Last updated: 2022-04-19
Checks: 5 2
Knit directory: cTWAS_analysis/
This reproducible R Markdown analysis was created with workflowr (version 1.7.0). The Checks tab describes the reproducibility checks that were applied when the results were created. The Past versions tab lists the development history.
The R Markdown file has unstaged changes. To know which version of the R Markdown file created these results, you’ll want to first commit it to the Git repo. If you’re still working on the analysis, you can ignore this warning. When you’re finished, you can run wflow_publish to commit the R Markdown file and build the HTML.
Great job! The global environment was empty. Objects defined in the global environment can affect the analysis in your R Markdown file in unknown ways. For reproduciblity it’s best to always run the code in an empty environment.
The command set.seed(20211220) was run prior to running the code in the R Markdown file. Setting a seed ensures that any results that rely on randomness, e.g. subsampling or permutations, are reproducible.
Great job! Recording the operating system, R version, and package versions is critical for reproducibility.
Nice! There were no cached chunks for this analysis, so you can be confident that you successfully produced the results during this run.
Using absolute paths to the files within your workflowr project makes it difficult for you and others to run your code on a different machine. Change the absolute path(s) below to the suggested relative path(s) to make your code more reproducible.
| absolute | relative |
|---|---|
| /project2/xinhe/shengqian/cTWAS/cTWAS_analysis/data/ | data |
| /project2/xinhe/shengqian/cTWAS/cTWAS_analysis/code/ctwas_config.R | code/ctwas_config.R |
Great! You are using Git for version control. Tracking code development and connecting the code version to the results is critical for reproducibility.
The results in this page were generated with repository version ba919ab. See the Past versions tab to see a history of the changes made to the R Markdown and HTML files.
Note that you need to be careful to ensure that all relevant files for the analysis have been committed to Git prior to generating the results (you can use wflow_publish or wflow_git_commit). workflowr only checks the R Markdown file, but you know if there are other scripts or data files that it depends on. Below is the status of the Git repository when the results were generated:
Ignored files:
Ignored: .ipynb_checkpoints/
Ignored: data/AF/
Untracked files:
Untracked: Rplot.png
Untracked: analysis/.ipynb_checkpoints/
Untracked: code/.ipynb_checkpoints/
Untracked: code/AF_out/
Untracked: code/Autism_out/
Untracked: code/BMI_S_out/
Untracked: code/BMI_out/
Untracked: code/Glucose_out/
Untracked: code/LDL_S_out/
Untracked: code/SCZ_2014_EUR_out/
Untracked: code/SCZ_2018_out/
Untracked: code/SCZ_2020_Single_out/
Untracked: code/SCZ_2020_out/
Untracked: code/SCZ_S_out/
Untracked: code/SCZ_out/
Untracked: code/T2D_out/
Untracked: code/ctwas_config.R
Untracked: code/mapping.R
Untracked: code/out/
Untracked: code/process_scz_2018_snps.R
Untracked: code/run_AF_analysis.sbatch
Untracked: code/run_AF_analysis.sh
Untracked: code/run_AF_ctwas_rss_LDR.R
Untracked: code/run_Autism_analysis.sbatch
Untracked: code/run_Autism_analysis.sh
Untracked: code/run_Autism_ctwas_rss_LDR.R
Untracked: code/run_BMI_analysis.sbatch
Untracked: code/run_BMI_analysis.sh
Untracked: code/run_BMI_analysis_S.sbatch
Untracked: code/run_BMI_analysis_S.sh
Untracked: code/run_BMI_ctwas_rss_LDR.R
Untracked: code/run_BMI_ctwas_rss_LDR_S.R
Untracked: code/run_Glucose_analysis.sbatch
Untracked: code/run_Glucose_analysis.sh
Untracked: code/run_Glucose_ctwas_rss_LDR.R
Untracked: code/run_LDL_analysis_S.sbatch
Untracked: code/run_LDL_analysis_S.sh
Untracked: code/run_LDL_ctwas_rss_LDR_S.R
Untracked: code/run_SCZ_2014_EUR_analysis.sbatch
Untracked: code/run_SCZ_2014_EUR_analysis.sh
Untracked: code/run_SCZ_2014_EUR_ctwas_rss_LDR.R
Untracked: code/run_SCZ_2018_analysis.sbatch
Untracked: code/run_SCZ_2018_analysis.sh
Untracked: code/run_SCZ_2018_ctwas_rss_LDR.R
Untracked: code/run_SCZ_2020_Single_analysis.sbatch
Untracked: code/run_SCZ_2020_Single_analysis.sh
Untracked: code/run_SCZ_2020_Single_ctwas_rss_LDR.R
Untracked: code/run_SCZ_2020_analysis.sbatch
Untracked: code/run_SCZ_2020_analysis.sh
Untracked: code/run_SCZ_2020_ctwas_rss_LDR.R
Untracked: code/run_SCZ_analysis.sbatch
Untracked: code/run_SCZ_analysis.sh
Untracked: code/run_SCZ_analysis_S.sbatch
Untracked: code/run_SCZ_analysis_S.sh
Untracked: code/run_SCZ_ctwas_rss_LDR.R
Untracked: code/run_SCZ_ctwas_rss_LDR_S.R
Untracked: code/run_T2D_analysis.sbatch
Untracked: code/run_T2D_analysis.sh
Untracked: code/run_T2D_ctwas_rss_LDR.R
Untracked: code/wflow_build.R
Untracked: code/wflow_build.sbatch
Untracked: data/.ipynb_checkpoints/
Untracked: data/BMI/
Untracked: data/GO_Terms/
Untracked: data/PGC3_SCZ_wave3_public.v2.tsv
Untracked: data/SCZ/
Untracked: data/SCZ_2014_EUR/
Untracked: data/SCZ_2018/
Untracked: data/SCZ_2020/
Untracked: data/SCZ_2020_Single/
Untracked: data/SCZ_S/
Untracked: data/Supplementary Table 15 - MAGMA.xlsx
Untracked: data/Supplementary Table 20 - Prioritised Genes.xlsx
Untracked: data/T2D/
Untracked: data/UKBB/
Untracked: data/UKBB_SNPs_Info.text
Untracked: data/gene_OMIM.txt
Untracked: data/gene_pip_0.8.txt
Untracked: data/mashr_Heart_Atrial_Appendage.db
Untracked: data/mashr_sqtl/
Untracked: data/scz_2018.RDS
Untracked: data/summary_known_genes_annotations.xlsx
Untracked: data/untitled.txt
Untracked: top_genes_32.txt
Untracked: top_genes_37.txt
Untracked: top_genes_43.txt
Untracked: top_genes_81.txt
Unstaged changes:
Modified: analysis/SCZ_2018_Brain_Amygdala.Rmd
Modified: analysis/SCZ_2018_Brain_Anterior_cingulate_cortex_BA24.Rmd
Modified: analysis/SCZ_2018_Brain_Caudate_basal_ganglia.Rmd
Modified: analysis/SCZ_2018_Brain_Cerebellar_Hemisphere.Rmd
Modified: analysis/SCZ_2018_Brain_Cerebellum.Rmd
Modified: analysis/SCZ_2018_Brain_Cortex.Rmd
Modified: analysis/SCZ_2018_Brain_Frontal_Cortex_BA9.Rmd
Modified: analysis/SCZ_2018_Brain_Hippocampus.Rmd
Modified: analysis/SCZ_2018_Brain_Hypothalamus.Rmd
Modified: analysis/SCZ_2018_Brain_Nucleus_accumbens_basal_ganglia.Rmd
Modified: analysis/SCZ_2018_Brain_Putamen_basal_ganglia.Rmd
Modified: analysis/SCZ_2018_Brain_Spinal_cord_cervical_c-1.Rmd
Modified: analysis/SCZ_2018_Brain_Substantia_nigra.Rmd
Modified: analysis/SCZ_Annotation_Analysis.Rmd
Note that any generated files, e.g. HTML, png, CSS, etc., are not included in this status report because it is ok for generated content to have uncommitted changes.
These are the previous versions of the repository in which changes were made to the R Markdown (analysis/SCZ_2018_Brain_Putamen_basal_ganglia.Rmd) and HTML (docs/SCZ_2018_Brain_Putamen_basal_ganglia.html) files. If you’ve configured a remote Git repository (see ?wflow_git_remote), click on the hyperlinks in the table below to view the files as they were in that past version.
| File | Version | Author | Date | Message |
|---|---|---|---|---|
| Rmd | 9ddc9c4 | sq-96 | 2022-04-18 | update |
| Rmd | f6e7062 | sq-96 | 2022-04-17 | update |
| html | f6e7062 | sq-96 | 2022-04-17 | update |
#number of imputed weights
nrow(qclist_all)
[1] 9809
#number of imputed weights by chromosome
table(qclist_all$chr)
1 2 3 4 5 6 7 8 9 10 11 12 13 14 15 16 17 18 19 20
968 704 572 395 453 573 498 359 366 394 599 571 207 337 341 396 606 157 750 301
21 22
25 237
#number of imputed weights without missing variants
sum(qclist_all$nmiss==0)
[1] 6827
#proportion of imputed weights without missing variants
mean(qclist_all$nmiss==0)
[1] 0.696

#estimated group prior
estimated_group_prior <- group_prior_rec[,ncol(group_prior_rec)]
names(estimated_group_prior) <- c("gene", "snp")
estimated_group_prior["snp"] <- estimated_group_prior["snp"]*thin #adjust parameter to account for thin argument
print(estimated_group_prior)
gene snp
0.0122063 0.0003085
#estimated group prior variance
estimated_group_prior_var <- group_prior_var_rec[,ncol(group_prior_var_rec)]
names(estimated_group_prior_var) <- c("gene", "snp")
print(estimated_group_prior_var)
gene snp
15.31 10.29
#report sample size
print(sample_size)
[1] 105318
#report group size
group_size <- c(nrow(ctwas_gene_res), n_snps)
print(group_size)
[1] 9809 6309950
#estimated group PVE
estimated_group_pve <- estimated_group_prior_var*estimated_group_prior*group_size/sample_size #check PVE calculation
names(estimated_group_pve) <- c("gene", "snp")
print(estimated_group_pve)
gene snp
0.01741 0.19029
#compare sum(PIP*mu2/sample_size) with above PVE calculation
c(sum(ctwas_gene_res$PVE),sum(ctwas_snp_res$PVE))
[1] 0.05605 1.06023

genename region_tag susie_pip mu2 PVE z num_eqtl
10867 ZNF823 19_10 0.9820 37.56 0.0003502 6.143 1
4092 FEZF1 7_74 0.9532 25.00 0.0002263 -4.812 1
11990 AC012074.2 2_15 0.9478 22.91 0.0002062 4.655 1
3950 IRF3 19_34 0.9150 42.36 0.0003681 -6.590 1
10737 PCBP2 12_33 0.8815 27.36 0.0002290 5.065 1
3043 SF3B1 2_117 0.8725 50.81 0.0004209 7.265 1
11945 HIST1H2BN 6_21 0.8448 105.63 0.0008473 13.396 1
3431 PYROXD2 10_62 0.7840 21.30 0.0001585 3.952 1
5518 ZCCHC2 18_34 0.7666 20.47 0.0001490 -3.877 1
3149 ARHGEF2 1_76 0.7374 22.47 0.0001573 -3.816 1
6842 SPPL3 12_74 0.7325 25.14 0.0001748 -4.648 2
2590 MDK 11_28 0.6904 48.58 0.0003184 -7.159 1
2365 ARHGAP21 10_18 0.6740 23.62 0.0001511 -3.738 2
11117 SOX18 20_38 0.6695 22.76 0.0001447 3.679 2
2638 TRPV4 12_66 0.6616 21.38 0.0001343 3.346 1
6076 FAM135B 8_91 0.6531 21.89 0.0001357 -3.851 1
7176 DBF4B 17_26 0.6514 19.98 0.0001236 3.890 1
10828 NMB 15_39 0.6472 36.10 0.0002219 5.881 1
3364 PTPA 9_66 0.6323 23.70 0.0001423 -4.650 2
9570 TDRD6 6_35 0.6288 20.76 0.0001240 3.788 2

genename region_tag susie_pip mu2 PVE z num_eqtl
11197 APOM 6_26 9.098e-08 234.02 2.022e-10 11.5895 1
12247 C4A 6_26 1.880e-08 222.62 3.975e-11 11.2611 2
11190 MSH5 6_26 2.806e-09 181.57 4.838e-12 9.8879 2
11167 AGER 6_26 1.077e-07 132.12 1.351e-10 -9.0708 1
11183 EHMT2 6_26 1.226e-07 114.50 1.333e-10 7.5336 1
10570 HLA-DRB1 6_26 1.347e-06 111.76 1.429e-09 -5.1060 1
11168 RNF5 6_26 1.708e-10 109.10 1.769e-13 5.1903 1
11169 AGPAT1 6_26 1.708e-10 109.10 1.769e-13 -5.1903 1
11945 HIST1H2BN 6_21 8.448e-01 105.63 8.473e-04 13.3956 1
11186 C6orf48 6_26 8.795e-10 86.13 7.193e-13 7.7844 1
10244 BTN3A2 6_20 1.514e-02 77.69 1.117e-05 9.8139 3
13230 RP1-86C11.7 6_21 4.582e-02 74.03 3.220e-05 10.8893 1
11156 HLA-DMA 6_27 4.778e-02 71.34 3.236e-05 -8.8449 1
11176 STK19 6_26 9.767e-09 67.83 6.290e-12 -3.1148 1
11207 HLA-C 6_26 6.211e-11 63.18 3.726e-14 -7.3708 3
13228 U91328.19 6_20 7.348e-02 55.05 3.841e-05 -7.3880 1
10392 ZSCAN23 6_22 8.978e-02 54.62 4.656e-05 -7.9581 2
12064 HLA-DQA2 6_26 1.189e-07 53.54 6.045e-11 0.8591 1
3043 SF3B1 2_117 8.725e-01 50.81 4.209e-04 7.2652 1
11172 FKBPL 6_26 5.033e-02 50.52 2.414e-05 -5.2136 1
genename region_tag susie_pip mu2 PVE z num_eqtl
11945 HIST1H2BN 6_21 0.8448 105.63 0.0008473 13.396 1
3043 SF3B1 2_117 0.8725 50.81 0.0004209 7.265 1
3950 IRF3 19_34 0.9150 42.36 0.0003681 -6.590 1
10867 ZNF823 19_10 0.9820 37.56 0.0003502 6.143 1
2590 MDK 11_28 0.6904 48.58 0.0003184 -7.159 1
10737 PCBP2 12_33 0.8815 27.36 0.0002290 5.065 1
4092 FEZF1 7_74 0.9532 25.00 0.0002263 -4.812 1
13621 LINC02033 3_27 0.5997 39.12 0.0002228 -6.280 1
10828 NMB 15_39 0.6472 36.10 0.0002219 5.881 1
11990 AC012074.2 2_15 0.9478 22.91 0.0002062 4.655 1
7748 LETM2 8_34 0.5202 38.85 0.0001919 -6.067 1
5872 CCDC39 3_111 0.4213 44.73 0.0001789 -6.797 1
7857 PACSIN3 11_29 0.6204 30.16 0.0001777 5.308 1
6842 SPPL3 12_74 0.7325 25.14 0.0001748 -4.648 2
11497 AS3MT 10_66 0.4127 44.15 0.0001730 8.120 2
5406 FURIN 15_42 0.4964 35.60 0.0001678 -5.772 1
8111 GATAD2A 19_16 0.3646 45.83 0.0001586 -6.577 1
3431 PYROXD2 10_62 0.7840 21.30 0.0001585 3.952 1
3149 ARHGEF2 1_76 0.7374 22.47 0.0001573 -3.816 1
2365 ARHGAP21 10_18 0.6740 23.62 0.0001511 -3.738 2
genename region_tag susie_pip mu2 PVE z num_eqtl
11945 HIST1H2BN 6_21 8.448e-01 105.63 8.473e-04 13.396 1
11197 APOM 6_26 9.098e-08 234.02 2.022e-10 11.590 1
12247 C4A 6_26 1.880e-08 222.62 3.975e-11 11.261 2
13230 RP1-86C11.7 6_21 4.582e-02 74.03 3.220e-05 10.889 1
11190 MSH5 6_26 2.806e-09 181.57 4.838e-12 9.888 2
10244 BTN3A2 6_20 1.514e-02 77.69 1.117e-05 9.814 3
11167 AGER 6_26 1.077e-07 132.12 1.351e-10 -9.071 1
11156 HLA-DMA 6_27 4.778e-02 71.34 3.236e-05 -8.845 1
6164 CNNM2 10_66 1.116e-01 42.36 4.488e-05 -8.161 1
11497 AS3MT 10_66 4.127e-01 44.15 1.730e-04 8.120 2
10392 ZSCAN23 6_22 8.978e-02 54.62 4.656e-05 -7.958 2
11186 C6orf48 6_26 8.795e-10 86.13 7.193e-13 7.784 1
10545 ZKSCAN3 6_22 1.584e-02 39.33 5.914e-06 7.765 1
11183 EHMT2 6_26 1.226e-07 114.50 1.333e-10 7.534 1
10732 ZSCAN26 6_22 1.220e-02 46.98 5.440e-06 7.514 3
13228 U91328.19 6_20 7.348e-02 55.05 3.841e-05 -7.388 1
11207 HLA-C 6_26 6.211e-11 63.18 3.726e-14 -7.371 3
3043 SF3B1 2_117 8.725e-01 50.81 4.209e-04 7.265 1
2590 MDK 11_28 6.904e-01 48.58 3.184e-04 -7.159 1
10932 ZKSCAN8 6_22 1.209e-02 50.21 5.764e-06 7.127 2


#proportion of significant z scores
mean(abs(ctwas_gene_res$z) > sig_thresh)
[1] 0.01244
#number of genes for gene set enrichment
length(genes)
[1] 37
Uploading data to Enrichr... Done.
Querying GO_Biological_Process_2021... Done.
Querying GO_Cellular_Component_2021... Done.
Querying GO_Molecular_Function_2021... Done.
Parsing results... Done.
[1] "GO_Biological_Process_2021"

Term
1 regulation of leukocyte cell-cell adhesion (GO:1903037)
2 positive regulation of neuron migration (GO:2001224)
3 regulation of leukocyte adhesion to vascular endothelial cell (GO:1904994)
Overlap Adjusted.P.value Genes
1 2/12 0.03453 FUT9;MDK
2 2/13 0.03453 MDK;ARHGEF2
3 2/13 0.03453 FUT9;MDK
[1] "GO_Cellular_Component_2021"

Term Overlap Adjusted.P.value
1 focal adhesion (GO:0005925) 5/387 0.02064
2 cell-substrate junction (GO:0030055) 5/394 0.02064
Genes
1 EFS;RPL12;TRPV4;PCBP2;ARHGEF2
2 EFS;RPL12;TRPV4;PCBP2;ARHGEF2
[1] "GO_Molecular_Function_2021"

[1] Term Overlap Adjusted.P.value Genes
<0 rows> (or 0-length row.names)
Description
10 Confusion
47 Speech impairment
48 Derealization
52 Spondylometaphyseal dysplasia, Kozlowski type
53 Metatropic dwarfism
73 Brachyolmia Type 3
78 Sexually disinhibited behavior
84 Hypersomnia, Recurrent
100 SPINAL MUSCULAR ATROPHY, DISTAL, CONGENITAL NONPROGRESSIVE (disorder)
102 HYPOTRICHOSIS-LYMPHEDEMA-TELANGIECTASIA SYNDROME
FDR Ratio BgRatio
10 0.007273 1/14 1/9703
47 0.007273 1/14 1/9703
48 0.007273 1/14 1/9703
52 0.007273 1/14 1/9703
53 0.007273 1/14 1/9703
73 0.007273 1/14 1/9703
78 0.007273 1/14 1/9703
84 0.007273 1/14 1/9703
100 0.007273 1/14 1/9703
102 0.007273 1/14 1/9703
Loading the functional categories...
Loading the ID list...
Loading the reference list...
Performing the enrichment analysis...
Warning in oraEnrichment(interestGeneList, referenceGeneList, geneSet, minNum =
minNum, : No significant gene set is identified based on FDR 0.05!
NULL
Warning: ggrepel: 4 unlabeled data points (too many overlaps). Consider
increasing max.overlaps

#number of genes in known annotations
print(length(known_annotations))
[1] 130
#number of genes in known annotations with imputed expression
print(sum(known_annotations %in% ctwas_gene_res$genename))
[1] 58
#significance threshold for TWAS
print(sig_thresh)
[1] 4.561
#number of ctwas genes
length(ctwas_genes)
[1] 7
#number of TWAS genes
length(twas_genes)
[1] 122
#show novel genes (ctwas genes with not in TWAS genes)
ctwas_gene_res[ctwas_gene_res$genename %in% novel_genes,report_cols]
[1] genename region_tag susie_pip mu2 PVE z num_eqtl
<0 rows> (or 0-length row.names)
#sensitivity / recall
print(sensitivity)
ctwas TWAS
0.02308 0.10000
#specificity
print(specificity)
ctwas TWAS
0.9996 0.9888
#precision / PPV
print(precision)
ctwas TWAS
0.4286 0.1066

#number of genes in known annotations (with imputed expression)
print(length(known_annotations))
[1] 58
#number of bystander genes (with imputed expression)
print(length(unrelated_genes))
[1] 666
#subset results to genes in known annotations or bystanders
ctwas_gene_res_subset <- ctwas_gene_res[ctwas_gene_res$genename %in% c(known_annotations, unrelated_genes),]
#assign ctwas and TWAS genes
ctwas_genes <- ctwas_gene_res_subset$genename[ctwas_gene_res_subset$susie_pip>0.8]
twas_genes <- ctwas_gene_res_subset$genename[abs(ctwas_gene_res_subset$z)>sig_thresh]
#significance threshold for TWAS
print(sig_thresh)
[1] 4.561
#number of ctwas genes (in known annotations or bystanders)
length(ctwas_genes)
[1] 3
#number of TWAS genes (in known annotations or bystanders)
length(twas_genes)
[1] 36
#sensitivity / recall
sensitivity
ctwas TWAS
0.05172 0.22414
#specificity / (1 - False Positive Rate)
specificity
ctwas TWAS
1.0000 0.9655
#precision / PPV / (1 - False Discovery Rate)
precision
ctwas TWAS
1.0000 0.3611


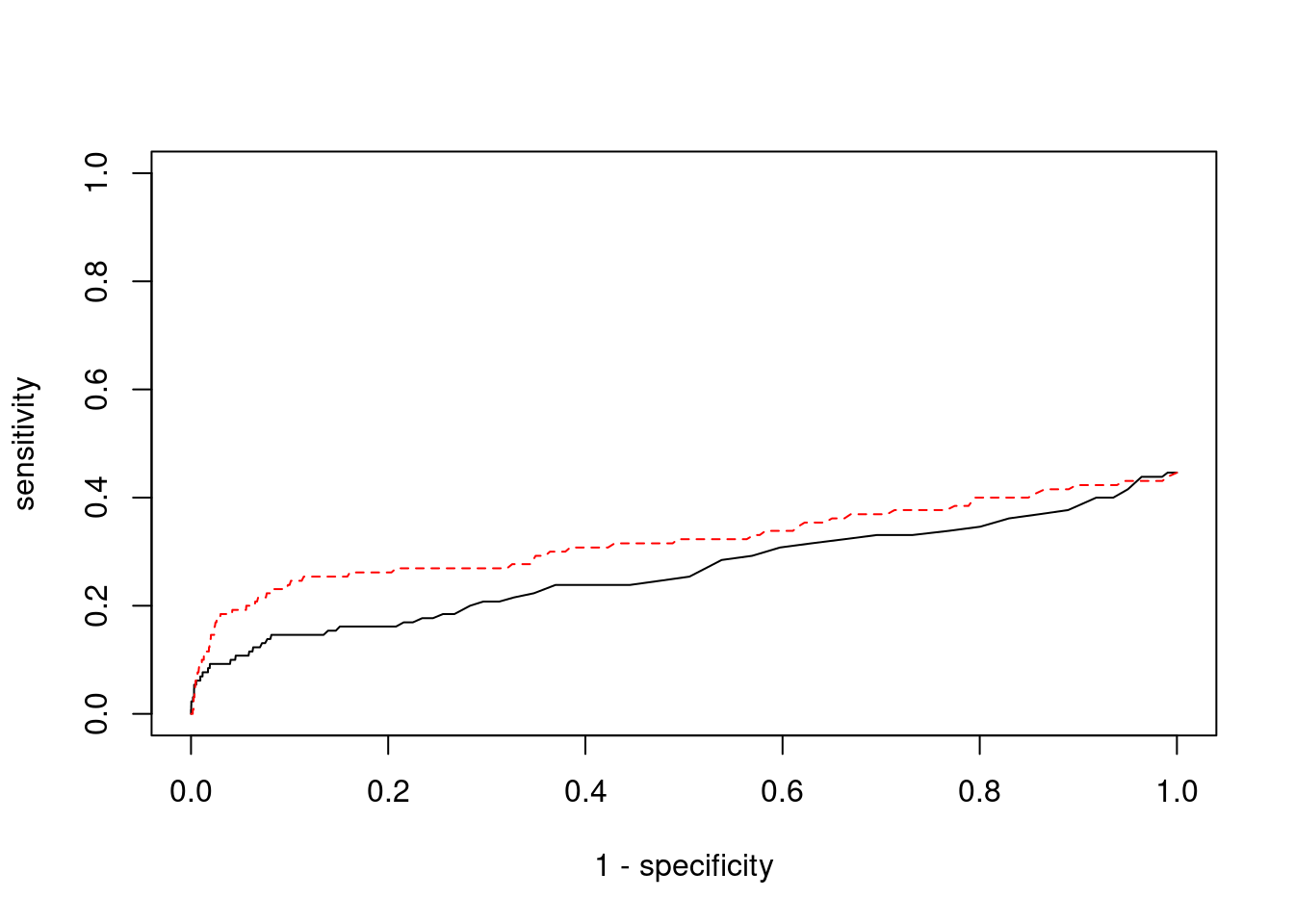
pip_range <- (0:1000)/1000
sensitivity <- rep(NA, length(pip_range))
specificity <- rep(NA, length(pip_range))
for (index in 1:length(pip_range)){
pip <- pip_range[index]
ctwas_genes <- ctwas_gene_res_subset$genename[ctwas_gene_res_subset$susie_pip>=pip]
sensitivity[index] <- sum(ctwas_genes %in% known_annotations)/length(known_annotations)
specificity[index] <- sum(!(unrelated_genes %in% ctwas_genes))/length(unrelated_genes)
}
plot(1-specificity, sensitivity, type="l", xlim=c(0,1), ylim=c(0,1), main="", xlab="1 - Specificity", ylab="Sensitivity")
title(expression("ROC Curve for cTWAS (black) and TWAS (" * phantom("red") * ")"))
title(expression(phantom("ROC Curve for cTWAS (black) and TWAS (") * "red" * phantom(")")), col.main="red")
sig_thresh_range <- seq(from=0, to=max(abs(ctwas_gene_res_subset$z)), length.out=length(pip_range))
for (index in 1:length(sig_thresh_range)){
sig_thresh_plot <- sig_thresh_range[index]
twas_genes <- ctwas_gene_res_subset$genename[abs(ctwas_gene_res_subset$z)>=sig_thresh_plot]
sensitivity[index] <- sum(twas_genes %in% known_annotations)/length(known_annotations)
specificity[index] <- sum(!(unrelated_genes %in% twas_genes))/length(unrelated_genes)
}
lines(1-specificity, sensitivity, xlim=c(0,1), ylim=c(0,1), col="red", lty=1)
abline(a=0,b=1,lty=3)
#add previously computed points from the analysis
ctwas_genes <- ctwas_gene_res_subset$genename[ctwas_gene_res_subset$susie_pip>0.8]
twas_genes <- ctwas_gene_res_subset$genename[abs(ctwas_gene_res_subset$z)>sig_thresh]
points(1-specificity_plot["ctwas"], sensitivity_plot["ctwas"], pch=21, bg="black")
points(1-specificity_plot["TWAS"], sensitivity_plot["TWAS"], pch=21, bg="red")

#table of outcomes for silver standard genes
-sort(-table(silver_standard_case))
silver_standard_case
Not Imputed Insignificant z-score Nearby SNP(s)
72 45 10
Detected (PIP > 0.8)
3
#show inconclusive genes
silver_standard_case[silver_standard_case=="Inconclusive"]
named character(0)

sessionInfo()
R version 3.6.1 (2019-07-05)
Platform: x86_64-pc-linux-gnu (64-bit)
Running under: Scientific Linux 7.4 (Nitrogen)
Matrix products: default
BLAS/LAPACK: /software/openblas-0.2.19-el7-x86_64/lib/libopenblas_haswellp-r0.2.19.so
locale:
[1] LC_CTYPE=en_US.UTF-8 LC_NUMERIC=C
[3] LC_TIME=en_US.UTF-8 LC_COLLATE=en_US.UTF-8
[5] LC_MONETARY=en_US.UTF-8 LC_MESSAGES=en_US.UTF-8
[7] LC_PAPER=en_US.UTF-8 LC_NAME=C
[9] LC_ADDRESS=C LC_TELEPHONE=C
[11] LC_MEASUREMENT=en_US.UTF-8 LC_IDENTIFICATION=C
attached base packages:
[1] parallel stats4 stats graphics grDevices utils datasets
[8] methods base
other attached packages:
[1] GenomicRanges_1.36.1 GenomeInfoDb_1.20.0 IRanges_2.18.1
[4] S4Vectors_0.22.1 BiocGenerics_0.30.0 biomaRt_2.40.1
[7] readxl_1.3.1 forcats_0.5.1 stringr_1.4.0
[10] dplyr_1.0.7 purrr_0.3.4 readr_2.1.1
[13] tidyr_1.1.4 tidyverse_1.3.1 tibble_3.1.6
[16] WebGestaltR_0.4.4 disgenet2r_0.99.2 enrichR_3.0
[19] cowplot_1.1.1 ggplot2_3.3.5 workflowr_1.7.0
loaded via a namespace (and not attached):
[1] ggbeeswarm_0.6.0 colorspace_2.0-2 rjson_0.2.20
[4] ellipsis_0.3.2 rprojroot_2.0.2 XVector_0.24.0
[7] fs_1.5.2 rstudioapi_0.13 farver_2.1.0
[10] ggrepel_0.9.1 bit64_4.0.5 AnnotationDbi_1.46.0
[13] fansi_1.0.2 lubridate_1.8.0 xml2_1.3.3
[16] codetools_0.2-16 doParallel_1.0.17 cachem_1.0.6
[19] knitr_1.36 jsonlite_1.7.2 apcluster_1.4.8
[22] Cairo_1.5-12.2 broom_0.7.10 dbplyr_2.1.1
[25] compiler_3.6.1 httr_1.4.2 backports_1.4.1
[28] assertthat_0.2.1 Matrix_1.2-18 fastmap_1.1.0
[31] cli_3.1.0 later_0.8.0 prettyunits_1.1.1
[34] htmltools_0.5.2 tools_3.6.1 igraph_1.2.10
[37] GenomeInfoDbData_1.2.1 gtable_0.3.0 glue_1.6.2
[40] reshape2_1.4.4 doRNG_1.8.2 Rcpp_1.0.8
[43] Biobase_2.44.0 cellranger_1.1.0 jquerylib_0.1.4
[46] vctrs_0.3.8 svglite_1.2.2 iterators_1.0.14
[49] xfun_0.29 ps_1.6.0 rvest_1.0.2
[52] lifecycle_1.0.1 rngtools_1.5.2 XML_3.99-0.3
[55] zlibbioc_1.30.0 getPass_0.2-2 scales_1.1.1
[58] vroom_1.5.7 hms_1.1.1 promises_1.0.1
[61] yaml_2.2.1 curl_4.3.2 memoise_2.0.1
[64] ggrastr_1.0.1 gdtools_0.1.9 stringi_1.7.6
[67] RSQLite_2.2.8 highr_0.9 foreach_1.5.2
[70] rlang_1.0.1 pkgconfig_2.0.3 bitops_1.0-7
[73] evaluate_0.14 lattice_0.20-38 labeling_0.4.2
[76] bit_4.0.4 processx_3.5.2 tidyselect_1.1.1
[79] plyr_1.8.6 magrittr_2.0.2 R6_2.5.1
[82] generics_0.1.1 DBI_1.1.2 pillar_1.6.4
[85] haven_2.4.3 whisker_0.3-2 withr_2.4.3
[88] RCurl_1.98-1.5 modelr_0.1.8 crayon_1.5.0
[91] utf8_1.2.2 tzdb_0.2.0 rmarkdown_2.11
[94] progress_1.2.2 grid_3.6.1 data.table_1.14.2
[97] blob_1.2.2 callr_3.7.0 git2r_0.26.1
[100] reprex_2.0.1 digest_0.6.29 httpuv_1.5.1
[103] munsell_0.5.0 beeswarm_0.2.3 vipor_0.4.5