## Binary Expression Tree
???+note "問題"
給一個運算式,如何轉乘 Binary expression tree
{ width="300" }
有完整括號的版本,我們就用遞迴的方式來輸入,如下,複雜度 O(n)。
{ width="300" }
若沒有完整的括號,作法如下。開兩個 stack,一個是 number,一個是 opt。先對運算式外圍加上一層括號,讓他最後會把 stack 中的東西運算完,接著我們從左到右掃描運算式
- 若遇到數字,就將他加入 number 中
- 若遇到左括號,則將其推入 opt 中
- 若遇到右括號,則 pop 掉 opt 中的運算符然後對 number 中的數字做運算,直到 pop 到左括號為止
- 若遇到運算符,則先將 opt 中優先級**大於等於**他的 pop 掉(若發現左括號則立刻停止 pop),對 number 中的數字做運算,再將自己推入 opt 中
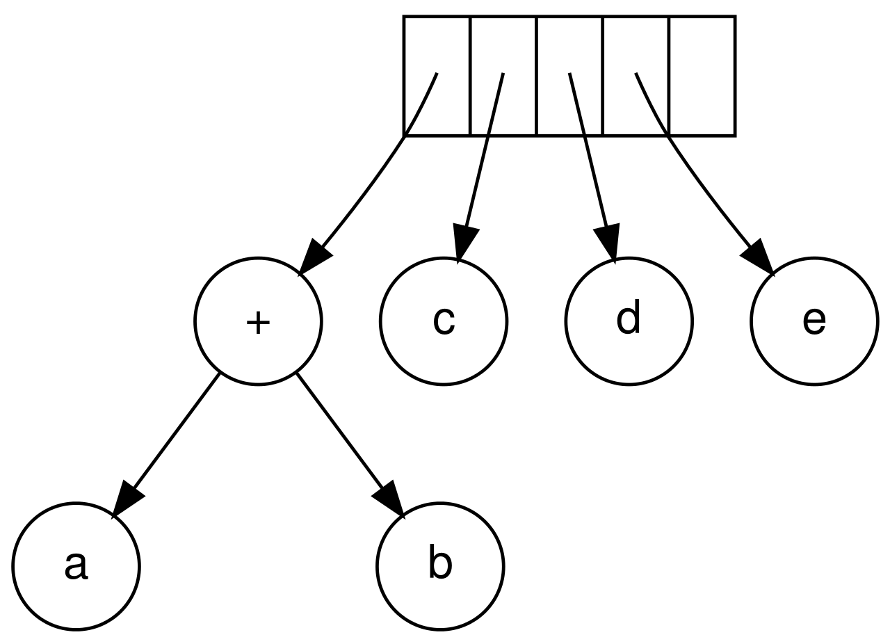
至於怎麼對 number 做運算,我們每次挑 number 中的最後兩個依照運算符合併,再將運算結果推入 number 中。
{ width="300" }
number 的 stack 類似的樣子
??? note "舉例"
例如 `(5 + 2) * 3 * (4 + 6) - 2 * 3`,先加上一層括號 `((5 + 2) * 3 * (4 + 6) - 2 * 3)`
- 目前遇到: `(`,`number = [], opt = [(]`
- 目前遇到: `(`,`number = [], opt = [(, (]`
- 目前遇到: `5`,`number = [5], opt = [(, (]`
- 目前遇到: `+`,`number = [5], opt = [(, (, +]`
- 目前遇到: `2`,`number = [5, 2], opt = [(, (, +]`
- 目前遇到: `)`,`number = [7], opt = [(, ]`
- 目前遇到: `*`,`number = [7], opt = [(, *]`
- 目前遇到: `3`,`number = [7, 3], opt = [(, *]`
- 目前遇到: `*`,`number = [21], opt = [(, *]`
- 目前遇到: `(`,`number = [21], opt = [(, *, (]`
- 目前遇到: `4`,`number = [21, 4], opt = [(, *, (]`
- 目前遇到: `+`,`number = [21, 4], opt = [(, *, (, +]`
- 目前遇到: `6`,`number = [21, 4, 6], opt = [(, *, (, +]`
- 目前遇到: `)`,`number = [21, 10], opt = [(, *]`
- 目前遇到: `-`,`number = [210], opt = [(, -]`
- 目前遇到: `2`,`number = [210, 2], opt = [(, -]`
- 目前遇到: `*`,`number = [210, 2], opt = [(, -, *]`
- 目前遇到: `3`,`number = [210, 2, 3], opt = [(, -, *]`
- 目前遇到: `)`,`number = [204], opt = []`
## 前序中序轉後序
???+note "[Zerojudge m300. 12347 - Binary Search Tree](https://zerojudge.tw/ShowProblem?problemid=m300)"
給一個長度為 $n$ 的 Binary Tree 的前序 $a_1, \ldots ,a_n$,輸出後序
$n\le 10^4, a_i\le 10^6$
??? note "思路"
中序其實就是將 $a$ sort。可以觀察到,前序的第一個字母一定是根節點,並由中序來判斷如何區分兩子樹的位置(也就是左子樹的長度),並遞迴下去建立樹
??? note "code"
```cpp linenums="1"
void dfs(string A, string B) { // string A : 前序字串, string B : 中序字串
int n = A.size();
if (n == 0) return; // 如果 A 為空,表示已經達到葉子節點,遞迴終止條件。
char x = A[0]; // 取出前序字串的第一個字元,即當前子樹的根節點。
int pivot = find(B.begin(), B.end(), x) - B.begin(); // 找到 x 在 B 的哪個 index
// 處理左子樹
int lenL = pivot;
// 左子樹的長度
string A_left = A.substr(1, lenL); // 從前序字串中截取左子樹部分
string B_left = B.substr(0, lenL); // 從中序字串中截取左子樹部分
dfs(A_left, B_left); // 遞迴輸出左子樹
// 處理右子樹
int lenR = n - lenL - 1; // 右子樹的長度
string A_right = A.substr(lenL + 1, lenR); // 從前序字串中截取右子樹部分
string B_right = B.substr(lenL + 1, lenR); // 從中序字串中截取右子樹部分
dfs(A_right, B_right); // 遞迴輸出右子樹
cout << x;
// 輸出根節點
}
```
## Binary Tree 性質
- 每個 node 最多只能有 2 個 child node
- Level i 最大節點數: 2^(i-1), i>0,如level 3的Node數最多為 2^(3-1) = 4,如上圖之 DEFG
- Depth k 最大 node 數: 2^k -1, k>0,如上上面 depth 4的數最大可能的Node數量為 2^4 -1 =15