## Flow 問題介紹
???+note "s-t Flow Network"
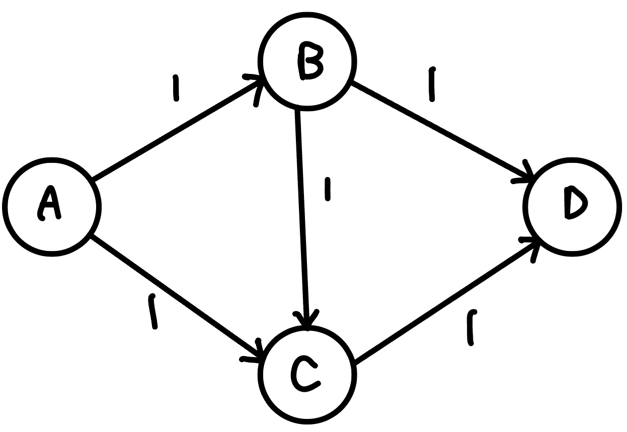
給一個有向圖,每條邊 (u, v) 都有一個邊權 c(u, v) 代表容量上限。有兩個特殊的點,源點和匯點,在所有種流量中最大的稱為最大流
- 網路(Network):圖 G = (V, A) 為一有向圖,稱為網路。
- 源點與匯點(Source and Sink):令一點 s 為源點、一點 t 為匯點,其餘點則為中間點。
- 容量(Capacity):每條邊上定義一個非負數 c(u, v) 為該邊的容量
- 流量(Flow):每條邊上定義一個非負數 f(u, v) 為流量
- 網路的流量(Flow of Network):由源點發出,匯點匯集的總流量 ,匯點匯集的總流量,若其為該網路能產生的最大流量,則稱其為最大流(Maximum Flow)。
{ width="400" }
## Flow 性質
- 容量限制(Capacity Constraints): 每條邊 (u, v) 所經過的流量 f(u, v) <= c(u, v)
- 流量守恆(Flow Conservation): 除了源點和匯點,每個點 u 所流入的流量 = 流出的流量
- 斜對稱(Skew Symmetry): 對於所有的 f(u, v) + f(v, u) = 0,由 u 到 v 淨流量加上由 v 到 u 的淨流量必須為零
- 可行流(Positive Flow):若一個流符合上述三點限制,則稱其為可行流
## 一些定義
### 剩餘網路 (Residual Network)
將每條邊的最大容量扣掉已經流過的流量,即得到剩餘網路。也就是剩餘容量 $c_f(u, v)=c(u, v)-f(u, v)$
{ width="400" }
### 增廣路徑(Augmenting Path)
一條從起點,到終點的路徑,其中每條邊的剩餘容量都 > 0
{ width="400" }
紅色的路徑即為一條增廣路徑
## Maximum s-t flow 演算法
???+note "模板測試 [Kattis - Max flow](https://open.kattis.com/problems/maxflow)"
給一張 $n$ 點 $m$ 邊有向圖,每條邊給定容量 c(u, v),問 $s$ 到 $t$ 的最大流,並輸出每條邊的流量
$2\le n\le 500, 0\le m\le 10^4, 1\le c(u, v) \le 10^8$
??? note "code"
```cpp linenums="1"
#include
#define int long long
#define pii pair
#define ALL(x) x.begin(), x.end()
#define pb push_back
using namespace std;
const int INF = 2e18;
struct dinic {
int n, m, s, t;
struct Edge {
int u, v, cap;
};
vector edges;
vector> G;
vector lv;
vector cur;
void init() {
n = m = 0;
edges = vector();
G = vector>();
}
void add_node() {
n++;
G.push_back({});
}
void add_edge(int u, int v, int cap) {
edges.push_back({u, v, cap});
G[u].push_back(m++);
edges.push_back({v, u, 0LL});
G[v].push_back(m++);
}
bool bfs() {
lv = vector(n, -1);
queue q;
q.push(s);
lv[s] = 0;
while (q.size()) {
int u = q.front();
q.pop();
for (auto id : G[u]) {
Edge &e = edges[id];
if (e.cap > 0 && lv[e.v] < 0) {
lv[e.v] = lv[u] + 1;
q.push(e.v);
}
}
}
return lv[t] >= 0;
}
int dfs(int u, int f) {
if (u == t || f == 0) {
return f;
}
int res = 0;
for (int &i = cur[u]; i < G[u].size(); i++) {
Edge &e = edges[G[u][i]];
Edge &rev = edges[G[u][i] ^ 1];
if (e.cap > 0 && lv[e.v] == lv[u] + 1) {
int a = dfs(e.v, min(f, e.cap));
if (a > 0) {
e.cap -= a;
rev.cap += a;
res += a;
f -= a;
if (f == 0) {
break;
}
}
}
}
return res;
}
int max_flow(int _s, int _t) {
s = _s, t = _t;
int res = 0;
while (bfs()) {
cur = vector(n, 0);
while (true) {
int f = dfs(s, INF);
res += f;
if (f == 0) break;
}
}
return res;
}
void print(int flow) {
vector ans;
for (int i = 1; i < edges.size(); i += 2) {
auto [u, v, cap] = edges[i];
if (cap == 0) continue;
ans.push_back({u, v, cap});
// cout << "u:" << v << ",v:" << u << ",cap:" << cap << "\n";
}
cout << n << " " << flow << " " << ans.size() << "\n";
for (auto [u, v, cap] : ans) {
cout << v << " " << u << " " << cap << "\n";
}
}
} flow;
int n, m, s, t;
void solve() {
cin >> n >> m >> s >> t;
flow.init();
for (int i = 0; i < n; i++) flow.add_node();
int u, v, cap;
for (int i = 0; i < m; i++) {
cin >> u >> v >> cap;
flow.add_edge(u, v, cap);
}
int f = flow.max_flow(s, t);
flow.print(f);
}
signed main() {
// ios::sync_with_stdio (0);
// cin.tie (0);
int t = 1;
while (t--) {
solve();
}
}
```
### Ford–Fulkerson
???+note "算法概要"
1. 每次從 s 開始 dfs 找到一條增廣路徑
2. 找到路徑中流量最小的邊,並更新剩餘網路(亦對逆向邊做更新)
3. 做 1. 2. 直到找不到增廣路徑為止
Ford–Fulkerson 雖然複雜度不佳,但他的精神在後續提到的演算法中都會用到。
每次從 s 開始 dfs 找到一條增廣路徑,找到路徑中流量最小的邊,並將整條路徑填滿,直到找不到 s 到 t 的增廣路徑即結束。
但這樣是否就找到了最大流 ? 我們觀察以下的剩餘網路:
{ width="250" }
若我們第一次選擇流 A → B → C → D 後,就會再也找不到任何增廣路徑
{ width="400" }
但最大流明顯是 A → B → D, A → C → D 這兩條。
因為我們沒有給予返回的機會,也就是相當於第一次找到的不是最優解,那怎麼辦 ?
所以,我們要有一個反向邊,來給程式反悔的機會,每條邊都創造一條反向邊,反向邊的初始容量是 0。
{ width="450" }
當有 f 的流量從 (u, v) 流過時,反向邊 (v, u) 的剩餘流量就加 f
{ width="500" }
可以發現我們就會流過 A → B → C → D 後,還能再流 A → C → B → D,中間被流過去一次,又流回來一次,剛好抵銷掉。第一次我們流了 1 的流量,第二次我們也是流了 1 的流量,所以求出最大流就是 1 + 1 = 2
最差會需要跑 O(F) 回合,每回合做一次 DFS O(E)。
??? note "複雜度 worst case 說明"
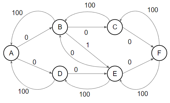
{ width="400" }
考慮上面這張圖跑 Ford–Fulkerson,A 為源點,F 為匯點
{ width="400" }
{ width="400" }
{ width="400" }
{ width="400" }
{ width="400" }
會發現如果我們這樣找增廣路徑 worst case 每次都只會將剩餘流量最大的邊流掉一單位的流量,所以最差會找 O(F) 次增廣路徑
??? note "code"
```cpp linenums="1"
struct FordFulkson {
struct Edge {
int u, v;
long long cap;
};
int n, m, s, t;
vector> G;
vector edges;
vector vis;
void init() {
n = 0;
m = 0;
G.clear();
edges.clear();
}
int add_node() {
n++;
G.push_back({});
return n - 1;
}
void add_edge(int u, int v, long long cap) {
edges.push_back({u, v, cap});
G[u].push_back(m++);
edges.push_back({v, u, 0ll});
G[v].push_back(m++);
}
long long dfs(int u, long long f) {
if (vis[u] || f == 0) return 0;
vis[u] = true;
if (u == t) return f;
for (int ei : G[u]) {
Edge& e = edges[ei];
Edge& rev = edges[ei ^ 1];
long long a = dfs(e.v, min(f, e.cap));
if (a > 0) {
e.cap -= a;
rev.cap += a;
return a;
}
}
return 0;
}
long long max_flow(int _s, int _t) {
s = _s, t = _t;
long long res = 0;
while (true) {
vis = vector(n, false);
long long f = dfs(s, LLONG_MAX);
if (f == 0) break;
res += f;
}
return res;
}
} flow;
```
??? question "如果是無向圖怎麼處理 ?"
跟 dijkstra 一樣,將無向邊看成兩條獨立的有向邊。因為最後只會使用來、回其中一側(若兩側都使用可以互相消掉),如圖
{ width="400" }
那要怎麼實作 ? 我們對於來、回這兩個有向邊,依照 Ford–Fulkerson,除了原本的方向外,都各自建立一條逆向邊,逆向邊的流量都會是 0,也就是 u 與 v 之間就會產生 4 條邊。輸出答案就看哪一側流過去的比較多,就輸出那個方向,也就是看來、回分別的「逆向邊」的剩餘流量。如下圖
{ width="200" }
(v, u) 的逆向邊剩餘流量為 2,(u, v) 的逆向邊剩餘流量為 1,因為 2 - 1 = 1,所以最後就是輸出從 (v, u) 流過去 1 單位
### Edmond-Karp
???+note "算法概要"
1. 每次從 s 開始 bfs 找到一條最短的增廣路徑
2. 找到路徑中流量最小的邊,並更新剩餘網路(亦對逆向邊做更新)
3. 做 1. 2. 直到找不到增廣路徑為止
Edmonds-Karp 跟 Ford–Fulkerson 只差在每次找的是**最短的一條**增廣路徑。
一個網路最多只有 O(VE) 條增廣路徑,而找一條增廣路徑需要 O(E) bfs,所以總複雜度為 O(min(VE2, FE))
??? info "證明: 最短增廣路的距離非遞減"
先假設一些變數
- 設 $\delta_f(s,x)$ 為增廣前的剩餘網路中,源點到 $x$ 的最短距離。
- 令 $v$ 是在某次增廣後 $\delta_f(s,v)$ 變小的點中距離源點最近的點
- 設 $\delta_{f'}(s,x)$ 為增廣後的剩餘網路中,源點到 $x$ 的最短距離。 則可以得到 $\delta_{f'}(s,v)<\delta_f(s,v)$
- 令 $u$ 是在增廣後的剩餘網路中,從源點到 $v$ 之最短路徑的前一個節點,則 $\delta_{f'}(s,v)=\delta_{f'}(s,u)+1$
又因為我們選擇 $v$ 的方式,因此
$\delta_{f}(s,u) \le\delta_{f'}(s,u)$
$\Rightarrow \delta_{f}(s,u) +1\le\delta_{f'}(s,u)+1$
又 $\delta_{f'}(s,v)=\delta_{f'}(s,u)+1$,所以 $\delta_f(s,u)+1<\delta_{f'}(s,v)$
而 $\delta_{f'}(s,v)<\delta_f(s,v)$,得 $\delta_f(s,u)+1<\delta_{f}(s,v)$
也就是說 $(u,v)$ 邊沒有剩餘流量,因為如果 $(u,v)$ 邊還有剩餘流量的話代表 $\delta_f(s,v)\le \delta_{f}(s,u)+1$
$(u,v)$ 邊在增廣前沒有剩餘流量,但增廣後有剩餘流量, 代表在這次增廣時有通過 $(v,u)$ 邊,所以 $\delta_f(s,v)+1=\delta_f(s,u)$ ,但是這與 $\delta_f(s,u)+1<\delta_{f}(s,v)$ 矛盾,因此不存在這樣的 $v$ 點 ⇒ 最短增廣路的距離非遞減
??? note "Edmonds-Karp 過程 - 範例"
{ width="400" }
考慮上面這張圖跑 Edmonds-Karp,A 為源點,F 為匯點
{ width="400" }
找到 A → B → E → F,流量為 1
{ width="400" }
找到 A → B → C → F,流量為 99
{ width="400" }
找到 A → D → E → F,流量為 99
{ width="400" }
找到 A → D → E → B → C → F,流量為 1
{ width="400" }
A 無法走到 F,總流量為 200,可以發現因為我們每次都挑最短的走,比上面 Ford–Fulkerson 要少跑了好幾輪
??? note "code"
```cpp linenums="1"
struct EdmondsKarp {
struct Edge {
int u, v;
long long cap;
};
int n, m, s, t;
vector> G;
vector edges;
void init() {
n = 0;
m = 0;
G.clear();
edges.clear();
}
int add_node() {
n++;
G.push_back({});
return n - 1;
}
void add_edge(int u, int v, long long cap) {
edges.push_back({u, v, cap});
G[u].push_back(m++);
edges.push_back({v, u, 0ll});
G[v].push_back(m++);
}
long long bfs() {
vector> pre(n, {-1, 0});
queue que;
que.push(s);
pre[s] = {0, LLONG_MAX};
while (que.size()) {
int u = que.front();
que.pop();
for (int ei : G[u]) {
Edge& e = edges[ei];
if (e.cap > 0 && pre[e.v].first == -1) {
pre[e.v] = {ei, min(pre[u].second, e.cap)};
que.push(e.v);
}
}
}
if (pre[t].first == -1) return 0;
long long f = pre[t].second;
int w = t;
while (w != s) {
int ei = pre[w].first;
edges[ei].cap -= f;
edges[ei ^ 1].cap += f;
w = edges[ei].u;
}
return f;
}
long long max_flow(int _s, int _t) {
s = _s, t = _t;
long long res = 0;
while (true) {
long long f = bfs();
if (f == 0) break;
res += f;
}
return res;
}
} flow;
```
### Dinic
???+note "算法概要"
1. 每次從 s 開始 bfs 建立最短路徑圖
2. 在這個「最短路徑圖」上 dfs 找增廣路徑,直到找不到為止
3. 重複 1. 2. 直到找不到增廣路徑
Dinic 演算法跟 Edmond-Karp 不同的是,每次把所有長度為 k 的增廣路找出來後,一直進行增廣。從 s 到 t 距離為 k 的點會形成最短路徑 DAG,網路上也有人稱這個叫層次圖(level graph)。Dinic 算法每次會先用 bfs 建立最短路徑 DAG,再用 dfs 在 DAG 上不斷的找增廣路,直到找不到,然後再用 bfs 再建立一張最短路徑 DAG,然後再用 dfs 在 DAG 上面不斷的找增廣路,一直做下去。
在最短路徑 DAG 上的增廣路長度最多 O(V),每次做完一條邊就會從最短路徑 DAG 消失,最多消失 m 條邊,所以找到 blocking flow 會花費 O(VE)。每次 BFS s-t 距離至少增加 1,至多做 V 次 BFS,總時間為 O(min(V2E, FE))
dinic Matching 複雜度為 O(E * sqrt(V))
??? note "code"
```cpp linenums="1"
struct Dinic {
struct Edge {
int u, v;
long long cap;
};
int n, m, s, t;
vector> G;
vector edges;
vector lv;
vector cur;
void init() {
n = 0;
m = 0;
G.clear();
edges.clear();
}
int add_node() {
n++;
G.push_back({});
return n - 1;
}
void add_edge(int u, int v, long long cap) {
edges.push_back({u, v, cap});
G[u].push_back(m++);
edges.push_back({v, u, 0});
G[v].push_back(m++);
}
bool bfs() {
lv = vector(n, -1);
queue que;
que.push(s);
lv[s] = 0;
while (!que.empty()) {
int u = que.front();
que.pop();
for (int ei : G[u]) {
Edge &e = edges[ei];
if (lv[e.v] < 0 && e.cap > 0) {
lv[e.v] = lv[u] + 1;
que.push(e.v);
}
}
}
return lv[t] >= 0;
}
long long dfs(int u, long long f) {
if (u == t || f == 0) return f;
long long res = 0;
for (int &i = cur[u]; i < (int)G[u].size(); i++) {
int ei = G[u][i];
Edge &e = edges[ei];
Edge &rev = edges[ei ^ 1];
if (e.cap > 0 && lv[e.v] == lv[u] + 1) {
long long a = dfs(e.v, min(f, e.cap));
if (a > 0) {
e.cap -= a;
rev.cap += a;
res += a;
f -= a;
if (f == 0) break;
}
}
}
return res;
}
long long max_flow(int _s, int _t) {
s = _s, t = _t;
long long res = 0;
while (bfs()) {
cur = vector(n, 0);
while (true) {
long long f = dfs(s, LLONG_MAX);
if (f == 0) break;
res += f;
}
}
return res;
}
} flow;
```
### 複雜度比較
| | Flow | Matching |
| ----------------- | -------------------------- | -------------- |
| Ford-Fulkerson | O(EF) | O(VE) |
| Edmond-Karp | O(min(VE2, FE)) | |
| Dinic(常數級小) | O(min(V2E, FE)) | O(E * sqrt(V)) |
## 最小割(Min Cut)
定義一個 s-t cut $C = (S \text{-component}, T\text{-component})$ 是將點分成與 s 同一塊或與 t 同一塊。定義 $C$ 的 cut-set 為 $\{(u, v) \in E \mid u \in S\text{-component}, v \in T\text{-component}\}$,使得在 cut-set 的邊都被刪掉後,s 到 t 的 Max Flow 是 0(i.e. s 和 t 不連通)。
s-t cut 的 cost 為 cut-set 內的邊的 capacity 總和,min cut 就是要最小化這個 cost。簡單來說就 Min Cut 是選一些邊,使得刪掉後 s, t 不連通,並且 capacity 最小
{ width="300" }
以這個例子來說,min cut 就是 2 + 2 = 4(從 t 到 s 的邊雖有被切到,但不計算在 s-t 割,因為對 s 能不能走到 t 的連通性沒有影響)
min cut 為什麼很多圖片都會用一條線來切割,因為我們可以想成把 S-component 與 T-component 拔開,中間就會產生好幾條連通兩側的邊,這條線就代表著 min cut 會切割這些邊
??? info "【Max Flow Min Cut Theorm】: max flow = min cut"
max flow <= cut
Max Flow 可以想成很多個 disjoint path,任何的 cut 一定都會切到這些 path,所以任何 cut 不會比任何 flow 小。
---
感性的理解,s-t 若想要流出最大流量,必定會有瓶頸處形成 s-t 最小割
---
> 對偶性 Duality(from IOIC 2016)
問題常常是一體兩面,某個求最大值的問題常常等價於另一個求最小值的問題,例如說:
- 「你會的問題裡最難的一個」差不多就是 「你不會的問題裡最簡單的一個」
- 「給你 1000 元你最多可以活多久」跟 「你要活一個月至少需要多少錢?」差不多
那最大流的對偶是什麼呢 ? 一個網路的最大流,就是那些被「堵住」的水管的淨流量,這些堵住的水管會把點分成兩群。
### 如何輸出一個 mincut
min-cut 就是做 max-flow 後,從 s 半邊指到 t 半邊的那些邊。做完 max-flow 後做一次 bfs / dfs,並只走還沒流滿的邊,可以走到的點即為 s 半邊,不能走到的點即為 t 半邊的點,掃過所有的邊檢查兩端點的狀況,輸出符合條件的即為所求。
感性的理解,為什麼可以這樣做,其實可以把 s 開始走還沒流滿的邊視為無關緊要的邊,若碰到一個會流滿的地方就會是瓶頸處
???+note "code"
```cpp linenums="1"
bool side[MAXN];
void cut(int u) {
side[u] = 1;
for (int i : G[u]) {
if (!side[edges[i].v] && edges[i].cap) {
cut(edges[i].v);
}
}
}
```
??? question "求 S-component 點數最少/最多的 mincut"
最少: 從 s 開始走沒有流滿的 edges,走到的點就是答案
最多: 從 t 開始走沒有流滿的 edges,沒走到的點就是答案
???+note "模板測試 [Kattis - Min Cut](https://open.kattis.com/problems/mincut)"
給一張 $n$ 點 $m$ 邊有向圖,每條邊給定容量 c(u, v),問 $s$ 到 $t$ 的 min cut,並輸出 S-component 內的點
$2\le n\le 500, 0\le m\le 10^4, 1\le c(u, v) \le 10^8$
??? note "code"
```cpp linenums="1"
#include
#define int long long
#define pii pair
#define ALL(x) x.begin(), x.end()
#define pb push_back
using namespace std;
const int INF = 2e18;
struct dinic {
int n, m, s, t;
struct Edge {
int u, v, cap, w;
};
vector> G;
vector edge;
vector cur;
vector lv;
vector slide;
vector ans;
void init() {
n = m = 0;
edge.clear();
G.clear();
cur.clear();
lv.clear();
slide.clear();
ans.clear();
}
void add_node() {
n++;
G.pb({});
}
void add_edge(int u, int v, int cap) {
G[u].pb(m++);
edge.pb({u, v, cap});
G[v].pb(m++);
edge.pb({v, u, 0LL});
}
int bfs() {
lv = vector(n, -1);
queue q;
q.push(s);
lv[s] = 0;
while (q.size()) {
int u = q.front();
q.pop();
for (auto id : G[u]) {
Edge &e = edge[id];
if (e.cap > 0 && lv[e.v] == -1) {
lv[e.v] = lv[e.u] + 1;
q.push(e.v);
}
}
}
return lv[t] >= 0;
}
int dfs(int u, int f) {
if (u == t || f == 0) return f;
int res = 0;
for (int &i = cur[u]; i < G[u].size(); i++) {
Edge &e = edge[G[u][i]];
Edge &rev = edge[G[u][i] ^ 1];
if (e.cap > 0 && lv[e.v] == lv[e.u] + 1) {
int x = dfs(e.v, min(f, e.cap));
if (x > 0) {
res += x;
f -= x;
e.cap -= x;
rev.cap += x;
if (f == 0) break;
}
}
}
return res;
}
void cut(int u) {
slide[u] = 1;
ans.pb(u);
for (auto id : G[u]) {
Edge &e = edge[id];
if (slide[e.v] == -1 && e.cap > 0) {
cut(e.v);
}
}
}
void min_cut() {
slide = vector(n, -1);
cut(s);
cout << ans.size() << "\n";
for (int it : ans) cout << it << "\n";
}
int max_flow(int _s, int _t) {
s = _s, t = _t;
int ans = 0;
while (bfs()) {
cur = vector(n, 0);
while (true) {
int f = dfs(s, INF);
if (f == 0) break;
ans += f;
}
}
return ans;
}
} flow;
void solve() {
int n, m, s, t;
cin >> n >> m >> s >> t;
flow.init();
for (int i = 0; i < n; i++) flow.add_node();
int u, v, cap;
for (int i = 0; i < m; i++) {
cin >> u >> v >> cap;
flow.add_edge(u, v, cap);
}
int f = flow.max_flow(s, t);
flow.min_cut();
}
signed main() {
// ios::sync_with_stdio (0);
// cin.tie (0);
int t = 1;
while (t--) {
// init ();
solve();
}
}
```
### min cut 應用
???+note "生產產品問題 [NCTUOJ 1138. 成本利潤問題 (Group 31)](https://oj.nctu.edu.tw/problems/1138/)"
有 $n$ 種工具和 $m$ 種工作,每種工作需要若干種工具。第 $i$ 種工具需要花 $c_i$ 元買下來,第 $i$ 種工作的報酬為 $p_i$,求最大利潤
{ width="300" }
$1 \le n, m \le 500,$ 物品需求關係數量 $\le 2\times 10^4$
??? note "思路"
先建圖,左半排擺工具,右半排擺工作,成本和報酬為邊權,若方案 i 需要工具 j,則連邊 (j, i)
{ width="400" }
因為 min cut 要最小化,切到的就會是**要買的工具 C** 和**不賺的工作 P'**。若選完 maximum flow > 0
{ width="400" }
最後答案就是 $\sum P$ - (C + P')
我們來驗證為什麼這個問題可以轉換成 min cut,以上圖的工作 p1 來說:
- 不做 p1 → c1, c3 選不選都無所謂
- min cut 的角度: 切 p1 → c1, c3 切不切都無所謂
- 做 p1 → c1, c3 一定要選
- min cut 的角度: 不切 p1 → c1, c3 都一定要被切
???+note "最大權閉包問題 [NCTUOJ 731. 最大權閉包問題 (Group 19)](https://oj.nctu.edu.tw/problems/731/)"
給 n 個人的受歡迎程度和每個人的好友列表 (好友並非雙向關係),若第 i 個人要參加聚會的話則他的所有好友都要參加聚會,要邀請若干個人使得受歡迎程度總和最大
1 ≤ n ≤ 100, 1 ≤ m ≤ 1000
??? note "思路"
將受歡迎程度為負的當成要付出成本的工具,將受歡迎程度為正的當成可以賺錢的方案,A 要來的話 B 就要來,就很像要用 A 方案賺錢,就要買 B 工具,因此若有關係 A 來的話 B 一定要來,則要連結邊 (B, A)
{ width="400" }
得到的最小割為要來的負受歡程度的人和不來的正受歡迎程度的人,如同成本利潤問題,用正受歡迎程度的人的總和扣掉最小割即為答案
---
我們來驗證為什麼這個問題可以轉換成 min cut,假設如果 u 要選 v 就要選,我們有 edge(v, u):
- 不選 u → v 選不選都無所謂
- min cut 的角度: 切 u → v 切不切都無所謂
- 選 u → v 一定要選
- min cut 的角度: 不切 u → v 都一定要被切
再來說明為何 edge 會從左到右。假設如果 u 要選 v 就要選,我們有 edge(v, u),為左到右的 edge,且 weight = INF,使得 min cut 不可能會切這條邊,所以不會發生 u 有選 v 沒有選的情況
???+note "雙機工作分配"
有兩台主機 A, B,有 n 個工作被執行,第 i 個工作在 A 主機執行需要耗電 a[i] 單位,在 B 主機執行需要耗電 b[i] 單位,有 m 組工作之間有相依關係,工作 i 與工作 j 若在不同主機執行,需要額外 p(i, j) 單位電力,決定每個工作依序要在哪個主機執行,最小化耗電
1 ≤ n ≤ 500, 1 ≤ m ≤ 10000
??? note "思路"
mincut 會將點分成兩群,不同群的點之間的 cost 會被 cut 到
{ width="400" }
S-component 給機器 B, T-component 給機器 A
---
我們來驗證轉換成 min cut 的正確性,假設每個工作都已經確定好是機器 A 還是機器 B 了:
- 若為機器 A,必須產生 a[i] 的 cost
- i 在 T-component 內,所以在 edge(s, i) 上有 cost = a[i] 的 cut
- 若為機器 B,必須產生 b[i] 的 cost
- i 在 S-component 內,所以在 edge(i, t) 上有 cost = b[i] 的 cut
- i 在 B 執行 j 在 A 執行,必須產生 p(i, j) 的 cost
- i 在 S-component 內,j 在 T-component 內,所以有 cost(i, j)
???+note "[TOI 2019 pE. 傳真修復 (fixing)](https://sorahisa-rank.github.io/oi-toi/2019/problems.pdf#page=6)"
給一個 n * m 的 grid,每個格子上都有圖黑色或白色。問花費最少多少:
- 若相鄰的格子不同顏色,會產生 1 單位的花費
- 改變一個格子的顏色,會產生 2 單位的花費
$n\le 30, m\le 30$
??? note "思路"
建圖,格子當點,格子與格子間建立無向邊,cost = 1,起點到白點建立有向邊,cost = 2,黑點到終點建立 cost = 1 的有向邊
{ width="400" }
跟上一題一樣,要將點分兩群,變 S-component 與 T-component。,S-component 代表是白色,T-component 代表是黑色
---
我們來驗證為轉換成 min cut 的正確性,假設每個格子都已經確定好是白色或黑色:
- 若 i 從白變黑,產生 2 的 cost
- i 在 T-component 內,所以在 edge(s, i) 上有 cost = 2 的 cut
- 若 i 從黑變白,產生 2 的 cost
- i 在 S-component 內,所以在 edge(i, t) 上有 cost = 2 的 cut
- i 是白,j 是黑,產生 1 的 cost
- i 在 S-component 內,j 在 T-component 內,所以有 cost = 1
## 二分圖系列
### 二分圖最大匹配
???+note "問題"
給一個二分圖,選一些邊使任意兩條邊都沒有公共的頂點,且數量越大越好,也就是最大匹配,並輸出一組答案
創兩個超級源點和超級匯點,所有邊權都是 1,求 max flow 就是答案。輸出答案即看位於兩排中央流滿的邊,極為所求。
{ width="300" }
### DAG 最小路徑覆蓋
???+note "問題"
給一張 n 點 m 邊的 DAG,最少選幾條路徑才可以蓋住所有的點,且任兩條路徑不能有共通的點,也就是問 disjoint path 數量
{ width="300" }
??? info "不重疊路徑數 + 路徑長總和 = n"
對於每個點,有被覆蓋到 iff
- 前面有一條邊連接
- 為 disjoint path 的開頭
因此每個點都貢獻都可以分成上述兩種 case,而點的數量為 n,不重疊路徑數 + 路徑長總和自然就是 n
{ width="300" }
路徑上會滿足每個點的 in-degree 和 out-degree 至多都是 1,所以我們可以將每個點拆成入點跟出點,進行二分圖最大匹配
{ width="300" }
### 二分圖最小點覆蓋
???+note "問題"
給一個二分圖,選擇最少的點來覆蓋所有的邊,且數量越小越好,也就是最小點覆蓋,並輸出一組答案
??? info "【Kőnig's theorem】: 在二分圖中,|最小點覆蓋| = |最大匹配|"
這邊給出 Kőnig's theorem 的構造法證明,也就是「為何一定找的到一組最小點覆蓋,其數量恰為 max flow」。
最小點覆蓋顧名思義就是要找到一些重要的點,並且這些點要越少越好,考慮 min cut,min cut 可以找到重要的邊,使 s 跟 t 的 max flow = 0,而且數量最小化,我們使用找一組 min cut 的方法,從 s 開始走還沒流滿的邊,找出 S-component, T-component
{ width="400" }
綠色即為 S-component, 紫色即為 T-component
以上圖來說,我們用 dfs 從 s → 4 → 6 → 1 找出 S-component,其餘的則是 T-component
{ width="400" }
將 (u ∈ S, v ∈ T) 的用橘色標記出來,即為 min cut
因為依照 min cut 的定義,將橘色這些邊刪除後 s 到 t 的 max flow = 0,代表橘色這些邊相鄰且在中間的點足以支配中間的每一條邊,而又 min cut = max flow,所以最小點覆蓋數量 = min cut = max flow。具體要選哪些中間的點,如下:
- 左邊且在 T-component 中
- 右邊且在 S-component 中
{ width="400" }
粗框的點就是最小點覆蓋
根據 Kőnig's theorem,我們得知最小點覆蓋數量跟最大匹配的數量是一樣的,也就是 max flow。若要輸出答案,那我們就選以下這些點即可
- 左邊跟 mincut 同 t 側的的點
- 右邊跟 mincut 同 s 側的的點
具體為什麼可以這樣做在上面 Kőnig's theorem 的構造法證明中有提到
???+note "[CSES - Coin Grid](https://cses.fi/problemset/task/1709)"
給一個 $n\times n$ 的 Grid,有些格子上有錢幣。每次可以移除一個 row 或一個 col 的所有錢幣,問最少要幾次操作
### 二分圖最大獨立集
???+note "問題"
給一個二分圖,選一些點使選的點兩兩不相鄰,且數量越大越好,也就是最大獨立集,並輸出一組答案
??? info "定理: 在一般圖上,|最小點覆蓋| + |最大獨集| = n"
【證明】: 最小點覆蓋以外都是最大獨立集
每條邊都會被最小覆蓋支配(每條邊至少會有一個點被最小點覆蓋選到),所以剩餘的點跟點之間不可能會有一條邊(有的話代表沒被支配),符合最大獨立集定義
所以答案就是 n - max flow。輸出答案的話,就把最小點覆蓋沒選到的點都選起來
{ width="250" }
藍色為最小點覆蓋, 紅色為最大獨集
### 比較
- 在二分圖下
- 最大匹配 (MM) = 最小點覆蓋 (MVC)
- 最大獨立集 (MIS) + 最小點覆蓋 (MVC) = n
- 都可以用 max flow 在多項式時間解出
- 在一般圖下
- 最大獨立集 (MIS) + 最小點覆蓋 (MVC) = n
- 最大獨立集,最小點覆蓋 : NP-hard 問題 (目前已知的演算法只能指數時間解出)
- 最大匹配 : P 問題
## min cost max flow
???+note "題目"
給一個有向圖,每條邊 (u, v) 都有一個邊權 c(u, v) 代表容量上限,有 cost(u, v)代表在這條邊流過一單位的流所需要的成本,找一個 flow 使 $\sum f(u,v)\times cost(u,v)$ 最小
概念和 Ford-Fulkson 一樣找增廣路徑,但是每次要找最便宜的。每條邊我們會多紀錄一個成本 cost(u, v),對於反向邊的成本為負的正向邊成本,退流的時候等價於抵銷成本。因為圖上有負邊,所以必須用 Bellman-Ford 或是 SPFA 來找最短路徑
複雜度跟 Fulk-Fulkerson 就差在一個是 dfs,一個是 Bellman-Ford,而 Bellman-Ford 是 O(VE),所以複雜度就是 O(F * VE)
??? note "code"
```cpp linenums="1"
const int INF = (1LL << 60);
struct dinic {
int n, m, s, t;
struct Edge {
int u, v, w, cap;
};
vector> G;
vector edges;
void init() {
n = m = 0;
G = vector>();
edges = vector();
}
void add_node() {
n++;
G.push_back({});
}
void add_edge(int u, int v, int cap, int w) {
edges.push_back({u, v, w, cap});
G[u].push_back(m++);
edges.push_back({v, u, -w, 0LL});
G[v].push_back(m++);
}
pair flow(int _s, int _t) {
s = _s, t = _t;
int cost = 0, fl = 0;
while (true) {
vector inq(n, 0);
vector dis(n, INF);
vector pre_node(n, -1);
vector pre_eid(n, -1);
queue q;
q.push(s);
dis[s] = 0;
while (q.size()) {
int u = q.front();
q.pop();
if (inq[u]) {
inq[u] = false;
}
for (auto id : G[u]) {
Edge &e = edges[id];
if (e.cap > 0 && dis[u] + e.w < dis[e.v]) {
dis[e.v] = dis[u] + e.w;
pre_node[e.v] = u;
pre_eid[e.v] = id;
if (!inq[e.v]) {
inq[e.v] = true;
q.push(e.v);
}
}
}
}
if (dis[t] == INF) {
break;
}
int tf = INF;
for (int u, v = t, eid; v != s; v = u) {
u = pre_node[v];
eid = pre_eid[v];
tf = min(tf, edges[eid].cap);
}
for (int u, v = t, eid; v != s; v = u) {
u = pre_node[v];
eid = pre_eid[v];
edges[eid].cap -= tf;
edges[eid ^ 1].cap += tf;
}
cost += tf * dis[t];
fl += tf;
}
return {fl, cost};
}
} flow;
```
???+note "模板測試 [Kattis - Minimum Cost Maximum Flow](https://open.kattis.com/problems/mincostmaxflow)"
給一張 $n$ 點 $m$ 邊有向圖,每條邊給定容量 c(u, v) 與 w(u, v),問 $s$ 到 $t$ 的最大流,和 min cost
$2\le n\le 250, 0\le m\le 10^5, 1\le c(u, v) \le 10^8$
??? note "code"
```cpp linenums="1"
#include
#define int long long
using namespace std;
const int INF = (1LL << 60);
const int M = 1e9 + 7;
struct dinic {
int n, m, s, t;
struct Edge {
int u, v, w, cap;
};
vector> G;
vector edges;
void init() {
n = m = 0;
G = vector>();
edges = vector();
}
void add_node() {
n++;
G.push_back({});
}
void add_edge(int u, int v, int cap, int w) {
edges.push_back({u, v, w, cap});
G[u].push_back(m++);
edges.push_back({v, u, -w, 0LL});
G[v].push_back(m++);
}
pair flow(int _s, int _t) {
s = _s, t = _t;
int cost = 0, fl = 0;
while (true) {
vector inq(n, 0);
vector dis(n, INF);
vector pre_node(n, -1);
vector pre_eid(n, -1);
queue q;
q.push(s);
dis[s] = 0;
while (q.size()) {
int u = q.front();
q.pop();
if (inq[u]) {
inq[u] = false;
}
for (auto id : G[u]) {
Edge &e = edges[id];
if (e.cap > 0 && dis[u] + e.w < dis[e.v]) {
dis[e.v] = dis[u] + e.w;
pre_node[e.v] = u;
pre_eid[e.v] = id;
if (!inq[e.v]) {
inq[e.v] = true;
q.push(e.v);
}
}
}
}
if (dis[t] == INF) {
break;
}
int tf = INF;
for (int u, v = t, eid; v != s; v = u) {
u = pre_node[v];
eid = pre_eid[v];
tf = min(tf, edges[eid].cap);
}
for (int u, v = t, eid; v != s; v = u) {
u = pre_node[v];
eid = pre_eid[v];
edges[eid].cap -= tf;
edges[eid ^ 1].cap += tf;
}
cost += tf * dis[t];
fl += tf;
}
return {fl, cost};
}
} flow;
signed main() {
ios::sync_with_stdio(0);
cin.tie(0);
int n, m, s, t;
cin >> n >> m >> s >> t;
flow.init();
for (int i = 1; i <= n; i++) flow.add_node();
for (int i = 0; i < m; i++) {
int u, v, cap, w;
cin >> u >> v >> cap >> w;
flow.add_edge(u, v, cap, w);
}
auto [f, cost] = flow.flow(s, t);
cout << f << " " << cost << "\n";
}
```
???+note "[CSES - Distinct Routes II](https://cses.fi/problemset/task/2130)"
給一張 n 點 m 邊有向圖,有源點 1 走到匯點 n,每條邊 (u, v) 最多只能走 c(u, v) 次,且經過的 cost 都是 1,最少需要花多少 cost 才能走出 k 條 disjoint path
$n\le 10^5, m\le 10^5, 1\le k\le n - 1$
??? note "思路"
若邊的費用都是 0,只需要判斷 s-t maximum flow 是否大於等於 k
邊有費用,權重都是 1 or -1,可以每次用 Bellman-Ford O(nm) 找到起點終點最便宜增廣路徑,共會跑 k 次,所以是 O(n * m * k)
???+note "[LOJ #6011. 「网络流 24 题」运输问题](https://loj.ac/p/6011)"
有 $m$ 個倉庫和 $n$ 個零售店,第 $i$ 個倉庫有 $a_i$ 的貨物,第 $j$ 個零售店需要 $b_j$ 的貨物,供需平衡。從第 $i$ 個倉庫運送一單位貨物到第 $j$ 個零售店需要 $c_{i,j}$ 的費用,求滿足供需的最少費用。
$n, m\le 100$
??? note "思路"
使用 MCMF
- 將 s 向 m 個倉庫連邊,capacity = a[i], cost = 0
- 將第 i 個倉庫與第 j 個零售店連邊,capacity = INF, cost = c[i][j]
- n 個零售店向 t 連邊,capacity = c[i], cost = 0
???+note "二分圖帶權最大匹配 [CSES - Task Assignment](https://cses.fi/problemset/task/2129)"
有 n 個人和 n 個工作,編號 i 的人做工作 j 要 cost(i, j) 的費用,每個工作分配給一個人做,每個人只能做一個工作,最小化總共的費用
$n\le 200, 1\le c_{i, j}\le 1000$
??? note "思路"
用 MCMF,將人與工作個擺兩邊,中間用 capactity = 1, cost = cost(i, j) 的邊連接,s 連接所有人,capacity = 1, cost = 0,所有工作連接 t,capacity = 1, cost = 0
複雜度為 O(n) 次 SPFA,SPFA 複雜度 O(V * E) = O(n * n^2),所以是 O(n^4)
## 建模技巧(Flow Graph Modeling)
### 多源點多匯點
建立一個超級源點和超級匯點,和原本的源點與匯點連接,capacity 設為無限大
{ width="700" }
### 點有流量限制
將每個點拆成兩個點,中間用對應的流量限制當邊的 capacity
{ width="700" }
## 題目
???+note "[CSES - Distinct Routes](https://cses.fi/problemset/task/1711)"
給一張 n 點 m 邊的圖,最多找到幾條 disjoint path
$2\le n\le 500, 1\le m\le 1000$
??? note "思路"
edges capacity 設為 1,跑 max flow
- [LOJ 網路流 24 題](https://loj.ac/problems/tag/30)
## 參考資料
-
-
-
-
-
-
-