Last updated: 2022-03-16

Checks: 5 2

Knit directory: cTWAS_analysis/

This reproducible R Markdown analysis was created with workflowr (version 1.7.0). The Checks tab describes the reproducibility checks that were applied when the results were created. The Past versions tab lists the development history.


The R Markdown is untracked by Git. To know which version of the R Markdown file created these results, you’ll want to first commit it to the Git repo. If you’re still working on the analysis, you can ignore this warning. When you’re finished, you can run wflow_publish to commit the R Markdown file and build the HTML.

Great job! The global environment was empty. Objects defined in the global environment can affect the analysis in your R Markdown file in unknown ways. For reproduciblity it’s best to always run the code in an empty environment.

The command set.seed(20211220) was run prior to running the code in the R Markdown file. Setting a seed ensures that any results that rely on randomness, e.g. subsampling or permutations, are reproducible.

Great job! Recording the operating system, R version, and package versions is critical for reproducibility.

Nice! There were no cached chunks for this analysis, so you can be confident that you successfully produced the results during this run.

Using absolute paths to the files within your workflowr project makes it difficult for you and others to run your code on a different machine. Change the absolute path(s) below to the suggested relative path(s) to make your code more reproducible.

absolute relative
/project2/xinhe/shengqian/cTWAS/cTWAS_analysis/data/ data
/project2/xinhe/shengqian/cTWAS/cTWAS_analysis/code/ctwas_config.R code/ctwas_config.R

Great! You are using Git for version control. Tracking code development and connecting the code version to the results is critical for reproducibility.

The results in this page were generated with repository version d57314b. See the Past versions tab to see a history of the changes made to the R Markdown and HTML files.

Note that you need to be careful to ensure that all relevant files for the analysis have been committed to Git prior to generating the results (you can use wflow_publish or wflow_git_commit). workflowr only checks the R Markdown file, but you know if there are other scripts or data files that it depends on. Below is the status of the Git repository when the results were generated:


Ignored files:
    Ignored:    .ipynb_checkpoints/
    Ignored:    data/AF/

Untracked files:
    Untracked:  Rplot.png
    Untracked:  analysis/.ipynb_checkpoints/
    Untracked:  analysis/SCZ_2020_Brain_Amygdala.Rmd
    Untracked:  analysis/SCZ_2020_Brain_Anterior_cingulate_cortex_BA24.Rmd
    Untracked:  analysis/SCZ_2020_Brain_Caudate_basal_ganglia.Rmd
    Untracked:  analysis/SCZ_2020_Brain_Cerebellar_Hemisphere.Rmd
    Untracked:  analysis/SCZ_2020_Brain_Cerebellum.Rmd
    Untracked:  analysis/SCZ_2020_Brain_Hippocampus.Rmd
    Untracked:  analysis/SCZ_2020_Brain_Nucleus_accumbens_basal_ganglia.Rmd
    Untracked:  analysis/SCZ_2020_Brain_Spinal_cord_cervical_c-1.Rmd
    Untracked:  analysis/SCZ_2020_Brain_Substantia_nigra.Rmd
    Untracked:  code/.ipynb_checkpoints/
    Untracked:  code/AF_out/
    Untracked:  code/Autism_out/
    Untracked:  code/BMI_S_out/
    Untracked:  code/BMI_out/
    Untracked:  code/Glucose_out/
    Untracked:  code/LDL_S_out/
    Untracked:  code/SCZ_2014_EUR_out/
    Untracked:  code/SCZ_2020_out/
    Untracked:  code/SCZ_S_out/
    Untracked:  code/SCZ_out/
    Untracked:  code/T2D_out/
    Untracked:  code/ctwas_config.R
    Untracked:  code/mapping.R
    Untracked:  code/out/
    Untracked:  code/run_AF_analysis.sbatch
    Untracked:  code/run_AF_analysis.sh
    Untracked:  code/run_AF_ctwas_rss_LDR.R
    Untracked:  code/run_Autism_analysis.sbatch
    Untracked:  code/run_Autism_analysis.sh
    Untracked:  code/run_Autism_ctwas_rss_LDR.R
    Untracked:  code/run_BMI_analysis.sbatch
    Untracked:  code/run_BMI_analysis.sh
    Untracked:  code/run_BMI_analysis_S.sbatch
    Untracked:  code/run_BMI_analysis_S.sh
    Untracked:  code/run_BMI_ctwas_rss_LDR.R
    Untracked:  code/run_BMI_ctwas_rss_LDR_S.R
    Untracked:  code/run_Glucose_analysis.sbatch
    Untracked:  code/run_Glucose_analysis.sh
    Untracked:  code/run_Glucose_ctwas_rss_LDR.R
    Untracked:  code/run_LDL_analysis_S.sbatch
    Untracked:  code/run_LDL_analysis_S.sh
    Untracked:  code/run_LDL_ctwas_rss_LDR_S.R
    Untracked:  code/run_SCZ_2014_EUR_analysis.sbatch
    Untracked:  code/run_SCZ_2014_EUR_analysis.sh
    Untracked:  code/run_SCZ_2014_EUR_ctwas_rss_LDR.R
    Untracked:  code/run_SCZ_2020_analysis.sbatch
    Untracked:  code/run_SCZ_2020_analysis.sh
    Untracked:  code/run_SCZ_2020_ctwas_rss_LDR.R
    Untracked:  code/run_SCZ_analysis.sbatch
    Untracked:  code/run_SCZ_analysis.sh
    Untracked:  code/run_SCZ_analysis_S.sbatch
    Untracked:  code/run_SCZ_analysis_S.sh
    Untracked:  code/run_SCZ_ctwas_rss_LDR.R
    Untracked:  code/run_SCZ_ctwas_rss_LDR_S.R
    Untracked:  code/run_T2D_analysis.sbatch
    Untracked:  code/run_T2D_analysis.sh
    Untracked:  code/run_T2D_ctwas_rss_LDR.R
    Untracked:  code/wflow_build.R
    Untracked:  code/wflow_build.sbatch
    Untracked:  data/.ipynb_checkpoints/
    Untracked:  data/BMI/
    Untracked:  data/PGC3_SCZ_wave3_public.v2.tsv
    Untracked:  data/SCZ/
    Untracked:  data/SCZ_2014_EUR/
    Untracked:  data/SCZ_2020/
    Untracked:  data/SCZ_S/
    Untracked:  data/T2D/
    Untracked:  data/UKBB/
    Untracked:  data/UKBB_SNPs_Info.text
    Untracked:  data/gene_OMIM.txt
    Untracked:  data/gene_pip_0.8.txt
    Untracked:  data/mashr_Heart_Atrial_Appendage.db
    Untracked:  data/mashr_sqtl/
    Untracked:  data/summary_known_genes_annotations.xlsx
    Untracked:  data/untitled.txt

Unstaged changes:
    Modified:   analysis/SCZ_2020_Brain_Cortex.Rmd
    Modified:   analysis/SCZ_2020_Brain_Frontal_Cortex_BA9.Rmd
    Modified:   analysis/SCZ_2020_Brain_Hypothalamus.Rmd
    Modified:   analysis/SCZ_2020_Brain_Putamen_basal_ganglia.Rmd

Note that any generated files, e.g. HTML, png, CSS, etc., are not included in this status report because it is ok for generated content to have uncommitted changes.


There are no past versions. Publish this analysis with wflow_publish() to start tracking its development.


Weight QC

#number of imputed weights
nrow(qclist_all)
[1] 10286
#number of imputed weights by chromosome
table(qclist_all$chr)

   1    2    3    4    5    6    7    8    9   10   11   12   13   14   15   16 
1006  733  594  399  509  598  475  371  400  392  626  587  221  325  335  447 
  17   18   19   20   21   22 
 599  161  817  312  117  262 
#number of imputed weights without missing variants
sum(qclist_all$nmiss==0)
[1] 8327
#proportion of imputed weights without missing variants
mean(qclist_all$nmiss==0)
[1] 0.8095

Check convergence of parameters

#estimated group prior
estimated_group_prior <- group_prior_rec[,ncol(group_prior_rec)]
names(estimated_group_prior) <- c("gene", "snp")
estimated_group_prior["snp"] <- estimated_group_prior["snp"]*thin #adjust parameter to account for thin argument
print(estimated_group_prior)
     gene       snp 
0.0154121 0.0002731 
#estimated group prior variance
estimated_group_prior_var <- group_prior_var_rec[,ncol(group_prior_var_rec)]
names(estimated_group_prior_var) <- c("gene", "snp")
print(estimated_group_prior_var)
 gene   snp 
15.33 12.45 
#report sample size
print(sample_size)
[1] 161405
#report group size
group_size <- c(nrow(ctwas_gene_res), n_snps)
print(group_size)
[1]   10286 7394310
#estimated group PVE
estimated_group_pve <- estimated_group_prior_var*estimated_group_prior*group_size/sample_size #check PVE calculation
names(estimated_group_pve) <- c("gene", "snp")
print(estimated_group_pve)
   gene     snp 
0.01505 0.15578 
#compare sum(PIP*mu2/sample_size) with above PVE calculation
c(sum(ctwas_gene_res$PVE),sum(ctwas_snp_res$PVE))
[1] 0.04957 0.79248

Genes with highest PIPs

        genename region_tag susie_pip    mu2       PVE      z num_eqtl
2362      B3GAT1      11_84    0.9924  37.59 0.0002311 -6.495        2
10169     ZNF823      19_10    0.9851  40.56 0.0002475  6.311        1
11222 AC012074.2       2_15    0.9837  30.89 0.0001883  5.474        2
5997      TMEM56       1_58    0.9321  31.82 0.0001838 -4.834        1
2451       TRPV4      12_66    0.9155  24.52 0.0001391  4.416        1
2135        TLE4       9_38    0.9110  26.81 0.0001513 -5.000        1
3264       SNX19      11_81    0.8837  35.54 0.0001946  6.046        3
10793     UBXN2B       8_45    0.8776  25.14 0.0001367 -4.429        2
4374       DAGLA      11_34    0.8749  21.89 0.0001186 -4.263        1
7247        PIGO       9_27    0.8659  24.34 0.0001306  4.667        1
1564        CD40      20_28    0.8547  22.95 0.0001215 -4.470        2
11179  HIST1H2BN       6_21    0.8455 184.26 0.0009652 13.182        1
10176      RPL12       9_66    0.8422  23.98 0.0001251  4.663        2
6535         ACE      17_37    0.8414  33.78 0.0001761 -5.802        1
5060       CPNE2      16_30    0.8396  21.17 0.0001101 -4.125        1
8947       TDRD6       6_35    0.7941  20.44 0.0001006  3.520        2
8675        LY6H       8_94    0.7935  28.77 0.0001415  5.143        1
5344        RIT1       1_76    0.7935  23.31 0.0001146 -4.023        1
6891      ANTXR2       4_54    0.7883  20.64 0.0001008  3.831        1
3212      BCL11A       2_40    0.7823  21.17 0.0001026 -4.103        1

Genes with largest effect sizes

       genename region_tag susie_pip    mu2       PVE       z num_eqtl
111    CACNA2D2       3_35 7.165e-01 347.96 1.545e-03 -0.1392        1
2756      HEMK1       3_35 3.617e-04 297.72 6.672e-07  0.4441        1
12501 LINC02019       3_35 1.176e-04 247.07 1.800e-07  0.3204        2
2757       CISH       3_35 7.702e-05 244.27 1.166e-07  0.1383        1
11179 HIST1H2BN       6_21 8.455e-01 184.26 9.652e-04 13.1822        1
7065     TEX264       3_35 9.295e-05 121.51 6.998e-08  1.8775        1
7061      CAMKV       3_35 3.879e-04 118.19 2.840e-07  1.7107        1
9573     BTN3A2       6_20 1.722e-02 112.82 1.203e-05  9.2080        3
7063      MST1R       3_35 1.137e-02 112.82 7.946e-06 -4.0250        1
36      ZMYND10       3_35 3.134e-03 111.88 2.172e-06 -1.0310        1
9746    SLC38A3       3_35 2.053e-02 109.15 1.388e-05 -2.7756        1
8984  HIST1H2BC       6_20 1.627e-02  86.78 8.746e-06 -7.9928        1
10465      MSH5       6_27 4.464e-01  85.35 2.361e-04 10.7311        1
10436   HLA-DMA       6_27 5.637e-01  85.16 2.974e-04 -9.4080        1
10468   ABHD16A       6_27 3.851e-01  85.03 2.029e-04 10.7104        1
11458       C4A       6_27 3.384e-02  79.73 1.672e-05 10.4180        1
192      SEMA3B       3_35 8.086e-03  78.31 3.923e-06  1.4494        2
437    MPHOSPH9      12_75 1.091e-01  75.83 5.126e-05  9.4596        1
7058     RNF123       3_35 9.276e-05  75.75 4.353e-08 -2.3252        1
5903      ABCB9      12_75 6.975e-04  65.88 2.847e-07  8.6382        1

Genes with highest PVE

        genename region_tag susie_pip    mu2       PVE       z num_eqtl
111     CACNA2D2       3_35    0.7165 347.96 0.0015447 -0.1392        1
11179  HIST1H2BN       6_21    0.8455 184.26 0.0009652 13.1822        1
10436    HLA-DMA       6_27    0.5637  85.16 0.0002974 -9.4080        1
10169     ZNF823      19_10    0.9851  40.56 0.0002475  6.3109        1
10465       MSH5       6_27    0.4464  85.35 0.0002361 10.7311        1
2362      B3GAT1      11_84    0.9924  37.59 0.0002311 -6.4953        2
10468    ABHD16A       6_27    0.3851  85.03 0.0002029 10.7104        1
7026        GNL3       3_36    0.5387  60.39 0.0002015  9.0984        2
3264       SNX19      11_81    0.8837  35.54 0.0001946  6.0459        3
8969      HARBI1      11_28    0.5259  59.61 0.0001942  8.0462        1
11222 AC012074.2       2_15    0.9837  30.89 0.0001883  5.4735        2
242        VSIG2      11_77    0.7263  41.40 0.0001863 -5.2191        1
5997      TMEM56       1_58    0.9321  31.82 0.0001838 -4.8337        1
6535         ACE      17_37    0.8414  33.78 0.0001761 -5.8021        1
5866       TAOK2      16_24    0.5441  51.21 0.0001726  7.4740        1
7515       PDIA3      15_16    0.6646  38.12 0.0001569  6.3137        1
2135        TLE4       9_38    0.9110  26.81 0.0001513 -4.9996        1
10458    SLC44A4       6_27    0.7186  33.90 0.0001509  6.8910        1
3591       CNOT1      16_31    0.7412  31.46 0.0001445  5.4349        1
8675        LY6H       8_94    0.7935  28.77 0.0001415  5.1432        1

Genes with largest z scores

       genename region_tag susie_pip    mu2       PVE      z num_eqtl
11179 HIST1H2BN       6_21 0.8454839 184.26 9.652e-04 13.182        1
10465      MSH5       6_27 0.4463900  85.35 2.361e-04 10.731        1
10468   ABHD16A       6_27 0.3851216  85.03 2.029e-04 10.710        1
11458       C4A       6_27 0.0338413  79.73 1.672e-05 10.418        1
5778      CNNM2      10_66 0.2323050  53.26 7.666e-05 -9.686        1
437    MPHOSPH9      12_75 0.1091160  75.83 5.126e-05  9.460        1
10436   HLA-DMA       6_27 0.5636670  85.16 2.974e-04 -9.408        1
10444      RNF5       6_27 0.0045866  62.10 1.765e-06  9.276        1
9573     BTN3A2       6_20 0.0172168 112.82 1.203e-05  9.208        3
10469    LY6G5C       6_27 0.0018383  56.61 6.447e-07  9.105        1
7026       GNL3       3_36 0.5386542  60.39 2.015e-04  9.098        2
10473      APOM       6_27 0.0012429  58.04 4.470e-07  8.655        2
5903      ABCB9      12_75 0.0006975  65.88 2.847e-07  8.638        1
7705      SMIM4       3_36 0.0275029  54.84 9.344e-06 -8.494        1
8969     HARBI1      11_28 0.5259293  59.61 1.942e-04  8.046        1
8984  HIST1H2BC       6_20 0.0162680  86.78 8.746e-06 -7.993        1
2406        MDK      11_28 0.1835682  57.12 6.497e-05 -7.898        1
2778       NEK4       3_36 0.0156524  46.67 4.526e-06  7.898        1
10617   DNAJC19      3_111 0.0396696  56.33 1.385e-05  7.788        1
10520     TCTN1      12_67 0.3150257  57.66 1.125e-04  7.586        1

Comparing z scores and PIPs

[1] 0.01361

GO enrichment analysis for genes with PIP>0.5

#number of genes for gene set enrichment
length(genes)
[1] 73
Uploading data to Enrichr... Done.
  Querying GO_Biological_Process_2021... Done.
  Querying GO_Cellular_Component_2021... Done.
  Querying GO_Molecular_Function_2021... Done.
Parsing results... Done.
[1] "GO_Biological_Process_2021"

[1] Term             Overlap          Adjusted.P.value Genes           
<0 rows> (or 0-length row.names)
[1] "GO_Cellular_Component_2021"

[1] Term             Overlap          Adjusted.P.value Genes           
<0 rows> (or 0-length row.names)
[1] "GO_Molecular_Function_2021"

                                                                          Term
1 calcium-dependent protein serine/threonine phosphatase activity (GO:0004723)
2                 mitogen-activated protein kinase kinase binding (GO:0031434)
  Overlap Adjusted.P.value         Genes
1     2/7          0.02013 PPP3R1;PPP3CC
2     2/8          0.02013     ACE;TAOK2

DisGeNET enrichment analysis for genes with PIP>0.5

                                      Description     FDR Ratio BgRatio
30                                      Confusion 0.02608  1/31  1/9703
38                             Dementia, Vascular 0.02608  1/31  1/9703
53                           Gingival Hypertrophy 0.02608  1/31  1/9703
68                    Infant, Premature, Diseases 0.02608  1/31  1/9703
104                              Pneumonia, Viral 0.02608  1/31  1/9703
133                  Left Ventricular Hypertrophy 0.02608  2/31 25/9703
155                             Speech impairment 0.02608  1/31  1/9703
156                                 Derealization 0.02608  1/31  1/9703
169 Spondylometaphyseal dysplasia, Kozlowski type 0.02608  1/31  1/9703
170                           Metatropic dwarfism 0.02608  1/31  1/9703

WebGestalt enrichment analysis for genes with PIP>0.5

Loading the functional categories...
Loading the ID list...
Loading the reference list...
Performing the enrichment analysis...
Warning in oraEnrichment(interestGeneList, referenceGeneList, geneSet, minNum =
minNum, : No significant gene set is identified based on FDR 0.05!
NULL

PIP Manhattan Plot

Warning: 'timedatectl' indicates the non-existent timezone name 'n/a'
Warning: Your system is mis-configured: '/etc/localtime' is not a symlink
Warning: It is strongly recommended to set envionment variable TZ to 'America/
Chicago' (or equivalent)
Warning: ggrepel: 28 unlabeled data points (too many overlaps). Consider
increasing max.overlaps

Sensitivity, specificity and precision for silver standard genes

#number of genes in known annotations
print(length(known_annotations))
[1] 130
#number of genes in known annotations with imputed expression
print(sum(known_annotations %in% ctwas_gene_res$genename))
[1] 51
#significance threshold for TWAS
print(sig_thresh)
[1] 4.571
#number of ctwas genes
length(ctwas_genes)
[1] 15
#number of TWAS genes
length(twas_genes)
[1] 140
#show novel genes (ctwas genes with not in TWAS genes)
ctwas_gene_res[ctwas_gene_res$genename %in% novel_genes,report_cols]
      genename region_tag susie_pip   mu2       PVE      z num_eqtl
10793   UBXN2B       8_45    0.8776 25.14 0.0001367 -4.429        2
4374     DAGLA      11_34    0.8749 21.89 0.0001186 -4.263        1
2451     TRPV4      12_66    0.9155 24.52 0.0001391  4.416        1
5060     CPNE2      16_30    0.8396 21.17 0.0001101 -4.125        1
1564      CD40      20_28    0.8547 22.95 0.0001215 -4.470        2
#sensitivity / recall
print(sensitivity)
  ctwas    TWAS 
0.01538 0.12308 
#specificity
print(specificity)
 ctwas   TWAS 
0.9987 0.9879 
#precision / PPV
print(precision)
 ctwas   TWAS 
0.1333 0.1143 

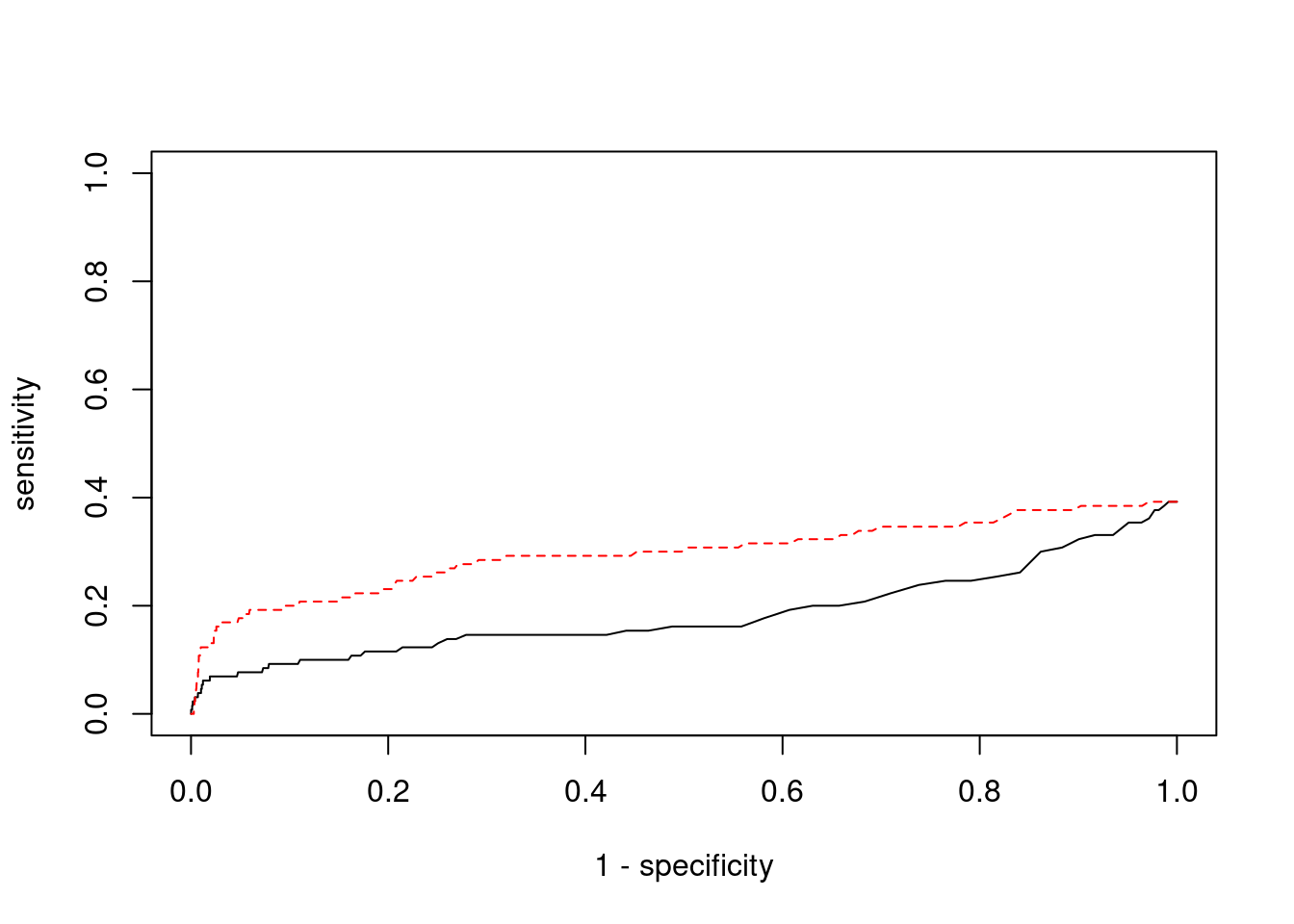
cTWAS is more precise than TWAS in distinguishing silver standard and bystander genes

#number of genes in known annotations (with imputed expression)
print(length(known_annotations))
[1] 51
#number of bystander genes (with imputed expression)
print(length(unrelated_genes))
[1] 610
#subset results to genes in known annotations or bystanders
ctwas_gene_res_subset <- ctwas_gene_res[ctwas_gene_res$genename %in% c(known_annotations, unrelated_genes),]

#assign ctwas and TWAS genes
ctwas_genes <- ctwas_gene_res_subset$genename[ctwas_gene_res_subset$susie_pip>0.8]
twas_genes <- ctwas_gene_res_subset$genename[abs(ctwas_gene_res_subset$z)>sig_thresh]

#significance threshold for TWAS
print(sig_thresh)
[1] 4.571
#number of ctwas genes (in known annotations or bystanders)
length(ctwas_genes)
[1] 2
#number of TWAS genes (in known annotations or bystanders)
length(twas_genes)
[1] 40
#sensitivity / recall
sensitivity
  ctwas    TWAS 
0.03922 0.31373 
#specificity / (1 - False Positive Rate)
specificity
 ctwas   TWAS 
1.0000 0.9607 
#precision / PPV / (1 - False Discovery Rate)
precision
ctwas  TWAS 
  1.0   0.4 

pip_range <- (0:1000)/1000
sensitivity <- rep(NA, length(pip_range))
specificity <- rep(NA, length(pip_range))

for (index in 1:length(pip_range)){
  pip <- pip_range[index]
  ctwas_genes <- ctwas_gene_res_subset$genename[ctwas_gene_res_subset$susie_pip>=pip]
  sensitivity[index] <- sum(ctwas_genes %in% known_annotations)/length(known_annotations)
  specificity[index] <- sum(!(unrelated_genes %in% ctwas_genes))/length(unrelated_genes)
}

plot(1-specificity, sensitivity, type="l", xlim=c(0,1), ylim=c(0,1), main="", xlab="1 - Specificity", ylab="Sensitivity")
title(expression("ROC Curve for cTWAS (black) and TWAS (" * phantom("red") * ")"))
title(expression(phantom("ROC Curve for cTWAS (black) and TWAS (") * "red" * phantom(")")), col.main="red")

sig_thresh_range <- seq(from=0, to=max(abs(ctwas_gene_res_subset$z)), length.out=length(pip_range))

for (index in 1:length(sig_thresh_range)){
  sig_thresh_plot <- sig_thresh_range[index]
  twas_genes <- ctwas_gene_res_subset$genename[abs(ctwas_gene_res_subset$z)>=sig_thresh_plot]
  sensitivity[index] <- sum(twas_genes %in% known_annotations)/length(known_annotations)
  specificity[index] <- sum(!(unrelated_genes %in% twas_genes))/length(unrelated_genes)
}

lines(1-specificity, sensitivity, xlim=c(0,1), ylim=c(0,1), col="red", lty=1)

abline(a=0,b=1,lty=3)

#add previously computed points from the analysis
ctwas_genes <- ctwas_gene_res_subset$genename[ctwas_gene_res_subset$susie_pip>0.8]
twas_genes <- ctwas_gene_res_subset$genename[abs(ctwas_gene_res_subset$z)>sig_thresh]

points(1-specificity_plot["ctwas"], sensitivity_plot["ctwas"], pch=21, bg="black")
points(1-specificity_plot["TWAS"], sensitivity_plot["TWAS"], pch=21, bg="red")

Undetected silver standard genes have low TWAS z-scores or stronger signal from nearby variants

#table of outcomes for silver standard genes
-sort(-table(silver_standard_case))
silver_standard_case
          Not Imputed Insignificant z-score         Nearby SNP(s) 
                   79                    35                    14 
 Detected (PIP > 0.8) 
                    2 
#show inconclusive genes
silver_standard_case[silver_standard_case=="Inconclusive"]
named character(0)


sessionInfo()
R version 3.6.1 (2019-07-05)
Platform: x86_64-pc-linux-gnu (64-bit)
Running under: Scientific Linux 7.4 (Nitrogen)

Matrix products: default
BLAS/LAPACK: /software/openblas-0.2.19-el7-x86_64/lib/libopenblas_haswellp-r0.2.19.so

locale:
 [1] LC_CTYPE=en_US.UTF-8       LC_NUMERIC=C              
 [3] LC_TIME=en_US.UTF-8        LC_COLLATE=en_US.UTF-8    
 [5] LC_MONETARY=en_US.UTF-8    LC_MESSAGES=en_US.UTF-8   
 [7] LC_PAPER=en_US.UTF-8       LC_NAME=C                 
 [9] LC_ADDRESS=C               LC_TELEPHONE=C            
[11] LC_MEASUREMENT=en_US.UTF-8 LC_IDENTIFICATION=C       

attached base packages:
[1] parallel  stats4    stats     graphics  grDevices utils     datasets 
[8] methods   base     

other attached packages:
 [1] GenomicRanges_1.36.1 GenomeInfoDb_1.20.0  IRanges_2.18.1      
 [4] S4Vectors_0.22.1     BiocGenerics_0.30.0  biomaRt_2.40.1      
 [7] readxl_1.3.1         forcats_0.5.1        stringr_1.4.0       
[10] dplyr_1.0.7          purrr_0.3.4          readr_2.1.1         
[13] tidyr_1.1.4          tidyverse_1.3.1      tibble_3.1.6        
[16] WebGestaltR_0.4.4    disgenet2r_0.99.2    enrichR_3.0         
[19] cowplot_1.1.1        ggplot2_3.3.5        workflowr_1.7.0     

loaded via a namespace (and not attached):
  [1] ggbeeswarm_0.6.0       colorspace_2.0-2       rjson_0.2.20          
  [4] ellipsis_0.3.2         rprojroot_2.0.2        XVector_0.24.0        
  [7] fs_1.5.2               rstudioapi_0.13        farver_2.1.0          
 [10] ggrepel_0.9.1          bit64_4.0.5            AnnotationDbi_1.46.0  
 [13] fansi_1.0.2            lubridate_1.8.0        xml2_1.3.3            
 [16] codetools_0.2-16       doParallel_1.0.17      cachem_1.0.6          
 [19] knitr_1.36             jsonlite_1.7.2         apcluster_1.4.8       
 [22] Cairo_1.5-12.2         broom_0.7.10           dbplyr_2.1.1          
 [25] compiler_3.6.1         httr_1.4.2             backports_1.4.1       
 [28] assertthat_0.2.1       Matrix_1.2-18          fastmap_1.1.0         
 [31] cli_3.1.0              later_0.8.0            prettyunits_1.1.1     
 [34] htmltools_0.5.2        tools_3.6.1            igraph_1.2.10         
 [37] GenomeInfoDbData_1.2.1 gtable_0.3.0           glue_1.6.2            
 [40] reshape2_1.4.4         doRNG_1.8.2            Rcpp_1.0.8            
 [43] Biobase_2.44.0         cellranger_1.1.0       jquerylib_0.1.4       
 [46] vctrs_0.3.8            svglite_1.2.2          iterators_1.0.14      
 [49] xfun_0.29              ps_1.6.0               rvest_1.0.2           
 [52] lifecycle_1.0.1        rngtools_1.5.2         XML_3.99-0.3          
 [55] zlibbioc_1.30.0        getPass_0.2-2          scales_1.1.1          
 [58] vroom_1.5.7            hms_1.1.1              promises_1.0.1        
 [61] yaml_2.2.1             curl_4.3.2             memoise_2.0.1         
 [64] ggrastr_1.0.1          gdtools_0.1.9          stringi_1.7.6         
 [67] RSQLite_2.2.8          highr_0.9              foreach_1.5.2         
 [70] rlang_1.0.1            pkgconfig_2.0.3        bitops_1.0-7          
 [73] evaluate_0.14          lattice_0.20-38        labeling_0.4.2        
 [76] bit_4.0.4              processx_3.5.2         tidyselect_1.1.1      
 [79] plyr_1.8.6             magrittr_2.0.2         R6_2.5.1              
 [82] generics_0.1.1         DBI_1.1.2              pillar_1.6.4          
 [85] haven_2.4.3            whisker_0.3-2          withr_2.4.3           
 [88] RCurl_1.98-1.5         modelr_0.1.8           crayon_1.5.0          
 [91] utf8_1.2.2             tzdb_0.2.0             rmarkdown_2.11        
 [94] progress_1.2.2         grid_3.6.1             data.table_1.14.2     
 [97] blob_1.2.2             callr_3.7.0            git2r_0.26.1          
[100] reprex_2.0.1           digest_0.6.29          httpuv_1.5.1          
[103] munsell_0.5.0          beeswarm_0.2.3         vipor_0.4.5