Last updated: 2022-03-16
Checks: 5 2
Knit directory: cTWAS_analysis/
This reproducible R Markdown analysis was created with workflowr (version 1.7.0). The Checks tab describes the reproducibility checks that were applied when the results were created. The Past versions tab lists the development history.
The R Markdown file has unstaged changes. To know which version of the R Markdown file created these results, you’ll want to first commit it to the Git repo. If you’re still working on the analysis, you can ignore this warning. When you’re finished, you can run wflow_publish to commit the R Markdown file and build the HTML.
Great job! The global environment was empty. Objects defined in the global environment can affect the analysis in your R Markdown file in unknown ways. For reproduciblity it’s best to always run the code in an empty environment.
The command set.seed(20211220) was run prior to running the code in the R Markdown file. Setting a seed ensures that any results that rely on randomness, e.g. subsampling or permutations, are reproducible.
Great job! Recording the operating system, R version, and package versions is critical for reproducibility.
Nice! There were no cached chunks for this analysis, so you can be confident that you successfully produced the results during this run.
Using absolute paths to the files within your workflowr project makes it difficult for you and others to run your code on a different machine. Change the absolute path(s) below to the suggested relative path(s) to make your code more reproducible.
| absolute | relative |
|---|---|
| /project2/xinhe/shengqian/cTWAS/cTWAS_analysis/data/ | data |
| /project2/xinhe/shengqian/cTWAS/cTWAS_analysis/code/ctwas_config.R | code/ctwas_config.R |
Great! You are using Git for version control. Tracking code development and connecting the code version to the results is critical for reproducibility.
The results in this page were generated with repository version d57314b. See the Past versions tab to see a history of the changes made to the R Markdown and HTML files.
Note that you need to be careful to ensure that all relevant files for the analysis have been committed to Git prior to generating the results (you can use wflow_publish or wflow_git_commit). workflowr only checks the R Markdown file, but you know if there are other scripts or data files that it depends on. Below is the status of the Git repository when the results were generated:
Ignored files:
Ignored: .ipynb_checkpoints/
Ignored: data/AF/
Untracked files:
Untracked: Rplot.png
Untracked: analysis/.ipynb_checkpoints/
Untracked: analysis/SCZ_2020_Brain_Amygdala.Rmd
Untracked: analysis/SCZ_2020_Brain_Anterior_cingulate_cortex_BA24.Rmd
Untracked: analysis/SCZ_2020_Brain_Caudate_basal_ganglia.Rmd
Untracked: analysis/SCZ_2020_Brain_Cerebellar_Hemisphere.Rmd
Untracked: analysis/SCZ_2020_Brain_Cerebellum.Rmd
Untracked: analysis/SCZ_2020_Brain_Hippocampus.Rmd
Untracked: analysis/SCZ_2020_Brain_Nucleus_accumbens_basal_ganglia.Rmd
Untracked: analysis/SCZ_2020_Brain_Spinal_cord_cervical_c-1.Rmd
Untracked: analysis/SCZ_2020_Brain_Substantia_nigra.Rmd
Untracked: code/.ipynb_checkpoints/
Untracked: code/AF_out/
Untracked: code/Autism_out/
Untracked: code/BMI_S_out/
Untracked: code/BMI_out/
Untracked: code/Glucose_out/
Untracked: code/LDL_S_out/
Untracked: code/SCZ_2014_EUR_out/
Untracked: code/SCZ_2020_out/
Untracked: code/SCZ_S_out/
Untracked: code/SCZ_out/
Untracked: code/T2D_out/
Untracked: code/ctwas_config.R
Untracked: code/mapping.R
Untracked: code/out/
Untracked: code/run_AF_analysis.sbatch
Untracked: code/run_AF_analysis.sh
Untracked: code/run_AF_ctwas_rss_LDR.R
Untracked: code/run_Autism_analysis.sbatch
Untracked: code/run_Autism_analysis.sh
Untracked: code/run_Autism_ctwas_rss_LDR.R
Untracked: code/run_BMI_analysis.sbatch
Untracked: code/run_BMI_analysis.sh
Untracked: code/run_BMI_analysis_S.sbatch
Untracked: code/run_BMI_analysis_S.sh
Untracked: code/run_BMI_ctwas_rss_LDR.R
Untracked: code/run_BMI_ctwas_rss_LDR_S.R
Untracked: code/run_Glucose_analysis.sbatch
Untracked: code/run_Glucose_analysis.sh
Untracked: code/run_Glucose_ctwas_rss_LDR.R
Untracked: code/run_LDL_analysis_S.sbatch
Untracked: code/run_LDL_analysis_S.sh
Untracked: code/run_LDL_ctwas_rss_LDR_S.R
Untracked: code/run_SCZ_2014_EUR_analysis.sbatch
Untracked: code/run_SCZ_2014_EUR_analysis.sh
Untracked: code/run_SCZ_2014_EUR_ctwas_rss_LDR.R
Untracked: code/run_SCZ_2020_analysis.sbatch
Untracked: code/run_SCZ_2020_analysis.sh
Untracked: code/run_SCZ_2020_ctwas_rss_LDR.R
Untracked: code/run_SCZ_analysis.sbatch
Untracked: code/run_SCZ_analysis.sh
Untracked: code/run_SCZ_analysis_S.sbatch
Untracked: code/run_SCZ_analysis_S.sh
Untracked: code/run_SCZ_ctwas_rss_LDR.R
Untracked: code/run_SCZ_ctwas_rss_LDR_S.R
Untracked: code/run_T2D_analysis.sbatch
Untracked: code/run_T2D_analysis.sh
Untracked: code/run_T2D_ctwas_rss_LDR.R
Untracked: code/wflow_build.R
Untracked: code/wflow_build.sbatch
Untracked: data/.ipynb_checkpoints/
Untracked: data/BMI/
Untracked: data/PGC3_SCZ_wave3_public.v2.tsv
Untracked: data/SCZ/
Untracked: data/SCZ_2014_EUR/
Untracked: data/SCZ_2020/
Untracked: data/SCZ_S/
Untracked: data/T2D/
Untracked: data/UKBB/
Untracked: data/UKBB_SNPs_Info.text
Untracked: data/gene_OMIM.txt
Untracked: data/gene_pip_0.8.txt
Untracked: data/mashr_Heart_Atrial_Appendage.db
Untracked: data/mashr_sqtl/
Untracked: data/summary_known_genes_annotations.xlsx
Untracked: data/untitled.txt
Unstaged changes:
Modified: analysis/SCZ_2020_Brain_Cortex.Rmd
Modified: analysis/SCZ_2020_Brain_Frontal_Cortex_BA9.Rmd
Modified: analysis/SCZ_2020_Brain_Hypothalamus.Rmd
Modified: analysis/SCZ_2020_Brain_Putamen_basal_ganglia.Rmd
Note that any generated files, e.g. HTML, png, CSS, etc., are not included in this status report because it is ok for generated content to have uncommitted changes.
These are the previous versions of the repository in which changes were made to the R Markdown (analysis/SCZ_2020_Brain_Frontal_Cortex_BA9.Rmd) and HTML (docs/SCZ_2020_Brain_Frontal_Cortex_BA9.html) files. If you’ve configured a remote Git repository (see ?wflow_git_remote), click on the hyperlinks in the table below to view the files as they were in that past version.
| File | Version | Author | Date | Message |
|---|---|---|---|---|
| Rmd | d57314b | sq-96 | 2022-03-15 | update |
#number of imputed weights
nrow(qclist_all)
[1] 11487
#number of imputed weights by chromosome
table(qclist_all$chr)
1 2 3 4 5 6 7 8 9 10 11 12 13 14 15 16
1143 827 640 455 564 662 528 440 416 456 688 662 233 369 364 509
17 18 19 20 21 22
714 177 888 351 119 282
#number of imputed weights without missing variants
sum(qclist_all$nmiss==0)
[1] 8942
#proportion of imputed weights without missing variants
mean(qclist_all$nmiss==0)
[1] 0.7784

#estimated group prior
estimated_group_prior <- group_prior_rec[,ncol(group_prior_rec)]
names(estimated_group_prior) <- c("gene", "snp")
estimated_group_prior["snp"] <- estimated_group_prior["snp"]*thin #adjust parameter to account for thin argument
print(estimated_group_prior)
gene snp
0.0121752 0.0002716
#estimated group prior variance
estimated_group_prior_var <- group_prior_var_rec[,ncol(group_prior_var_rec)]
names(estimated_group_prior_var) <- c("gene", "snp")
print(estimated_group_prior_var)
gene snp
12.33 12.74
#report sample size
print(sample_size)
[1] 161405
#report group size
group_size <- c(nrow(ctwas_gene_res), n_snps)
print(group_size)
[1] 11487 7394310
#estimated group PVE
estimated_group_pve <- estimated_group_prior_var*estimated_group_prior*group_size/sample_size #check PVE calculation
names(estimated_group_pve) <- c("gene", "snp")
print(estimated_group_pve)
gene snp
0.01068 0.15849
#compare sum(PIP*mu2/sample_size) with above PVE calculation
c(sum(ctwas_gene_res$PVE),sum(ctwas_snp_res$PVE))
[1] 0.0462 0.7877

genename region_tag susie_pip mu2 PVE z num_eqtl
6998 SPPL3 12_74 0.9908 33.74 0.0002071 -5.619 2
11134 ZNF823 19_10 0.9797 39.84 0.0002418 6.327 2
12304 AC012074.2 2_15 0.9776 30.12 0.0001825 5.469 1
3208 EDEM3 1_92 0.9711 25.38 0.0001527 4.872 1
9166 NUDT4 12_55 0.9623 22.56 0.0001345 4.414 2
102 FARP2 2_144 0.8985 21.98 0.0001223 4.313 2
2339 TLE4 9_38 0.8824 26.23 0.0001434 5.000 1
748 ATP1B3 3_87 0.8658 20.62 0.0001106 4.085 1
6226 FAM135B 8_91 0.8469 21.98 0.0001153 -3.461 1
7151 ACE 17_37 0.8439 33.42 0.0001748 -5.876 1
4784 DAGLA 11_34 0.8277 22.12 0.0001134 -4.263 1
3070 APC2 19_2 0.8066 22.33 0.0001116 4.311 2
11141 RPL12 9_66 0.7937 23.99 0.0001180 4.670 2
13758 ZNHIT3 17_22 0.7836 21.81 0.0001059 -4.203 1
1952 CCP110 16_18 0.7706 24.39 0.0001165 4.730 2
8310 CACNB3 12_31 0.7643 21.32 0.0001010 -3.683 1
3422 DNAH7 2_116 0.7525 25.44 0.0001186 -4.800 2
12022 LINC00606 3_8 0.7507 22.77 0.0001059 -4.150 1
6407 TAOK2 16_24 0.7450 52.84 0.0002439 7.709 1
10207 NIPSNAP1 22_10 0.7384 23.46 0.0001073 -4.301 2

genename region_tag susie_pip mu2 PVE z num_eqtl
128 CACNA2D2 3_35 0.0764456 322.90 1.529e-04 -0.10441 1
13732 LINC02019 3_35 0.0017445 246.52 2.664e-06 0.32997 2
3010 CISH 3_35 0.0008057 225.24 1.124e-06 -0.88335 1
3009 HEMK1 3_35 0.0022606 224.51 3.144e-06 0.03805 2
7738 TEX264 3_35 0.0009884 135.00 8.268e-07 0.31065 1
41 RBM6 3_35 0.3741380 119.43 2.768e-04 4.46875 1
7734 CAMKV 3_35 0.0013723 116.46 9.902e-07 -1.90637 2
6013 MANF 3_35 0.0013894 116.29 1.001e-06 1.92721 2
31 RBM5 3_35 0.0122903 115.64 8.805e-06 3.98715 1
10678 SLC38A3 3_35 0.0041360 114.93 2.945e-06 -2.77559 1
9 SEMA3F 3_35 0.0012387 113.30 8.696e-07 -1.43795 1
10493 BTN3A2 6_20 0.0181230 106.76 1.199e-05 8.96309 2
11728 CLIC1 6_26 0.4544257 86.12 2.425e-04 10.73117 2
11472 APOM 6_26 0.2295257 84.42 1.200e-04 10.64842 1
12191 CYP21A2 6_26 0.0304036 81.32 1.532e-05 -10.41430 1
7732 RNF123 3_35 0.0008016 76.93 3.821e-07 -2.32524 1
12511 HLA-DMB 6_27 0.3945005 76.02 1.858e-04 -9.45281 1
11432 HLA-DMA 6_27 0.2991237 74.92 1.388e-04 -9.40800 1
1619 ZC3H7B 22_17 0.4552820 69.97 1.974e-04 5.69824 3
8443 GLYCTK 3_36 0.1574453 69.16 6.746e-05 8.57710 1
genename region_tag susie_pip mu2 PVE z num_eqtl
41 RBM6 3_35 0.37414 119.43 0.0002768 4.4688 1
6407 TAOK2 16_24 0.74500 52.84 0.0002439 7.7085 1
11728 CLIC1 6_26 0.45443 86.12 0.0002425 10.7312 2
11134 ZNF823 19_10 0.97969 39.84 0.0002418 6.3271 2
6998 SPPL3 12_74 0.99076 33.74 0.0002071 -5.6193 2
1619 ZC3H7B 22_17 0.45528 69.97 0.0001974 5.6982 3
12511 HLA-DMB 6_27 0.39450 76.02 0.0001858 -9.4528 1
12304 AC012074.2 2_15 0.97763 30.12 0.0001825 5.4694 1
7701 GNL3 3_36 0.49612 59.17 0.0001819 9.1601 2
9343 ATG13 11_28 0.49614 58.02 0.0001783 -8.0462 1
7151 ACE 17_37 0.84391 33.42 0.0001748 -5.8759 1
11089 NMB 15_39 0.58304 47.89 0.0001730 7.1213 1
8856 TRIM8 10_66 0.72841 35.81 0.0001616 4.3592 1
128 CACNA2D2 3_35 0.07645 322.90 0.0001529 -0.1044 1
3208 EDEM3 1_92 0.97108 25.38 0.0001527 4.8719 1
9133 MAP3K11 11_36 0.73729 33.27 0.0001520 -5.5697 1
2339 TLE4 9_38 0.88240 26.23 0.0001434 4.9996 1
11432 HLA-DMA 6_27 0.29912 74.92 0.0001388 -9.4080 1
9166 NUDT4 12_55 0.96231 22.56 0.0001345 4.4143 2
9024 FUT9 6_65 0.63271 32.07 0.0001257 5.4464 1
genename region_tag susie_pip mu2 PVE z num_eqtl
11728 CLIC1 6_26 0.4544257 86.12 2.425e-04 10.731 2
11472 APOM 6_26 0.2295257 84.42 1.200e-04 10.648 1
6317 CNNM2 10_66 0.1885577 59.98 7.007e-05 -10.547 2
12191 CYP21A2 6_26 0.0304036 81.32 1.532e-05 -10.414 1
12571 C4A 6_26 0.0046471 65.91 1.898e-06 9.556 3
12511 HLA-DMB 6_27 0.3945005 76.02 1.858e-04 -9.453 1
11432 HLA-DMA 6_27 0.2991237 74.92 1.388e-04 -9.408 1
11443 RNF5 6_26 0.0161885 61.00 6.119e-06 9.267 1
11464 MSH5 6_26 0.0047411 64.72 1.901e-06 9.175 2
7701 GNL3 3_36 0.4961202 59.17 1.819e-04 9.160 2
10493 BTN3A2 6_20 0.0181230 106.76 1.199e-05 8.963 2
7702 PBRM1 3_36 0.0340485 55.19 1.164e-05 -8.872 2
6452 ABCB9 12_75 0.0006287 62.65 2.440e-07 8.638 1
9986 ARL6IP4 12_75 0.0005836 62.24 2.250e-07 8.615 1
8443 GLYCTK 3_36 0.1574453 69.16 6.746e-05 8.577 1
8447 SMIM4 3_36 0.0229830 52.27 7.443e-06 -8.494 1
2871 PRSS16 6_21 0.0176785 64.17 7.029e-06 -8.051 1
9343 ATG13 11_28 0.4961378 58.02 1.783e-04 -8.046 1
3030 NEK4 3_36 0.0124993 43.20 3.346e-06 7.846 1
3029 SPCS1 3_36 0.0149155 43.48 4.018e-06 -7.834 1


[1] 0.01689
#number of genes for gene set enrichment
length(genes)
[1] 58
Uploading data to Enrichr... Done.
Querying GO_Biological_Process_2021... Done.
Querying GO_Cellular_Component_2021... Done.
Querying GO_Molecular_Function_2021... Done.
Parsing results... Done.
[1] "GO_Biological_Process_2021"

Term Overlap Adjusted.P.value Genes
1 fucose catabolic process (GO:0019317) 2/9 0.04131 FUT9;FUT2
2 L-fucose catabolic process (GO:0042355) 2/9 0.04131 FUT9;FUT2
3 L-fucose metabolic process (GO:0042354) 2/9 0.04131 FUT9;FUT2
[1] "GO_Cellular_Component_2021"

[1] Term Overlap Adjusted.P.value Genes
<0 rows> (or 0-length row.names)
[1] "GO_Molecular_Function_2021"

Term Overlap
1 mitogen-activated protein kinase kinase binding (GO:0031434) 2/8
2 fucosyltransferase activity (GO:0008417) 2/12
Adjusted.P.value Genes
1 0.02266 ACE;TAOK2
2 0.02650 FUT9;FUT2
Description
39 Gingival Hypertrophy
49 Infant, Premature, Diseases
74 Pneumonia, Viral
98 Caliciviridae Infections
110 Infections, Calicivirus
133 Symmetrical dyschromatosis of extremities
169 Severe Acute Respiratory Syndrome
180 Deafness, Autosomal Recessive 22
193 VITAMIN B12 PLASMA LEVEL QUANTITATIVE TRAIT LOCUS 1
194 MICROVASCULAR COMPLICATIONS OF DIABETES, SUSCEPTIBILITY TO, 3 (finding)
FDR Ratio BgRatio
39 0.03793 1/23 1/9703
49 0.03793 1/23 1/9703
74 0.03793 1/23 1/9703
98 0.03793 1/23 1/9703
110 0.03793 1/23 1/9703
133 0.03793 1/23 1/9703
169 0.03793 1/23 1/9703
180 0.03793 1/23 1/9703
193 0.03793 1/23 1/9703
194 0.03793 1/23 1/9703
Loading the functional categories...
Loading the ID list...
Loading the reference list...
Performing the enrichment analysis...
Warning in oraEnrichment(interestGeneList, referenceGeneList, geneSet, minNum =
minNum, : No significant gene set is identified based on FDR 0.05!
NULL
Warning: ggrepel: 16 unlabeled data points (too many overlaps). Consider
increasing max.overlaps

#number of genes in known annotations
print(length(known_annotations))
[1] 130
#number of genes in known annotations with imputed expression
print(sum(known_annotations %in% ctwas_gene_res$genename))
[1] 65
#significance threshold for TWAS
print(sig_thresh)
[1] 4.594
#number of ctwas genes
length(ctwas_genes)
[1] 12
#number of TWAS genes
length(twas_genes)
[1] 194
#show novel genes (ctwas genes with not in TWAS genes)
ctwas_gene_res[ctwas_gene_res$genename %in% novel_genes,report_cols]
genename region_tag susie_pip mu2 PVE z num_eqtl
102 FARP2 2_144 0.8985 21.98 0.0001223 4.313 2
748 ATP1B3 3_87 0.8658 20.62 0.0001106 4.085 1
6226 FAM135B 8_91 0.8469 21.98 0.0001153 -3.461 1
4784 DAGLA 11_34 0.8277 22.12 0.0001134 -4.263 1
9166 NUDT4 12_55 0.9623 22.56 0.0001345 4.414 2
3070 APC2 19_2 0.8066 22.33 0.0001116 4.311 2
#sensitivity / recall
print(sensitivity)
ctwas TWAS
0.01538 0.15385
#specificity
print(specificity)
ctwas TWAS
0.9991 0.9848
#precision / PPV
print(precision)
ctwas TWAS
0.1667 0.1031

#number of genes in known annotations (with imputed expression)
print(length(known_annotations))
[1] 65
#number of bystander genes (with imputed expression)
print(length(unrelated_genes))
[1] 871
#subset results to genes in known annotations or bystanders
ctwas_gene_res_subset <- ctwas_gene_res[ctwas_gene_res$genename %in% c(known_annotations, unrelated_genes),]
#assign ctwas and TWAS genes
ctwas_genes <- ctwas_gene_res_subset$genename[ctwas_gene_res_subset$susie_pip>0.8]
twas_genes <- ctwas_gene_res_subset$genename[abs(ctwas_gene_res_subset$z)>sig_thresh]
#significance threshold for TWAS
print(sig_thresh)
[1] 4.594
#number of ctwas genes (in known annotations or bystanders)
length(ctwas_genes)
[1] 2
#number of TWAS genes (in known annotations or bystanders)
length(twas_genes)
[1] 69
#sensitivity / recall
sensitivity
ctwas TWAS
0.03077 0.30769
#specificity / (1 - False Positive Rate)
specificity
ctwas TWAS
1.0000 0.9437
#precision / PPV / (1 - False Discovery Rate)
precision
ctwas TWAS
1.0000 0.2899


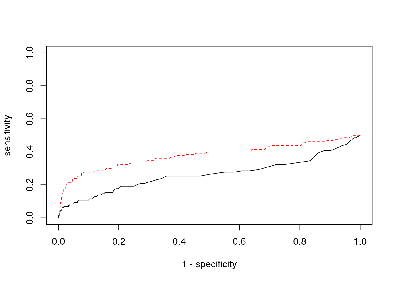
pip_range <- (0:1000)/1000
sensitivity <- rep(NA, length(pip_range))
specificity <- rep(NA, length(pip_range))
for (index in 1:length(pip_range)){
pip <- pip_range[index]
ctwas_genes <- ctwas_gene_res_subset$genename[ctwas_gene_res_subset$susie_pip>=pip]
sensitivity[index] <- sum(ctwas_genes %in% known_annotations)/length(known_annotations)
specificity[index] <- sum(!(unrelated_genes %in% ctwas_genes))/length(unrelated_genes)
}
plot(1-specificity, sensitivity, type="l", xlim=c(0,1), ylim=c(0,1), main="", xlab="1 - Specificity", ylab="Sensitivity")
title(expression("ROC Curve for cTWAS (black) and TWAS (" * phantom("red") * ")"))
title(expression(phantom("ROC Curve for cTWAS (black) and TWAS (") * "red" * phantom(")")), col.main="red")
sig_thresh_range <- seq(from=0, to=max(abs(ctwas_gene_res_subset$z)), length.out=length(pip_range))
for (index in 1:length(sig_thresh_range)){
sig_thresh_plot <- sig_thresh_range[index]
twas_genes <- ctwas_gene_res_subset$genename[abs(ctwas_gene_res_subset$z)>=sig_thresh_plot]
sensitivity[index] <- sum(twas_genes %in% known_annotations)/length(known_annotations)
specificity[index] <- sum(!(unrelated_genes %in% twas_genes))/length(unrelated_genes)
}
lines(1-specificity, sensitivity, xlim=c(0,1), ylim=c(0,1), col="red", lty=1)
abline(a=0,b=1,lty=3)
#add previously computed points from the analysis
ctwas_genes <- ctwas_gene_res_subset$genename[ctwas_gene_res_subset$susie_pip>0.8]
twas_genes <- ctwas_gene_res_subset$genename[abs(ctwas_gene_res_subset$z)>sig_thresh]
points(1-specificity_plot["ctwas"], sensitivity_plot["ctwas"], pch=21, bg="black")
points(1-specificity_plot["TWAS"], sensitivity_plot["TWAS"], pch=21, bg="red")

#table of outcomes for silver standard genes
-sort(-table(silver_standard_case))
silver_standard_case
Not Imputed Insignificant z-score Nearby SNP(s)
65 45 18
Detected (PIP > 0.8)
2
#show inconclusive genes
silver_standard_case[silver_standard_case=="Inconclusive"]
named character(0)

sessionInfo()
R version 3.6.1 (2019-07-05)
Platform: x86_64-pc-linux-gnu (64-bit)
Running under: Scientific Linux 7.4 (Nitrogen)
Matrix products: default
BLAS/LAPACK: /software/openblas-0.2.19-el7-x86_64/lib/libopenblas_haswellp-r0.2.19.so
locale:
[1] LC_CTYPE=en_US.UTF-8 LC_NUMERIC=C
[3] LC_TIME=en_US.UTF-8 LC_COLLATE=en_US.UTF-8
[5] LC_MONETARY=en_US.UTF-8 LC_MESSAGES=en_US.UTF-8
[7] LC_PAPER=en_US.UTF-8 LC_NAME=C
[9] LC_ADDRESS=C LC_TELEPHONE=C
[11] LC_MEASUREMENT=en_US.UTF-8 LC_IDENTIFICATION=C
attached base packages:
[1] parallel stats4 stats graphics grDevices utils datasets
[8] methods base
other attached packages:
[1] GenomicRanges_1.36.1 GenomeInfoDb_1.20.0 IRanges_2.18.1
[4] S4Vectors_0.22.1 BiocGenerics_0.30.0 biomaRt_2.40.1
[7] readxl_1.3.1 forcats_0.5.1 stringr_1.4.0
[10] dplyr_1.0.7 purrr_0.3.4 readr_2.1.1
[13] tidyr_1.1.4 tidyverse_1.3.1 tibble_3.1.6
[16] WebGestaltR_0.4.4 disgenet2r_0.99.2 enrichR_3.0
[19] cowplot_1.1.1 ggplot2_3.3.5 workflowr_1.7.0
loaded via a namespace (and not attached):
[1] ggbeeswarm_0.6.0 colorspace_2.0-2 rjson_0.2.20
[4] ellipsis_0.3.2 rprojroot_2.0.2 XVector_0.24.0
[7] fs_1.5.2 rstudioapi_0.13 farver_2.1.0
[10] ggrepel_0.9.1 bit64_4.0.5 AnnotationDbi_1.46.0
[13] fansi_1.0.2 lubridate_1.8.0 xml2_1.3.3
[16] codetools_0.2-16 doParallel_1.0.17 cachem_1.0.6
[19] knitr_1.36 jsonlite_1.7.2 apcluster_1.4.8
[22] Cairo_1.5-12.2 broom_0.7.10 dbplyr_2.1.1
[25] compiler_3.6.1 httr_1.4.2 backports_1.4.1
[28] assertthat_0.2.1 Matrix_1.2-18 fastmap_1.1.0
[31] cli_3.1.0 later_0.8.0 prettyunits_1.1.1
[34] htmltools_0.5.2 tools_3.6.1 igraph_1.2.10
[37] GenomeInfoDbData_1.2.1 gtable_0.3.0 glue_1.6.2
[40] reshape2_1.4.4 doRNG_1.8.2 Rcpp_1.0.8
[43] Biobase_2.44.0 cellranger_1.1.0 jquerylib_0.1.4
[46] vctrs_0.3.8 svglite_1.2.2 iterators_1.0.14
[49] xfun_0.29 ps_1.6.0 rvest_1.0.2
[52] lifecycle_1.0.1 rngtools_1.5.2 XML_3.99-0.3
[55] zlibbioc_1.30.0 getPass_0.2-2 scales_1.1.1
[58] vroom_1.5.7 hms_1.1.1 promises_1.0.1
[61] yaml_2.2.1 curl_4.3.2 memoise_2.0.1
[64] ggrastr_1.0.1 gdtools_0.1.9 stringi_1.7.6
[67] RSQLite_2.2.8 highr_0.9 foreach_1.5.2
[70] rlang_1.0.1 pkgconfig_2.0.3 bitops_1.0-7
[73] evaluate_0.14 lattice_0.20-38 labeling_0.4.2
[76] bit_4.0.4 processx_3.5.2 tidyselect_1.1.1
[79] plyr_1.8.6 magrittr_2.0.2 R6_2.5.1
[82] generics_0.1.1 DBI_1.1.2 pillar_1.6.4
[85] haven_2.4.3 whisker_0.3-2 withr_2.4.3
[88] RCurl_1.98-1.5 modelr_0.1.8 crayon_1.5.0
[91] utf8_1.2.2 tzdb_0.2.0 rmarkdown_2.11
[94] progress_1.2.2 grid_3.6.1 data.table_1.14.2
[97] blob_1.2.2 callr_3.7.0 git2r_0.26.1
[100] reprex_2.0.1 digest_0.6.29 httpuv_1.5.1
[103] munsell_0.5.0 beeswarm_0.2.3 vipor_0.4.5