1. Chapter02 SHH模型以及拓展
本章主题
- 我先介绍SHH模型,一个关于电子在晶格跃迁的模型
- 在SHH模型基础上加入位能(on-site potential),得到Rice-Mele模型
- 如果我们加入的位能是复数形式,于是我们把SHH模型拓展到非厄密形式
- Rice-Mele模型的维度拓展到2维,得到Qi-Wu-Zhang模型
1.1. 参考文献
- 《A Short Course on Topological Insulators: Band Structure and Edge States in One and Two Dimensions》 János K. Asbóth (2016)
2. SHH模型
SHH模型的哈密顿量
H=j=1∑2N(2to+(−1)j2δ)(cj†cj+1+ h.c. )
新的标记方式
- cj 湮灭子晶格A的电子
- dj 湮灭子晶格B的电子
SHH模型的哈密顿量可以写成
H=21j∑Nintracell hopping (to−δ)(cj†dj+ h.c. )+intercell hopping (to+δ)(cj+1†dj+ h.c. )
2.1. 实空间能谱
跃迁幅度标记为
- v=to−δ
- w=to+δ
SHH模型的哈密顿量可以写成
H=21j∑Nintracell hopping v(cj†dj+ h.c. )+intercell hopping w(cj+1†dj+ h.c. )=[A†B†][0HABTHAB0][AB]
哈密顿量对应的薛定谔方程
H^bulk∣Ψn(k)⟩=En(k)∣Ψn(k)⟩
不含时间情况下,就是本征方程,写成矩阵形式
⎝⎜⎜⎜⎜⎜⎜⎜⎜⎜⎜⎛0v00000wv0w000000w0v000000v0w000000w0v000000v0w000000w0vw00000v0⎠⎟⎟⎟⎟⎟⎟⎟⎟⎟⎟⎞⎝⎜⎜⎜⎜⎜⎜⎜⎜⎜⎜⎛a(k)eikb(k)eika(k)e2ikb(k)e2ika(k)e3ikb(k)e3ika(k)eNikb(k)eNik⎠⎟⎟⎟⎟⎟⎟⎟⎟⎟⎟⎞=E(k)⎝⎜⎜⎜⎜⎜⎜⎜⎜⎜⎜⎛a(k)eikb(k)eika(k)e2ikb(k)e2ika(k)e3ikb(k)e3ika(k)eNikb(k)eNik⎠⎟⎟⎟⎟⎟⎟⎟⎟⎟⎟⎞
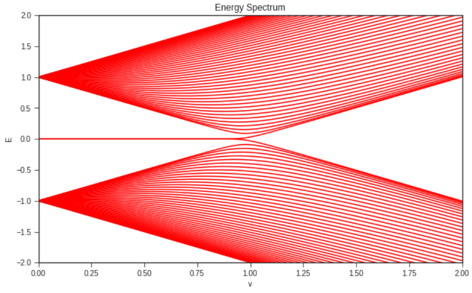
对角化矩阵,得到本征值,固定 w=1 改变参数 v,画出下图

可以看出
- 当 v<w 时,存在一个能量为零的态。
- 当 v>w 时,能量为零的态消失。
为了弄清楚这个量为零的态,让我们进入动量空间,探索系统的性质。
2.2. k空间本征问题
傅里叶变换
cj=N1∑kei(j−21)kckdj=N1∑keijkdk
SHH模型的实空间哈密顿量变成
H=====2N1j,k,k′∑(e−i(j−21)k+ijk′ck†dk′+ h.c. )(to−δ)+(e−i(j+21)k+ijk′ck†dk′+ h.c. )(to+δ)2N1j,k,k′∑(eij(k′−k)e+i2kck†dk′+ h.c. )(to−δ)+(eij(k′−k)e−i2kck†dk′+ h.c. )(to+δ)21k∑(ck†dke+i2k+ h.c. )(to−δ)+(ck†dke−i2k+ h.c. )(to+δ)21k∑[to(e+i2k+e−i2k)+δ(e−i2k−e+i2k)]ck†dk+ h.c. k∑[tocos2k−iδsin2k]ck†dk+ h.c k∑(ck†dk†):=H~(k)(0tocos2k+iδsin2ktocos2k−iδsin2k0)(ckdk)
或者在新标记 v=to−δ 和 w=to+δ 下
H(k)=(0v+weikv+we−ik0)
矩阵的本征值,也就是色散关系
E±(k)=±v2+w2+2vwcosk
对应的本征态
∣ψ+⟩=21(v+weikE+)
∣ψ−⟩=21(v+weik−E+)
2.2.1. 能谱
对于不同参数,色散关系
E(k)=±∣∣v+e−ikw∣∣=±v2+w2+2vwcosk
作图

只要跳跃幅度不相等v≠w,就会出现能量分裂(energy gap),满带和空带分开大小2Δ
Δ=kmin∣E(k)∣=∣v−w∣
如果v=w,那么SHH就是描述导体了。平面波本征态之间能量可以任意小,物理上就是电子传输。
从参数变化的过程中,我们看到在 v=w 的时候,系统经历了一次能隙的闭合打开。
一般来说能隙的闭合打开意味着发生相变,所以接下来计算贝利相位,一个可以描述系统拓扑的参数。
2.2.2. 贝利相位
经过闭合路径积分得到的贝利相位
γn(C)=i∮c⟨n(R)∣∇R∣n(R)⟩⋅dR
代入本征向量
γ±(k)=i∫⟨ψ±∣∇k∣ψ±)dk=2i∫(v+we−ikE+)dk1(v+weikE+)dk
对于不同参数
γ=⎩⎪⎨⎪⎧0,π,vw<1vw>1
2.3. 边界态
接下来看看比较有观测意义的物理量。


2.4. 纠缠谱
先构建系统的关联函数
⟨ai†aj⟩⟨bi†bj⟩⟨ai†bj⟩=21n,m=1∑L/2Vi,nVj,m⟨[γn,+†−γn,−†][γm,+−γm,−]⟩=21n=1∑L/2Vi,nVj,n=21δi,j=21n,m=1∑L/2Ui,nUj,m⟨[γn,+†+γn,−†][γm,++γm,−]⟩=21n=1∑L/2Ui,nUj,n=21δi,j=21n,m=1∑L/2Vi,nUj,m⟨[γn,+†−γn,−†][γm,++γm,−]⟩=−21n=1∑L/2Vi,nUj,n=−21[VUT]ij=⟨bj†ai⟩
把关联函数组合成一个关联矩阵
⎣⎡⟨ai†aj⟩⟨bj†ai⟩⟨ai†bj⟩⟨bi†bj⟩⎦⎤=[21δi,j−21[VUT]ij−21[VUT]ij21δi,j]
关联矩阵的大小是 2NA∗2NA
对角化关联矩阵,得到本征值
{λi,1−λi}
这组本征值的分布就是纠缠谱(entanglement spectrum)

把纠缠谱用下面的公式计算出纠缠熵(entanglement entropy)
SA=−i∑NA[λilnλi+(1−λi)ln(1−λi)]
可以看出,纠缠谱和纠缠熵在相变点 v=w 都有奇异的行为。因此,可以根据这种行为来判断系统的拓扑性质是否发生相变。