")

#table of outcomes for silver standard genes
-sort(-table(silver_standard_case))
silver_standard_case
Not Imputed Insignificant z-score Nearby SNP(s)
78 36 13
Detected (PIP > 0.8)
3
#show inconclusive genes
silver_standard_case[silver_standard_case=="Inconclusive"]
named character(0)

sessionInfo()
R version 3.6.1 (2019-07-05)
Platform: x86_64-pc-linux-gnu (64-bit)
Running under: Scientific Linux 7.4 (Nitrogen)
Matrix products: default
BLAS/LAPACK: /software/openblas-0.2.19-el7-x86_64/lib/libopenblas_haswellp-r0.2.19.so
locale:
[1] LC_CTYPE=en_US.UTF-8 LC_NUMERIC=C
[3] LC_TIME=en_US.UTF-8 LC_COLLATE=en_US.UTF-8
[5] LC_MONETARY=en_US.UTF-8 LC_MESSAGES=en_US.UTF-8
[7] LC_PAPER=en_US.UTF-8 LC_NAME=C
[9] LC_ADDRESS=C LC_TELEPHONE=C
[11] LC_MEASUREMENT=en_US.UTF-8 LC_IDENTIFICATION=C
attached base packages:
[1] parallel stats4 stats graphics grDevices utils datasets
[8] methods base
other attached packages:
[1] GenomicRanges_1.36.1 GenomeInfoDb_1.20.0 IRanges_2.18.1
[4] S4Vectors_0.22.1 BiocGenerics_0.30.0 biomaRt_2.40.1
[7] readxl_1.3.1 forcats_0.5.1 stringr_1.4.0
[10] dplyr_1.0.7 purrr_0.3.4 readr_2.1.1
[13] tidyr_1.1.4 tidyverse_1.3.1 tibble_3.1.6
[16] WebGestaltR_0.4.4 disgenet2r_0.99.2 enrichR_3.0
[19] cowplot_1.1.1 ggplot2_3.3.5 workflowr_1.7.0
loaded via a namespace (and not attached):
[1] ggbeeswarm_0.6.0 colorspace_2.0-2 rjson_0.2.20
[4] ellipsis_0.3.2 rprojroot_2.0.2 XVector_0.24.0
[7] fs_1.5.2 rstudioapi_0.13 farver_2.1.0
[10] ggrepel_0.9.1 bit64_4.0.5 AnnotationDbi_1.46.0
[13] fansi_1.0.2 lubridate_1.8.0 xml2_1.3.3
[16] codetools_0.2-16 doParallel_1.0.17 cachem_1.0.6
[19] knitr_1.36 jsonlite_1.7.2 apcluster_1.4.8
[22] Cairo_1.5-12.2 broom_0.7.10 dbplyr_2.1.1
[25] compiler_3.6.1 httr_1.4.2 backports_1.4.1
[28] assertthat_0.2.1 Matrix_1.2-18 fastmap_1.1.0
[31] cli_3.1.0 later_0.8.0 prettyunits_1.1.1
[34] htmltools_0.5.2 tools_3.6.1 igraph_1.2.10
[37] GenomeInfoDbData_1.2.1 gtable_0.3.0 glue_1.6.2
[40] reshape2_1.4.4 doRNG_1.8.2 Rcpp_1.0.8
[43] Biobase_2.44.0 cellranger_1.1.0 jquerylib_0.1.4
[46] vctrs_0.3.8 svglite_1.2.2 iterators_1.0.14
[49] xfun_0.29 ps_1.6.0 rvest_1.0.2
[52] lifecycle_1.0.1 rngtools_1.5.2 XML_3.99-0.3
[55] zlibbioc_1.30.0 getPass_0.2-2 scales_1.1.1
[58] vroom_1.5.7 hms_1.1.1 promises_1.0.1
[61] yaml_2.2.1 curl_4.3.2 memoise_2.0.1
[64] ggrastr_1.0.1 gdtools_0.1.9 stringi_1.7.6
[67] RSQLite_2.2.8 highr_0.9 foreach_1.5.2
[70] rlang_1.0.1 pkgconfig_2.0.3 bitops_1.0-7
[73] evaluate_0.14 lattice_0.20-38 labeling_0.4.2
[76] bit_4.0.4 processx_3.5.2 tidyselect_1.1.1
[79] plyr_1.8.6 magrittr_2.0.2 R6_2.5.1
[82] generics_0.1.1 DBI_1.1.2 pillar_1.6.4
[85] haven_2.4.3 whisker_0.3-2 withr_2.4.3
[88] RCurl_1.98-1.5 modelr_0.1.8 crayon_1.5.0
[91] utf8_1.2.2 tzdb_0.2.0 rmarkdown_2.11
[94] progress_1.2.2 grid_3.6.1 data.table_1.14.2
[97] blob_1.2.2 callr_3.7.0 git2r_0.26.1
[100] reprex_2.0.1 digest_0.6.29 httpuv_1.5.1
[103] munsell_0.5.0 beeswarm_0.2.3 vipor_0.4.5