--- title: "Introduction (ISL 1)" subtitle: "Biostat 212A, Statistical Learning A" author: "Dr. Jin Zhou @ UCLA" date: today format: html: theme: cosmo embed-resources: true number-sections: true toc: true toc-depth: 4 toc-location: left code-fold: false engine: knitr knitr: opts_chunk: fig.align: 'center' # fig.width: 6 # fig.height: 4 message: FALSE cache: false --- Credit: This note heavily uses material from the books [_An Introduction to Statistical Learning: with Applications in R_](https://www.statlearning.com/) (ISL2) and [_Elements of Statistical Learning: Data Mining, Inference, and Prediction_](https://hastie.su.domains/ElemStatLearn/) (ESL2). Display system information for reproducibility. ::: {.panel-tabset} #### R ```{r} sessionInfo() ``` #### Python ```{python} import IPython print(IPython.sys_info()) ``` ::: # Brief intro - PhD in Biomathematics, UCLA (the department was renamed to ["UCLA Computational Medicine"](https://compmed.ucla.edu/)) - Postdoc \& Statistician, Harvard University + Department of Biostatistics + Channing's Lab, Brigham and Women's Hospital - Assistant \& Associate professor, University of Arizona (UofA) + Department of Epidemiology and Biostatistics + Statistics and Genetics Graduate Interdisciplinary Program (GIDP) - Research principal investigator, Phoenix VA Health Care System - Research principal investigator, Greater Los Angeles VA Health Care System - Adjunct Associate Professor, UCLA + Department of Medicine Statistics Core (DOMStat) - Associate Professor-in-Residence of Biostatistics, UCLA + Department of Biostatistics # Overview of statistical/machine learning In this class, we use the phrases **statistical learning**, **machine learning**, or simply **learning** interchangeably. ## Supervised vs unsupervised learning - **Supervised learning**: input(s) -> output. - Prediction: the output is continuous (income, weight, bmi, ...). - Classification: the output is categorical (disease or not, pattern recognition, ...). - **Unsupervised learning**: no output. We learn relationships and structure in the data. - Clustering. - Dimension reduction. ## Supervised learning - **Predictors** $$ X = \begin{pmatrix} X_1 \\ \vdots \\ X_p \end{pmatrix}. $$ Also called **inputs**, **covariates**, **regressors**, **features**, **independent variables**. - **Outcome** $Y$ (also called **output**, **response variable**, **dependent variable**, **target**). - In the **regression problem**, $Y$ is quantitative (price, weight, bmi). - In the **classification problem**, $Y$ is categorical. That is $Y$ takes values in a finite, unordered set (survived/died, customer buy product or not, digit 0-9, object in image, cancer class of tissue sample). - We have training data $(\mathbf{x}_1, y_1), \ldots, (\mathbf{x}_n, y_n)$. These are observations (also called samples, instances, cases). Training data is often represented by a predictor matrix $$ \mathbf{X} = \begin{pmatrix} x_{11} & \cdots & x_{1p} \\ \vdots & \ddots & \vdots \\ x_{n1} & \cdots & x_{np} \end{pmatrix} = \begin{pmatrix} \mathbf{x}_1^T \\ \vdots \\ \mathbf{x}_n^T \end{pmatrix} $$ {#eq-predictor-matrix} and a response vector $$ \mathbf{y} = \begin{pmatrix} y_1 \\ \vdots \\ y_n \end{pmatrix} $$ - Based on the training data, our goal is to - Accurately predict unseen outcome of test cases based on their predictors. - Understand which predictors affect the outcome, and how. - Assess the quality of our predictions and inferences. ### Example: salary - The `Wage` data set collects the wage and other data for a group of 3000 male workers in the Mid-Atlantic region in 2003-2009. - Our goal is to establish the relationship between salary and demographic variables in population survey data. - Since wage is a quantitative variable, it is a regression problem. ::: {.panel-tabset} #### R ```{r} #| message: false library(gtsummary) library(ISLR2) library(tidyverse) # Convert to tibble Wage <- as_tibble(Wage) %>% print(width = Inf) # Summary statistics Wage %>% tbl_summary() # Plot wage ~ age Wage %>% ggplot(mapping = aes(x = age, y = wage)) + geom_point() + geom_smooth() + labs(title = "Wage changes nonlinearly with age", x = "Age", y = "Wage (k$)") # Plot wage ~ year Wage %>% ggplot(mapping = aes(x = year, y = wage)) + geom_point() + geom_smooth(method = "lm") + labs(title = "Average wage increases by $10k in 2003-2009", x = "Year", y = "Wage (k$)") # Plot wage ~ education Wage %>% ggplot(mapping = aes(x = education, y = wage)) + geom_point() + geom_boxplot() + labs(title = "Wage increases with education level", x = "Year", y = "Wage (k$)") ``` #### Python Summary statistics: ```{python} # Load the pandas library import pandas as pd # Load numpy for array manipulation import numpy as np # Load seaborn plotting library import seaborn as sns import matplotlib.pyplot as plt # Set font size in plots sns.set(font_scale = 2) # Display all columns pd.set_option('display.max_columns', None) # Import Wage data Wage = pd.read_csv( "../data/Wage.csv", dtype = { 'maritl':'category', 'race':'category', 'education':'category', 'region':'category', 'jobclass':'category', 'health':'category', 'health_ins':'category' } ) Wage Wage.info() ``` ```{python} #| eval: false # summary statistics Wage.describe(include = "all") ``` ```{python} #| label: fig-wage-age #| fig-cap: "Wage changes nonlinearly with age." # Plot wage ~ age sns.lmplot( data = Wage, x = "age", y = "wage", lowess = True, scatter_kws = {'alpha' : 0.1}, height = 8 ).set( xlabel = 'Age', ylabel = 'Wage (k$)' ) ``` ```{python} #| label: fig-wage-year #| fig-cap: "Average wage increases by $10k in 2003-2009." # Plot wage ~ year sns.lmplot( data = Wage, x = "year", y = "wage", scatter_kws = {'alpha' : 0.1}, height = 8 ).set( xlabel = 'Year', ylabel = 'Wage (k$)' ) ``` ```{python} #| label: fig-wage-edu #| fig-cap: "Wage increases with education level." # Plot wage ~ education ax = sns.boxplot( data = Wage, x = "education", y = "wage" ) ax.set( xlabel = 'Education', ylabel = 'Wage (k$)' ) ax.set_xticklabels(ax.get_xticklabels(), rotation = 15) ``` ```{python} #| label: fig-wage-race #| fig-cap: "Any income inequality?" # Plot wage ~ race ax = sns.boxplot( data = Wage, x = "race", y = "wage" ) ax.set( xlabel = 'Race', ylabel = 'Wage (k$)' ) ax.set_xticklabels(ax.get_xticklabels(), rotation = 15) ``` ::: ### Example: stock market ```{r} #| code-fold: true library(quantmod) SP500 <- getSymbols( "^GSPC", src = "yahoo", auto.assign = FALSE, from = "2022-01-01", to = "2022-12-31") chartSeries(SP500, theme = chartTheme("white"), type = "line", log.scale = FALSE, TA = NULL) ``` - The `Smarket` data set contains daily percentage returns for the S&P 500 stock index between 2001 and 2005. - Our goal is to predict whether the index will _increase_ or _decrease_ on a given day, using the past 5 days' percentage changes in the index. - Since the outcome is binary (_increase_ or _decrease_), it is a classification problem. - From the boxplots in @fig-sp500-lag, it seems that the previous 5 days percentage returns do not discriminate whether today's return is positive or negative. ::: {.panel-tabset} #### R ```{r} #| label: fig-sp500-lag #| fig-cap: "LagX is the percentage return for the previous X days." # Data information help(Smarket) # Convert to tibble Smarket <- as_tibble(Smarket) %>% print(width = Inf) # Summary statistics summary(Smarket) # Plot Direction ~ Lag1, Direction ~ Lag2, ... Smarket %>% pivot_longer(cols = Lag1:Lag5, names_to = "Lag", values_to = "Perc") %>% ggplot() + geom_boxplot(mapping = aes(x = Direction, y = Perc)) + labs( x = "Today's Direction", y = "Percentage change in S&P", title = "Up and down of S&P doesn't depend on previous day(s)'s percentage of change." ) + facet_wrap(~ Lag) ``` #### Python ```{python} # Import S&P500 data Smarket = pd.read_csv("../data/Smarket.csv") Smarket Smarket.info() ``` ```{python} #| eval: false # summary statistics Smarket.describe(include = "all") ``` ```{python} # Pivot to long format for facet plotting Smarket_long = pd.melt( Smarket, id_vars = ['Year', 'Volume', 'Today', 'Direction'], value_vars = ['Lag1', 'Lag2', 'Lag3', 'Lag4', 'Lag5'], var_name = 'Lag', value_name = 'Perc' ) Smarket_long g = sns.FacetGrid(Smarket_long, col = "Lag", col_wrap = 3, height = 10) g.map_dataframe(sns.boxplot, x = "Direction", y = "Perc") plt.clf() ``` ::: ### Real Example (1) **Genomic classifier for acute cellular rejection (ACR) among lung transplant recipients** - **Lung transplant** recipients are at risk for acute cellular rejection (ACR), which is a major cause of morbidity and mortality. - Genomic classifier
{width=600px height=250px}
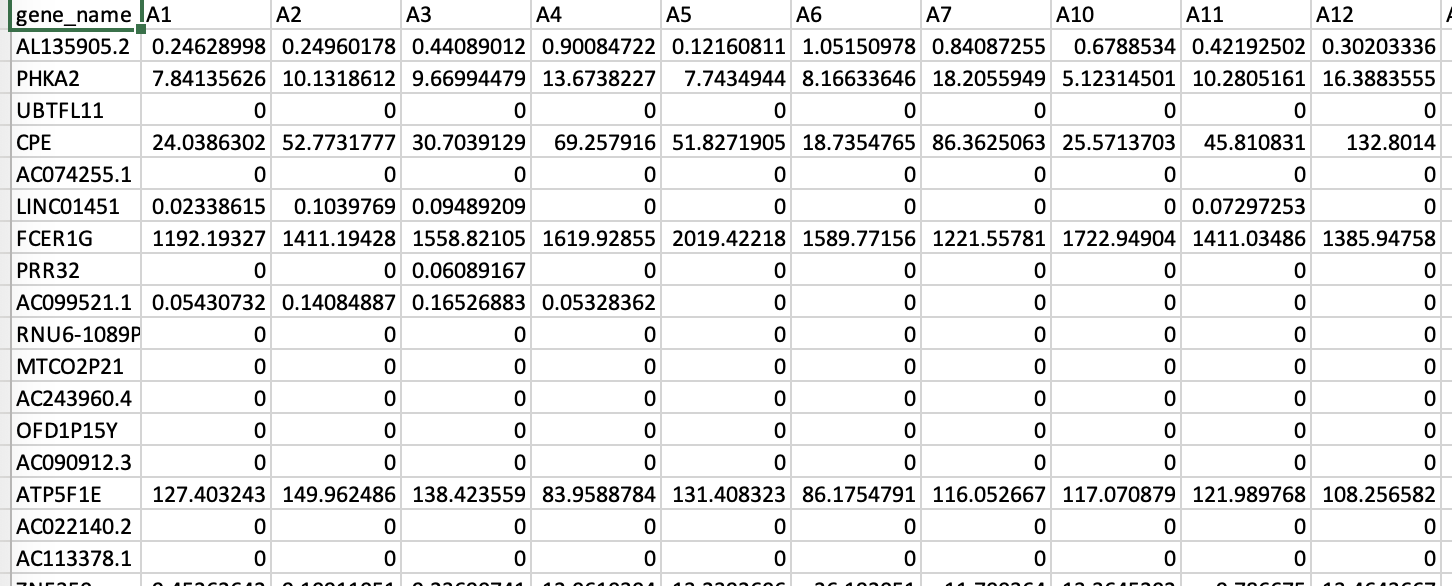
- RNA Seq data (Transcriptome) is a high-dimensional data set.{width=500px height=400px} {width=500px height=200px}
- 183 lung transplant recipients with 58,735 gene transcripts' expression levels measured{width=500px height=300px}
### Real Example (2) **Dynamically Predicting Renal Complications After Development of Diabetes for Millions Across Biobanks, Transportability and Transferability** - Diabetes is a major cause of kidney disease, which can lead to kidney failure and death. - After developing diabetes, the risk of kidney disease varies across individuals. - Goal: Develop a prediction model for kidney disease after developing diabetes. - EHR and Biobanks provide a rich source of data for developing prediction models. - AI in healthcare (e.g.,{width=700px height=200px}
{width=500px height=600px}
### Example: handwritten digit recognition ::: {#fig-handwritten-digits}{width=500px height=300px}
{width=500px height=300px}
Examples of handwritten digits from the MNIST corpus (ISL Figure 10.3). ::: - Input: 784 pixel values from $28 \times 28$ grayscale images. Output: 0, 1, ..., 9, 10 class-classification. - On the [MNIST](https://en.wikipedia.org/wiki/MNIST_database) data set (60,000 training images, 10,000 testing images), accuracies of following methods were reported: | Method | Error rate | |--------|----------| | tangent distance with 1-nearest neighbor classifier | 1.1% | | degree-9 polynomial SVM | 0.8% | | LeNet-5 | 0.8% | | boosted LeNet-4 | 0.7% | ### Example: more computer vision tasks Some popular data sets from computer vision. - [Fashion MNIST](https://github.com/zalandoresearch/fashion-mnist#fashion-mnist): 10-category classification.{width=500px}
- [CIFAR-10 and CIFAR-100](https://www.cs.toronto.edu/~kriz/cifar.html){width=500px}
- [ImageNet](https://www.image-net.org/){width=500px}
- [Microsoft COCO](https://cocodataset.org/#home) (object detection, segmentation, and captioning){width=500px}
- [ADE20K](http://groups.csail.mit.edu/vision/datasets/ADE20K/) (scene parsing){width=500px}
### Example: classify the pixels in a satellite image, by usage ::: {#fig-landsat}{width=750px height=750px}
LANDSET images (ESL Figure 13.6). ::: - LANDSAT: 82x100 pixels. Four heat-map images, two in the visible spectrum and two in the infrared, for an area of agricultural land in Australia. - Each pixel has a class label from the 7-element set \{red soil, cotton, vegetation stubble, mixture, gray soil, damp gray soil, very damp gray soil\}, determined manually by research assistants surveying the area. The objective is to classify the land usage at a pixel, based on the information in the four spectral bands. ## Unsupervised learning - No outcome variable, just predictors. - Objective is more fuzzy: find groups that behave similarly, find features that behave similarly, find linear combinations of features with the most variations, generative models (transformers). - Difficult to know how well you are doing. - Can be useful in exploratory data analysis (EDA) or as a pre-processing step for supervised learning. ### Example: gene expression - The `NCI60` data set consists of 6,830 gene expression measurements for each of 64 cancer cell lines. ::: {.panel-tabset} #### R ```{r} # NCI60 data and cancel labels str(NCI60) # Cancer type of each cell line table(NCI60$labs) # Apply PCA using prcomp function # Need to scale / Normalize as # PCA depends on distance measure prcomp(NCI60$data, scale = TRUE, center = TRUE, retx = T)$x %>% as_tibble() %>% add_column(cancer_type = NCI60$labs) %>% # Plot PC2 vs PC1 ggplot() + geom_point(mapping = aes(x = PC1, y = PC2, color = cancer_type)) + labs(title = "Gene expression profiles cluster according to cancer types") ``` #### Python ```{python} # Import NCI60 data nci60_data = pd.read_csv('../data/NCI60_data.csv') nci60_labs = pd.read_csv('../data/NCI60_labs.csv') nci60_data.info() ``` ```{python} from sklearn.decomposition import PCA from sklearn.preprocessing import scale # Obtain the first 2 principal components nci60_tr = scale(nci60_data, with_mean = True, with_std = True) nci60_pc = pd.DataFrame( PCA(n_components = 2).fit(nci60_tr).transform(nci60_tr), columns = ['PC1', 'PC2'] ) nci60_pc['PC2'] *= -1 # for easier comparison with R nci60_pc['cancer_type'] = nci60_labs nci60_pc ``` ```{python} # Plot PC2 vs PC1 sns.relplot( kind = 'scatter', data = nci60_pc, x = 'PC1', y = 'PC2', hue = 'cancer_type', height = 10 ) ``` ::: ### Example: mapping people from their genomes - The genetic makeup of $n$ individuals can be represented by a matrix @eq-predictor-matrix, where $x_{ij} \in \{0, 1, 2\}$ is the $j$-th genetic marker of the $i$-th individual. Is that possible to visualize the geographic relationship of these individuals? - Following picture is from the article [_Genes mirror geography within Europe_](http://www.nature.com/nature/journal/v456/n7218/full/nature07331.html) by Novembre et al (2008) published in Nature.  ### Ancestry estimation ::: {#fig-open-admixture}{width=750px height=750px}
Unsupervised discovery of ancestry-informative markers and genetic admixture proportions. [Paper](https://doi.org/10.1016/j.ajhg.2022.12.008). ::: ## No easy answer In modern applications, the line between supervised and unsupervised learning is blurred. ### Example: the Netflix prize ::: {#fig-netflix fig-ncols=1} {fig-align="center"} {fig-align="center"} The Netflix challenge. ::: - Competition started in Oct 2006. Training data is ratings for 480,189 Netflix customers $\times$ 17,770 movies, each rating between 1 and 5. - Training data is very sparse, about 98\% sparse. - The objective is to predict the rating for a set of 1 million customer-movie pairs that are missing in the training data. - Netflix's in-house algorithm achieved a root MSE of 0.953. The first team to achieve a 10\% improvement wins one million dollars. - Is this a supervised or unsupervised problem? - We can treat `rating` as outcome and user-movie combinations as predictors. Then it is a supervised learning problem. - Or we can treat it as a matrix factorization or low rank approximation problem. Then it is more of a unsupervised learning problem, similar to PCA. ### Example: large language models (LLMs) Modern large language models, such as [ChatGPT o1](https://chat.openai.com), combine both supervised learning and reinforcement learning [google trends](https://trends.google.com/trends/explore?date=2022-11-01%202024-01-05&geo=US&q=chatgpt&hl=en) ## Statistical learning vs machine learning - Machine learning arose as a subfield of Artificial Intelligence. - Statistical learning arose as a subfield of Statistics. - There is much overlap. Both fields focus on supervised and unsupervised problems. - Machine learning has a greater emphasis on large scale applications and prediction accuracy. - Statistical learning emphasizes models and their interpretability, and precision and uncertainty. - But the distinction has become more and more blurred, and there is a great deal of "cross-fertilization". - Machine learning has the upper hand in Marketing! ## A Brief History of Statistical Learning  Image source: