![Image title](./images/44.png){ width="600" }
## 介紹 斜率最佳化是一類利用決策單調性來最佳化DP轉移的最佳化方式。因為其原理中一部分形似斜率,故名為斜率最佳化。能用斜率優化的題目的轉移式一般來說如下: $$\large dp(i)=\max\limits_{0\le j < i} \{ a(j) \times f(i) + b(j) \}$$ 轉移 $dp(i)$ 時想像成二維平面上有一堆直線 $y = a(j) \times x + b(j)$。要找到這些直線和 $x = f(i)$ 的所有交點中,$y$ 座標最大的數值。
![Image title](./images/1.png){ width="400" }
觀察這些直線可以發現,這些直線所形成的下凸包,會是轉移答案的位置。有些線段(虛線)不在下凸包的上,可以從轉移名單上淘汰。
![Image title](./images/2.png){ width="400" }
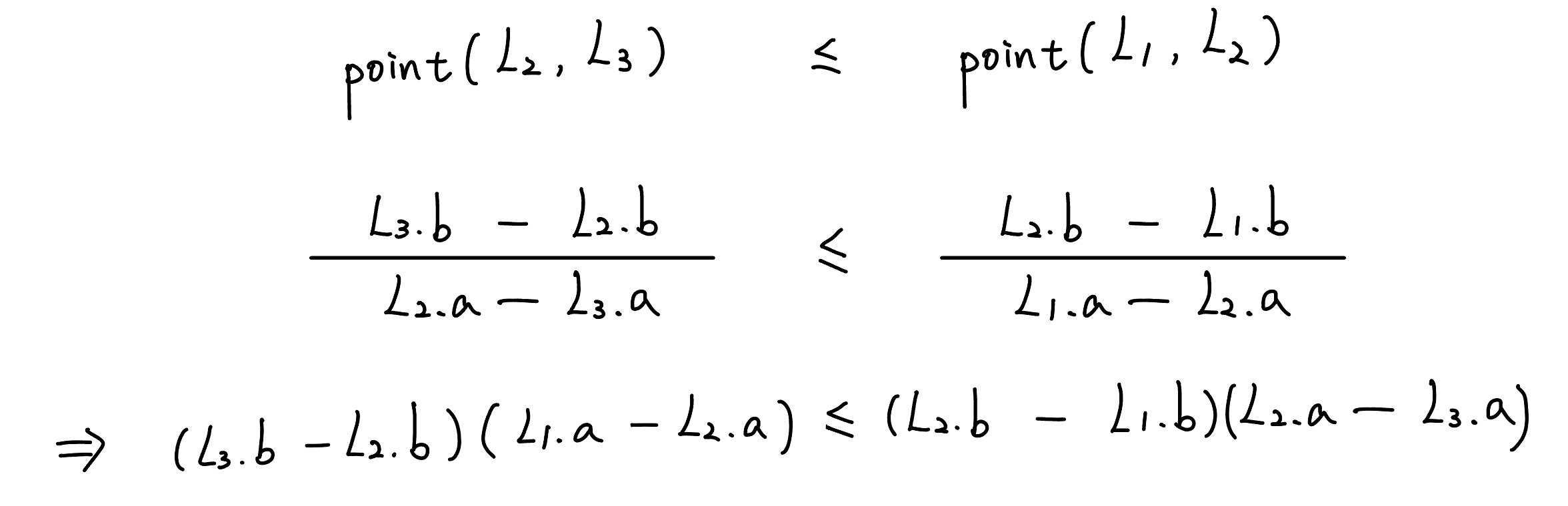
維護這個凸包,就可以直接查詢在 $x = f(i)$,最大的值是多少。所以我們要解決的問題就是 1. 如何快速查詢凸包 2. 加入新直線後如何維護這個凸包 以下,我們針對斜率與查詢的單調性分別討論幾種情況的處理方式。 ## 斜率與查詢單調 - 性質 1 : 函數 $a$ 單調遞增 - 性質 2 : 詢問的 $x = f(i)$ 會越來越大 ### 加入新直線 $L_1$ 表示當前斜率次大的直線,$L_2$ 表示當前斜率次大的直線,$L_3$ 表示當前要加入的直線,有 $L_1.a \le L_2.a \le L_3.a$。
![Image title](./images/47.png){ width="500" }
可以觀察到若 $L_2,L_3$ 的交點(紅色)在 $L_1,L_2$ 的交點(藍色)的左側,$L_2$ 將會被刪掉。實作上使用一個 deque 按照斜率小到大儲存在凸包上的直線,加入新直線時查看 deque 尾端直線是否會被淘汰。
![Image title](./images/5.png){ width="500" }
如果上面的圖片還是無法理解,這裡是網路上的動圖。將式子列出來後,我們就可以寫出 check$(L_1,L_2,L_3)$ 的代碼 : ???+note "code" ```cpp linenums="1" bool check(Line l1, Line l2, Line l3) { return (l2.b - l1.b) * (l2.a - l3.a) >= (l3.b - l2.b) * (l1.a - l2.a); } ``` ### 查詢 x = f(i) 我們從 deque 的 front 每次看最前面的兩條線,若發現代入斜率大(藍色)的會比代入斜率小(紅色)的還大代表要往右,否則左邊的就是答案
![Image title](./images/46.png){ width="600" }
因為詢問的位置 $x$ 只會越來越大,因此被淘汰的直線必不會是後面的詢問的答案,所以我們可以 pop_front 直到屬於找到當前代入 $x=f(i)$ 最大的那條線 ### 總結 維護一個 `deque>` 代表直線的 (a, b)。先找 x = f(i) 的答案 dp(i),所以我們一直去判斷最前面的值是否為最大值 (和第二個比較),若不是則持續 pop_front。然後即可求出當前新直線的 a, b。然後我們就要加入這條新直線,用 check$(L_1,L_2,L_3)$ 一直去判斷尾端直線是否要被 pop_back。架構等價於單調隊列,轉移總複雜度均攤為 $O(n)$。實作見下面 CSES Monster Game I 的 code。 ??? question "當斜率一樣時,會發生什麼事?"
![Image title](./images/45.png){ width="500" }
若斜率相同時,b 較大的應該要留下來,b 較小的需被淘汰。因此我下面的寫法當新的線加入後,會先特判斜率是否與 deque 的尾端相同,是的話就只留下 b 大的。但在 CSES - Monster Game I 這題很多人是沒有特判的,而是直接使用以下代碼來看是否淘汰尾端: ```cpp linenums="1" bool check(Line l1, Line l2, Line l3) { return (l3.b - l2.b) * (l1.a - l2.a) <= (l2.b - l1.b) * (l2.a - l3.a); } ``` 這個式子是將我們的不等式移向得到的,但注意到任兩條直線斜率相同時,我們未移向的不等式的分母會是 0,那移向後是否還具有正確性?
![Image title](./images/5.png){ width="500" }
我們就分三種情況討論 $L_1, L_2$ 斜率相同,$L_2, L_3$ 斜率相同,$L_1, L_2, L_3$ 斜率相同。前兩種情況我們會發現,移向過後的式子其中一側變為 0,所以關鍵是在另一側,也就是看兩條線的節距是正是負。以 $L_2, L_3$ 斜率相同來說,右側會變為 0,所以只剩下 (l3.b - l2.b) * (l1.a - l2.a) <= 0,又 (l1.a - l2.a) 必為負數,所以不等式的成立一切取決於 (l3.b - l2.b) 的正負性。而三條線斜率都相同情況我們的式子一定都是 0 <= 0,所以會成立,這時若 l1.b, l2.b, l3.b 非遞增的話,維護就會出現問題。但在 CSES - Monster Game I 內,b = dp(j),恰好 dp(j) 又是單調遞增的(這是因為 s 遞增),因此才會 AC,若今天 b 沒有限制的話就會出問題。 總結來說,把斜率相同的情況特判掉是比較安全的處理方式。 ### 題目 ???+note "[CSES - Monster Game I](https://cses.fi/problemset/task/2084)" 給 $n$ 個怪獸,你必須打敗第 $n$ 隻怪獸才能贏。打敗第 $i$ 隻怪獸會花 $s_i\times f_j$ 的時間,其中 $j$ 為你上次打敗的怪獸的編號,如果沒有上一隻,則 $f_j=x$。最少花多少時間可以贏 $n\le 2\times 10^5,1\le x\le 10^6,1 \le s_1 \le \dots \le s_n \le 10^6,x \ge f_1 \ge \dots \ge f_n \ge 1$ ??? note "思路" $$dp(i)=\min \limits_{0\le j < i} \{f_j\times s_i + dp(j) \}$$ 我們可以將式子改成 : $$dp(i)=\max \limits_{0\le j < i} \{(-f_j)\times s_i + dp(j) \}$$ 這樣就變成上面標準斜率優化的轉移式了,$a=-f_j,b=dp(j)$,最後的答案記得是 $-dp[n]$ ??? note "code" ```cpp linenums="1" #include #define int long long #define pii pair #define pb push_back using namespace std; int n; int dp[200005], f[200005], s[200005]; struct Line { int a, b; int get_value(int x) { return a * x + b; } }; bool check(Line l1, Line l2, Line l3) { return (l2.b - l1.b) * (l2.a - l3.a) >= (l3.b - l2.b) * (l1.a - l2.a); } void solve() { deque dq; dq.pb({f[0], dp[0]}); for (int i = 1; i <= n; i++) { // 刪掉過期的直線 while (dq.size() >= 2 && dq[0].get_value(s[i]) < dq[1].get_value(s[i])) { dq.pop_front(); } dp[i] = dq[0].get_value(s[i]); Line l = {f[i], dp[i]}; // 加入新的直線, 並且檢查會不會把舊的直線給蓋住 while (dq.size() >= 2 && check(dq[dq.size() - 2], dq.back(), l)) { dq.pop_back(); } dq.push_back(l); } } signed main() { ios::sync_with_stdio(0); cin.tie(0); cin >> n >> f[0]; for (int i = 1; i <= n; i++) cin >> s[i]; for (int i = 1; i <= n; i++) cin >> f[i]; for (int i = 0; i <= n; i++) f[i] = -f[i]; solve(); cout << -dp[n] << '\n'; } ``` ???+note "[TOI 2022 二模 pD. rectangle](https://drive.google.com/file/d/12fLPeJdcvPC_QideD_Ux12SudCYz0t_V/view)" 給你 $N$ 個矩形,第 $i$ 個個矩形有參數高 $H_i$、寬 $W_i$、亮度 $D_i$、成本參數 $C_i ,F_i$。 其中 $H$ 是單調遞增的,覆蓋 $[L ,R]$ 的矩形需要成本 $$C_R \frac{\sum_{i = L}^{R}D_iW_i}{\sum_{i = L}^{R}W_i}\sum_{i = L}^{R}W_i + F_R$$ 問最小覆蓋成本。 $1 \leq N \leq 2 \times 10^5, 1 \leq W_i, H_i \leq 10^6, -16 \leq D_i \leq 16 , -10^6 \leq C_i , F_i \leq 10^6$ ???+note "[吐鈔機 2](https://tioj.ck.tp.edu.tw/problems/1921)" 有 $N$ 台機器,其中第 $i$ 台會在時間 $D_i$ 拍賣,價格為 $P_i$,此機器每天會生產 $G_i$ 元,且將這台機器轉賣可得 $R_i$ 元,一個時間只能擁有一台機器,你一開始有 $C_i$ 元,求在第 $D$ 天後你最多可以賺進多少錢 $N\le 10^5,D\le 10^9$ ### 變化 : 斜率會過期 若 $L_2,L_3$ 的交點在 $L_1,L_2$ 的交點的左側,且 $L_1$ 過期右界在 $L_2,L_3$ 的右側,$L_2$ 將會被刪掉 ### 變化 : 缺少查詢單調 - 性質 1 : 函數 a 單調遞增 - ~~性質 2 : 詢問的 x = f(i) 會越來越大~~ 二分搜 $x=f(i)$ ??? note "code" ```cpp linenums="1" struct Line { // ax+b; int a; int b; int get_value(int x) const { return a * x + b; } }; long double intersection_x(Line f, Line g) { // a1 x + b1 = a2 x + b2 // x = (b2-b1) / (a1-a2) return 1.0 * (g.b - f.b) / (f.a - g.a); } struct LineContainer { vector lines; bool ok(Line f, Line g, Line h) { // 判斷 f, g 的交點是否在 f,h 的交點左邊 return intersection_x(f, g) < intersection_x(g, h); } void insert(Line l) { // 假設 insert 的斜率遞增 int m = lines.size(); if (m >= 1 && lines[m - 1].a == l.a) { if (lines[m - 1].b >= l.b) return; lines.pop_back(); m--; } while (m >= 2 && !ok(lines[m - 2], lines[m - 1], l)) { lines.pop_back(); m--; } lines.push_back(l); } int get_max(int x) { // 找到第一條直線 lines[i] // lines[i] 和 lines[i+1] 的交點大於等於 x int m = lines.size(); if (m == 1) { return lines[0].get_value(x); } int l = 0, r = m - 2; while (l != r) { int mid = (l + r) / 2; int p = intersection_x(lines[mid], lines[mid + 1]); if (p >= x) { r = mid; } else { l = mid + 1; } } return max(lines[r].get_value(x), lines[m - 1].get_value(x)); } }; ``` ## 不具單調性 - ~~性質 1 : 函數 a 單調遞增~~ - ~~性質 2 : 詢問的 x = f(i) 會越來越大~~ ### 動態凸包 #### 加入新直線 用一個 set 維護當前在凸包上的直線,按照斜率由小到大儲存,當要新增一條新的直線時,先直接放入 set 內,和位於該直線前後的直線用 check 判斷需不需要被 pop 掉。每條直線最多進去和出來 set 一次,每次花費 $O(\log n)$ 的時間維護,轉移總複雜度為 $O(n\log n)$。 #### 查詢 x = f(i) 直接二分搜 $x=f(i)$ ??? note "code" ```cpp linenums="1" struct Line { // ax+b; int a; int b; int get_value(int x) const { return a * x + b; } }; long double intersection_x(Line f, Line g) { // a1 x + b1 = a2 x + b2 // x = (b2-b1) / (a1-a2) return 1.0 * (g.b - f.b) / (f.a - g.a); } struct LineContainer { vector lines; bool ok(Line f, Line g, Line h) { // 判斷 f, g 的交點是否在 f,h 的交點左邊 return intersection_x(f, g) < intersection_x(g, h); } void insert(Line l) { // 假設 insert 的斜率遞增 int m = lines.size(); if (m >= 1 && lines[m - 1].a == l.a) { if (lines[m - 1].b >= l.b) return; lines.pop_back(); m--; } while (m >= 2 && !ok(lines[m - 2], lines[m - 1], l)) { lines.pop_back(); m--; } lines.push_back(l); } int get_max(int x) { // 找到第一條直線 lines[i] // lines[i] 和 lines[i+1] 的交點大於等於 x int m = lines.size(); if (m == 1) { return lines[0].get_value(x); } int l = 0, r = m - 2; while (l != r) { int mid = (l + r) / 2; int p = intersection_x(lines[mid], lines[mid + 1]); if (p >= x) { r = mid; } else { l = mid + 1; } } return max(lines[r].get_value(x), lines[m - 1].get_value(x)); } }; ``` ### 題目 ???+note "[CSES - Monster Game II](https://cses.fi/problemset/task/2085)" 給 $n$ 個怪獸,你必須打敗第 $n$ 隻怪獸才能贏。打敗第 $i$ 隻怪獸會花 $s_i\times f_j$ 的時間,其中 $j$ 為你上次打敗的怪獸的編號,如果沒有上一隻,則 $f_j=x$。最少花多少時間可以贏 $n\le 2\times 10^5,1\le x\le 10^6,1\le s_i,f_i\le 10^6$ ??? note "code" ```cpp linenums="1" #include #include #include using namespace std; #define int long long struct Line { int a, b; int operator()(int x) const { return a * x + b; } }; struct LineContainer { static constexpr int LIMIT = 1e6; static constexpr int SIZE = LIMIT * 4; static const int INF = 1e18; vector lo = vector(SIZE); vector hi = vector(SIZE); vector seg = vector(SIZE, {0, INF}); void build(int i = 1, int l = 1, int r = LIMIT) { lo[i] = l; hi[i] = r; if (l == r) return; int mid = (l + r) / 2; build(2 * i, l, mid); build(2 * i + 1, mid + 1, r); } void insert(Line L, int i = 1) { int l = lo[i], r = hi[i]; if (l == r) { if (L(l) < seg[i](l)) seg[i] = L; return; } int mid = (l + r) / 2; if (seg[i].a < L.a) swap(seg[i], L); if (seg[i](mid) > L(mid)) { swap(seg[i], L); insert(L, 2 * i); } else { insert(L, 2 * i + 1); } } int query(int x, int i = 1) { int l = lo[i], r = hi[i]; if (l == r) return seg[i](x); int mid = (l + r) / 2; if (x <= mid) { return min(seg[i](x), query(x, 2 * i)); } else { return min(seg[i](x), query(x, 2 * i + 1)); } } }; int solve(int n, int x, const vector &s, const vector &f) { LineContainer ds; ds.build(); ds.insert({x, 0}); for (int i = 0; i < n - 1; i++) { int v = ds.query(s[i]); ds.insert({f[i], v}); } return ds.query(s[n - 1]); } signed main() { cin.tie(0); cin.sync_with_stdio(0); int n, X; cin >> n >> X; vector s(n), f(n); for (int i = 0; i < n; i++) cin >> s[i]; for (int i = 0; i < n; i++) cin >> f[i]; int ans = solve(n, X, s, f); cout << ans << '\n'; } ``` ???+note "[洛谷 P4097. 模板】李超线段树 / [HEOI2013] Segment](https://www.luogu.com.cn/problem/P4097)" 有 $n$ 個石頭,第 $i$ 個石頭的高度是 $h_i$,目標從第 1 個石頭跳到第 n 個石頭。若現在位於第 $j$ 個石頭,可以跳到任何一個編號大於 $j$的石頭 $i$,但需要花費 $(h_i-h_j)^2 + c$能量。請問最少需要花費少能量才能到達石頭 $n$ ?